Changes in Plasma and Ovarian Steroid Hormone Level in Wild Female Blue Tang Fish Paracanthurus hepatus during a Reproductive Cycle
Simple Summary
Abstract
1. Introduction
2. Materials and Methods
2.1. Sample Collection
2.2. Sample Analysis and Data Collection
2.3. Data Analysis
3. Results
3.1. Monthly Change in GSI of Wild-Caught Blue Tang Fish
3.2. Steroid Hormone Level at Different Ovarian Maturation Stages of Wild-Caught Blue Tang Fish
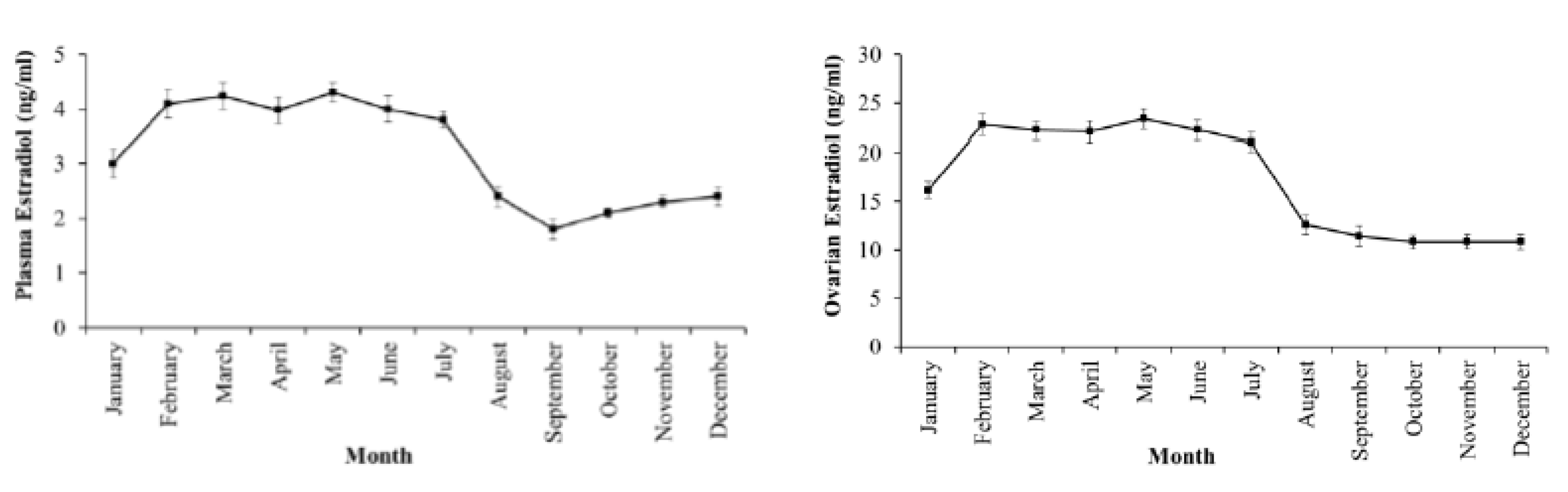
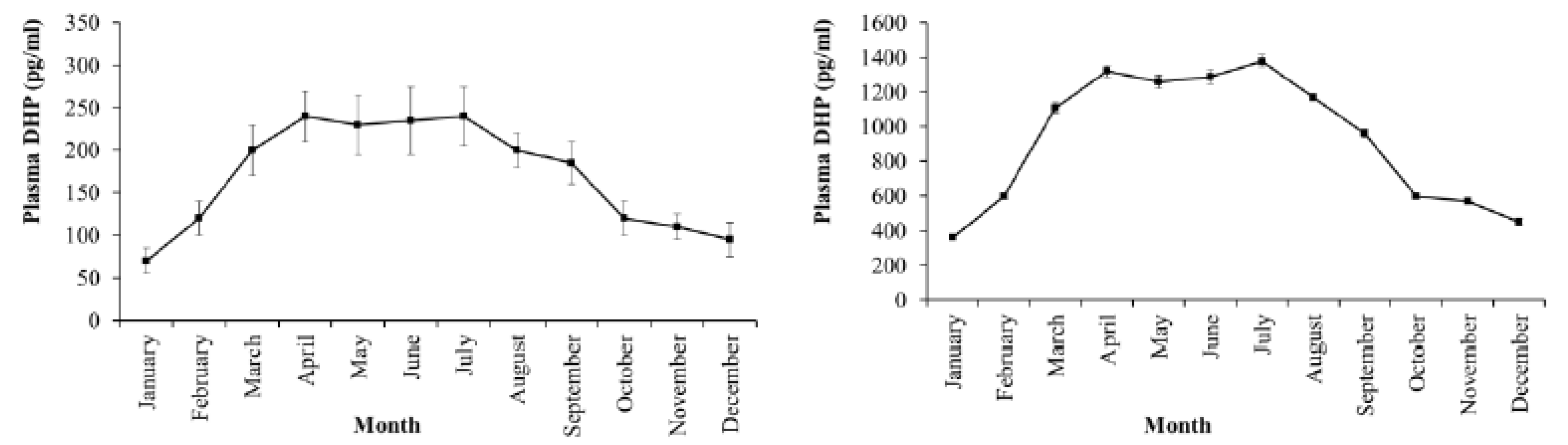
3.3. Monthly Variation in Steroid Hormone Levels of Wild-Caught Blue Tang Fish
4. Discussion
5. Conclusions
Author Contributions
Funding
Acknowledgments
Conflicts of Interest
References
- Nagahama, Y.; Yoshikuni, M.; Yamashita, M.; Tokumoto, T.; Katsu, Y. Regulation of Oocyte Growth and Maturation in Fish. In Current Topics in Developmental Biology; Pedersen, R.A., Schatten, G.P., Eds.; Academic Press: Cambridge, MA, USA, 1995; Volume 30, pp. 103–145. [Google Scholar]
- Matsuyama, M.; Morita, S.; Nasu, T.; Kashiwagi, M. Daily spawning and development of sensitivity to gonadotropin and maturation-inducing steroid in the oocytes of the bambooleaf wrasse, Pseudolabrus japonicus. Environ. Biol. Fishes 1998, 52, 281–290. [Google Scholar] [CrossRef]
- Matsuyama, M.; Onozato, S.; Kashiwagi, M. Endocrine control of diurnal oocyte maturation in the kyusen wrasse, Halichoeres poecilopterus. Zoolog Sci. 2002, 19, 1045–1053. [Google Scholar] [CrossRef] [PubMed]
