Next Article in Journal
Intestinal Microbiota and Probiotic Characteristics of Two Indigenous Chicken Breeds (Hotan Black Chicken and Baicheng You Chicken) from the Tarim Basin
Next Article in Special Issue
Fish Diversity and Functional Traits in the Seagrass Based on the Environmental DNA Metabarcoding in the Li’an Bay, China
Previous Article in Journal
Differential Expression of Hypothalamic Genes in Laying Hens Housed in Caged and Cage-Free Systems Under Commercial Conditions in the Tropics
Previous Article in Special Issue
Histological Observation and Functional Gene Expression Analysis of Gonadal Development in Ruditapes philippinarum Under Artificial Culture Conditions
 
 
Font Type:
Arial Georgia Verdana
Font Size:
Aa Aa Aa
Line Spacing:
Column Width:
Background:
Article

Single- and Multi-Trait Genome-Wide Association Analyses Identify the Genetic Loci and Candidate Genes for Growth Traits in Plecoglossus altivelis

1
National Demonstration Center for Experimental Fisheries Science Education, Shanghai Ocean University, Shanghai 201306, China
2
Research Centre for Aquatic Biotechnology, Chinese Academy of Fishery Sciences, Beijing 100141, China
3
Beijing Key Laboratory of Fishery Biotechnology, Chinese Academy of Fishery Sciences, Beijing 100141, China
4
Key Laboratory of Aquatic Genomics, Ministry of Agriculture and Rural Affairs, Beijing 100125, China
5
College of Life Sciences, Xinjiang Agricultural University, Urumqi 830052, China
6
Shenzhen Institutes of Advanced Technology, Chinese Academy of Sciences, Shenzhen 518055, China
*
Author to whom correspondence should be addressed.
These authors contributed equally to this work.
Animals 2026, 16(4), 670; https://doi.org/10.3390/ani16040670
Submission received: 7 January 2026 / Revised: 13 February 2026 / Accepted: 18 February 2026 / Published: 20 February 2026
(This article belongs to the Special Issue Global Fisheries Resources, Fisheries, and Carbon-Sink Fisheries)

Simple Summary

This study aimed to identify the key genes controlling growth in the economically important fish, Plecoglossus altivelis, to enable faster genetic improvement through breeding. Ayu is an anadromous teleost fish—a group characterized by bony skeletons, which includes the vast majority of farmed fish species. It is prized for its delicate texture and unique melon-like aroma. We analyzed the DNA of 426 Plecoglossus altivelis to find variations called Single-Nucleotide Polymorphisms (SNPs), which are single-letter changes in the genetic code that serve as markers for traits. Using a Genome-Wide Association Study (GWAS) approach, we scanned these SNPs to find those linked to growth. For robust results, we used two complementary software tools: GCTA (version 1.94.1), which effectively accounts for family relatedness among individuals, and GEMMA (version 0.98), which excels at analyzing multiple traits simultaneously to find genes with broad effects. Our integrated analysis successfully identified several significant SNPs and candidate genes (e.g., abat, slc25a12) associated with growth. In conclusion, this study successfully achieved its objective by mapping the genetic architecture of growth in Plecoglossus altivelis, delivering crucial molecular markers and candidate genes for future marker-assisted and genomic selection breeding programs.

Abstract

With the rapid development of genomic big data and genome-wide association study technologies, massive genomic data are available for the genetic dissection, development and utilization of important economic traits. Various GWAS algorithms have become increasingly efficient, enabling high-performance processing of these massive datasets. This has made it possible to conduct genetic dissection of economic traits based on big data and advanced statistical methods, which will provide accurate target loci for future trait improvement and genetic manipulation, greatly accelerating the process of genetic breeding. In this study, genotyping of 426 fish was performed using the T7 sequencing platform and 555,242 SNPs distributed across all the chromosomes were screened by data cleaning. We compared the performance of two GWAS methods, GCTA and GEMMA, in both single-trait and multi-trait frameworks. Twenty-nine SNPs significantly associated with seven traits were identified through single and multi-trait combined GWAS. Single-trait GWAS analysis using GCTA identified 1047 and 1452 significant loci for six growth traits and one sex trait (phenotypic sex, male or female) respectively, ultimately revealing 10 candidate genes, including slc48a1a, filip1L, nedd9, Crebbpa, LOC134024622, zbtb18, LOC117378376, LOC131530706, syde2, and col24a1. Similarly, 671 and 642 significant SNPs were detected with GEMMA for single-trait GWAS associated with six growth traits and the sex trait, respectively. In total, 16 candidate genes were mapped for these seven traits. Multi-trait GWAS was also performed using GEMMA for the six growth traits (sex was included as a covariate). The traits were grouped into five combinations based on their genetic correlations. A total of 37 SNPs were identified, corresponding to 10 candidate genes: LOC131530706, LOC134022516, abat, maml3, cica, LOC124013321, slc25a12, dnah10, syt9a, and LOC136932979. Notably, five overlapping candidate genes (LOC131530706, LOC134022516, abat, slc25a12 and dnah10) were also identified in both single- and multi-trait GWAS methods of GEMMA, highlighting their genetic stability and significance. The two GWAS methods, GCTA and GEMMA, identified two genes that were the same. The results of this study provide molecular markers and genetic resources for the improvement of growth traits in Plecoglossus altivelis.

1. Introduction

Plecoglossus altivelis belongs to the order Osmeriformes, family Plecoglossidae, and genus Plecoglossus [1] and is widely distributed in East Asia, especially in Japan, Korea, and China [2,3,4]. It exhibits a distinctive morphology characterized by an elongated, laterally compressed body, a hook-like downward-curving snout, a large mouth, and paired anterior protrusions on the lower jaw forming a concave structure [5]. Ayu is of extremely high economic value in Japan. Aquaculture production of ayu was approximately 5000 tons in 2017, the second-largest inland aquaculture production in Japan [6]. The average annual production of ayu in China stabilized at around 60,000 tons between 2019 and 2023. The Northeast region accounts for about 45% of the market share, followed by North China with about 30%, and South China ranks third with 18% market share. Together, these three areas form the heart of China’s ayu industry. In recent years, the market for ayu has seen significant growth due to the growing consumer demand for healthy food and the improvement of people’s consumption habits of high-quality aquatic products [7]. Therefore, ayu aquaculture has emerged as a pivotal growth driver in the fisheries industry of China. With the rapid development of genome technology, the genome of Plecoglossus altivelis has been decoded. However, the assembly remains rough. At present, research on the Plecoglossus altivelis genome is only at the scaffold level (i.e., the scaffold structure for gene expression regulation), and no scholars or research teams have conducted analysis and assembly of the ayu chromosome structure. A series of systematic efforts are still required to thoroughly refine it to the chromosome level. The ayu genome is relatively small, comprising approximately 420 Mb distributed across 28 chromosomes (n = 28). Moreover, a y-linked receptor gene was mapped in ayu for its sex-determination [8]. Comparison of whole-genome resequencing mapping coverage between males and females identified male-specific regions in sex-linked scaffolds. A duplicate copy of the anti-Mullerian hormone type-II receptor gene (amhr2bY) was found within these male-specific regions [8], distinct from the autosomal copy of amhr2. These findings provide a basis for studying the sex determination mechanism of ayu.
A genome-wide association study (GWAS) [9] is a high-throughput genomic approach that identifies genetic variants associated with target traits by analyzing dense genotyping data from large cohorts. It enables genome-scale screening for genetic polymorphisms linked to diseases or complex traits within specific populations [10], leveraging the principle of linkage disequilibrium (LD), where adjacent alleles on chromosomes are co-inherited non-randomly. By detecting single-nucleotide polymorphisms (SNPs) [11], GWAS infers trait-associated loci through LD patterns [12].
As a genome-level analytical framework, GWAS facilitates the discovery of causal genetic variants underlying phenotypic traits. Integrated with molecular marker-assisted breeding [13], GWAS holds transformative potential for aquaculture. Significant advancements have been achieved in fish species such as rainbow trout (Oncorhynchus mykiss) [14], yellow croaker (Nibea albiflora) [15], and large yellow croaker (Larimichthys crocea) [16]. For instance, Tai et al. [17] identified key candidate loci and genes (e.g., igf1, gh) associated with growth traits (body weight, body length, total length, and body height) in rainbow trout via GWAS. Similarly, studies on yellow croaker [18] revealed critical SNPs and genes (e.g., mstn, gdf8) linked to growth regulation. Cui et al. [19] conducted a GWAS on yellowtail amberjack (Seriola lalandi), pinpointing growth-related SNPs and candidate genes. Ali et al. [20] reported analogous findings in rainbow trout, while Wang et al. [21] identified growth-associated genetic markers in tiger pufferfish (Takifugu rubripes), providing valuable insights for selective breeding. Beyond growth traits, GWAS has been widely applied to investigate disease resistance and stress tolerance traits in fish.

