Effect of Diet Supplementation with Quinoa Seed and/or Linseed on Immune Response, Productivity and Meat Quality in Merinos Derived Lambs
Simple Summary
Abstract
1. Introduction
2. Materials and Methods
2.1. Feed Analysis
2.2. Weight Gains, Post-Slaughter Measurements and Meat Sample Collection
2.3. Blood Sampling and Metabolic Profile Determination
2.4. Establishment of Humoral Response to a Keyhole Limpet Hemocyanin (KLH)
2.5. Evaluation of the Cell-Mediated Immune Response and Cortisol Secretion after Loading Test
2.6. Meat Quality: Chemical Composition, Color and Instrumental Tenderness of Meat
2.7. Statistical Analysis
3. Results
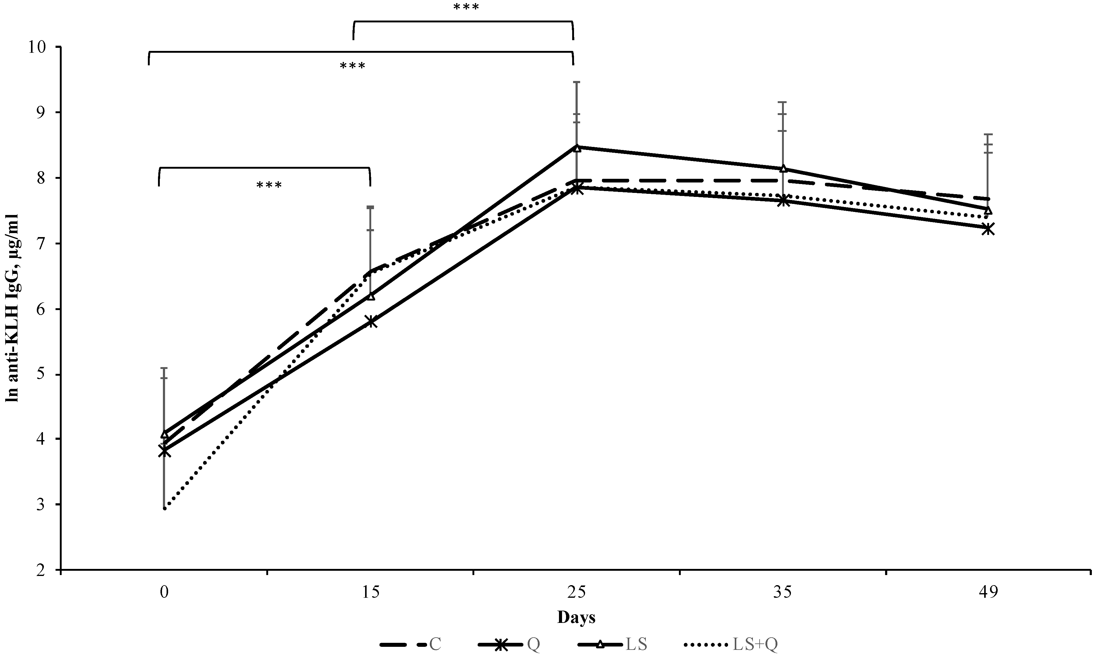
3.1. Metabolic Profile, Immune System and Cortisol Response
3.2. Growth, Carcass Parameters and Meat Quality
4. Discussion
4.1. Metabolic Profile, Immune System and Cortisol Response
4.2. Growth, Carcass Parameters and Meat Quality
5. Conclusions
Author Contributions
Funding
Conflicts of Interest
References
- Napolitano, F.; Cifuni, G.F.; Pacelli, C.; Riviezzi, A.M.; Girolami, A. Effect of artificial rearing on lamb welfare and meat quality. Meat Sci. 2002, 60, 307–315. [Google Scholar] [CrossRef]
- Carrasco, S.; Panea, B.; Ripoll, G.; Sanz, A.; Joy, M. Influence of feeding systems on cortisol levels, fat colour and instrumental meat quality in light lambs. Meat Sci. 2009, 83, 50–56. [Google Scholar] [CrossRef] [PubMed]
- Ripoll, G.; Joy, M.; Muñoz, F.; Albertí, P. Meat and fat colour as a tool to trace grass-feeding systems in light lamb production. Meat Sci. 2008, 80, 239–248. [Google Scholar] [CrossRef] [PubMed]
- Mele, M.; Serra, A.; Pauselli, M.; Luciano, G.; Lanza, M.; Pennisi, P.; Conte, G.; Taticchi, A.; Esposto, A.; Morbidini, L. The use of stoned olive cake and rolled linseed in the diet of intensively reared lambs: Effect on the intramuscular fatty-acid composition. Animal 2014, 8, 152–162. [Google Scholar] [CrossRef] [PubMed]
- Carroll, J.A.; Forsberg, N.E. Influence of stress and nutrition on cattle immunity. Vet. Clin. N. Am. Food Anim. Pract. 2007, 23, 105–149. [Google Scholar] [CrossRef] [PubMed]
- Caroprese, M.; Albenzio, M.; Bruno, A.; Fedele, V.; Santillo, A.; Sevi, A. Effect of solar radiation and flaxseed supplementation on milk production and fatty acid profile of lactating ewes under high ambient temperature. J. Dairy Sci. 2011, 94, 3856–3867. [Google Scholar] [CrossRef] [PubMed]
- Acuti, G.; Trabalza-Marinucci, M.; Cagiola, M.; Pela, M.; Curina, G.; Moscati, L. Extruded linseed supplementation in the diet of dairy sheep: The effects on immune response and oxidative stress as affected by the physiological state. Small Rumin. Res. 2012, 106, S21–S28. [Google Scholar] [CrossRef]
- Coreddu, F.; Nudda, A.; Battacone, G.; Boe, R.; Francesconi, A.H.D.; Pulina, G. Effects of grape seed supplementation, alone or associated with linseed, on ruminal metabolism in Sarda dairy sheep. Anim. Feed Sci. Technol. 2015, 199, 61–72. [Google Scholar] [CrossRef]
