Valence and Intensity of Video Stimuli of Dogs and Conspecifics in Sheep: Approach-Avoidance, Operant Response, and Attention
Simple Summary
Abstract
1. Introduction
2. Materials and Methods
2.1. Animals
2.2. General Statistical Aspects
2.3. Experiment 1: Appraoch-Avoidance Paradigm
2.3.1. Animals
2.3.2. Habituation, Experimental Procedure and Video Stimuli
2.3.3. Behavioral Measurements
2.3.4. Statistical Analysis
2.4. Experiment 2: Operant Conditioning
2.4.1. Animals
2.4.2. Experimental Procedure
2.4.3. Statistical Analysis
2.5. Experiment 3: Attention Test
2.5.1. Animals
2.5.2. Habituation and Experimental Procedure
2.5.3. Behavioral Measurements: Head Orientation, Ear Movements and Postures
2.5.4. Frontal Cortical Activation
2.5.5. Statistical Analysis
Head and Ear Movements and Postures
Frontal Cortical Activity
3. Results
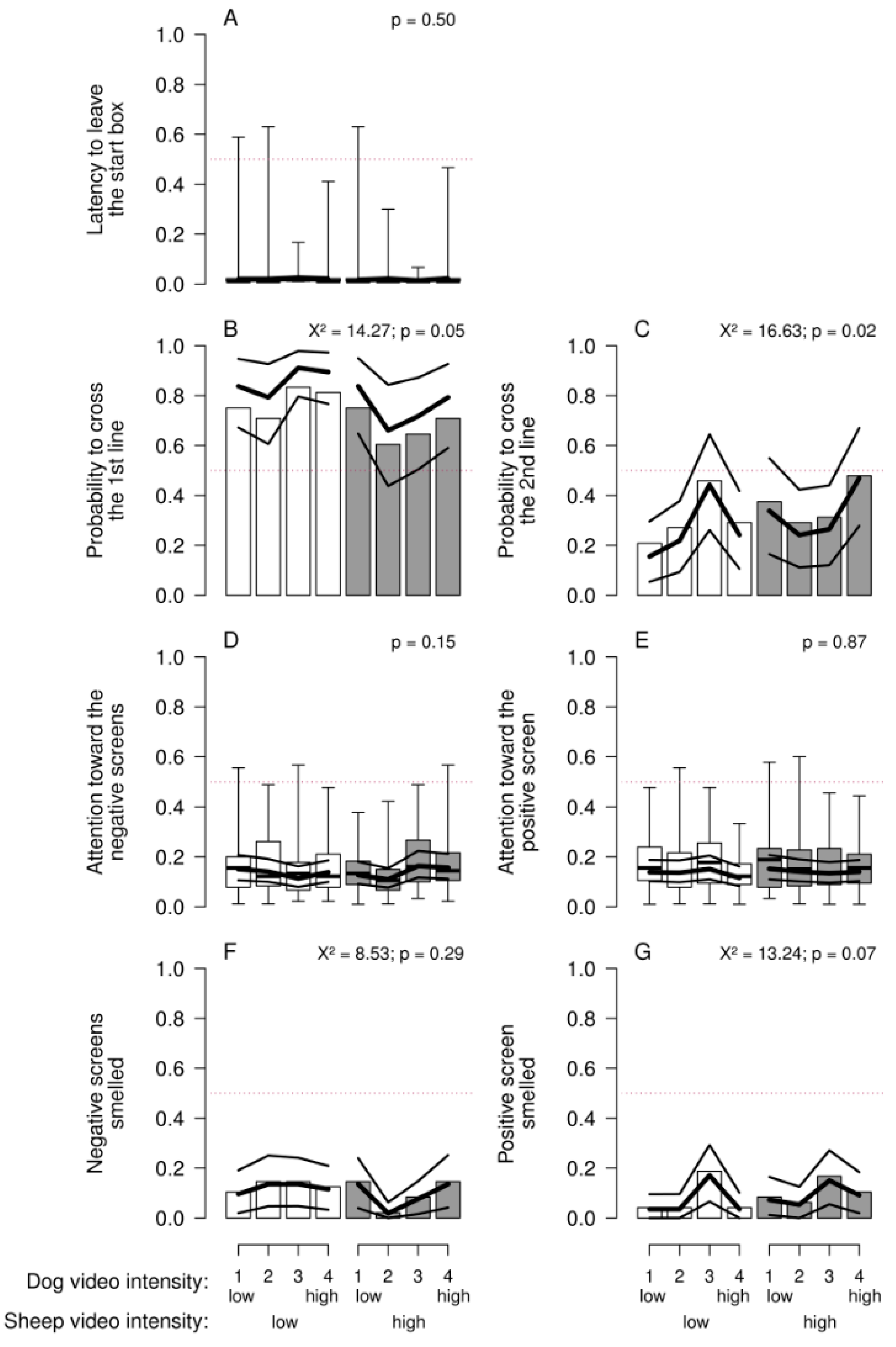
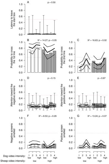
3.1. Approach–Avoidance
3.2. Operant Conditioning
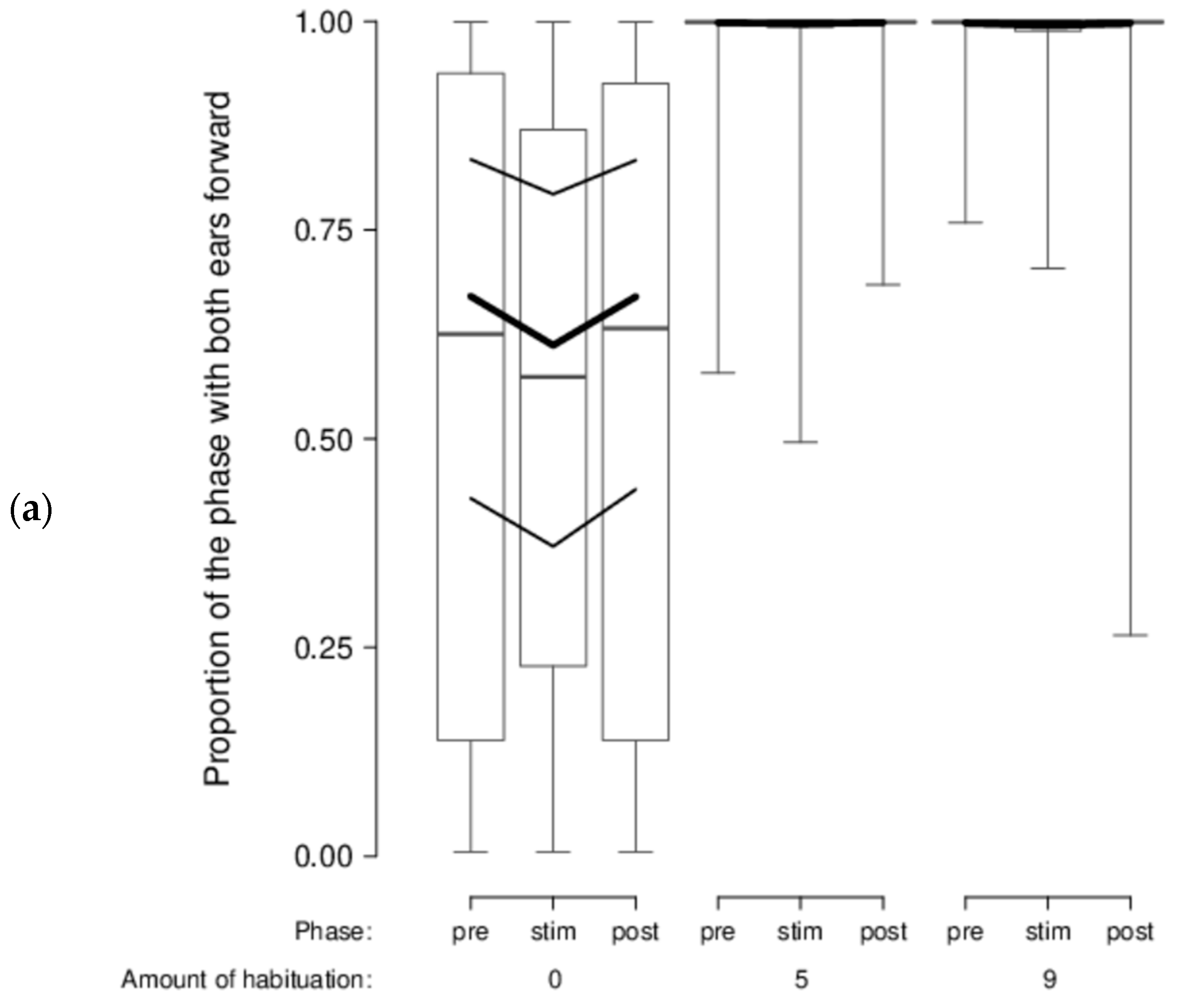
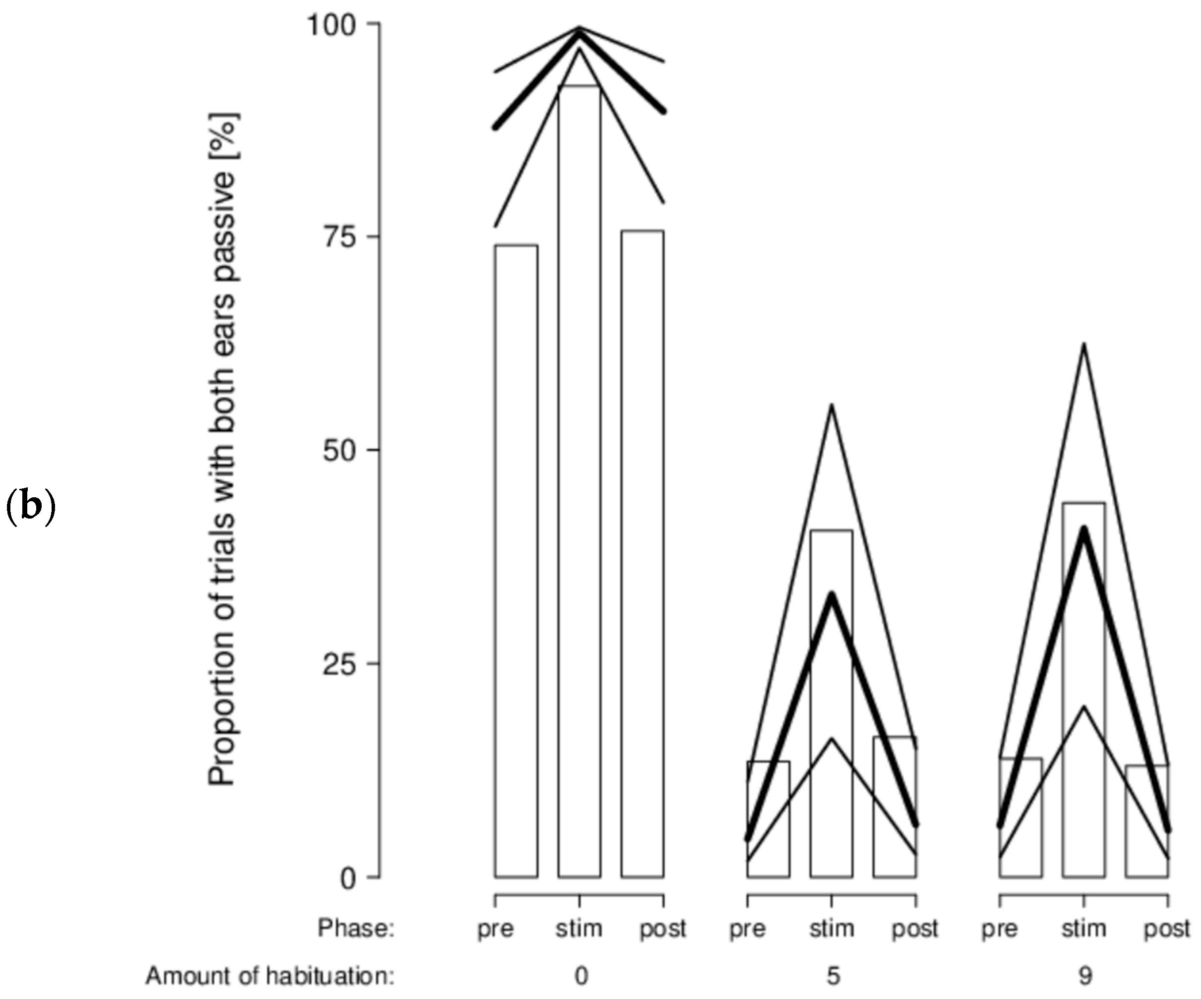
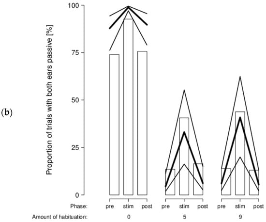
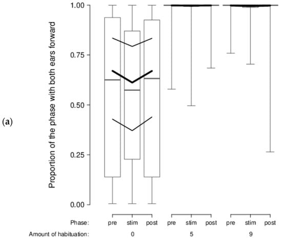
3.3. Attention Test
4. Discussion
5. Conclusions
Supplementary Materials
Author Contributions
Funding
Acknowledgments
Conflicts of Interest
References
- Désiré, L.; Boissy, A.; Veissier, I. Emotions in farm animals: A new approach to animal welfare in applied ethology. Behav. Process. 2002, 60, 165–180. [Google Scholar] [CrossRef]
