Fish Diversity and Functional Traits in the Seagrass Based on the Environmental DNA Metabarcoding in the Li’an Bay, China
Simple Summary
Abstract
1. Introduction
2. Material and Methods
2.1. Sampling Site
2.2. eDNA Sampling
2.3. Sample Processing
2.4. DNA Extraction Process
2.5. Amplicon Library and Sequencing
2.6. Quality Control and Assembling of MiSeq Reads
2.7. Taxonomic Assignment and ASVs
2.8. Fish Diversity and Functional Diversity Analysis
3. Results
3.1. MiSeq Sequencing and Assignment
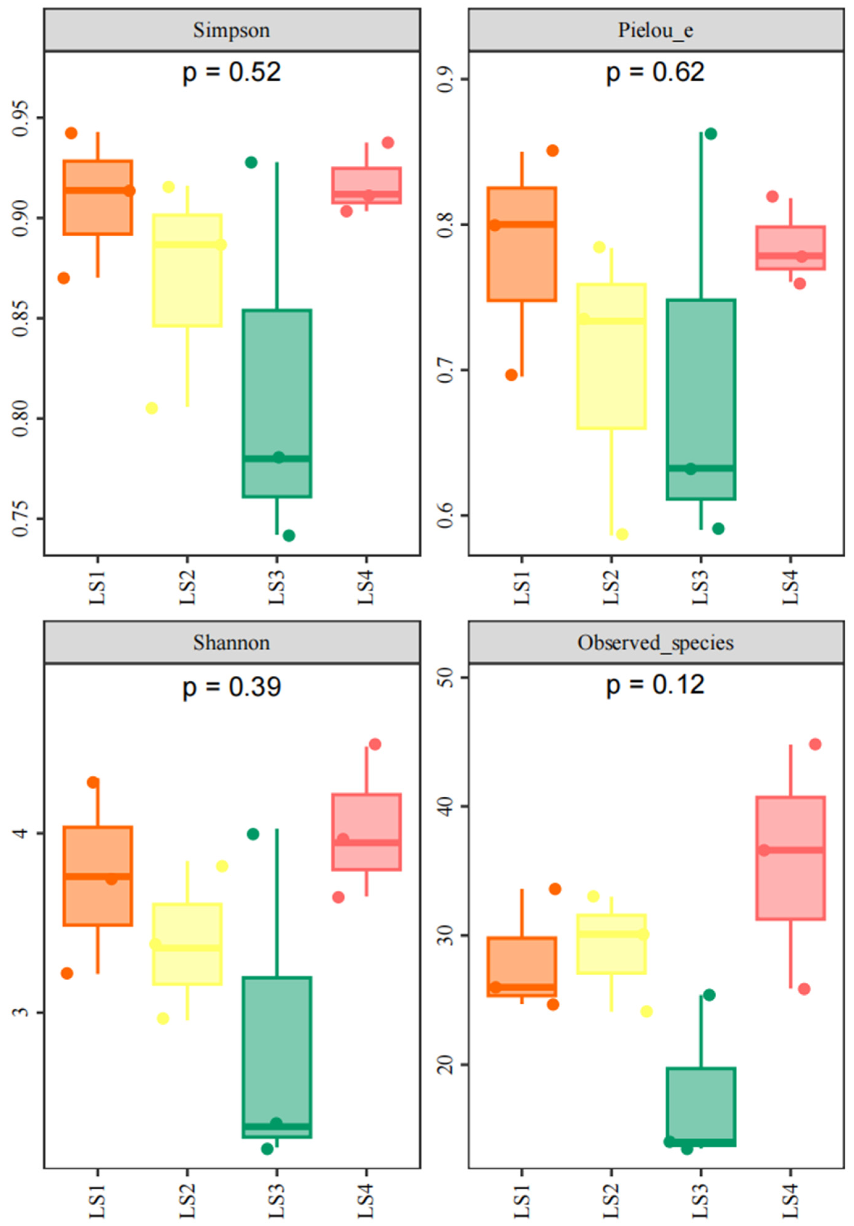
3.2. Spatial Variation in Fish Communities
3.3. Functional Traits and Their Spatial Patterns
3.4. Functional Redundancy of Fish Communities
4. Discussion
5. Conclusions
Author Contributions
Funding
Institutional Review Board Statement
Informed Consent Statement
Data Availability Statement
Conflicts of Interest
References
- Amoutchi, A.I.; Mehner, T.; Ugbor, O.N.; Kargbo, A.; Paul, K.E. Fishermen’s perceptions and experiences toward the impact of climate change and anthropogenic activities on freshwater fish biodiversity in Cote d’Ivoire. Discov. Sustain. 2021, 2, 56. [Google Scholar] [CrossRef]
- Manjarrés-Hernández, A.; Guisande, C.; García-Roselló, E.; Heine, J.; Pelayo-Villamil, P.; Pérez-Costas, E.; González-Vilas, L.; González-Dacosta, J.; Duque, S.R.; Granado-Lorencio, C.; et al. Predicting the effects of climate change on future freshwater fish diversity at global scale. Nat. Conserv. 2021, 43, 1–24. [Google Scholar] [CrossRef]
- Rourke, M.L.; Fowler, A.M.; Hughes, J.M.; Broadhurst, M.K.; DiBattista, J.D.; Fielder, S.; Walburn, J.W.; Furlan, E.M. Environmental DNA (eDNA) as a tool for assessing fish biomass: A review of approaches and future considerations for resource surveys. Environ. DNA 2022, 4, 9–33. [Google Scholar] [CrossRef]
- Miya, M. Environmental DNA Metabarcoding: A Novel Method for Biodiversity Monitoring of Marine Fish Communities. Annu. Rev. Mar. Sci. 2022, 14, 161–185. [Google Scholar] [CrossRef]
- Jia, H.; Zhang, H.; Xian, W. Fish Diversity Monitored by Environmental DNA in the Yangtze River Mainstream. Fishes 2022, 7, 1. [Google Scholar] [CrossRef]