- Caroprese, M.; Albenzio, M.; Bruno, A.; Annicchiarico, G.; Marino, R.; Sevi, A. Effects of shade and flaxseed supplementation on the welfare of lactating ewes under high ambient temperatures. Small Rumin. Res. 2012, 102, 177–185. [Google Scholar] [CrossRef]
- Caroprese, M.; Ciliberti, M.G.; Annicchiarico, G.; Albenzio, M.; Muscio, A.; Sevi, A. Hypothalamic-pituitary-adrenal axis activation and immune regulation in heat-stressed sheep after supplementation with polyunsaturated fatty acids. J. Dairy Sci. 2014, 97, 4247–4258. [Google Scholar] [CrossRef] [PubMed]
- Woldemichael, G.M.; Wink, M. Indentification and biological activities of triterpenoid saponins from Chenopodium quinoa. J. Agric. Food Chem. 2001, 49, 2327–2332. [Google Scholar] [CrossRef] [PubMed]
- Yao, Y.; Yang, X.; Shi, Z.; Ren, G. Anti-inflammatory activity of saponins from quinoa (Chenopodium quinoa Willd.) seeds in lipopolysaccharide-stimulated RAW 264.7 macrophages cells. J. Food Sci. 2014, 79, 1018–1023. [Google Scholar] [CrossRef] [PubMed]
- Estrada, A.; Li, B.; Laarveld, B. Adjuvant action of Chenopodium quinoa saponins on the induction of antobody responses to intragastric and intranasal administrated antigens in mice. Comp. Immunol. Microbiol. Infect. Dis. 1998, 21, 225–236. [Google Scholar] [CrossRef]
- Palombini, S.V.; Claus, T.; Maruyama, S.A.; Gohara, A.K.; Souza, A.H.P.; de Souza, N.E.; Visentainer, J.V.; Gomes, S.T.M.; Matsushita, M. Evaluation of nutritional compounds in new amaranth and quinoa cultivars. Food Sci. Technol. 2013, 33, 339–344. [Google Scholar] [CrossRef]
- Napolitano, F.; Caroprese, M.; Girolami, A.; Marino, R.; Muscio, A.; Sevi, A. Effects of early maternal separation of lambs and rearing with minimal and maximal human contact on meat quality. Meat Sci. 2006, 72, 635–640. [Google Scholar] [CrossRef] [PubMed]
- Ciliberti, M.G.; Albenzio, M.; Inghese, C.; Santillo, A.; Marino, R.; Sevi, A.; Caroprese, M. Peripheral blood mononuclear cells proliferation and cytokine production in sheep as affected by cortisol level and duration of stress. J. Dairy Sci. 2017, 100, 750–756. [Google Scholar] [CrossRef] [PubMed]
- della Malva, A.; Marino, R.; Santillo, A.; Annicchiarico, G.; Caroprese, M.; Sevi, A.; Albenzio, M. Proteomic approach to investigate the impact of different dietary supplementation on lamb meat tenderness. Meat Sci. 2017, 131, 74–81. [Google Scholar] [CrossRef] [PubMed]
- Van Soest, P.J.; Robertson, J.B.; Lewis, BA. Methods for dietary fiber, neutral detergent fiber and nonstarch polysaccharides in relation to animal nutrition. J. Dairy Sci. 1991, 74, 3583–3597. [Google Scholar] [CrossRef]
- Association of Official Analytical Chemists (AOAC). Official Methods of Analysis, 16th ed.; AOAC: Arlington, VA, USA, 1995; Volume 2. [Google Scholar]
