Significance of Group Composition for the Welfare of Pastured Horses
Simple Summary
Abstract
1. Introduction
2. Materials and Methods
2.1. Study Groups
2.2. Management
2.3. Recording of Social Interactions
2.4. Statistics
3. Result
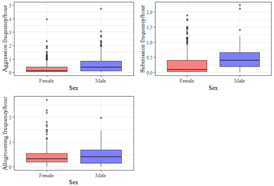
3.1. Behaviour of Individuals
3.2. Group-Level Analyses
3.2.1. Agonistic Behaviours
3.2.2. Allogrooming
4. Discussion
4.1. Main Findings
4.2. Agonistic Behaviours
4.3. Affiliative Behaviour
5. Conclusions
Supplementary Materials
Author Contributions
Funding
Acknowledgments
Conflicts of Interest
References
- Equine Report Removing the Blinkers. The Health and Welfare of Equidae in 2015. Available online: http://www.eurogroupforanimals.org/wp-content/uploads/EU-Equine-Report-Removing-the-Blinkers.pdf (accessed on 11 December 2018).
- Minero, M.; Canali, E. Welfare issues of horses: An overview and practical recommendations. Italian J. Anim. Sci. 2009, 8 (Supppl. S1), 219–230. [Google Scholar] [CrossRef]
- Van Dierendonck, M.C.; Spruijt, B.M. Coping in groups of domestic horses—Review from a social and neurobiological perspective. Appl. Anim. Behav. Sci. 2012, 138, 194–202. [Google Scholar] [CrossRef]
- Brubaker, L.; Udell, M.A. Cognition and learning in horses (Equus caballus): What we know and why we should ask more. Behav. Process. 2016, 2016, 121–131. [Google Scholar] [CrossRef] [PubMed]
- Krueger, K.; Marr, I.; Farmer, K. Equine Cognition. In Encyclopedia of Animal Cognition and Behavior; Vonk, T.K.S., Ed.; Springer: Cham, The Netherlands, 2017; pp. 1–13. [Google Scholar]
- Feh, C. Relationships and communication in socially natural horse herds. In The Domestic Horse: The Origins, Development, and Management of its Behaviour; Mills, D.S., McDonnell, S.M., Eds.; Cambridge University Press: Cambridge, UK, 2005; pp. 83–93. [Google Scholar]
- Feh, C.; de Mazières, J. Grooming at a preferred site reduces heart rate in horses. Anim. Behav. 1993, 46, 1191–1194. [Google Scholar] [CrossRef]
- McDonnell, S.M. A Practical Field Guide to Horse Behaviour—The Equid Ethogram; The Bloodhorse, Inc.: Hong Kong, China, 2003. [Google Scholar]
- Sigurjónsdóttir, H.; van Dierendonck, M.C.; Snorrason, S.; Thórhallsdóttir, A.G. Social relationships in a group of horses without a mature stallion. Behaviour 2003, 140, 783–804. [Google Scholar]
- Wolter, R.; Stefanski, V.; Krueger, K. Parameters for the Analysis of Social Bonds in Horses. Animals 2018, 8, 191. [Google Scholar] [CrossRef] [PubMed]
- Seyfarth, R.; Cheney, D. The Evolutionary Origins of Friendship. Annu. Rev. Psychol. 2012, 63, 153–177. [Google Scholar] [CrossRef] [PubMed]
- Massen, J.M.; Sterck, E.H.M.; de Vos, H. Close social associations in animals and humans: Functions and mechanisms of friendship. Behaviour 2010, 147, 1379–1412. [Google Scholar] [CrossRef]
- Hartmann, E.; Søndergaard, E.; Keeling, L.J. Keeping horses in groups: A review. Appl. Anim. Behav. Sci. 2012, 136, 77–87. [Google Scholar] [CrossRef]
- Proops, L.; McComb, K.; Reby, D. Cross modal individual recognition in domestic horses (Equus caballus). Proc. Nat. Acad. Sci. USA 2009, 106, 947–951. [Google Scholar] [CrossRef]
- Sankey, C.; Richard-Yris, M.A.; Leroya, H.; Henry, S.; Hausberger, M. Positive interactions lead to lasting positive memories in horses, Equus caballus. Anim. Behav. 2010, 79, 869–875. [Google Scholar] [CrossRef]
- Basile, M.; Boivin, S.; Boutin, A.; Blois-Heulin, C.; Hausberger, M.; Lemasson, A. Socially dependent auditory laterality in domestic horses (Equus caballus). Anim. Cogn. 2009, 12, 611–619. [Google Scholar] [CrossRef] [PubMed]
- Lemasson, A.; Boutin, A.; Boivin, S.; Blois-Heulin, C.; Hausberger, M. Horse (Equus caballus) Whinnies: A source of social information. Anim. Cogn. 2009, 12, 693–704. [Google Scholar] [CrossRef]
- Krueger, K.; Heinze, J. Horse sense: Social status of horses (Equus caballus) affects their likelihood of copying other horses’ behaviour. Anim. Cogn. 2008, 11, 431–439. [Google Scholar] [CrossRef]
- Cozzi, A.; Sighieri, C.; Gazzano, A.; Nicol, C.J.; Baragli, P. Post-conflict friendly reunion in a permanent group of horses (Equus caballus). Behav. Process. 2010, 85, 185–190. [Google Scholar] [CrossRef] [PubMed]
