Genetic Selection to Enhance Animal Welfare Using Meat Inspection Data from Slaughter Plants
Simple Summary
Abstract
1. Introduction
2. Materials and Methods
2.1. Data
2.2. Slaughter Remarks Analyzed
2.3. Statistical Analysis
3. Results
3.1. Prevalence of Health and Welfare Disorders in Different Farms
3.2. Differences between Sexes
3.3. Slaughter Remarks and Growth
3.4. Estimates of Variance Components and Heritability
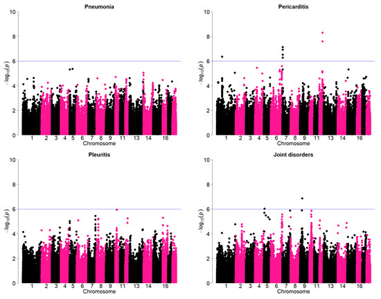
3.5. Associated Genomic Regions
3.6. Phenotypic and Genetic Correlations Among Slaughter Remarks
3.7. Genetic Correlations with Production Traits
4. Discussion
Author Contributions
Conflicts of Interest
References
- Cleveland-Nielsen, A.; Christensen, G.; Ersbøll, A. Prevalences of welfare-related lesions at post-mortem meat-inspection in Danish sows. Prev. Vet. Med. 2004, 64, 123–131. [Google Scholar] [CrossRef] [PubMed]
- Harley, S.; More, S.; Boyle, L.; O’Connell, N.; Hanlon, A. Good animal welfare makes economic sense: Potential of pig abattoir meat inspection as a welfare surveillance tool. Ir. Vet. J. 2012, 65, 11. [Google Scholar] [CrossRef] [PubMed]
- Gilmour, A.; Gogel, B.; Cullis, B.; Welham, S.; Thompson, R. Asreml User Guide Release 4.1 Structural Specification; VSN International Ltd.: Hemel Hempstead, UK, 2015. [Google Scholar]
- Falconer, D.; Mackay, T. Introduction to Quantitative Genetics; John Willey and Sons Inc.: New York, NY, USA, 1989; pp. 313–320. [Google Scholar]
- Garrick, D.J.; Taylor, J.F.; Fernando, R.L. Deregressing estimated breeding values and weighting information for genomic regression analyses. Genet. Sel. Evolut. 2009, 41, 55. [Google Scholar] [CrossRef] [PubMed]
- Yang, J.; Lee, S.H.; Goddard, M.E.; Visscher, P.M. Gcta: A tool for genome-wide complex trait analysis. Am. J. Hum. Genet. 2011, 88, 76–82. [Google Scholar] [CrossRef] [PubMed]
- Sargolzaei, M.; Chesnais, J.P.; Schenkel, F.S. A new approach for efficient genotype imputation using information from relatives. BMC Genom. 2014, 15, 478. [Google Scholar] [CrossRef] [PubMed]
- van Son, M.; Enger, E.G.; Grove, H.; Ros-Freixedes, R.; Kent, M.P.; Lien, S.; Grindflek, E. Genome-wide association study confirm major QTL for backfat fatty acid composition on SSC14 in duroc pigs. BMC Genom. 2017, 18, 369. [Google Scholar] [CrossRef] [PubMed]
- D’Allaire, S.; Drolet, R.; Chagnon, M. The causes of sow mortality: A retrospective study. Can. Vet. J. 1991, 32, 241. [Google Scholar] [PubMed]
- Bondt, N.; van den Elzen, G.; Hoste, R.; van Wagenberg, C.; Vermeij, I.; van der Fels, J. Terugdringen Van Slachtafwijkingen in de Varkensvleesketen; Agricultural Economics Institute: Wageningen, The Netherlands, 2004. [Google Scholar]