- Sauvant, D.; Perez, J.M.; Tran, G. Tables of Composition and Nutritional Value of Feed Materials: Pigs, Poultry, Cattle, Sheep, Goats, Rabbits, Horses and Fish, 1st ed.; Wageningen Academic Publishers: Wageningen, The Netherland, 2004; ISBN 978-90-76998-41-1. [Google Scholar]
- O’Fallon, J.V.; Busboom, J.R.; Nelson, M.L.; Gaskins, C.T. A direct method for fatty acid methyl ester synthesis: Application to wet meat tissues, oils, and feedstuffs. J. Anim. Sci. 2007, 85, 1511–1521. [Google Scholar] [CrossRef] [PubMed]
- European Commission. Council Regulation (EC) No. 1099/2009 of 24 September 2009 on the protection of animals at the time of killing. Eur. Community Off. J. 2009, L303, 1–30. [Google Scholar]
- Caroprese, M.; Marzano, A.; Entrican, G.; Wattegedera, S.; Albenzio, M.; Sevi, A. Immune response of cows fed polyunsaturated fatty acids under high ambient temperature. J. Dairy Sci. 2009, 92, 2796–2803. [Google Scholar] [CrossRef] [PubMed]
- Caroprese, M.; Albenzio, M.; Annicchiarico, G.; Sevi, A. Changes occurring in immune responsiveness of single and twin bearing Comisana ewes during the transition period. J. Dairy Sci. 2006, 89, 562–568. [Google Scholar] [CrossRef]
- Marino, R.; Albenzio, M.; della Malva, A.; Santillo, A.; Loizzo, P.; Sevi, A. Proteolytic pattern of myofibrillar protein and meat tenderness as affected by breed and aging time. Meat Sci. 2013, 95, 281–287. [Google Scholar] [CrossRef] [PubMed]
- SAS Institute. SAS Enterprise Guide: Statistics, version 6.1; SAS Institute Inc.: Cary, NC, USA, 2013. [Google Scholar]
- Dimauro, C.; Bonelli, P.; Nicolussi, P.; Rassu, S.P.; Cappio-Borlino, A.; Pulina, G. Estimating clinical chemistry reference values based on an existing data set of unselected animals. Vet. J. 2008, 178, 278–281. [Google Scholar] [CrossRef] [PubMed]
- Lepherd, M.L.; Canfield, P.J.; Hunt, G.B.; Bosward, K.L. Haematological, biochemical and selected acute phase protein reference intervals for weaned female Merino lambs. Aust. Vet. J. 2009, 87, 5–11. [Google Scholar] [CrossRef] [PubMed]
- Nudda, A.; Battacone, G.; Atzori, A.S.; Dimauro, C.; Rassu, S.P.G.; Nicolussi, P.; Bonelli, P.; Pulina, G. Effect of estruded linseed supplementation on blood metabolic profile and milk performance of Saanen goats. Animal 2013, 7, 1464–1471. [Google Scholar] [CrossRef] [PubMed]
- Gonthier, C.; Mustafa, A.F.; Quellet, D.R.; Chouinard, P.Y.; Berthiaume, R.; Petit, H.V. Feeding micronized and extruded flaxseed to dairy cows: Effects on blood parameters and milk fatty acid composition. J. Dairy Sci. 2005, 88, 748–756. [Google Scholar] [CrossRef]
- Takao, T.; Watanabe, N.; Yukara, K.; Itoh, S.; Suda, S.; Tsuruoka, Y.; Nakatsugawa, K.; Konishi, Y. Hypercholesterolemic effect of protein isolated from quinoa (Chenopodium quinoa W.) seeds. Food Sci. Technol. Res. 2005, 11, 161–167. [Google Scholar] [CrossRef]