2. Materials and Methods

2.1. Experimental Population and Phenotypic Measurements

In this study, 426 Plecoglossus altivelis individuals were collected from a single, closed breeding population at the aquaculture farm of Liaoning Plecoglossus altivelis Fisheries Co., Ltd. in Dandong, Northeast China. To ensure genetic consistency, all samples originated from the same broodstock population with a shared breeding history and management protocol. To minimize the influence of close kinship, which could confound genetic association analyses, individuals were randomly selected based on available pedigree records to avoid sampling full-sib or half-sib family groups. Phenotypic characterization was performed on all individuals. The sampled population consisted of 5-month-old fish with an average body weight of 21.1 g and an average body length of 11.4 cm. Six key growth-related traits were precisely measured using standardized protocols:
Body Weight (BW): Measured using an electronic balance with a precision of 0.01 g after wiping the surface moisture of the fish body with absorbent paper.
Total Length (TL): The straight-line distance from the most anterior tip of the snout to the distal end of the caudal fin, measured with a digital caliper with a precision of 0.01 mm.
Body Length (BL): The straight-line distance from the most anterior tip of the snout to the posterior edge of the caudal peduncle, measured with a digital caliper with a precision of 0.01 mm.
Body Height (BH): The maximum vertical distance from the dorsal contour to the ventral contour of the fish body, measured at the position of the first dorsal fin ray using a digital caliper with a precision of 0.01 mm.
Eye Diameter (ED): Defined as the horizontal cross-sectional diameter of the eyeball, referring to the straight-line distance between the left and right edges of the eyeball in the horizontal direction, measured with a digital caliper with a precision of 0.01 mm.
Gonad Weight (GW): The weight of the dissected gonad tissue, measured using an electronic balance with a precision of 0.01 g after rinsing with sterile phosphate-buffered saline (PBS) and blotting surface moisture.
Sex: Determined by visual inspection combined with histological observation of gonad tissue; individuals were categorized into male, female, and undifferentiated (if applicable).
Concurrently with phenotypic data recording, a portion of the caudal fin tissue from each fish was excised using sterile scissors and immediately preserved in 2.0 mL sterile EP tubes prefilled with absolute ethanol. All samples were stored at −20 °C for subsequent DNA extraction.
Euthanasia and Tissue Sampling: Prior to tissue sampling, all fish were euthanized by immersion in a buffered tricaine methanesulfonate (MS-222, 150 mg/L) solution to ensure unconsciousness and cessation of opercular movement, in accordance with established animal welfare guidelines. Following confirmation of death, a portion of the caudal fin tissue was excised using sterile scissors for DNA extraction.

2.2. DNA Extraction, Sequencing, and Genotype Data Acquisition

DNA was extracted from the collected caudal fin tissues using the phenol–chloroform method. The quality of extracted DNA was assessed via 1% agarose gel electrophoresis, and concentrations were adjusted to 2.5 ng/μL prior to sequencing by BGI Wuhan (Wuhan, China).

2.3. Sequencing Methods

Sequencing was performed on the DNBSEQ platform of BGI Wuhan Co., Ltd., which included library construction and sequencing steps. The specific procedures are as follows:
  • DNA Sample Detection
The concentration of DNA samples was measured using a fluorometer, and the integrity of DNA samples was examined via 1% agarose gel electrophoresis. Only samples that passed the detection were used for library preparation.
2.
DNA Sample Fragmentation
DNA samples were fragmented by ultrasonication, and short DNA fragments meeting the length requirements were obtained by adjusting the fragmentation parameters.
3.
Fragment Size Selection
The fragmented samples were subjected to fragment selection using magnetic beads to concentrate the sample bands at approximately 300–400 bp. The amount of purified DNA samples was quantified using a fluorometer.
4.
End Repair, A-Tailing, and Adapter Ligation
A reaction system was prepared and incubated at an appropriate temperature for a specific duration to repair the ends of double-stranded DNA and add an adenine (A) base to the 3′ ends. An adapter ligation reaction system was then prepared and incubated at an appropriate temperature for a specific duration to ligate adapters to the DNA fragments.
5.
PCR Amplification and Product Recovery
A PCR reaction system was prepared, and the reaction program was set up to amplify the ligation products. The amplified products were subjected to fragment selection using magnetic beads, and the concentration and fragment size of the PCR products were detected.
6.
PCR Product Circularization
The PCR products were denatured into single strands, after which a circularization reaction system was prepared, thoroughly mixed, and incubated at an appropriate temperature for a specific duration to obtain single-stranded circular products. After digesting the uncircularized linear DNA molecules, the final library was obtained.
7.
Library Detection
The concentration of the library was determined.
8.
Sequencing on the Instrument
Single-stranded circular DNA molecules were amplified via rolling circle replication to form DNA nanoballs (DNBs) containing more than 300 copies. The obtained DNBs were loaded into the mesh pores on the chip using high-density DNA nanochip technology, and sequencing was performed via the Combinatorial Probe-Anchor Synthesis (CPAS) technology.
9.
Data Generation and Quality Assessment
Sequencing was performed on the BGI DNBSEQ platform (Wuhan, China) using a short-fragment library construction protocol. Paired-end sequencing was conducted with a read length of PE150. The clean FASTQ data adhere to the Phred+33 quality scoring system, with Q20 scores exceeding 98% for all samples. Each sample contains more than 120,000,000 Clean Reads, equivalent to over 36 billion clean bases.

2.4. Genotype Data Acquisition

Raw sequencing data were processed for genotyping using GATK (v4.1.8.0) software. The HaplotypeCaller tool was employed to generate single-sample gVCF files, followed by joint genotyping performed with the GenotypeGVCFs tool. Post-genotyping, stringent quality control filters were applied to exclude SNP loci failing analytical criteria, thereby minimizing false-positive outcomes.
Data refinement steps included:
(a)
We performed quality control and refinement of the raw genotype data using the following multi-step pipeline:
(b)
Raw Read Filtering: Raw sequencing reads were filtered using SOAPnuke with parameters: -n0.01-20-90.5—adaMR 0.25 -polyX50 —minReadLen 150.
(c)
Variant Calling and Merging: Single-sample variant calling was performed using GATK (v4.1.8.0) HaplotypeCaller with basic quality filters applied (Genotype Quality ≥ 20, Mapping Quality ≥ 40). The gVCF files from all samples were subsequently merged using BCFtools (v1.22).
(d)
Depth- and Frequency-based Site Filtering: The merged variant set was filtered using BCFtools: (a) retaining only SNPs; (b) removing sites with a read depth (DP) < 10 (—exclude ‘INFO/DP < 10′); (c) removing sites with a minor allele frequency (MAF) < 0.01 (—min-af 0.01).
(e)
Genotype Imputation: The remaining missing genotypes in the filtered dataset were imputed using BEAGLE v4.1.
(f)
Comprehensive QC and Format Conversion: The imputed data were converted to PLINK format and subjected to stringent filtering:
(g)
Individual-level: Samples with a genotype missing rate > 0.05 were removed (—mind 0.05).
(h)
Variant-level: The following filters were applied sequentially: (a) variants with a missing rate > 0.05 (—geno 0.05); (b) variants with MAF < 0.01 (—maf 0.01); (c) variants showing significant deviation from Hardy–Weinberg equilibrium in the control group (—hwe 1 × 10−6).
(i)
Linkage Disequilibrium Pruning: To obtain a set of independent variants, linkage disequilibrium pruning was performed using PLINK (parameters: —indep-pairwise 50 5 0.2). The resulting high-quality genotype dataset was used for downstream association analyses.
The initial sample pool contained 426 individuals and 1,460,282 loci. Following DNA sequencing performed by the BGI Group, low-quality individuals (individuals with poor DNA quality or excessive missing genotype data) were excluded, and subsequent filtration with PLINK resulted in the retention of 555,242 high-quality single-nucleotide polymorphism (SNP) loci and 171 individuals suitable for subsequent research, which were utilized for the subsequent genome-wide association study (GWAS).

2.5. Population Genetic Analysis

Genetic diversity and population structure were assessed using genome-wide SNP data. Principal component analysis (PCA) was performed using PLINK v1.9 with the —pca option after linkage disequilibrium pruning (—indep-pairwise 50 10 0.2). Genetic diversity indices, including observed heterozygosity (Ho) and the inbreeding coefficient (F), were calculated using PLINK’s —het function. Observed heterozygosity was calculated as Ho = (N.NM − O.HOM)/N.NM, where N.NM is the number of non-missing genotypes and O.HOM is the observed number of homozygotes.

2.6. Genome-Wide Association Analysis

First, a genomic relationship matrix (GRM) based on SNP-derived genetic similarity between individuals was constructed using the genomic relationship matrix (GRM) approach [22]. This matrix enabled direct estimation of additive genetic variance for each trait from genome-wide SNP data, followed by calculation of SNP-based heritability for the seven traits. Single-trait genome-wide association study (GWAS) analysis was then performed using GCTA software.
Subsequently, single-trait GWAS was independently conducted using GEMMA software. Based on phenotypic correlation coefficients and inter-trait heritability estimates, six growth traits were grouped for multi-trait joint analysis via GEMMA. By integrating results from both software tools (GCTA and GEMMA), complementary results were obtained, enhancing the reliability of identifying candidate genes associated with these economically important traits through combined single and multi-trait approaches.
For GWAS result visualization, Manhattan plots [23] and Q-Q plots [24] were generated using R 4.4.0. Significant loci were filtered using R 4.4.0. Significant loci were filtered based on the threshold of p ≤ 5 × 10−8. The candidate gene screening and positional mapping were conducted. Candidate genes were mapped within 100 kb windows (50 kb upstream and downstream) flanking each significant SNP [25].