- Mirimin, L.; Desmet, S.; Romero, D.L.; Fernandez, S.F.; Miller, D.L.; Mynott, S.; Brincau, A.G.; Stefanni, S.; Berry, A.; Gaughan, P.; et al. Don’t catch me if you can—Using cabled observatories as multidisciplinary platforms formarine fish communitymonitoring: An in situ case study combining Underwater Video and environmental DNA data. Sci. Total Environ. 2021, 773, 145351. [Google Scholar] [CrossRef]
- Shu, L.; Ludwig, A.; Peng, Z. Environmental DNA metabarcoding primers for freshwater fish detection and quantification: In silico and in tanks. Ecol. Evol. 2021, 11, 8281–8294. [Google Scholar] [CrossRef]
- Riaz, M.; Kuemmerlen, M.; Wittwer, C.; Cocchiararo, B.; Khaliq, I.; Pfenninger, M.; Nowak, C. Combining environmental DNA and species distribution modeling to evaluate reintroduction success of a freshwater fish. Ecol. Appl. 2020, 30, e02034. [Google Scholar] [CrossRef] [PubMed]
- Hansen, B.K.; Jacobsen, M.W.; Middelboe, A.L.; Preston, C.M.; Marin, R., III; Bekkevold, D.; Knudsen, S.W.; Møller, P.R.; Nielsen, E.E. Remote, autonomous real-time monitoring of environmental DNA from commercial fish. Sci. Rep. 2020, 10, 13272. [Google Scholar] [CrossRef] [PubMed]
- Sigsgaard, E.E.; Torquato, F.; Frøslev, T.G.; Moore, A.B.M.; Sørensen, J.M.; Range, P.; Ben-Hamadou, R.; Bach, S.S.; Møller, P.R.; Thomsen, P.F. Using vertebrate environmental DNA from seawater in biomonitoring of marine habitats. Conserv. Biol. 2020, 34, 697–710. [Google Scholar] [CrossRef] [PubMed]
- Gold, Z.; Sprague, J.; Kushner, D.J.; Marin, E.Z.; Barber, P.H. eDNA metabarcoding as a biomonitoring tool for marine protected areas. PLoS ONE 2021, 16, e0238557. [Google Scholar] [CrossRef]
- Li, B.; Chen, G.; Yu, J.; Wang, X.; Guo, Y.; Wang, Z. The acoustic survey of fisheries resources for various seasons in the mouth of Lingshui Bay of Hainan Island. J. Fish. China 2018, 42, 544–556. [Google Scholar]
- Dalongeville, A.; Boulanger, E.; Marques, V.; Charbonnel, E.; Hartmann, V.; Santoni, M.C.; Deter, J.; Valentini, A.; Lenfant, P.; Boissery, P.; et al. Benchmarking eleven biodiversity indicators based on environmental DNA surveys: More diverse functional traits and evolutionary lineages inside marine reserves. J. Appl. Ecol. 2022, 59, 2803–2813. [Google Scholar] [CrossRef]
- Boussarie, G.; Bakker, J.; Wangensteen, O.S.; Mariani, S.; Bonnin, L.; Juhel, J.-B.; Kiszka, J.J.; Kulbicki, M.; Manel, S.; Robbins, W.D.; et al. Environmental DNA illuminates the dark diversity of sharks. Sci. Adv. 2018, 4, eaap9661. [Google Scholar] [CrossRef] [PubMed]