- Pasko, P.; Zagrodzki, P.; Barton, H.; Chlopicka, J.; Gorinstein, S. Effect of quinoa seeds (Chenopodium quinoa) in diet on some biochemical parameters and essential elements in blood of high fructose-fed rats. Plant Foods Hum. Nutr. 2010, 65, 333–338. [Google Scholar] [CrossRef] [PubMed]
- Sevi, A.; Caroprese, M.; Annicchiarico, G.; Albenzio, A.; Taibi, L.; Muscio, A. The effect of gradual separation from the mother on later behavioral, immune and endocrine alterations in artificially reared lambs. Appl. Anim. Behav. Sci. 2003, 83, 41–53. [Google Scholar] [CrossRef]
- Caroprese, M.; Albenzio, M.; Marzano, A.; Schena, L.; Annicchiarico, G.; Sevi, A. Relationship between cortisol response to stress and behavior, immune profile, and production performance of dairy ewes. J. Dairy Sci. 2010, 93, 2395–2403. [Google Scholar] [CrossRef] [PubMed]
- Assmann, N.; Finlay, D.K. Metabolic regulation of immune responses: Therapeutic opportunities. J. Clin. Investig. 2016, 126, 2031–2039. [Google Scholar] [CrossRef] [PubMed]
- Bessa, R.J.B.; Alves, S.P.; Jerònimo, E.; Alfaia, C.M.; Prates, J.A.M.; Santos-Silva, J. Effect of lipid supplements on ruminal biohydrogenation intermediates and muscle fatty acids in lamb. Eur. J. Lipid Sci. Technol. 2007, 109, 868–883. [Google Scholar] [CrossRef]
- Urrutia, O.; Soret, B.; Insausti, K.; Mendizabal, J.A.; Purroy, A.; Arana, A. The effects of linseed or chia seed dietary supplementation on adipose tissue development, fatty acid composition, and lipogenic gene expression in lambs. Small Rumin. Res. 2015, 123, 204–211. [Google Scholar] [CrossRef]
- Kott, R.W.; Hatfield, P.G.; Bergman, J.W.; Flynn, C.R.; Van Wagoner, H.; Boles, J.A. Feedlot performance, carcass compositions of lambs fed diets supplemented with safflower seeds. Small Rumin. Res. 2003, 49, 11–17. [Google Scholar] [CrossRef]
- Muchenje, V.; Dzama, K.; Chimonyo, M.; Strydom, P.E.; Hugo, A.; Raats, J.G. Some biochemical aspects pertaining to beef eating quality and consumer health: A review. Food Chem. 2009, 112, 279–289. [Google Scholar] [CrossRef]
- Immonem, K.; Ruusunen, M.; Hissa, K.; Puolanne, E. Bovine muscle glycogen concentration in relation to finishing diet, slaughter and ultimate pH. Meat Sci. 2000, 55, 25–31. [Google Scholar] [CrossRef]
- Mancini, R.A.; Hunt, M.C. Current research in meat color. Meat Sci. 2005, 71, 100–121. [Google Scholar] [CrossRef] [PubMed]
- Šimek, J.; Steinhauser, L. Colour of meat. Maso 2001, 12, 35–36. [Google Scholar]
- Priolo, A.; Micol, D.; Agabriel, J.; Prache, S.; Dransfield, E. Effect of grass or concentrate feeding system on lamb carcass and meat quality. Meat Sci. 2002, 62, 179–185. [Google Scholar] [CrossRef]
- Moloney, A.P.; Kennedy, C.; Noci, F.; Monahan, F.J.; Kerry, J.P. Lipid and colour stability of M. longissimus muscle from lambs fed camelina or linseed as oils or seeds. Meat Sci. 2012, 92, 1–7. [Google Scholar] [CrossRef] [PubMed]