- Boissy, A.; Manteuffel, G.; Jensen, M.B.; Moe, R.O.; Spruijt, B.; Keeling, L.J.; Winckler, C.; Forkman, B.; Dimitrov, I.; Langbein, J.; et al. Assessment of positive emotions in animals to improve their welfare. Physiol. Behav. 2007, 92, 375–397. [Google Scholar] [CrossRef] [PubMed]
- Yeates, J.W.; Main, D.C. Assessment of positive welfare: A review. Vet. J. 2008, 175, 293–300. [Google Scholar] [CrossRef] [PubMed]
- LeDoux, J. Rethinking the emotional brain. Neuron 2012, 73, 653–676. [Google Scholar] [CrossRef] [PubMed]
- Panksepp, J. Affective consciousness: Core emotional feelings in animals and humans. Conscious. Cogn. 2005, 14, 30–80. [Google Scholar] [CrossRef] [PubMed]
- Russell, J.A. A circumplex model of affect. J. Pers. Soc. Psychol. 1980, 39, 1161–1178. [Google Scholar] [CrossRef]
- Kensinger, E.A. Remembering emotional experiences the contribution of valence and arousal. Rev. Neurosci. 2004, 15, 241–253. [Google Scholar] [CrossRef] [PubMed]
- Mendl, M.; Burman, O.H.; Paul, E.S. An integrative and functional framework for the study of animal emotion and mood. Proc. R. Soc. B 2010, 277, 2895–2904. [Google Scholar] [CrossRef] [PubMed]
- Kron, A.; Pilkiw, M.; Banaei, J.; Goldstein, A.; Anderson, A.K. Are valence and arousal separable in emotional experience? Emotion 2015, 15, 35–44. [Google Scholar] [CrossRef] [PubMed]