2.7. Candidate Gene Identification and Functional Annotation

Based on the ayu (Plecoglossus altivelis) reference genome (Pal_1.0) provided by the Fish Aquaculture Laboratory, Department of Marine Biosciences, Tokyo University of Marine Science and Technology, and available on NCBI, 100 kb genomic regions (50 kb upstream and downstream of each significant locus) were extracted. These regions were subjected to BLAST sequence alignment on NCBI to identify potential candidate genes [26]. Functional annotation of the identified genes was then performed, supported by literature review, to further prioritize biologically relevant candidate genes.

3. Results

3.1. Genetic Correlations Among Pairwise Growth Traits

As shown in Table 1, body weight (BW) exhibited extremely strong genetic correlations (genetic correlation, rg > 0.9) with total length (TL; rg = 0.962), body length (BL; rg = 0.974), and body height (BH; rg = 0.950). Total length (TL) also demonstrated highly coordinated genetic relationships with body length (BL; rg = 0.952) and body height (BH; rg = 0.866).
Gonad weight (GW) showed strong genetic correlations with body length (BL; rg = 0.943) and body weight (BW; rg = 0.857) but a weaker correlation with eye diameter (ED; rg = 0.498). This indicates that gonadal development may integrate both growth-related genes and reproduction-specific regulatory mechanisms, necessitating a balanced approach to optimize growth and reproductive traits in breeding programs.
In contrast, eye diameter (ED) displayed generally moderate genetic correlations with other traits, such as BW (rg = 0.448), and GW (rg = 0.498), and a high genetics correlation with TL (rg = 0.731). These results suggest that ED may be governed by distinct genetic mechanisms, warranting separate optimization strategies or treatment as a secondary trait in selective breeding. Based on the heritability estimates, a heritability heat map was generated to visualize trait-specific genetic architecture (Figure 1). The genetic correlations (Figure 1) showed very high positive genetic correlations between BW and TL, BL, BH, and GW but not with ED.

3.2. Heritability Analysis of Various Growth Traits

To clarify the genetic regulatory characteristics of the growth-economic and biological traits of ayu (Plecoglossus altivelis), this study estimated the heritability of seven traits (including body weight, total length, body length, body depth, interorbital distance, sex, and gonad weight) using R (version 4.4.0). The results, as presented in Table 2, revealed significant differences in heritability among the traits. The heritability in descending order were: body weight (0.432, SE = 0.03), sex (0.353, SE = 0.03), gonad weight (0.338, SE = 0.03), body depth (0.274, SE = 0.03), interorbital distance (0.271, SE = 0.03), total length (0.270, SE = 0.03), and body length (0.269, SE = 0.03). In addition to the visual comparison of the heritability of each trait and their 95% confidence intervals, this study also summarized the individual trait data of ayu. The mean values and standard deviations of each trait are also shown in Table 2, where 1 represents males and 0 represents females. A mean value of 0.53 indicated that the sex ratio was approximately 1:1 (mean = 0.53, coded as 1 for male, 0 for female), indicating a balanced sample.
The 95% confidence intervals of the heritability estimates are shown in Figure 2. Among these traits, body weight, as a key growth trait, exhibited high heritability (h2 ≥ 0.4), indicating that it is dominated by genetic factors and serves as a priority selection index for improving the growth performance of ayu (Plecoglossus altivelis). Directed selection can rapidly enhance the body weight phenotype of the cultured population. Sex and gonad weight showed moderate heritability (0.3 < h2 < 0.4). suggesting great potential for the genetic improvement of these two reproduction-related traits. Molecular marker-assisted selection can be integrated to optimize the sex ratio and fecundity of ayu. Total length, body length, body depth, and interorbital distance are also displayed moderate heritability (0.2 ≤ h2 ≤ 0.3), implying that their phenotypes are jointly regulated by genetic and environmental factors. Therefore, the selection program should be accompanied by optimization of the rearing environment (e.g., water temperature and feed formulation) to minimize environmental interference. The significance of these heritability results lies in not only quantifying the degree of genetic controllability of each trait and providing core parameters for formulating the genetic breeding program of ayu—for example, prioritizing body weight for selection with high response efficiency and adopting a synergistic strategy of “genetic selection + environmental regulation” for traits with moderate heritability—but also laying a foundation for the subsequent application of technologies such as marker-assisted breeding and genomic selection. This will help shorten the breeding cycle of ayu, improve the accuracy of selection, and ultimately promote the high-quality and efficient development of the ayu breeding industry.

3.3. Population Genetic Structure and Diversity

To characterize the genetic background of the analyzed samples, we performed principal component analysis (PCA) and estimated genetic diversity indices based on genome-wide SNP data from all 209 individuals.
Principal component analysis revealed the genetic relationships among samples. The first five principal components explained 6.72%, 6.43%, 6.34%, 6.08%, and 5.92% of the total genetic variance, respectively, cumulatively accounting for 31.49% of the genetic variation (Table 3). The first two principal components together explained 13.15% of the variance. The relatively low proportion of variance explained by individual PCs and the lack of clear clustering along these axes suggest complex genetic relationships without strong population stratification.
Genetic diversity across all samples was moderate, with an average observed heterozygosity (Ho) of 0.395 ± 0.035 (Table 4). The inbreeding coefficient (F) averaged −0.107 ± 0.096, indicating a consistent excess of heterozygotes relative to Hardy–Weinberg expectations.

3.4. Single-Trait GWAS Results in Ayu (GCTA)

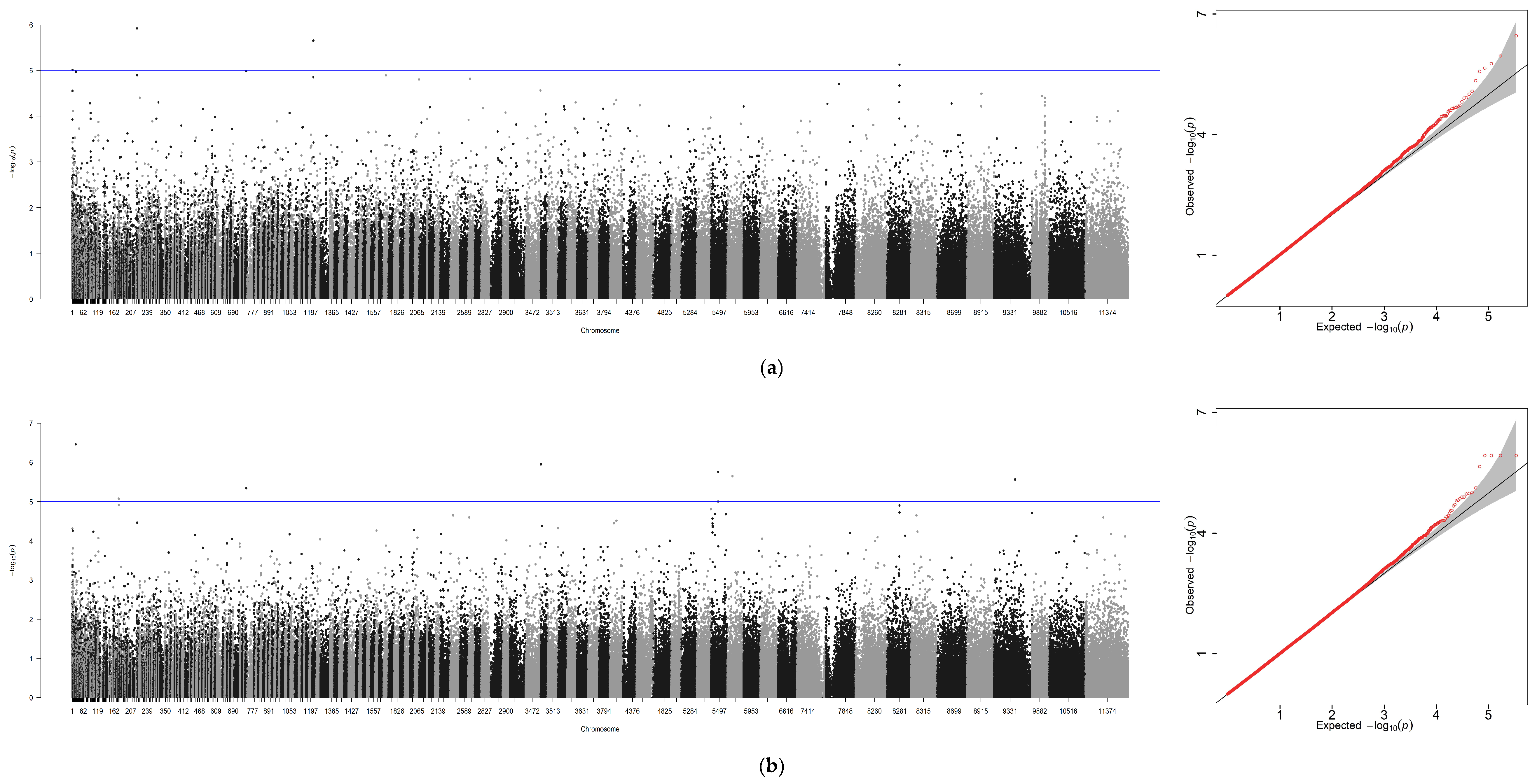
Using GCTA software, genome-wide association analyses were performed for six traits—body weight (BW), total length (TL), body length (BL), body height (BH), eye diameter (ED), and gonad weight (GW)—with sex included as a covariate. An additional analysis was conducted for sex alone, yielding seven association files. Due to the absence of chromosome-level assembly for the ayu genome, Manhattan plots and Q-Q plots generated via R 4.4.0 were scaffold-based, with scaffold positions plotted along the x-axis (Figure 3a–g).
A GWAS was performed for these seven traits independently through the method of GCTA (Figure 3 and Table 5). In total, 1047 significant loci were identified across the six growth traits (p ≤ 1 × 10−5): seven loci for BW, one locus associated with TL, three loci associated with BL, and three loci associated with BH and ED. Finally, GW was associated with the largest number of loci (n = 1030). However, a surprisingly high number of SNPs (1452) were associated with phenotypic sex.
After removing redundant loci, 100 kb genomic regions (50 kb upstream and downstream of each significant locus) were subjected to BLAST sequence alignment on NCBI. This process identified potential candidate genes and eliminated duplicates, yielding eight non-redundant candidate genes (Table 5), including slc48a1a, filip1L, nedd9 and Crebbpa which participate in various cellular metabolic processes. The proportion of phenotypic variance explained (PVE) by each SNP ranged from 0.09 to 0.31, indicating their substantial contribution to the measured traits.