| Item | Diet Treatment | |||
|---|---|---|---|---|
| C | Q | LS | LS + Q | |
| Diet ingredient 1, % DM | ||||
| Vetch and oat hay | 21.18 | 21.16 | 21.25 | 21.13 |
| Concentrate | 78.88 | 67.49 | 67.32 | 67.40 |
| Linseed | - | - | 11.58 | 5.79 |
| Quinoa | - | 11.35 | - | 5.67 |
| Chemical composition, % DM | ||||
| Crude Protein (CP) | 18.75 | 18.62 | 19.09 | 18.86 |
| Ether Extract (EE) | 3.34 | 3.58 | 6.26 | 4.92 |
| Neutral Detergent Fiber (NDF) | 40.31 | 41.76 | 41.75 | 41.76 |
| Acid Detergent Fiber (ADF) | 16.67 | 15.89 | 17.69 | 16.79 |
| Non Structural Carbohydrates (NSC) | 28.71 | 27.81 | 24.71 | 26.25 |
| ME (MJ/kg DM) | 11.34 | 11.61 | 12.12 | 11.87 |
| Fatty acids composition, % | ||||
| C14:0 | 0.29 | 0.30 | 0.17 | 0.21 |
| C16:0 | 18.10 | 18.22 | 11.03 | 13.02 |
| C18:0 | 2.04 | 2.08 | 2.54 | 2.28 |
| C18:1 | 20.15 | 20.23 | 18.55 | 19.53 |
| C18:2 c9,c12 | 51.42 | 50.99 | 31.53 | 38.54 |
| C18:3 n-3 | 5.58 | 5.66 | 34.50 | 24.28 |
| Item | Diet Treatment | Time Sampling (d) | Effects, p | |||||||||||
|---|---|---|---|---|---|---|---|---|---|---|---|---|---|---|
| C | LS | Q | LS + Q | SEM | 0 | 25 | 35 | 49 | SEM | Diet | Time | Diet × Time | ||
| Urea (mmol/L) | 6.20 a | 5.16 c | 5.71 b | 5.61 b c | 0.16 | 5.41 b | 5.62 b | 5.47 b | 6.36 a | 0.16 | *** | *** | *** | |
| Protein metabolism | Creatinine (µmol/L) | 82.08 a | 75.42 b | 74.59 b | 74.86 b | 2.15 | 74.74 | 75.21 | 78.38 | 78.61 | 2.14 | * | NS | NS |
| Total protein (g/L) | 59.00 c | 61.34 ab | 58.79 c | 60.44 bc | 0.53 | 59.47 b | 59.31 b | 59.68 b | 61.28 a | 0.53 | ** | * | NS | |
| Albumin (g/L) | 36.21 bc | 38.34 a | 35.34 c | 34.25 d | 0.37 | 35.87 | 35.72 | 36.11 | 31.45 | 0.37 | *** | NS | NS | |
| Globulin (g/L) | 22.79 b | 23.80 b | 23.63 b | 26.19 a | 0.68 | 23.60 | 23.60 | 23.58 | 24.83 | 0.68 | ** | NS | NS | |
| Glucose (mmol/L) | 4.81 b | 4.63 c | 5.06 a | 4.86 ab | 0.08 | 5.14 a | 4.91 b | 4.75 bc | 4.56 c | 0.08 | ** | *** | * | |
| Cholesterol (mmol/L) | 1.47 a | 1.17 b | 1.17 b | 1.22 b | 0.06 | 1.54 a | 1.37 b | 1.23 b c | 1.19 c | 0.06 | *** | *** | NS | |
| Energy metabolism | Trygliceride (mmol/L) | 0.20 c | 0.27 a | 0.26 ab | 0.25 b | 0.02 | 0.26 | 0.24 | 0.23 | 0.23 | 0.01 | ** | NS | NS |
| NEFA (mmol/L) | 0.13 b | 0.22 a | 0.21 a | 0.20 a | 0.02 | 0.20 | 0.19 | 0.18 | 0.18 | 0.02 | ** | NS | NS | |
| ALP (U/L) | 235.07 | 265.84 | 250.12 | 245.68 | 13.38 | 218.06 b | 231.61 b | 255.27 b | 291.78 a | 13.38 | NS | ** | NS | |
| Blood enzymes activity | LDH (U/L) | 972.96 b | 1186.15 ab | 1279.56 a | 1223.91 a | 85.4 | 1138.82 | 1158.18 | 1120.95 | 1244.64 | 85.40 | NS | NS | NS |
| GGT (U/L) | 71.93 b | 83.37 a | 72.53 b | 74.91 b | 2.57 | 76.51 | 75.58 | 75.45 | 75.19 | 2.57 | *** | NS | NS | |