- Boissy, A.; Aubert, A.; Desire, L.; Greiveldinger, L.; Delval, E.; Veissier, I. Cognitive sciences to relate ear postures to emotions in sheep. Anim. Welf. 2011, 20, 47–56. [Google Scholar]
- Briefer, E.F.; Tettamanti, F.; McElligott, A.G. Emotions in goats: Mapping physiological, behavioural and vocal profiles. Anim. Behav. 2015, 99, 131–143. [Google Scholar] [CrossRef]
- Gygax, L.; Reefmann, N.; Wolf, M.; Langbein, J. Prefrontal cortex activity, sympatho-vagal reaction and behaviour distinguish between situations of feed reward and frustration in dwarf goats. Behav. Brain Res. 2013, 239, 104–114. [Google Scholar] [CrossRef] [PubMed]
- Reefmann, N.; Wechsler, B.; Gygax, L. Behavioural and physiological assessment of positive and negative emotion in sheep. Anim. Behav. 2009, 78, 651–659. [Google Scholar] [CrossRef]
- Reefmann, N.; Kaszàs, F.B.; Wechsler, B.; Gygax, L. Ear and tail postures as indicators of emotional valence in sheep. Appl. Anim. Behav. Sci. 2009, 118, 199–207. [Google Scholar] [CrossRef]
- Reefmann, N.; Muehlemann, T.; Wechsler, B.; Gygax, L. Housing induced mood modulates reactions to emotional stimuli in sheep. Appl. Anim. Behav. Sci. 2012, 136, 146–155. [Google Scholar] [CrossRef]
- Cobb, R. An Introduction to Sheep Behavior. Available online: http://livestocktrail.illinois.edu/sheepnet/paperDisplay.cfm?ContentID=1 (accessed on 12 October 2017).