- Zohar, Y.; Elizur, A.; Sherwood, N.M.; Powell, J.F.F.; Rivier, J.E.; Zmora, N. Gonadotropin-Releasing Activities of the Three Native Forms of Gonadotropin-Releasing Hormone Present in the Brain of Gilthead Seabream, Sparus aurata. Gen. Comp. Endocrinol. 1995, 97, 289–299. [Google Scholar] [CrossRef] [PubMed]
- Kashigawi, M.; Yamada, N.; Okada, Y.; Nakamura, F. A periodic variation of spawning time of Japanese whiting Sillago japonica during the spawning season. Nippon. Suisan Gakkaishi 1984, 50, 21–35. [Google Scholar]
- Matsuyama, M.; Adachi, S.; Nagahama, Y.; Matsuura, S. Diurnal rhythm of oocyte development and plasma steroid hormome levels in the female red sea bream, Pagrus major, during the spawning season. Aquaculture 1988, 73, 357–372. [Google Scholar] [CrossRef]
- Shimizu, A. Reproductive cycles in a reared strain of the mummichog, a daily spawner. J. Fish. Biol. 1997, 5, 724–737. [Google Scholar] [CrossRef]
- Fishbase. Paracanthurus Hepatus (Linnaeus, 1766). Available online: https://www.fishbase.in/summary/6017 (accessed on 25 August 2019).
- Sang, H.M.; Lam, H.S. Reproductive biology of blue tang fish (Paracanthurus hepatus Linnaeus, 1776) in Khanh Hoa seawater, Viet Nam. Indian J. Geo. Mar. Sci. 2018, 47, 839–845. [Google Scholar]
- Calado, R.; Olivotto, I.; Oliver, M.P.; Holt, G.J. Marine Ornamental Species Aquaculture; Wiley: Hoboken, NJ, USA, 2017. [Google Scholar]
- McIlwain, J.; Choat, J.H.; Abesamis, R.; Clements, K.D.; Myers, R.; Nanola, C.; Rocha, L.A.; Russell, B.; Stockwell, B. The IUCN Red List of Threatened Species. 2012. Available online: https://pdfs.semanticscholar.org/6205/dd7286002d8e83718e962db481416a4e9296.pdf (accessed on 23 October 2019).