- Correia-Gomes, C.; Smith, R.P.; Eze, J.I.; Henry, M.K.; Gunn, G.J.; Williamson, S.; Tongue, S.C. Pig abattoir inspection data: Can it be used for surveillance purposes? PLoS ONE 2016, 11, e0161990. [Google Scholar] [CrossRef] [PubMed]
- Nielsen, S.S.; Nielsen, G.B.; Denwood, M.J.; Haugegaard, J.; Houe, H. Comparison of recording of pericarditis and lung disorders at routine meat inspection with findings at systematic health monitoring in Danish finisher pigs. Acta Vet. Scand. 2015, 57, 18. [Google Scholar] [CrossRef] [PubMed]
- Bonde, M.; Toft, N.; Thomsen, P.T.; Sørensen, J.T. Evaluation of sensitivity and specificity of routine meat inspection of Danish slaughter pigs using latent class analysis. Prev. Vet. Med. 2010, 94, 165–169. [Google Scholar] [CrossRef] [PubMed]




| Farm | Pigs | Pneumonia | Pleuritis | Pericarditis | Liver Lesions | Joint Disorders | Remark |
|---|---|---|---|---|---|---|---|
| A | 18,665 | 10.1 | 4.9 | 1.3 | 2.5 | 9.4 | 22.1 |
| B | 2319 | 59.5 | 2.4 | 10.0 | 3.5 | 1.6 | 61.0 |
| C | 1630 | 57.3 | 2.7 | 2.6 | 3.6 | 2.6 | 59.9 |
| D | 6664 | 14.9 | 20.5 | 7.8 | 4.4 | 7.2 | 35.0 |
| E | 883 | 8.6 | 11.7 | 7.3 | 11.9 | 8.1 | 15.5 |
| F | 7212 | 8.8 | 2.1 | 10.7 | 2.0 | 7.7 | 14.5 |
| G | 3981 | 7.4 | 2.3 | 3.6 | 2.4 | 9.0 | 12.7 |
| H | 4287 | 16.9 | 20.5 | 11.4 | 3.5 | 5.0 | 26.9 |
| I | 266 | 9.1 | 8.9 | 7.3 | 3.7 | 12.0 | 20.4 |
| J | 1343 | 59.1 | 7.0 | 4.6 | 3.0 | 4.8 | 64.5 |
| K | 1722 | 10.2 | 9.0 | 11.1 | 2.5 | 9.1 | 20.8 |
| L | 59,079 | 17.3 | 4.8 | 1.9 | 3.1 | 13.1 | 31.3 |
| M | 32,324 | 13.5 | 4.1 | 1.8 | 2.2 | 6.1 | 21.3 |
| All | 140,375 | 15.4 | 4.7 | 2.3 | 2.2 | 9.8 | 27.1 |
| Component | Pneumonia | Pleuritis | Pericarditis | Liver Lesions | Joint Disorders | Remark |
|---|---|---|---|---|---|---|
| Genetic | 0.368 (0.033) | 0.336 (0.057) | 0.562 (0.098) | 0.939 (0.134) | 0.626 (0.046) | 0.360 (0.027) |
| Common litter | 0.134 (0.016) | 0.208 (0.035) | 0.314 (0.062) | 0.231 (0.066) | 0.035 (0.018) | 0.098 (0.011) |
| Residual | 3.290 (0.000) | 3.290 (0.000) | 3.290 (0.000) | 3.290 (0.000) | 3.290 (0.000) | 3.290 (0.000) |
| Phenotypic | 3.609 (0.019) | 3.665 (0.036) | 3.885 (0.061) | 3.991 (0.072) | 3.638 (0.024) | 3.568 (0.015) |
| Heritability | 0.10 (0.01) | 0.09 (0.02) | 0.14 (0.02) | 0.24 (0.03) | 0.17 (0.01) | 0.10 (0.01) |
| Genotypes | Sires | Progeny | Lsmean | S.E. | Pr > |t| |
|---|---|---|---|---|---|
| 0 | 48 | 4909 | 0.019 a | 0.003 | <0.0001 |
| 1 | 240 | 24,195 | 0.025 b | 0.003 | <0.0001 |
| 2 | 309 | 30,012 | 0.029 b | 0.003 | <0.0001 |
| Total | 597 | 59,116 |
| Trait | Pneumonia | Pleuritis | Pericarditis | Liver Lesions | Joint Disorders | Remark |
|---|---|---|---|---|---|---|