- Bouissou, M.F.; Vandenheede, M. Fear reactions of domestic sheep confronted with either a human or a human-like model. Behav. Process. 1995, 34, 81–92. [Google Scholar] [CrossRef]
- Beausoleil, N.J.; Stafford, K.J.; Mellor, D.J. Sheep show more aversion to a dog than to a human in an arena test. Appl. Anim. Behav. Sci. 2005, 91, 219–232. [Google Scholar] [CrossRef]
- Hansen, I.; Christiansen, F.; Hansen, H.S.; Braastad, B.; Bakken, M. Variation in behavioural responses of ewes towards predator-related stimuli. Appl. Anim. Behav. Sci. 2001, 70, 227–237. [Google Scholar] [CrossRef]
- Pajor, E.A.; Rushen, J.; de Passillé, A.M.B. Dairy cattle’s choice of handling treatments in a y-maze. Appl. Anim. Behav. Sci. 2003, 80, 93–107. [Google Scholar] [CrossRef]
- Travain, T.; Colombo, E.S.; Grandi, L.C.; Heinzl, E.; Pelosi, A.; Prato Previde, E.; Valsecchi, P. How good is this food? A study on dogs’ emotional responses to a potentially pleasant event using infrared thermography. Physiol. Behav. 2016, 159, 80–87. [Google Scholar] [CrossRef] [PubMed]
- Muehlemann, T.; Reefmann, N.; Wechsler, B.; Wolf, M.; Gygax, L. In vivo functional near-infrared spectroscopy measures mood-modulated cerebral responses to a positive emotional stimulus in sheep. Neuroimage 2011, 54, 1625–1633. [Google Scholar] [CrossRef] [PubMed]
- Proctor, H.S.; Carder, G. Can ear postures reliably measure the positive emotional state of cows? Appl. Anim. Behav. Sci. 2014, 161, 20–27. [Google Scholar] [CrossRef]
- Schulze Westerath, H.; Gygax, L.; Hillmann, E. Are special feed and being brushed judged as positive by calves? Appl. Anim. Behav. Sci. 2014, 156, 12–21. [Google Scholar] [CrossRef]
- Mendl, M.; Burman, O.H.P.; Parker, R.M.A.; Paul, E.S. Cognitive bias as an indicator of animal emotion and welfare: Emerging evidence and underlying mechanisms. Appl. Anim. Behav. Sci. 2009, 118, 161–181. [Google Scholar] [CrossRef]
- Paul, E.S.; Harding, E.J.; Mendl, M. Measuring emotional processes in animals: The utility of a cognitive approach. Neurosci. Biobehav. Rev. 2005, 29, 469–491. [Google Scholar] [CrossRef] [PubMed]
- Cisler, J.M.; Koster, E.H. Mechanisms of attentional biases towards threat in anxiety disorders: An integrative review. Clin. Psychol. Rev. 2010, 30, 203–216. [Google Scholar] [CrossRef] [PubMed]
- Lee, C.; Verbeek, E.; Doyle, R.; Bateson, M. Attention bias to threat indicates anxiety differences in sheep. Biol. Lett. 2016, 12, 1–4. [Google Scholar] [CrossRef] [PubMed]
- Kirkden, R.D.; Pajor, E.A. Using preference, motivation and aversion tests to ask scientific questions about animals’ feelings. Appl. Anim. Behav. Sci. 2006, 10, 29–47. [Google Scholar] [CrossRef]
- Makowska, I.J.; Weary, D.M. Assessing the emotions of laboratory rats. Appl. Anim. Behav. Sci. 2013, 148, 1–12. [Google Scholar] [CrossRef]
- Baldwin, B.A. Operant studies on the behaviour of pigs and sheep in relation to the physical environment. J. Anim. Sci. 1979, 49, 1125–1134. [Google Scholar] [CrossRef]
- Lee, C.; Cafe, L.M.; Robinson, S.L.; Doyle, R.E.; Lea, J.M.; Small, A.H.; Colditz, I.G. Anxiety influences attention bias but not flight speed and crush score in beef cattle. Appl. Anim. Behav. Sci. 2018, 205, 210–215. [Google Scholar] [CrossRef]
- Bar-Haim, Y.; Lamy, D.; Pergamin, L.; Bakermans-Kranenburg, M.J.; van Ijzendoorn, M.H. Threat-related attentional bias in anxious and nonanxious individuals: A meta-analytic study. Psychol. Bull. 2007, 133, 1–24. [Google Scholar] [CrossRef] [PubMed]
- Brilot, B.O.; Bateson, M. Water bathing alters threat perception in starlings. Biol. Lett. 2012, 8, 379–381. [Google Scholar] [CrossRef] [PubMed]
- Bethell, E.J.; Holmes, A.; Maclarnon, A.; Semple, S. Evidence that emotion mediates social attention in rhesus macaques. PLoS ONE 2012, 7, e44387. [Google Scholar] [CrossRef] [PubMed]
- Lang, L.M.; Bradley, M.M.; Cuthbert, B.N. Emotion, attention, and the startle reflex. Psychol. Rev. 1990, 97, 377–395. [Google Scholar] [CrossRef] [PubMed]
- Erhard, H.W.; Elston, D.A.; Davidson, G.C. Habituation and extinction in an approach-avoidance test: An example with sheep. Appl. Anim. Behav. Sci. 2006, 99, 132–144. [Google Scholar] [CrossRef]