3.5. Single-Trait GWAS Results in Ayu (GEMMA)

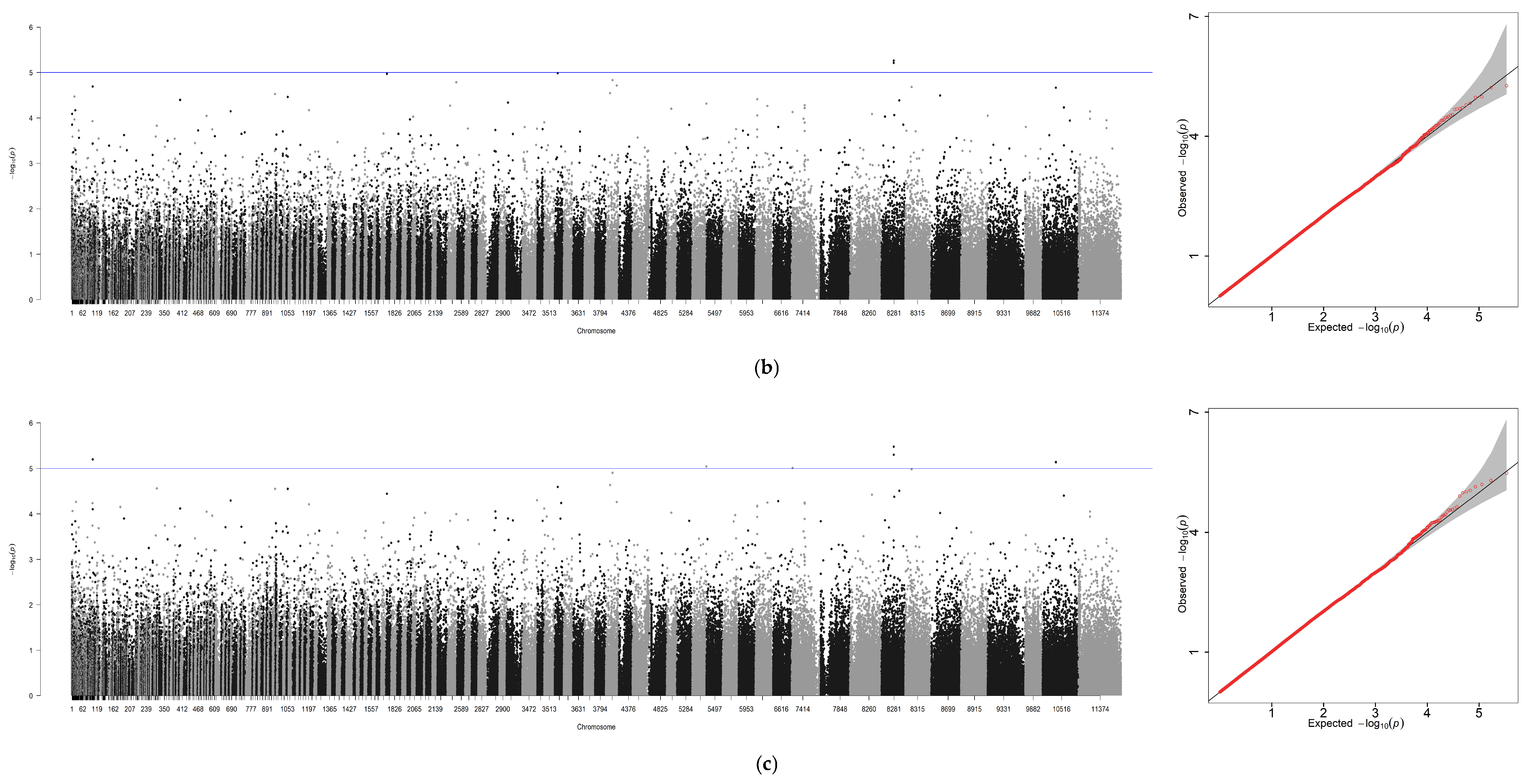
Using GEMMA software, genome-wide association analyses were conducted for six traits—BW, TL, BL, BH, ED, GW—with sex incorporated as a covariate. An independent analysis was performed for sex, generating seven association files. Similar to the GCTA workflow, Manhattan plots and Q-Q plots were visualized using R 4.4.0, with scaffold positions plotted along the x-axis due to the absence of chromosome-level genome assembly (Figure 4a–g).
A genome-wide association study (GWAS) was conducted for these traits using GEMMA with a suggestive threshold set at p ≥ 1 × 10−5. In total, 671 significant SNPs were detected across the genome. Among these loci, seven were associated with BW, two with TL, six with BL, seven with BH, three with ED, and four with GW. Similarly, when analyzing the sex trait using GCTA, the highest number of significant SNPs—642 in total—were identified.
Following removal of redundant loci, 100 kb genomic regions (50 kb upstream and downstream of each locus) were analyzed via BLAST sequence alignment on NCBI. This process identified 16 non-redundant candidate genes (Table 6), including LOC134036737, slc25a12, myo5aa, LOC136948769, nsfl1c, dok1a, abat, and LOC137018788. The PVE ranged from 0.03 to 0.31, indicating substantial genetic contributions of these loci to the traits.

3.6. Multi-Trait GWAS Results in Ayu (GEMMA)

Using GEMMA, single-trait GWAS was performed for the six growth traits and for phenotypic sex. With a significance threshold of p ≤ 1 × 10−5, we detected 671 significant SNPs for the growth traits (7 for BW, 2 for TL, 6 for BL, 7 for BH, 3 for ED, and 4 for GW) and 642 SNPs for sex. After redundancy removal and BLAST-based annotation of 100 kb flanking regions, 16 distinct candidate genes were identified (Table 6), including LOC134036737, slc25a12, myo5aa, abat, and dnah10. The PVE of these SNPs ranged from 0.03 to 0.31, reflecting their strong genetic effects.
According to the Manhattan plot and the set significance criteria, a total of 37 significant loci were identified in five groups (Figure 5). Among them, 8, 7, 11, 5, and 6 loci were identified in five groups in turn. After removing duplicate loci, sequences spanning 100K (50K upstream and downstream of each significant locus) were subjected to BLAST gene sequence alignment on NCBI. Through this process, potential candidate genes were identified while removing duplicates, resulting in a total of 10 candidate genes listed in Table 7.

3.7. KEGG Pathway Analysis

KEGG pathway enrichment analysis was performed for all candidate genes using KOBAS. Only four genes were mapped to any pathway (Table 8). abat was involved in six metabolic pathways, including butanoate, β-alanine, propanoate, and glutamate metabolism. maml3 participated in the Notch signaling pathway and Th1/Th2 cell differentiation, while ccn1 was associated with eight pathways such as cell cycle, AMPK signaling, and viral infection. Both maml3 and ccn1 were jointly involved in human papillomavirus infection. nsfl1c was uniquely associated with protein processing in the endoplasmic reticulum. These results highlight the pleiotropic roles of the identified genes.