- Rutberg, A.T.; Greenberg, S.A. Dominance, aggression frequencies and modes of aggressive competition in feral pony mares. Anim. Behav. 1990, 40, 322–331. [Google Scholar] [CrossRef]
- Waring, G. Horse Behavior, 2nd ed.; Noyes/William Andrew Publishing: Norwich, UK, 2003. [Google Scholar]
- Stanley, C.R.; Mettke-Hofmann, C.; Hager, R.; Shultz, S. Social stability in semi-feral ponies: Networks show inter-annual stability alongside seasonal flexibility. Anim. Behav. 2018, 136, 175–184. [Google Scholar] [CrossRef]
- Granquist, S.M.; Thorhallsdottir, A.G.; Sigurjonsdottir, H. The effect of stallions on social interactions in domestic and semi feral harems. Appl. Anim. Behav. Sci. 2012, 141, 49–56. [Google Scholar] [CrossRef]
- Hartmann, E.; Keeling, L.J.; Rundgren, M. Social interactions of unfamiliar horses during paired encounters: Effect of pre-exposure on aggression level and so risk of injury. Appl. Anim. Behav. Sci. 2009, 121, 214–221. [Google Scholar] [CrossRef]
- Fureix, C.; Bourjade, M.; Henry, S.; Sankey, C.; Hausberger, M. Exploring aggression regulation in managed groups of horses Equus caballus. Appl. Anim. Behav. Sci. 2012, 138, 216–228. [Google Scholar] [CrossRef]
- Berger, J. Organizational systems and dominance in feral horses in the Grand Canyon. Behav. Ecol. Sociobiol. 1977, 2, 131–146. [Google Scholar] [CrossRef]
- Dunbar, R.I. Functional significance of social grooming in primates. Folia Primatol. 1991, 57, 121–131. [Google Scholar] [CrossRef]
- Aureli, F.; de Waal, F.B.M. Natural Conflict Resolution; University of California Press, Ltd.: London, UK, 2000. [Google Scholar]
- Keiper, R.R. Social interactions of the Przewalski horse (Equus przewalskii Poliakow, 1881) herd at the Munich Zoo. Appl. Anim. Behav. Sci. 1988, 21, 89–97. [Google Scholar] [CrossRef]
- Bourjade, M.; Moulinot, M.; Henry, S.; Richard-Yris, M.-A.H.M. Could adults be used to improve social skills of young horses, Equus caballus? Ethology 2008, 50, 408–417. [Google Scholar] [CrossRef] [PubMed]
- Sih, A.; Hanser, S.F.; McHugh, K.A. Social network theory: New insights and issues for behavioral ecologists. Behav. Ecol. Sociobiol. 2009, 63, 975–988. [Google Scholar] [CrossRef]
- Pike, T.W.; Samanta, M.; Lindstrom, J.; Royle, N.J. Behavioural phenotype affects social interactions in an animal network. Proc. R. Soc. B 2008, 275, 2515–2520. [Google Scholar] [CrossRef] [PubMed]
- Ingolfsdottir, H.B.; Sigurjonsdottir, H. The benefits of high rank in the wintertime: A study of the Icelandic horse. Appl. Anim. Behav. Sci. 2008, 114, 485–491. [Google Scholar] [CrossRef]
- Sigurjónsdottir, H.; Thorhallsdottir, A.G.; Hafthorsdottir, H.M.; Granquist, S. The behaviour of stallions in a semi-feral herd in Iceland: Time-budgets, home-ranges and interactions. Int. J. Zool. 2012, 2012, 1–7. [Google Scholar] [CrossRef]
- Van Dierendonck, M.C.; Sigurjonsdottir, H.; Colenbrander, B.; Thorhallsdottir, A.G. Differences in social behaviour between late pregnant, post-partum and barren mares in a herd of Icelandic horses. Appl. Anim. Behav. Sci. 2004, 89, 283–297. [Google Scholar] [CrossRef]
- Van Dierendonck, M.C.; de Vries, H.; Schilder, M.B.H.; Colenbrander, B.; Thorhallsdottir, A.G.; Sigurjonsdottir, H. Interventions in social behaviour in a herd of mares and geldings. Appl. Anim. Behav. Sci. 2009, 116, 67–73. [Google Scholar] [CrossRef]
- Vervaecke, H.; Jeroen, M.; Stevens, G.; Vandemoortele, H.; Sigurjonsdottir, H.; DeVries, H. Aggression and dominance in matched groups of subadult Icelandic horses (Equus caballus). J. Ethol. 2007, 25, 239–248. [Google Scholar] [CrossRef]
- Lehner, P.N. Handbook of Ethological Methods; Cambridge University Press: Cambridge, UK, 1996. [Google Scholar]
- Kallajoki, I.; Social Characteristics of a Stable and a Temporary Group of Icelandic Horses. Social Characteristics of a Stable and a Temporary Group of Icelandic Horses. How do Horses Cope in New Social Circumstances? Bachelor’ s Dissertation, University of Iceland, Reykjavik, Iceland, 2010. Available online: http://hdl.handle.net/1946/5536 (accessed on 11 December 2018).