- Vandenheede, M.; Bouissou, M.F. Fear reactions of ewes to photographic images. Behav. Process. 1994, 32, 17–28. [Google Scholar] [CrossRef]
- Erhard, H.W. Assessing the relative aversiveness of two stimuli: Single sheep in the test arena. Anim. Welf. 2003, 12, 349–358. [Google Scholar]
- Fell, L.R.; Shutt, D.A. Behavioural and hormonal responses to acute surgical stress in sheep. Appl. Anim. Behav. Sci. 1989, 22, 283–294. [Google Scholar] [CrossRef]
- McLeod, S.A. Skinner, Operant Conditioning. Available online: https://www.simplypsychology.org/operant-conditioning.html (accessed on 20 March 2017).
- Baldwin, B.A. Operant studies on shape discrimination in goats. Physiol. Behav. 1979, 23, 455–459. [Google Scholar] [CrossRef]
- Baldwin, B.A. Shape discrimination in sheep and calves. Anim. Behav. 1981, 29, 830–834. [Google Scholar] [CrossRef]
- Winters, S.; Dubuc, C.; Higham, J.P. Perspectives the looking time experimental paradigm in studies of animal visual. Ethology 2015, 121, 625–640. [Google Scholar] [CrossRef]
- Guesgen, M.J.; Bench, C.J. What can kinematics tell us about the affective states of animals? Anim. Welf. 2017, 26, 383–397. [Google Scholar] [CrossRef]
- Monk, J.E.; Doyle, R.E.; Colditz, I.G.; Belson, S.; Cronin, G.M.; Lee, C. Towards a more practical attention bias test to assess affective state in sheep. PLoS ONE 2018, 13, e0190404. [Google Scholar] [CrossRef] [PubMed]
- Vögeli, S.; Lutz, J.; Wolf, M.; Wechsler, B.; Gygax, L. Valence of physical stimuli, not housing conditions, affects behaviour and frontal cortical brain activity in sheep. Behav. Brain Res. 2014, 267, 144–155. [Google Scholar] [CrossRef] [PubMed]
- Vögeli, S.; Wolf, M.; Wechsler, B.; Gygax, L. Housing conditions influence cortical and behavioural reactions of sheep in response to videos showing social interactions of different valence. Behav. Brain Res. 2015, 284, 69–76. [Google Scholar] [CrossRef] [PubMed]
- Gygax, L.; Vögeli, S. Reactions of sheep towards three sets of emotional stimuli: Consistency in respect to stimulus valence and sheep identity. Appl. Anim. Behav. Sci. 2016, 174, 51–57. [Google Scholar] [CrossRef]
- Stubsjoen, S.M.; Flo, A.S.; Moe, R.O.; Janczak, A.M.; Skjerve, E.; Valle, P.S.; Zanella, A.J. Exploring non-invasive methods to assess pain in sheep. Physiol. Behav. 2009, 98, 640–648. [Google Scholar] [CrossRef] [PubMed]
- Veissier, I.; Boissy, A.; Desiré, L.; Greiveldinger, L. Animals’ emotions: Studies in sheep using appraisal theories. Anim. Welf. 2009, 18, 347–354. [Google Scholar]
- Guesgen, M.J.; Beausoleil, N.J.; Minot, E.O.; Stewart, M.; Stafford, K.J.; Morel, P.C.H. Lambs show changes in ear posture when experiencing pain. Anim. Welf. 2016, 25, 171–177. [Google Scholar] [CrossRef]
- Verbeek, E.; Ferguson, D.; Quinquet de Monjour, P.; Lee, C. Generating positive affective states in sheep: The influence of food rewards and opioid administration. Appl. Anim. Behav. Sci. 2014, 154, 39–47. [Google Scholar] [CrossRef]
- Verbeek, E.; Ferguson, D.; Quinquet de Monjour, P.; Lee, C. Opioid control of behaviour in sheep: Effects of morphine and naloxone on food intake, activity and the affective state. Appl. Anim. Behav. Sci. 2012, 142, 18–29. [Google Scholar] [CrossRef]
- Ware, E.; Saunders, D.R.; Troje, N.F. The influence of motion quality on responses towards video playback stimuli. Biol. Open 2015, 4, 803–811. [Google Scholar] [CrossRef] [PubMed]
- Clarke, C.H.; Jones, R.B. Domestic chicks’ runway responses to video images of conspecifics. Appl. Anim. Behav. Sci. 2001, 70, 285–295. [Google Scholar] [CrossRef]
- Kendrick, K.M.; Atkins, K.; Hinton, M.R.; Heavens, P.; Keverne, B. Are faces special for sheep? Evidence from facial and object discrimination learning tests showing effects of inversion and social familiarity. Behav. Process. 1996, 38, 19–35. [Google Scholar] [CrossRef]
- Kendrick, K.M.; Atkins, K.; Hinton, M.R.; Broad, K.D.; Fabre-Nys, C.; Keverne, B. Facial and vocal discrimination in sheep. Anim. Behav. 1995, 49, 1665–1676. [Google Scholar] [CrossRef]