4. Discussion

Phenotypic analysis of Plecoglossus altivelis experiment revealed the genetic correlations among traits. Four traits—body weight (BW), total length (TL), body length (BL), and body height (BH)—exhibited a high degree of correlation, indicating that these indices collectively reflect individual size. This formed the basis for grouping these traits in our multi-trait genome-wide association study (GWAS) analysis. While the six growth traits could be combined into numerous groups, five representative combinations were selected based on correlation coefficients to ensure comprehensiveness while avoiding redundancy in candidate gene screening.
When comparing the single-trait GWAS results from GCTA and GEMMA with the multi-trait analysis results from GEMMA, significant complementarity was observed between the methods in terms of candidate gene detection power, effect estimation accuracy, and biological interpretability. Partial gene overlaps (e.g., LOC131530706, LOC117378376) were found in GCTA and GEMMA single-trait analyses, indicating that these loci exhibit robust association signals within the mixed linear model framework. For example, LOC131530706 showed highly significant p-values in both methods (GCTA: 3.84 × 10−29; GEMMA: 3.84 × 10−29) and is involved in GTP binding, suggesting it may play a central role in transmembrane transport or cell signaling. The discovery of such overlapping genes by two different statistical methods enhances result reliability, consistent with the theoretical advantage of mixed models in controlling population structure bias [27].
The population genetic analyses provide important context for interpreting our primary findings. The relatively low proportion of variance explained by individual principal components and the absence of clear population stratification reduce concerns about false-positive associations due to population structure in subsequent analyses. The moderate level of genetic diversity (Ho = 0.395) indicates sufficient variation for association studies, while the average inbreeding coefficient (F = −0.107) suggests either historical outcrossing or potential heterozygote advantage. These genetic characteristics should be considered when evaluating the robustness of association signals and selection signatures detected in this study.
More genes were detected by only one method: the GCTA-specific gene slc48a1a participates in heme transport, while the GEMMA-specific gene myo5aa regulates actin movement. These differences likely arise from algorithmic optimizations: GCTA’s heritability estimation based on the genomic relationship matrix (GRM) emphasizes global variance decomposition, whereas GEMMA’s sparse matrix accelerates local effect detection with higher sensitivity to low-frequency variants [28].
The multi-trait analysis by GEMMA further revealed shared genetic architectures across traits. For instance, slc25a12 was identified in both single- and multi-trait analyses, functioning in amino acid-ion coupled transport and potentially integrating multiple phenotypes through metabolic pathways. The multi-trait model also detected genes not covered by GCTA, such as maml3, which participates in the Notch signaling pathway, indicating that multi-trait can capture hub genes in cross-phenotype regulatory networks [29]. Notably, LOC134022516 lacked functional annotation in both single- and multi-trait analyses, possibly representing an understudied novel regulatory element that requires validation with chromatin interaction data (e.g., Hi-C) [30]. These results highlight the necessity of multi-trait integration in GWAS: GCTA excels in heritability partitioning and candidate gene prioritization, while GEMMA expands functional association dimensions through multi-trait modeling and efficient computation.
In terms of statistical power, GEMMA showed higher resolution in estimating phenotypic variance explained (PVE). For example, LOC117378376 had highly significant p-values in both methods, but its PVE was significantly higher in GEMMA. This discrepancy may stem from GEMMA’s fine-grained modeling of random effects, where its Bayesian framework (e.g., BSLMM) more accurately decomposes additive and non-additive genetic effects [31]. Additionally, maml3 in GEMMA multi-trait analysis had a low PVE of 0.0016 but showed significant pathway enrichment, indicating that low-PVE genes can still amplify phenotypic impacts through regulatory networks. In contrast, GCTA’s PVE estimates are more conservative, potentially underestimating the contribution of pleiotropic genes—a phenomenon widely discussed in complex trait analysis [32].
Biologically, both methods converged on three functional modules: transmembrane transport, cytoskeletal dynamics, and metabolic regulation. GCTA-detected slc48a1a (heme transport) and GEMMA-identified slc25a12 (amino acid transport) both belong to the solute carrier (SLC) family, confirming that transmembrane material exchange is a core mechanism for the target traits. Furthermore, the GEMMA-specific gene dnah10, which drives microtubule movement via ATP hydrolysis, and GCTA-detected filip1L (myosin binding) jointly regulate cell morphology and migration, potentially influencing tissue development or pathogen responses [33]. Notably, cica in multi-trait analysis, as an RNA polymerase II-dependent transcription factor, may integrate multiple traits through epigenetic regulation, aligning with recent hypotheses about “super-enhancers” regulating multi-gene clusters [34]. Future studies should combine CRISPR screening or single-cell sequencing to validate upstream–downstream regulatory relationships of these candidate genes and explore their molecular mechanisms of interaction with the environment.

5. Limitations

This study acknowledges several limitations. Primarily, the Plecoglossus altivelis genome has not yet reached the chromosomal level and remains at the scaffold level. This limitation may lead to a series of challenges, such as less precise genomic positioning, scattered signals in Manhattan plots, and potential biases in statistical models, which could increase false positive rates and affect the reliability of GWAS results to some extent.
Furthermore, due to the lack of a comprehensive gene annotation file for P. altivelis in public databases, candidate gene identification relied on extracting sequences from significant loci for BLAST alignment. This traditional approach may introduce a degree of subjectivity. Nonetheless, the identification of overlapping candidate genes (e.g., five genes identified by both GEMMA single- and multi-trait analyses) through complementary GWAS methods enhances confidence in our screening results.

6. Conclusions

Analysis of correlation coefficients among six growth traits in Plecoglossus altivelis showed that body weight (BW) was significantly positively correlated with total length (TL), body length (BL), and body height (BH), indicating these indices collectively influence body size, with BW tightly linked to length and height. TL and BL showed high consistency in assessing body length, while the correlation between BL and BH highlighted their importance in evaluating individual size. Gonad weight (GW) was strongly associated with BW but weakly linked to TL, BL, BH, and eye distance (ED), suggesting GW may be more closely related to reproductive traits or physiological status. ED showed weak associations with other indices, indicating insignificant links to body shape characteristics and potential relevance to survival adaptation or predatory behavior.
GCTA genetic correlation analysis revealed strong positive genetic correlations (rg > 0.9) between BW and TL, BL, and BH, with high synergy among TL, BL, and BH, suggesting these morphological traits are regulated by shared polygenic networks—selecting for BW could synchronously improve other growth-related traits. GW was strongly correlated with BL and BW but weakly with ED, indicating gonadal development integrates growth metabolism and reproduction-specific regulatory mechanisms, requiring balanced breeding goals. ED had low genetic correlations with most traits (e.g., BW, GW) and only moderate correlation with TL, showing relatively independent genetic regulation. Treating ED as a secondary trait for separate optimization could improve breeding efficiency, consistent with phenotypic analysis results.

Author Contributions

Conceptualization, Z.C.; Methodology, Z.C.; Software, Z.C. and A.C.; Validation, Z.C., A.C. and S.L.; Formal Analysis, Z.C., A.C. and C.M.; Investigation, Z.C., A.C., S.L. and T.Z.; Resources, L.J.; Data Curation, Z.C.; Writing—Original Draft Preparation, Z.C.; Writing—Review & Editing, L.J.; Visualization, Z.C. and A.C.; Supervision, L.J., T.Z. and Y.Z.; Project Administration, L.J. and Y.Z.; Funding Acquisition, L.J. and Y.Z. All authors have read and agreed to the published version of the manuscript.

Funding

This work was supported by the Innovation Team Program of “Research and Application of Aquatic Biological Genetic Big Data” (Grant No. 2023TD25) from the Headquarters of the Chinese Academy of Fishery Sciences (CAFS).

Institutional Review Board Statement

The animal study protocol was reviewed and approved by the Animal Care and Use Committee of the Chinese Academy of Fishery Sciences (ACUC-CAFS; Approval No.: ACUC-CAFS-20231012). All procedures involving animals were conducted in strict compliance with the Standards for the Care and Use of Laboratory Animals for Scientific Purposes.

Informed Consent Statement

Not applicable. This study was conducted on aquatic animals (Plecoglossus altivelis) and did not involve human participants, human tissue samples, or personal data. Therefore, informed consent was not required.

Data Availability Statement

Any additional data that are not publicly available due to legal or privacy restrictions can be obtained from the corresponding author upon reasonable request. E-mail: jiangl@cafs.ac.cn.

Acknowledgments

We express our gratitude to the members of the Chinese Academy of Fishery Sciences for their valuable discussions and suggestions during the experiment and data analysis. Thanks to the editors and anonymous reviewers for their constructive comments on the manuscript.

Conflicts of Interest

The authors declare that they have no known competing financial interests or personal relationships that could have appeared to influence the work reported in this paper. The funders had no role in the study design, data collection and analysis, decision to publish, or preparation of the manuscript.