- Sang, H.M. Evaluation on the Exploitation Status and Trial on Artificial Breeding of Blue Tang Fish in Khanh Hoa Seawaters; Final Report of Project VAST06.04/15-16; Institute of Oceanography: Nha Trang, Vietnam, 2016; Available online: http://www.vast.ac.vn/component/detai/?start=120?option=com_detai&view=detai&id=1300 (accessed on 23 October 2019).
- Sakun, O.F.; Buckaia, N.A. Opredelenie stadii zrelosti i izuèenie polovyh ciklov ryb. -Izd. Minist. Rybn. Choz. SSSR Murm. 1968, 3–46. (In Russian) [Google Scholar]
- Tokarz, J.; Möller, G.; Hrabě de Angelis, M.; Adamski, J. Steroids in teleost fish: A functional point of view. Steroids 2015, 103, 123–144. [Google Scholar] [CrossRef]
- Senthilkumaran, B.; Yoshiura, Y.; Oba, Y.; Sudhakumari, C.C.; Wang, D.S.; Kobayashi, T.; Yoshikuni, M.; Nagahama, Y. Steroidogenic shift is a critical event for ovarian follicles to undergo final maturation. Fish. Physiol. Biochem. 2003, 28, 313–315. [Google Scholar] [CrossRef]
- Young, G.; Kagawa, H.; Nagahama, Y. Oocyte maturation in the amago salmon (Oncorhynchus rhodurus): In vitro effects of salmon gonadotropin, steroids and cyanoketone (an inhibitor of 3β-hydroxy-Δ5-steroid dehydrogenase). J. Exp. Zool 1982, 224, 265–275. [Google Scholar] [CrossRef] [PubMed]
- So, Y.P.; Idler, D.R.; Truscott, B.; Walsh, J.M. Progestogens androgens and their glucuronides in the terminal stages of oocyte maturation in landlocked Atlantic salmon. J. Steroid Biochem. 1985, 23, 583–591. [Google Scholar] [CrossRef]
- Guiguen, Y.; Jalabert, B.; Thouard, E.; Fostier, A. Changes in plasma and gonadal steroid hormones in relation to the reproductive cycle and the sex inversion process in the protandrous seabass, Lates calcarifer. Gen. Comp. Endocrinol. 1993, 92, 327–338. [Google Scholar] [CrossRef] [PubMed]
- Pham, K.X.; Amano, M.; Amiya, N.; Kurita, Y.; Yamamori, K. Changes in brain and pituitary GnRH levels during ovarian maturation in wild female Japanese flounder. Fish Physiol. Biochem. 2006, 32, 241–248. [Google Scholar]
- Amano, M.; Pham, K.X.; Amiya, N.; Yamanome, T.; Yamamori, K. Changes in brain seabream GnRH mRNA and pituitary seabream GnRH peptide levels during ovarian maturation in female barfin flounder. Gen. Comp. Endocrinol. 2008, 158, 168–172. [Google Scholar] [CrossRef]
- Pham, K.X.; Amano, M.; Kurita, Y.; Shimizu, A.; Fujinami, Y.; Amiya, N.; Yamamori, K. Changes in the immunostaining intensities of follicle-stimulating hormone and luteinizing hormone during ovarian maturation in the female Japanese flounder. Fish. Physiol. Biochem. 2008, 34, 357–365. [Google Scholar] [CrossRef]
- Cornish, D. Seasonal steroid hormone profiles in plasma and gonads of the tilapia, Oreochromis mossambicus. Water SA 1998, 24, 257–263. [Google Scholar]
- Selvaraj, S.; Kitano, H.; Amano, M.; Nyuji, M.; Kaneko, K.; Yamaguchi, A.; Matsuyama, M. Molecular characterization and expression profiles of three GnRH forms in the brain and pituitary of adult chub mackerel (Scomber japonicus) maintained in captivity. Aquaculture 2012, 356, 200–210. [Google Scholar] [CrossRef]
- Fostier, A.; Jalabert, B.; Billard, R.; Breton, B.; Zohar, Y. The gonadal steroids. In Fish Physiology; Hoar, W.S., Randall, D., Donaldson, E.M., Eds.; Academic Press: New York, NY, USA, 1983; Volume 9A. [Google Scholar]
- Fazielawanie, N.M.; Siraj, S.S.; Harmin, S.A.; Ina-Salwany, M.Y. Isolation and partial characterization of Asian sea bass (Lates calcarifer) vitellogenin. Fish. Physiol. Biochem. 2013, 39, 191–200. [Google Scholar] [CrossRef]