- Kendrick, K.M. Neurobiological correlates of visual and olfactory recognition in sheep. Behav. Process. 1994, 33, 89–112. [Google Scholar] [CrossRef]
- Hawken, P.A.; Esmaili, T.; Scanlan, V.; Blache, D.; Martin, G.B. Can audio-visual or visual stimuli from a prospective mate stimulate a reproductive neuroendocrine response in sheep? Animal 2009, 3, 690–696. [Google Scholar] [CrossRef] [PubMed]
- Bouissou, M.F.; Porter, R.H.; Boyle, L.; Ferreira, G. Influence of a conspecific image of own vs. Different breed on fear reactions of ewes. Behav. Process. 1996, 38, 37–44. [Google Scholar] [CrossRef]
- Kendrick, K.M. Sheep senses, social cognition and capacity for consciousness. In The Welfare of Sheep; Dwyer, C.M., Ed.; Springer: Dordrecht, The Netherlands, 2008; pp. 135–158. [Google Scholar]
- Piggins, D.; Phillips, C.J.C. The eye of the domesticated sheep with implications for vision. Anim. Sci. 1996, 62, 301–308. [Google Scholar] [CrossRef]
- Franklin, J.R.; Hutson, G.D. Experiments on attrackting sheep to move along a laneway, III: Visual stimuli. Appl. Anim. Ethol. 1982, 8, 457–478. [Google Scholar] [CrossRef]
- Uhrig, M.K.; Trautmann, N.; Baumgartner, U.; Treede, R.D.; Henrich, F.; Hiller, W.; Marschall, S. Emotion elicitation: A comparison of pictures and films. Front. Psychol. 2016, 7, 1–12. [Google Scholar] [CrossRef] [PubMed]
- Clarke, P.G.H.; Whitteridge, D. The cortical visual areas of the sheep. J. Physiol. 1976, 256, 497–508. [Google Scholar] [CrossRef] [PubMed]
- Ezra-Elia, R.; Banin, E.; Honig, H.; Rosov, A.; Obolensky, A.; Averbukh, E.; Hauswirth, W.W.; Gootwine, E.; Ofri, R. Flicker cone function in normal and day blind sheep: A large animal model for human achromatopsia caused by cnga3 mutation. Doc. Ophthalmol. 2014, 129, 141–150. [Google Scholar] [CrossRef] [PubMed]
- Walls, G.L. The Vertebrate Eye and Its Adaptive Radiation; Cranbrook Institute of Science: Bloomfield Hills, MI, USA, 1942; Volume 19, p. 785. [Google Scholar]
- Kendrick, K.M. How the sheep brain controls the visual recognition of animals and humans. J. Anim. Sci. 1991, 69, 5008–5016. [Google Scholar] [CrossRef] [PubMed]
- Tate, A.J.; Fischer, H.; Leigh, A.E.; Kendrick, K.M. Behavioural and neurophysiological evidence for face identity and face emotion processing in animals. Philos. Trans. R. Soc. B 2006, 361, 2155–2172. [Google Scholar] [CrossRef] [PubMed]
- R Core Team. R: A Language and Environment for Statistical Computing 3.4.3; R Foundation for Statistical Computing: Vienna, Austria, 2017. [Google Scholar]
- R Core Team. R: A Language and Environment for Statistical Computing, 3.3.3; R Foundation for Statistical Computing: Vienna, Austria, 2016. [Google Scholar]
- Bates, D.; Maechler, M.; Bolker, B.; Walker, S.; Christensen, R.H.B.; Singmann, H.; Dai, B.; Grothendieck, G.; Green, P. Linear Mixed-Effects models using Eigen and S4. R Package Vers. 2016, 1, 1–23. [Google Scholar]
- Hartig, F. Residual diagnostics for hierarchical (multi-level/mixed) regression models. R Package Vers. 2016, 1, 3. [Google Scholar]
- Halekoh, U.; Hojsgaard, S. Parametric bootstrap and kenward roger based methods for mixed model comparison. R Package Vers. 2016, 4, 6. [Google Scholar]
- Forstmeier, W.; Schielzeth, H. Cryptic multiple hypotheses testing in linear models: Overestimated effect sizes and the winner’s curse. Behav. Ecol. Sociobiol. 2011, 65, 47–55. [Google Scholar] [CrossRef] [PubMed]
- Canty, A.; Ripley, B. Bootstrap functions (originally by angelo canty for s). R Package Vers. 2017, 1, 3–18. [Google Scholar]
- Friston, K. Ten ironic rules for non-statistical reviewers. Neuroimage 2012, 61, 1300–1310. [Google Scholar] [CrossRef] [PubMed]
- Revelle, W. Procedures for psychological, psychometric, and personality research. R Package Vers. 2017, 6, 12. [Google Scholar]
- Yu, Y.; Lin, L. Statistical tools for measuring agreement. R Package Vers. 2015, 8, 1. [Google Scholar]
- Vögeli, S.; Wolf, M.; Wechsler, B.; Gygax, L. Frontal brain activity and behavioral indicators of affective states are weakly affected by thermal stimuli in sheep living in different housing conditions. Front. Vet. Sci. 2015, 2, 9. [Google Scholar] [PubMed]