Abbreviations

The following main abbreviations are used in this manuscript:
GWASGenome-wide association studies
SNPSingle-Nucleotide Polymorphism
LDLinkage disequilibrium
BWBody weight
TLTotal length
BLBody length
BHBody height
EDEye diameter
GWGonad weight
GRMGenomic relationship matrix
PVEPhenotypic variance explained
KEGGKyoto Encyclopedia of Genes and Genomes
QTNQuantitative Trait Nucleotide

References

  1. Nishida, M. A New Subspecies of the Ayu, Plecoglossus altivelis, (Plecoglossidae) from the Ryukyu Islands. Jpn. J. Ichthyol. 1988, 35, 236–242. [Google Scholar] [CrossRef]
  2. Iguchi, K.; Nishida, M. Genetic biogeography among insular populations of the amphidromous fish Plecoglossus altivelis assessed from mitochondrial DNA analysis. Conserv. Genet. 2000, 1, 147–156. [Google Scholar] [CrossRef]
  3. Iguchi, K.; Tanimura, Y.; Takeshima, H.; Nishida, M. Genetic Variation and Geographic Population Structure of Amphidromous Ayu Plecoglossus altivelis as Examined by Mitochondrial DNA Sequencing. Fish. Sci. 1999, 65, 63–67. [Google Scholar] [CrossRef]
  4. Mun, S.J.; Ryu, J.-S.; Lee, M.-O.; Son, Y.S.; Oh, S.J.; Cho, H.-S.; Son, M.-Y.; Kim, D.-S.; Kim, S.J.; Yoo, H.J.; et al. Generation of expandable human pluripotent stem cell-derived hepatocyte-like liver organoids. J. Hepatol. 2019, 71, 970–985. [Google Scholar] [CrossRef]
  5. Nishida, M. Geographic Variation in the Molecular, Morphological and Reproductive Characters of the Ayu Plecoglossus altivelis (plecoglossidae) in the Japan-Ryukyu Archipelago. Jpn. J. Ichthyol. 1986, 33, 232–248. [Google Scholar] [CrossRef]
  6. Sugahara, K.; Fujiwara-Nagata, E.; Eguchi, M. Dynamics of the Bacterial Cold-water Disease Pathogen, Flavobacterium psychrophilum, in Infected Fish Organs and Rearing Water after Warmed Water Treatment. Fish Pathol. 2010, 45, 58–65. [Google Scholar] [CrossRef]
  7. Jeong, B.-Y.; Jeong, W.-G.; Moon, S.-K.; Ohshima, T. Preferential accumulation of fatty acids in the testis and ovary of cultured and wild sweet smelt Plecoglossus altivelis. Comp. Biochem. Physiol. Part B 2002, 131, 251–259. [Google Scholar] [CrossRef]
  8. Nakamoto, M.; Sakamoto, T. Improvement of the Ayu (Plecoglossus altivelis) draft genome using Hi-C sequencing. BMC Res. Notes 2023, 16, 92. [Google Scholar] [CrossRef]
  9. Kazemi, E.; Zargooshi, J.; Kaboudi, M.; Heidari, P.; Kahrizi, D.; Mahaki, B.; Mohammadian, Y.; Khazaei, H.; Ahmed, K. A genome-wide association study to identify candidate genes for erectile dysfunction. Brief. Bioinform. 2021, 22, bbaa338. [Google Scholar] [CrossRef] [PubMed]
  10. Ålund, M.; McFarlane, S.E.; Husby, A.; Knape, J.; Pärt, T.; Sirkiä, P.; Weissing, F.J.; Wheatcroft, D.; Zhu, Y.; Qvarnström, A. Inheritance of Material Wealth in a Natural Population. Ecol. Lett. 2024, 27, e14505. [Google Scholar] [CrossRef] [PubMed]
  11. Ramesh, P.; Mallikarjuna, G.; Sameena, S.; Kumar, A.; Gurulakshmi, K.; Reddy, B.V.; Reddy, P.C.O.; Sekhar, A.C. Advancements in molecular marker technologies and their applications in diversity studies. J. Biosci. 2020, 45, 123. [Google Scholar] [CrossRef] [PubMed]
  12. Lahai, P.M.; Aikpokpodion, P.O.; Bah, A.M.; Lahai, M.T.; Meinhardt, L.W.; Lim, S.; Ahn, E.; Zhang, D.; Park, S. Unveiling the Genetic Diversity and Demographic History of Coffea stenophylla in Sierra Leone Using Genotyping-By-Sequencing. Plants 2024, 14, 50. [Google Scholar] [CrossRef] [PubMed]
  13. Gong, Z.-L.; Zhu, X.; Zhou, Z.; Zhang, S.-W.; Yang, D.; Zhao, B.; Zhang, Y.-P.; Deng, J.; Cheng, Y.; Zheng, Y.-X.; et al. Frontiers in circularly polarized luminescence: Molecular design, self-assembly, nanomaterials, and applications. Sci. China Chem. 2021, 64, 2060–2104. [Google Scholar] [CrossRef]
  14. Xu, K.; Duan, W.; Xiao, J.; Tao, M.; Zhang, C.; Liu, Y.; Liu, S. Development and application of biological technologies in fish genetic breeding. Sci. China Life Sci. 2015, 58, 187–201. [Google Scholar] [CrossRef] [PubMed]
  15. Sun, S.; Li, W.; Xiao, S.; Lin, A.; Han, Z.; Cai, M.; Wang, Z. Genetic sex identification and the potential sex determination system in the yellow drum (Nibea albiflora). Aquaculture 2018, 492, 253–258. [Google Scholar] [CrossRef]
  16. Peng, M.S.; Wang, R.; Wang, Y.Z.; Chen, C.C.; Wang, J.; Liu, X.C.; Song, G.; Guo, J.B.; Chen, P.J.; Wang, X.Q. Efficacy of Therapeutic Aquatic Exercise vs Physical Therapy Modalities for Patients With Chronic Low Back Pain: A Randomized Clinical Trial. JAMA Netw. Open 2022, 5, e2142069. [Google Scholar] [CrossRef]
  17. Tai, R.Y.; Xu, J.; Jiang, Y.L.; Zhang, H.Y.; Bai, Q.L.; Yang, S.Y.; Xu, P.; Zhao, Z.X. Development of a universal 96 single nucleotide polymorphism array for salmonid fishes. Prog. Fish. Sci. 2019, 40, 53–61. [Google Scholar]
  18. Zhu, W. Genome-Wide Association Studies (GWAS) of Several Economic Traits on Nibea albiflora (Richardson). Master’s Thesis, Jimei University, Xiamen, China, 2018. [Google Scholar]
  19. Cui, A.J.; Xu, Y.J.; Wang, B.; Jiang, Y.; Liu, X.Z. Genome-wide association analysis of growth traits in yellowtail kingfish (Seriola lalandi). Prog. Fish. Sci. 2021, 42, 71–78. [Google Scholar]
  20. Ali, A.; Al-Tobasei, R.; Lourenco, D.; Leeds, T.; Kenney, B.; Salem, M. Genome-Wide Association Study Identifies Genomic Loci Affecting Filet Firmness and Protein Content in Rainbow Trout. Front. Genet. 2019, 10, 386. [Google Scholar] [CrossRef]
  21. Wang, Z.Y. Genome-Wide Association Study of Growth Traits of Takifugu rubripes. Master’s Thesis, Dalian Ocean University, Dalian, China, 2022. [Google Scholar]
  22. Faux, P.; Gengler, N.; Misztal, I. A recursive algorithm for decomposition and creation of the inverse of the genomic relationship matrix. J. Dairy Sci. 2012, 95, 6093–6102. [Google Scholar] [CrossRef]
  23. Grace, C.; Farrall, M.; Watkins, H.; Goel, A. Manhattan++: Displaying genome-wide association summary statistics with multiple annotation layers. BMC Bioinform. 2019, 20, 610. [Google Scholar] [CrossRef]
  24. Nair, N.U.; Subhash, S.; Sunoj, S.M. A Simple Method of Estimation and Testing Based on Q-Q Plots. Oper. Res. Forum 2024, 5, 81. [Google Scholar] [CrossRef]
  25. Wu, Y.; Sankararaman, S. A scalable estimator of SNP heritability for biobank-scale data. Bioinformatics 2018, 34, i187–i194. [Google Scholar] [CrossRef]
  26. Lynn, A.M.; Jain, C.K.; Kosalai, K.; Barman, P.; Thakur, N.; Batra, H.; Bhattacharya, A. An automated annotation tool for genomic DNA sequences using GeneScan and BLAST. J. Genet. 2001, 80, 9–16. [Google Scholar] [CrossRef]
  27. Yang, J.; Zaitlen, N.A.; Goddard, M.E.; Visscher, P.M.; Price, A.L. Advantages and pitfalls in the application of mixed-model association methods. Nat. Genet. 2014, 46, 100–106. [Google Scholar] [CrossRef] [PubMed]
  28. Zhou, X.; Stephens, M. Genome-wide efficient mixed-model analysis for association studies. Nat. Genet. 2012, 44, 821–824. [Google Scholar] [CrossRef] [PubMed]
  29. Oyama, T.; Harigaya, K.; Sasaki, N.; Okamura, Y.; Kokubo, H.; Saga, Y.; Hozumi, K.; Suganami, A.; Tamura, Y.; Nagase, T.; et al. Mastermind-like 1 (MamL1) and mastermind-like 3 (MamL3) are essential for Notch signaling in vivo. Development 2011, 138, 5235–5246. [Google Scholar] [CrossRef] [PubMed]
  30. Bolormaa, S.; Pryce, J.E.; Antonio, R.; Zhang, Y.; Barendse, W.; Kemper, K.; Tier, B.; Savin, K.; Hayes, B.J.; Goddard, M.E. A multi-trait, meta-analysis for detecting pleiotropic polymorphisms for stature, fatness and reproduction in beef cattle. PLoS Genet. 2014, 10, e1004198. [Google Scholar] [CrossRef]
  31. Schmitt, A.D.; Hu, M.; Jung, I.; Xu, Z.; Qiu, Y.; Tan, C.L.; Li, Y.; Lin, S.; Lin, Y.; Barr, C.L.; et al. A Compendium of Chromatin Contact Maps Reveals Spatially Active Regions in the Human Genome. Cell Rep. 2016, 17, 2042–2059. [Google Scholar] [CrossRef]
  32. Zeng, J.; Xue, A.; Jiang, L.; Lloyd-Jones, L.R.; Wu, Y.; Wang, H.; Zheng, Z.; Yengo, L.; Kemper, K.E.; Goddard, M.E.; et al. Widespread signatures of natural selection across human complex traits and functional genomic categories. Nat. Commun. 2021, 12, 1164. [Google Scholar] [CrossRef]
  33. Revenu, C.; Gilmour, D. EMT 2.0: Shaping epithelia through collective migration. Curr. Opin. Genet. Dev. 2009, 19, 338–342. [Google Scholar] [CrossRef] [PubMed]
  34. Hnisz, D.; Abraham, B.J.; Lee, T.I.; Lau, A.; Saint-André, V.; Sigova, A.A.; Hoke, H.A.; Young, R.A. Super-enhancers in the control of cell identity and disease. Cell 2013, 155, 934–947. [Google Scholar] [CrossRef] [PubMed]
Figure 1. Genetic correlations among different growth traits of Plecoglossus altivelis.
Figure 1. Genetic correlations among different growth traits of Plecoglossus altivelis.
Animals 16 00670 g001
Figure 2. Ranking of Heritability and Confidence Intervals for six Growth Traits and sex of Plecoglossus altivelis.
Figure 2. Ranking of Heritability and Confidence Intervals for six Growth Traits and sex of Plecoglossus altivelis.
Animals 16 00670 g002
Figure 3. Manhattan (left) and Q-Q (right) plots for (a) body weight (BW), (b) total length (TL), (c) body length (BL), (d) body height (BH), (e) eye diameter (ED), (f) sex, and (g) gonad weight (GW) obtained from GCTA. The blue and red horizontal lines indicate the genome-wide significant (p ≤ 5 × 10−8) and suggestive (p ≤ 1 × 10−5) thresholds, respectively.
Figure 3. Manhattan (left) and Q-Q (right) plots for (a) body weight (BW), (b) total length (TL), (c) body length (BL), (d) body height (BH), (e) eye diameter (ED), (f) sex, and (g) gonad weight (GW) obtained from GCTA. The blue and red horizontal lines indicate the genome-wide significant (p ≤ 5 × 10−8) and suggestive (p ≤ 1 × 10−5) thresholds, respectively.
Animals 16 00670 g003aAnimals 16 00670 g003bAnimals 16 00670 g003cAnimals 16 00670 g003d
Figure 4. Manhattan (left) and Q-Q (right) plots for (a) body weight (BW), (b) total length (TL), (c) body length (BL), (d) body height (BH), (e) eye diameter (ED), (f) sex, and (g) gonad weight (GW) obtained from GEMMA. The blue and red horizontal lines indicate the genome-wide significant (p ≤ 5 × 10−8) and suggestive (p ≤ 1 × 10−5) thresholds, respectively.
Figure 4. Manhattan (left) and Q-Q (right) plots for (a) body weight (BW), (b) total length (TL), (c) body length (BL), (d) body height (BH), (e) eye diameter (ED), (f) sex, and (g) gonad weight (GW) obtained from GEMMA. The blue and red horizontal lines indicate the genome-wide significant (p ≤ 5 × 10−8) and suggestive (p ≤ 1 × 10−5) thresholds, respectively.
Animals 16 00670 g004aAnimals 16 00670 g004bAnimals 16 00670 g004cAnimals 16 00670 g004d
Figure 5. Manhattan (left) and Q-Q (right) plots for (a) group o, (b) group p, (c) group q, (d) group r, and (e) group s obtained from GEMMA. The blue and red horizontal lines indicate the genome-wide significant (p ≤ 5 × 10−8) and suggestive (p ≤ 1 × 10−5) thresholds, respectively.