- Senthilkumaran, B.; Okuzawa, K.; Gen, K.; Ookura, T.; Kagawa, H. Distribution and seasonal variations in levels of three native GnRHs in the brain and pituitary of perciform. J. Neuroendocr. 1999, 11, 181–186. [Google Scholar] [CrossRef]
- Andersson, E.; Fjelldal, P.G.; Klenke, U.; Vikingstad, E.; Taranger, G.L.; Zohar, Y.; Stefansson, S.O. Three forms of GnRH in the brain and pituitary of the turbot, Scophthalmus maximus: Immunological characterization and seasonal variation. Comp. Biochem. Physiol. 2001, 129, 551–558. [Google Scholar] [CrossRef]
- Ohga, H.; Kaneko, K.; Shimizu, A.; Kitano, H.; Selvaraj, S.; Nyuji, M.; Adachi, H.; Yamaguchi, A.; Matsuyama, M. Steroidogenic and maturation-inducing potency of native gonadotropic hormones in female chub mackerel, Scomber japonicus. Reprod Biol. Endocrinol. 2012, 10, 71–79. [Google Scholar] [CrossRef] [PubMed]
- Sundararaj, B.I.; Nath, P. Steroid-induced synthesis of vitellogenin in the catfish, Heteropneustes fossilis (Bloch). Gen. Comp. Endocrinol. 1981, 43, 201–210. [Google Scholar] [CrossRef]
- Tyler, C.R.; Sumpter, J.P.; Kawauchi, H.; Swanson, P. Involvement of gonadotropin in the uptake of vitellogenin into vitellogenic oocytes of the rainbow trout, Oncorhynchus mykiss. Gen. Comp. Endocrinol. 1991, 84, 291–299. [Google Scholar] [CrossRef]








| Maturity Stages | Particular of the Gonads |
|---|---|
| Stage I, Immature | Ovary was thin, short and glassy in appearance. The ovary and testes could not be distinguished by naked-eyes. The stage was observed in the fish size under the first maturation size. |
| Stage II, Maturing | Ovary developing; ovary and testes can be distinguished by with the naked-eye. Ovaries are opaque and creamy yellow. |
| Stage III, Mature | Ovaries increased in size compared to stage II. Ovaries are reddish yellow, extending about 2/3 body cavity length. |
| Stage IV, Ripe/Oozing | Ovaries are yellow to amber colored filling the entire body cavity, extending the entire body cavity length |
| Stage V, Spent | Ovaries are rather flaccid, reddish-yellow. |
© 2019 by the authors. Licensee MDPI, Basel, Switzerland. This article is an open access article distributed under the terms and conditions of the Creative Commons Attribution (CC BY) license (http://creativecommons.org/licenses/by/4.0/).
Share and Cite
Sang, H.M.; Lam, H.S.; Hy, L.H.K.; Ky, P.X.; Minh-Thu, P. Changes in Plasma and Ovarian Steroid Hormone Level in Wild Female Blue Tang Fish Paracanthurus hepatus during a Reproductive Cycle. Animals 2019, 9, 889. https://doi.org/10.3390/ani9110889
Sang HM, Lam HS, Hy LHK, Ky PX, Minh-Thu P. Changes in Plasma and Ovarian Steroid Hormone Level in Wild Female Blue Tang Fish Paracanthurus hepatus during a Reproductive Cycle. Animals. 2019; 9(11):889. https://doi.org/10.3390/ani9110889
Chicago/Turabian StyleSang, Huynh Minh, Ho Son Lam, Le Ho Khanh Hy, Pham Xuan Ky, and Phan Minh-Thu. 2019. "Changes in Plasma and Ovarian Steroid Hormone Level in Wild Female Blue Tang Fish Paracanthurus hepatus during a Reproductive Cycle" Animals 9, no. 11: 889. https://doi.org/10.3390/ani9110889
APA StyleSang, H. M., Lam, H. S., Hy, L. H. K., Ky, P. X., & Minh-Thu, P. (2019). Changes in Plasma and Ovarian Steroid Hormone Level in Wild Female Blue Tang Fish Paracanthurus hepatus during a Reproductive Cycle. Animals, 9(11), 889. https://doi.org/10.3390/ani9110889