- Vögeli, S.; Wechsler, B.; Gygax, L. Welfare by the ear: Comparing relative durations and frequencies of ear postures by using an automated tracking system in sheep. Anim. Welf. 2014, 23, 267–274. [Google Scholar] [CrossRef]
- Hyttel-Sorensen, S.; Hessel, T.W.; la Cour, A.; Greisen, G. A comparison between two nirs oximeters (invos, oxyprem) using measurement on the arm of adults and head of infants after caesarean section. Biomed. Opt. Express 2014, 5, 3671–3683. [Google Scholar] [CrossRef] [PubMed]
- Kleiser, S.; Ostojic, D.; Andresen, B.; Nasseri, N.; Isler, H.; Scholkmann, F.; Karen, T.; Greisen, G.; Wolf, M. Comparison of tissue oximeters on a liquid phantom with adjustable optical properties: An extension. Biomed. Opt. Express 2018, 9, 86–101. [Google Scholar] [CrossRef] [PubMed]
- Wolf, M.; Wolf, U.; Toronov, V.; Michalos, A.; Paunescu, L.A.; Choi, J.H.; Gratton, E. Different time evolution of oxyhemoglobin and deoxyhemoglobin concentration changes in the visual and motor cortices during functional stimulation a near-infrared spectroscopy study. Neuroimage 2002, 16, 704–712. [Google Scholar] [CrossRef] [PubMed]
- Hueber, D.M.; Fantini, S.; Cerussi, A.E.; Barbieri, B. New optical probe designs for absolute (self-calibrating) nir tissue hemoglobin measurements. In SPIE Conference on Optical Tomography and Spectroscopy of Tissue III; SPIE: San Jose, CA, USA, 1999; Volume 3597, pp. 618–631. [Google Scholar]
- Jenny, C.; Biallas, M.; Trajkovic, I.; Wolf, M. Reproducibility of cerebral tissue oxygen saturation measurements by near-infrared spectroscopy in newborn infants. J. Biomed. Opt. 2011, 16, 097004. [Google Scholar] [CrossRef] [PubMed]
- Myung, I.J. The importance of complexity in model selection. J. Math. Psychol. 2000, 44, 190–204. [Google Scholar] [CrossRef] [PubMed]
- Mazerolle, M.J. Model selection and multimodel inference based on (q)aic(c). R Package Vers. 2017, 2, 1. [Google Scholar]
- Matsuda, G.; Hiraki, K. Sustained decrease in oxygenated hemoglobin during video games in the dorsal prefrontal cortex: A nirs study of children. Neuroimage 2006, 29, 706–711. [Google Scholar] [CrossRef] [PubMed]
- Bellegarde, L.G.A. Chapter 3: Housing conditions affect the spontaneous reactions of sheep to videos of conspecifics in situations of varying valence. In Perception of Emotions in Small Ruminants; University of Edinburgh: Edinburgh, UK, 2017. [Google Scholar]
- Robins, A.; Phillips, C. Lateralised visual processing in domestic cattle herds responding to novel and familiar stimuli. Laterality 2010, 15, 514–534. [Google Scholar] [CrossRef] [PubMed]
- Phillips, C.J.C.; Oevermans, H.; Syrett, K.L.; Jespersen, A.Y.; Pearce, G.P. Lateralisation of behaviour in dairy cows in response to conspecifics and novel persons. J. Dairy Sci. 2015, 98, 2389–2400. [Google Scholar] [CrossRef] [PubMed]
- Langbein, J. Investigations on training, recall and reversal learning of a y-maze by dwarf goats (capra hircus): The impact of lateralisation. Behav. Process. 2012, 89, 304–310. [Google Scholar] [CrossRef] [PubMed]
- Farmer, K.; Krueger, K.; Byrne, R.W. Visual laterality in the domestic horse (equus caballus) interacting with humans. Anim. Cogn. 2010, 13, 229–238. [Google Scholar] [CrossRef] [PubMed]
- Larose, C.; Richard-Yris, M.A.; Hausberger, M.; Rogers, L.J. Laterality of horses associated with emotionality in novel situations. Laterality 2006, 11, 355–367. [Google Scholar] [CrossRef] [PubMed]
- Sagliano, L.; D’Olimpio, F.; Taglialatela Scafati, I.; Trojano, L. Eye movements reveal mechanisms underlying attentional biases towards threat. Cogn. Emot. 2015, 30, 1344–1351. [Google Scholar] [CrossRef] [PubMed]
- Dong, Y.; De Beuckelaer, A.; Yu, L.; Zhou, R. Eye-movement evidence of the time-course of attentional bias for threatening pictures in test-anxious students. Cogn. Emot. 2017, 31, 781–790. [Google Scholar] [CrossRef] [PubMed]
- Amir, I.; Zvielli, A.; Bernstein, A. (De)coupling of our eyes and our mind’s eye: A dynamic process perspective on attentional bias. Emotion 2016, 16, 978. [Google Scholar] [CrossRef] [PubMed]
- Kano, F.; Tomonaga, M. How chimpanzees look at pictures: A comparative eye-tracking study. Proc. R. Soc. B 2009, 276, 1949–1955. [Google Scholar] [CrossRef] [PubMed]