| Item | Diet Treatment | SEM | Effect, p | |||
|---|---|---|---|---|---|---|
| C | Q | LS | LS + Q | |||
| Initial weight (kg) | 14.56 | 14.30 | 14.43 | 14.20 | 0.88 | NS |
| Final weight (kg) | 25.41 | 25.14 | 24.16 | 25.69 | 1.35 | NS |
| ADG (kg/d) | 0.23 | 0.21 | 0.21 | 0.23 | 0.01 | NS |
| Slaughter weight (kg) | 24.56 | 24.74 | 24.91 | 24.68 | 0.15 | NS |
| Carcass weight (kg) | 14.41 b | 15.03 a | 13.98 c | 14.62 b | 0.21 | * |
| Cold carcass weight (kg) | 14.11 b | 14.67 a | 13.63 c | 14.31 b | 0.13 | * |
| Dressing percentage (%) | 58.63 c | 60.75 a | 56.11 d | 59.25 b | 0.16 | * |
| pH 1 h | 6.31 b | 6.33 b | 6.50 a | 6.56 a | 0.04 | * |
| pH 3 h | 6.07 b | 6.15 b | 6.31 a | 6.33 a | 0.05 | * |
| pH 6 h | 5.88 | 5.91 | 6.05 | 6.00 | 0.06 | NS |
| pH 24 h | 5.73 | 5.65 | 5.70 | 5.67 | 0.05 | NS |
| Item | Diet Treatment | SEM | Effect, p | |||
|---|---|---|---|---|---|---|
| C | Q | LS | LS + Q | |||
| Intramuscular fat (%) | 1.04 b | 1.32 a | 1.41 a | 1.45 a | 0.08 | * |
| WBSF (kg/cm2) | 6.54 a | 5.75 b | 5.39 b | 5.44 b | 0.18 | ** |
| L* | 38.72 b | 45.61 a | 44.09 a | 44.38 a | 0.51 | ** |
| a* | 8.75 b | 9.67 a | 9.52 a | 9.57 a | 0.25 | ** |
| b* | 9.26 b | 11.77 a | 11.42 a | 11.83 a | 0.28 | ** |
© 2018 by the authors. Licensee MDPI, Basel, Switzerland. This article is an open access article distributed under the terms and conditions of the Creative Commons Attribution (CC BY) license (http://creativecommons.org/licenses/by/4.0/).
Share and Cite
Marino, R.; Caroprese, M.; Annicchiarico, G.; Ciampi, F.; Ciliberti, M.G.; Della Malva, A.; Santillo, A.; Sevi, A.; Albenzio, M. Effect of Diet Supplementation with Quinoa Seed and/or Linseed on Immune Response, Productivity and Meat Quality in Merinos Derived Lambs. Animals 2018, 8, 204. https://doi.org/10.3390/ani8110204
Marino R, Caroprese M, Annicchiarico G, Ciampi F, Ciliberti MG, Della Malva A, Santillo A, Sevi A, Albenzio M. Effect of Diet Supplementation with Quinoa Seed and/or Linseed on Immune Response, Productivity and Meat Quality in Merinos Derived Lambs. Animals. 2018; 8(11):204. https://doi.org/10.3390/ani8110204
Chicago/Turabian StyleMarino, Rosaria, Mariangela Caroprese, Giovanni Annicchiarico, Francesco Ciampi, Maria Giovanna Ciliberti, Antonella Della Malva, Antonella Santillo, Agostino Sevi, and Marzia Albenzio. 2018. "Effect of Diet Supplementation with Quinoa Seed and/or Linseed on Immune Response, Productivity and Meat Quality in Merinos Derived Lambs" Animals 8, no. 11: 204. https://doi.org/10.3390/ani8110204
APA StyleMarino, R., Caroprese, M., Annicchiarico, G., Ciampi, F., Ciliberti, M. G., Della Malva, A., Santillo, A., Sevi, A., & Albenzio, M. (2018). Effect of Diet Supplementation with Quinoa Seed and/or Linseed on Immune Response, Productivity and Meat Quality in Merinos Derived Lambs. Animals, 8(11), 204. https://doi.org/10.3390/ani8110204