| Pneumonia | 0.09 ** (0.003) | 0.11 ** (0.003) | 0.03 ** (0.003) | 0.00NS (0.003) | 0.70 ** (0.002) | |
| Pleuritis | 0.05 NS (0.027) | 0.30 ** (0.003) | 0.05 ** (0.003) | −0.02 ** (0.003) | 0.37 ** (0.003) | |
| Pericarditis | 0.11 ** (0.027) | 0.43 ** (0.025) | 0.05 ** (0.003) | 0.00 NS (0.003) | 0.25 ** (0.003) | |
| Liver lesions | 0.04 NS (0.028) | 0.05 NS (0.027) | 0.12 ** (0.027) | −0.02 ** (0.003) | 0.02 ** (0.003) | |
| Joint disorders | 0.02 NS (0.028) | 0.05 NS (0.028) | 0.04 NS (0.028) | 0.11 ** (0.027) | 0.52 ** (0.003) | |
| Remark | 0.69 ** (0.020) | 0.34 ** (0.026) | 0.22 ** (0.027) | 0.08 ** (0.027) | 0.57 ** (0.023) |
| Trait | Pneumonia | Pleuritis | Pericarditis | Liver Lesions | Joint Disorders | Remark |
|---|---|---|---|---|---|---|
| Average daily gain | −0.07 * (0.027) | −0.10 ** (0.027) | −0.05 (0.028) | 0.02 (0.028) | 0.09 ** (0.027) | −0.07 * (0.027) |
| Backfat | −0.03 (0.028) | 0.02 (0.028) | 0.02 (0.028) | −0.02 (0.028) | −0.11 ** (0.027) | −0.06 * (0.027) |
| Loin depth | −0.02 (0.028) | −0.02 (0.028) | −0.02 (0.028) | 0.01 (0.028) | 0.01 (0.028) | −0.03 (0.028) |
| Ham weight | −0.01 (0.028) | −0.03 (0.028) | −0.01 (0.028) | 0.03 (0.028) | 0.03 (0.028) | −0.02 (0.028) |
| Loin weight | −0.01 (0.028) | −0.02 (0.028) | −0.02 (0.028) | 0.03 (0.028) | 0.03 (0.028) | −0.01 (0.028) |
| Shoulder weight | −0.01 (0.028) | −0.02 (0.028) | −0.02 (0.028) | 0.04 (0.028) | 0.04 (0.028) | −0.01 (0.028) |
| Belly weight | −0.01 (0.028) | −0.02 (0.028) | 0.01 (0.028) | 0.05 (0.027) | 0.01 (0.028) | −0.02 (0.028) |
© 2018 by the authors. Licensee MDPI, Basel, Switzerland. This article is an open access article distributed under the terms and conditions of the Creative Commons Attribution (CC BY) license (http://creativecommons.org/licenses/by/4.0/).
Share and Cite
Mathur, P.K.; Vogelzang, R.; Mulder, H.A.; Knol, E.F. Genetic Selection to Enhance Animal Welfare Using Meat Inspection Data from Slaughter Plants. Animals 2018, 8, 16. https://doi.org/10.3390/ani8020016
Mathur PK, Vogelzang R, Mulder HA, Knol EF. Genetic Selection to Enhance Animal Welfare Using Meat Inspection Data from Slaughter Plants. Animals. 2018; 8(2):16. https://doi.org/10.3390/ani8020016
Chicago/Turabian StyleMathur, Pramod K., Roos Vogelzang, Herman A. Mulder, and Egbert F. Knol. 2018. "Genetic Selection to Enhance Animal Welfare Using Meat Inspection Data from Slaughter Plants" Animals 8, no. 2: 16. https://doi.org/10.3390/ani8020016
APA StyleMathur, P. K., Vogelzang, R., Mulder, H. A., & Knol, E. F. (2018). Genetic Selection to Enhance Animal Welfare Using Meat Inspection Data from Slaughter Plants. Animals, 8(2), 16. https://doi.org/10.3390/ani8020016