- Somppi, S.; Tornqvist, H.; Hanninen, L.; Krause, C.; Vainio, O. Dogs do look at images: Eye tracking in canine cognition research. Anim. Cogn. 2012, 15, 163–174. [Google Scholar] [CrossRef] [PubMed]
- Ord, T.J.; Peters, R.A.; Evans, C.S.; Taylor, A.J. Digital video playback and visual communication in lizards. Anim. Behav. 2002, 63, 879–890. [Google Scholar] [CrossRef]
- Oliveira, F.R.M.; Rosenthal, G.G.; Schlupp, I.; McGregor, P.K.; Cuthill, I.C.; Endler, J.A.; Fleishman, L.J.; Zeil, J.; Barata, E.; Burford, F.; et al. Considerations on the use of video playbacks as visual stimuli the lisbon workshop consensus. Acta Ethol. 2000, 3, 61–65. [Google Scholar] [CrossRef]
- D’Eath, R.B. Can video images imitate real stimuli in animal behaviour experiments? Biol. Rev. 1998, 73, 267–292. [Google Scholar] [CrossRef]
- Evans, C.S.; Marler, P. On the use of video images as social stimuli in birds: Audience effects on alarm calling. Anim. Behav. 1991, 41, 17–26. [Google Scholar] [CrossRef]
- Rieucau, G.; Giraldeau, L.-A. Video playback and social foraging simulated companions produce the group size effect in nutmeg mannikins. Anim. Behav. 2009, 79, 961–966. [Google Scholar] [CrossRef]
- Fleishman, L.J.; Endler, J.A. Some comments on visual perception and the use of video playback in animal behavior studies. Acta Ethol. 2000, 3, 15–27. [Google Scholar] [CrossRef]
- Bharati, C.K.; Pothi Reddy, K. Measuring critical flicker fusion frequency in human eye by utilizing sound card of the computer as DAC. IJRASET Int. J. Res. Appl. Sci. Eng. Technol. 2015, 3, 48–50. [Google Scholar]








| Models Used | |
|---|---|
| a | Di *dd *si *sd *Phase + prodis *Phase + sholo *Phase + rile *SrS *Phase + nT *Phase |
| b | Dd *di *sd *si *Phase + rile *SrS *Phase + nT *Phase |
| c | Rile *SrS *Phase |
| d | Dd *di *sd *si *Phase + SrS *Phase + nT *Phase |
| e | Dd *di *sd *si *Phase + nT *Phase |
| f | Di *dd *Phase + si *sd *Phase + dd *sd *Phase + di *si *Phase |
| g | Di *dd.sqa *Phase + si *sd.sqa *Phase + dd.sqa *sd.sqa *Phase + di *dd *Phase + si *sd *Phase + dd *sd *Phase + di *si *Phase |
| h | Dd *sd *Phase |
| i | Si *di *Phase |
| j | Si *sd *Phase |
| k | Dd *di *Phase |
| l | nT *Phase |
| m | Phase |
| n | 1 (null model) |
| Phase or Video Type | Global | Effect of Target Touch | Video Valence | Video Intensity | Day of Test | Interactions | |
|---|---|---|---|---|---|---|---|
| (a) | Habituation phase | 13.69; 0.44 | NA | - | - | - | - |
| Experimental phase | 19.11; 0.07 | NA | 1.44; 0.23 | 0.07; 0.79 | 14.65; 0.003 | All interactions ≤0.53; ≥0.78 | |
| Reversal phase | 37.61; 0.08 | 5.83; 0.06 | −0.40; 1 | 0.99; 0.41 | 3.57; 0.21 | Effect * Valence 4.28; 0.06 Day of test * Valence 5.52; 0.08 All other interactions ≤4.27; ≥0.11 | |
| (b) | Dog videos | 43.92; 0.001 | 17.76; 0.002 | NA | 1.02; 0.42 | 14.39; 0.003 | All interactions ≤1.53; ≥0.14 |
| Sheep videos | 7.28; 0.85 | - | NA | - | - | - | |
© 2018 by the authors. Licensee MDPI, Basel, Switzerland. This article is an open access article distributed under the terms and conditions of the Creative Commons Attribution (CC BY) license (http://creativecommons.org/licenses/by/4.0/).
Share and Cite
Raoult, C.M.C.; Gygax, L. Valence and Intensity of Video Stimuli of Dogs and Conspecifics in Sheep: Approach-Avoidance, Operant Response, and Attention. Animals 2018, 8, 121. https://doi.org/10.3390/ani8070121
Raoult CMC, Gygax L. Valence and Intensity of Video Stimuli of Dogs and Conspecifics in Sheep: Approach-Avoidance, Operant Response, and Attention. Animals. 2018; 8(7):121. https://doi.org/10.3390/ani8070121
Chicago/Turabian StyleRaoult, Camille M. C., and Lorenz Gygax. 2018. "Valence and Intensity of Video Stimuli of Dogs and Conspecifics in Sheep: Approach-Avoidance, Operant Response, and Attention" Animals 8, no. 7: 121. https://doi.org/10.3390/ani8070121
APA StyleRaoult, C. M. C., & Gygax, L. (2018). Valence and Intensity of Video Stimuli of Dogs and Conspecifics in Sheep: Approach-Avoidance, Operant Response, and Attention. Animals, 8(7), 121. https://doi.org/10.3390/ani8070121