Figure 5. Manhattan (left) and Q-Q (right) plots for (a) group o, (b) group p, (c) group q, (d) group r, and (e) group s obtained from GEMMA. The blue and red horizontal lines indicate the genome-wide significant (p ≤ 5 × 10−8) and suggestive (p ≤ 1 × 10−5) thresholds, respectively.
Animals 16 00670 g005aAnimals 16 00670 g005bAnimals 16 00670 g005c
Table 1. The genetic correlation among growth traits using R Package (version 4.4.0) Performance Analytics.
Table 1. The genetic correlation among growth traits using R Package (version 4.4.0) Performance Analytics.
TraitBWTLBLBHEDGW
BW10.9620.9740.9500.4480.857
TL-10.9520.8660.7310.641
BL--10.8940.7710.943
BH---10.5480.624
ED----10.498
GW-----1
Table 2. Descriptive statistics and heritability estimates for six growth traits and sex in Plecoglossus altivelis.
Table 2. Descriptive statistics and heritability estimates for six growth traits and sex in Plecoglossus altivelis.
TraitN_IndividualsMeanSDh2SeHeritability Classification
BW20923.498.040.4320.03High
TL20913.821.370.2710.03Moderate
BL20911.781.210.2690.03Moderate
BH2092.590.410.2740.03Moderate
ED2090.820.110.2710.03Moderate
SEX2090.530.50.3530.03Moderate
GW2092.641.770.3380.03Moderate
Abbreviations: BW, body weight; TL, total length; BL, body length; BH, body height; ED, eye diameter; GW, gonad weight.
Table 3. Variance explained by the first five principal components in the PCA of one sample consisting of 209 fish.
Table 3. Variance explained by the first five principal components in the PCA of one sample consisting of 209 fish.
Principal ComponentEigenvalueVariance Explained (%)Cumulative Variance (%)
PC12.34516.726.72
PC22.24596.4313.15
PC32.21366.3419.49
PC42.12326.0825.57
PC52.06695.9231.49
Table 4. Genetic diversity indices across all samples (N = 209).
Table 4. Genetic diversity indices across all samples (N = 209).
ParameterMean ± SERange
Observed Heterozygosity (Ho)0.395 ± 0.0350.362–0.609
Inbreeding Coefficient (F)−0.107 ± 0.096−0.702–−0.016
Table 5. Candidate Genes from Single Trait GWAS Analysis of GCTA.
Table 5. Candidate Genes from Single Trait GWAS Analysis of GCTA.
QTNTraitPositionSNP IDSequence IDGene IDStandard Errorp-ValuePVEGene Function
1BW5191795BNHK01000003.1XM_067240181.1slc48a1a0.89669.11355 × 10−60.1340enable heme binding and activate transmembrane transporter activity
2BW4924202BNHK01000024.1XM_067260378.1filip1L0.95376.44345 × 10−60.1270filamin A interacting and protein coding
3TL1001836BNHK01000060.1XM_067256276.1nedd90.91533.247 × 10−60.1420protein binding
4BL441855BNHK01000100.1XM_067259733.1Crebbpa0.85169.72466 × 10−60.0907regulation of gene expression is achieved through chromatin DNA binding affinity, histone acetyltransferase activity, protein–protein interaction, transcriptional coactivator activity, and zinc ion binding.
5BL2072990BNHK01000009.1XM_062467187.1LOC1340246220.90784.62675 × 10−60.0909activates GTPase activator activity; activates myosin II binding; activates Syntaxin binding
6BH2834234BNHK01000017.1XM_047029472.1zbtb180.92464.84926 × 10−60.0932DNA-binding transcription factor activity, RNA polymerase II-specific; binds to DNA in a sequence-specific manner at the RNA polymerase II cis-regulatory region
7GW602625BNHK01000104.1XM_033974964.2LOC1173783760.88578.199285 × 10−280.3035RNA polymerase II-dependent sequence-specific transcription factors bind to promoter/enhancer elements to regulate gene expression
8GW42996BNHK01000134.1XM_058761134.1LOC1315307060.92183.844206 × 10−290.3115GTP zinc ion binding
9EC703083BNHK01000104.1XM_062452345.1syde20.90215.57139 × 10−140.1475enables GTPase activator activity
10Phenotypic sex 579707BNHK01000104.1XM_067230191.1col24a10.85863.49439 × 10−140.1501enables extracellular matrix structural constituent
PVE is Proportion of Phenotypic Variation Explained. p is statistical significance. Bold text indicates genes that appear repeatedly in other candidate gene tables.
Table 6. Candidate genes from Single Trait GWAS Analysis of GEMMA.
Table 6. Candidate genes from Single Trait GWAS Analysis of GEMMA.
QTNTraitPositionSNP IDSequence IDGene IDStandard Errorp-ValuePVEGene Function
1BL98117BNHK01000235.1XM_062481803.1LOC1340367370.94351.109096 × 10−220.2740activate the activity of pyrimidine nucleotide transmembrane transporter
2BL4850101BNHK01000010.1XM_062480936.1slc25a120.96325.439687 × 10−60.0826multifunctional reverse transporter, which drives the transmembrane exchange of cysteic acid, aspartic acid, glutamic acid, and protons, integrates calcium ion binding and homologous protein interaction, and achieves the coordinated regulation of amino acid-ion coupled transport.
3TL5191795BNHK01000003.1XM_047041809.1myo5aa0.95007.274302 × 10−60.0819combines with ATP and actin filaments, drives microfilament motor activity, and mediates cytoskeletal movement and nucleotide-dependent mechanical force conversion
4TL335302BNHK01000007.1XM_047040640.1LOC1369487690.93859.695573 × 10−60.0633enable large ribosomal subunit binding; enable tRNA binding
5BW92204BNHK01000233.1XM_062460335.1nsfl1c0.94926.363190 × 10−60.0818achieve lipid binding; achieve protein binding; enable ubiquitin binding
6BW4313080BNHK01000018.1XM_067250506.1dok1a0.88803.519006 × 10−60.1078participate in Ras protein signal transduction and transmembrane receptor protein tyrosine kinase signaling pathway
7BH441855BNHK01000100.1XM_030725525.1abat0.88416.778931 × 10−60.0576pyridoxal phosphate-dependent aminotransferase, through binding to iron–sulfur clusters and metal ions, mediates the metabolism of specific amino acids and couples with succinic semialdehyde dehydrogenase to form a metabolic pathway.
8BH743159BNHK01000113.1XM_067383514.1LOC1370187880.94657.330889 × 10−60.0578N/A
9ED261286BNHK01000170.1XM_047014682.1LOC1244629560.80308.233015 × 10−60.0569N/A
10BW7067560BNHK01000001.1XM_047024637.1nuak20.88538.249415 × 10−60.0329enable ATP binding; enable histone H2AS1 kinase activity to achieve magnesium ion binding; achieve protein binding; enable protein serine/threonine kinase activity
11BW14910306BNHK01000002.1XM_062484831.1LOC1340390820.91316.489777 × 10−60.0945N/A
12ED2834234BNHK01000017.1XM_062464090.1LOC1340225160.89909.301734 × 10−70.0423N/A
13BW421386BNHK01000069.1XM_062451052.1dnah100.93288.408272 × 10−70.0777ATP hydrolysis-dependent dynein complex, which directionally drives the movement of the minus end of microtubules, performs intracellular material transport or ciliary motility regulation
14TL602625BNHK01000104.1XM_033974964.2LOC1173783760.88578.199285 × 10−280.3035RNA polymerase II-dependent sequence-specific transcription factors bind to promoter/enhancer elements to regulate gene expression
15Sex42996BNHK01000134.1XM_058761134.1LOC1315307060.92183.844206 × 10−290.3115GTP Binding
16GW703083BNHK01000104.1XM_062452654.1ccn10.92813.633809 × 10−270.2965multiple binding of extracellular matrix, structural components, growth factors, heparin, integrins, and proteins
Bold text indicates genes that appear repeatedly in other candidate gene tables.
Table 7. Candidate genes identified by multi-trait GWAS using GEMMA.
Table 7. Candidate genes identified by multi-trait GWAS using GEMMA.
QTNTrait CombinationPositionSNP IDSequence IDGene IDStandard Errorp-ValuePVEGene Function
1BW, ED8179841BNHK01000002.1XM_058761134.1LOC1315307060.92182.705753 × 10−60.002821516GTP Binding
2BW, ED2834234BNHK01000017.1XM_062464090.1LOC1340225160.89909.301734 × 10−70.04225971N/A
3BW, GW441855BNHK01000100.1XM_030725525.1abat0.88416.778931 × 10−60.05763159Pyridoxal phosphate-dependent aminotransferase, through binding to iron–sulfur clusters and metal ions, mediates the metabolism of specific amino acids and couples with succinic semialdehyde dehydrogenase to form a metabolic pathway.
4BW, GW1998828BNHK01000018.1XM_047045200.1maml30.94812.229776 × 10−60.001638555Activates transcriptional coactivator activity. Participates in the Notch signaling pathway and positive regulation of RNA polymerase II transcription.
5BW, ED, GW109434BNHK01000041.1XM_047018792.1cica0.91301.107255 × 10−60.001092388Sequence-specific DNA-binding transcription factors rely on RNA polymerase II to regulate the initiation process of gene transcription.
6BW, ED, GW20539BNHK01000336.1XM_046327592.1LOC1240133210.84138.361132 × 10−60.003003770Protein-coding gene
7BW, TL, BL, BH4850101BNHK01000010.1XM_062480936.1slc25a120.96325.439687 × 10−60.08264611Multifunctional reverse transporter, which drives the transmembrane exchange of cysteic acid, aspartic acid, and protons, integrates calcium ion binding and homologous protein interaction, achieves the coordinated regulation of amino acid-ion coupled transport.
8BW, TL, BL, BH421386BNHK01000069.1XM_062451052.1dnah100.93288.408272 × 10−70.07697855ATP hydrolysis-dependent dynein complex, which directionally drives the movement of the minus end of microtubules and performs intracellular material transport or ciliary motility regulation
9BW, TL, BL, BH180223BNHK01000176.1XM_062471119.1syt9a0.89751.198990 × 10−60.002382939Calcium signal-dependent SNARE complex regulatory factor promotes calcium-dependent exocytosis and membrane transport through the synergy of phospholipid binding and vesicle fusion.
10BW, TL, BL, BH, ED, GW79994BNHK01000259.1XM_067228316.1LOC1369329790.94541.071800 × 10−80.0006536511Achieve protein binding
Bold text indicates genes that appear repeatedly in other candidate gene tables.
Table 8. Significant Pathway Selection (Sorted by Adjusted p-Value, Corrected p-Value < 0.05).
Table 8. Significant Pathway Selection (Sorted by Adjusted p-Value, Corrected p-Value < 0.05).
TermIDInput Genesp-ValueCorrected p-ValueInvolved Genes
Human papillomavirus infectionhsa0516520.0004230.008maml3, ccn1
Butyric acid metabolismhsa0065010.0029520.0135abat
β-alanine metabolismhsa0041010.0034610.0135abat
Propionate metabolismhsa0064010.0035620.0135abat
Alanine, aspartate and glutamate metabolismhsa0025010.0037660.0135abat
Valine, leucine, and isoleucine degradationhsa0028010.0049850.0135abat
Notch signaling pathwayhsa0433010.0049850.0135maml3
GABAergic synapsehsa0472710.0091410.0193abat
Th1 and Th2 cell differentiationhsa0465810.0094450.0193maml3
Progesterone-mediated oocyte maturationhsa0491410.0101530.0193ccn1
AMPK signaling pathwayhsa0415210.0122750.0201ccn1
Cell cyclehsa0411010.0126790.0201ccn1
Cellular senescencehsa0421810.0163080.0213ccn1
Hepatitis Bhsa0516110.0166100.0213ccn1
Protein processing in the endoplasmic reticulumhsa0414110.0168120.0213nsfl1c
Viral carcinogenesishsa0520310.0204290.0228ccn1
EB virus infectionhsa0520310.0204290.0228ccn1
Human T-cell leukemia virus type 1 infectionhsa0516610.0222350.0235ccn1
Disclaimer/Publisher’s Note: The statements, opinions and data contained in all publications are solely those of the individual author(s) and contributor(s) and not of MDPI and/or the editor(s). MDPI and/or the editor(s) disclaim responsibility for any injury to people or property resulting from any ideas, methods, instructions or products referred to in the content.