- Van Dierendonck, M.C.; De Vries, H.; Schilder, M.B.H. An analysis of dominance, its behavioral parameters and possible determinants in a herd of Icelandic horses in captivity. Neth. J. Zool. 1995, 45, 362–385. [Google Scholar]
- R Core Team. R: A Language and Environment for Statistical Computing; R Foundation for Statistical Computing: Vienna, Austria, 2018; Available online: https://www.R-project.org/ (accessed on 11 December 2018).
- Christensen, J.W.; Zharkikh, T.; Ladewig, J.; Yasinetskaya, N. Social behaviour in stallion groups (Equus przewalskii and Equus caballus) kept under natural and domestic conditions. Appl. Anim. Behav. Sci. 2002, 76, 11–20. [Google Scholar] [CrossRef]
- Houpt, K.A.; Law, K.; Martinisi, V. Dominance hierarchies in domestic horses. Appl. Anim. Ethol. 1978, 4, 273–283. [Google Scholar] [CrossRef]
- Briefer Freymond, S.; Briefer, E.F.; Niederhäusern, R.V.; Bachmann, I. Pattern of Social Interactions after Group Integration: A Possibility to Keep Stallions in Group. PLoS ONE 2013, 8, e54688. [Google Scholar] [CrossRef] [PubMed]
- Heitor, F.; do Mar Oom, M.; Vicente, L. Social relationships in a herd of Sorraia horses: Part II. Factors affecting affiliative relationships and sexual behaviours. Behav. Process. 2006, 73, 231–239. [Google Scholar] [CrossRef] [PubMed]
- Keiper, R.R.; Sambraus, H.H. The stability of equine dominance hierarchies and the effects of kinship, proximity and foaling status on hierarchy rank. Appl. Anim. Behav. Sci. 1986, 16, 121–130. [Google Scholar] [CrossRef]
- Smith, A.V.; Wilson, C.; McComb, K.; Proops, L. Domestic horses (Equus caballus) prefer to approach humans displaying a submissive body posture rather than a dominant body posture. Anim. Cogn. 2016. [Google Scholar] [CrossRef]













| Part of Iceland, Place, Year, Months of Study | Group ID | Females | Males * | Foals | Sub-Adults | Adults | Observation Time (hours) | Pasture Size (ha) |
|---|---|---|---|---|---|---|---|---|
| NW, Bessastadir—2005 (7–8) | A37 | 0 | 9 | 0 | 9 | 0 | 100 | 30 |
| NW, Bessastadir—2005 (7–8) | B37 | 9 | 0 | 0 | 9 | 0 | 100 | 100 |
| N, Holar—2003 (6–7) | C | 17 | 7 | 0 | 24 | 0 | 79 | 5.4 |
| W, Skaney—1997 (5–6) | D9,35 | 23 | 11 | 14 | 12 | 22 | 847 | 8 |
| W, Skaney—1999 (5–6) | F35 | 21 | 10 | 7 | 6 | 25 | 488 | 8 |
| SW, Litla-Thufa—2012 (7) | G | 4 | 9 | 0 | 4 | 9 | 40 | 6.5 |
| SW, Middalur—2012 (7–8) | H | 6 | 2 | 1 | 7 | 1 | 40 | 30 |
| SW, Eilifsdalur—2012 (7–8) | I | 6 | 8 | 0 | 9 | 5 | 55 | 35 |
| N, Holar—2001 (2–4) | J33 | 13 | 10 | 0 | 7 | 16 | 57 | 26.5 |
| N, Holar—2001 (2–4) | K33 | 16 | 3 | 0 | 0 | 19 | 55 | 27.5 |
| N, Holar—2001–2002 (12–5) | L33 | 18 | 10 | 0 | 20 | 8 | 102 | 26.5 |
| N, Holar—2002 (1–5) | M33 | 18 | 12 | 0 | 0 | 30 | 81 | 27.5 |
| SW, Baer—2009 (10–12) | N39 | 10 | 14 | 0 | 4 | 20 | 44 | 100 |
| SW, Fell—2009 (1–3) | O39 | 15 | 23 | 0 | 6 | 32 | 41 | 30 |
| * NW, Thoreyjan.—2004 (7–8) | P23 | 27 | 1 | 15 | 0 | 28 | 76 | 30 |
| * NW, Thingeyrar—2006 (6–7) | Q23 | 32 | 1 | 20 | 0 | 33 | 133 | 8 |
| ** S, Sel 1—2007 (5) | R23,34 | 18 | *** 2 (1) | 14 | 3 | 17 | 81 | 215 |
| ** S, Sel 2—2007 (5) | S23,34 | 11 | 1 | 7 | 3 | 9 | 81 | 215 |