Share and Cite

MDPI and ACS Style

Chang, Z.; Chen, A.; Liang, S.; Ma, C.; Zhou, T.; Zhao, Y.; Jiang, L. Single- and Multi-Trait Genome-Wide Association Analyses Identify the Genetic Loci and Candidate Genes for Growth Traits in Plecoglossus altivelis. Animals 2026, 16, 670. https://doi.org/10.3390/ani16040670

AMA Style

Chang Z, Chen A, Liang S, Ma C, Zhou T, Zhao Y, Jiang L. Single- and Multi-Trait Genome-Wide Association Analyses Identify the Genetic Loci and Candidate Genes for Growth Traits in Plecoglossus altivelis. Animals. 2026; 16(4):670. https://doi.org/10.3390/ani16040670

Chicago/Turabian Style

Chang, Zhongyu, Ao Chen, Shuo Liang, Chenling Ma, Tao Zhou, Yunfeng Zhao, and Li Jiang. 2026. "Single- and Multi-Trait Genome-Wide Association Analyses Identify the Genetic Loci and Candidate Genes for Growth Traits in Plecoglossus altivelis" Animals 16, no. 4: 670. https://doi.org/10.3390/ani16040670

APA Style

Chang, Z., Chen, A., Liang, S., Ma, C., Zhou, T., Zhao, Y., & Jiang, L. (2026). Single- and Multi-Trait Genome-Wide Association Analyses Identify the Genetic Loci and Candidate Genes for Growth Traits in Plecoglossus altivelis. Animals, 16(4), 670. https://doi.org/10.3390/ani16040670

Note that from the first issue of 2016, this journal uses article numbers instead of page numbers. See further details here.

Article Metrics

Back to TopTop