| ** S, Sel 3—2007 (5) | T23,34 | 29 | *** 2 (1) | 17 | 10 | 21 | 77 | 215 |
| ** S, Sel 4—2007 (5) | U23,34 | 26 | *** 4 (3) | 19 | 6 | 24 | 77 | 215 |
| Variable | Definitions/Explanations (For Detailed Description for Each Behaviour Type—See McDonell [8].) |
|---|---|
| Aggression [8] | Obvious aggression—fight, bite, threat to bite, attack, threat with ears pinned backwards, aggressive chase, strike with foreleg. All these behaviour types were recorded. |
| Submission—see [8] | Both subtle reactions in the form of avoidance and strong movements (running) due to aggression shown by another horse. The behaviour types recorded were: supplant (yield) by moving the head or upper body away from the aggressor, move away with leg movement and flee with fast leg movement. |
| Allogrooming or Mutual grooming—see [8] | Two horses stand head to tail and scratch the skin of the other horse with their teeth. When horses stopped allogrooming and started again, one minute had to elapse between the sessions to start counting a new session. |
| Age classes. A1: 1 year, A2: 2–3 years, A3: 4–6 years, A4: 7–9 years, A5: 10–20 years, A6: 21 and more. Twenty adult horses could not be assigned to a class. In Iceland a year is added to the age of a horse on the first day of summer in early April. |
| Season. autumn (October–December), winter (January–April), spring (May–June), summer (July–August). |
| Stability. 0: >5 owners, 1: 4–5 owners, 2: 2–3 owners, 3: 1 owner, minor changes, 4: 1 owner, no changes The classification assumes that the number of owners/ caretakers of the horses in a group reflects the probability of changes in the composition (permanent and short term removals and introductions). If all horses were unfamiliar in the beginning of the observation period they got the lowest score (0). |
| Stallions. Absence in a group, (0), presence in a group, (1). |
| Number of associates (friends). The number of horses with which a horse allogrooms significantly more often than if he allogroomed with all in his group in a random manner (Chi-squared analyses, p < 0.05). If stay times in the groups differed between horses, the predicted values for the relevant dyads were corrected accordingly. |
© 2019 by the authors. Licensee MDPI, Basel, Switzerland. This article is an open access article distributed under the terms and conditions of the Creative Commons Attribution (CC BY) license (http://creativecommons.org/licenses/by/4.0/).
Share and Cite
Sigurjónsdóttir, H.; Haraldsson, H. Significance of Group Composition for the Welfare of Pastured Horses. Animals 2019, 9, 14. https://doi.org/10.3390/ani9010014
Sigurjónsdóttir H, Haraldsson H. Significance of Group Composition for the Welfare of Pastured Horses. Animals. 2019; 9(1):14. https://doi.org/10.3390/ani9010014
Chicago/Turabian StyleSigurjónsdóttir, Hrefna, and Hans Haraldsson. 2019. "Significance of Group Composition for the Welfare of Pastured Horses" Animals 9, no. 1: 14. https://doi.org/10.3390/ani9010014
APA StyleSigurjónsdóttir, H., & Haraldsson, H. (2019). Significance of Group Composition for the Welfare of Pastured Horses. Animals, 9(1), 14. https://doi.org/10.3390/ani9010014