- Balasingham, K.D.; Walter, R.P.; Mandrak, N.E.; Heath, D.D. Environmental DNA detection of rare and invasive fish species in two Great Lakes tributaries. Mol. Ecol. 2018, 27, 112–127. [Google Scholar] [CrossRef] [PubMed]
- Miya, M.; Sato, Y.; Fukunaga, T.; Sado, T.; Poulsen, J.Y.; Sato, K.; Minamoto, T.; Yamamoto, S.; Yamanaka, H.; Araki, H.; et al. MiFish, a set of universal PCR primers for metabarcoding environmental DNA from fishes: Detection of more than 230 subtropical marine species. R. Soc. Open Sci. 2015, 2, 150088. [Google Scholar] [CrossRef] [PubMed]
- Bolyen, E.; Rideout, J.R.; Dillon, M.R.; Bokulich, N.A.; Abnet, C.C.; Al-Ghalith, G.A.; Alexander, H.; Alm, E.J.; Arumugam, M.; Asnicar, F.; et al. Reproducible, interactive, scalable and extensible microbiome data science using QIIME 2. Nat. Biotechnol. 2019, 37, 852–857. [Google Scholar] [CrossRef]
- Martin, M. Cutadapt removes adapter sequences from high-throughput sequencing reads. Embnet J. 2011, 17, 10. [Google Scholar] [CrossRef]
- Katoh, K.; Misawa, K.; Kuma, K.i.; Miyata, T. MAFFT: A novel method for rapid multiple sequence alignment based on fast Fourier transform. Nucleic Acids Res. 2002, 30, 3059–3066. [Google Scholar] [CrossRef] [PubMed]
- Price, M.N.; Dehal, P.S.; Arkin, A.P. FastTree: Computing Large Minimum Evolution Trees with Profiles instead of a Distance Matrix. Mol. Biol. Evol. 2009, 26, 1641–1650. [Google Scholar] [CrossRef]
- Bokulich, N.A.; Kaehler, B.D.; Rideout, J.R.; Dillon, M.; Bolyen, E.; Knight, R.; Huttley, G.A.; Caporaso, J.G. Optimizing taxonomic classification of marker-gene amplicon sequences with QIIME 2’s q2-feature-classifier plugin. Microbiome 2018, 6, 90. [Google Scholar] [CrossRef]
- Callahan, B.J.; McMurdie, P.J.; Rosen, M.J.; Han, A.W.; Johnson, A.J.A.; Holmes, S.P. DADA2: High-resolution sample inference from Illumina amplicon data. Nat. Methods 2016, 13, 581. [Google Scholar] [CrossRef] [PubMed]
- He, X.; Jeffery, N.W.; Stanley, R.R.E.; Hamilton, L.C.; Rubidge, E.M.; Abbott, C.L. eDNA metabarcoding enriches traditional trawl survey data for monitoring biodiversity in the marine environment. Ices J. Mar. Sci. 2023, 80, 1529–1538. [Google Scholar] [CrossRef]
- R Core Team. R: A Language and Environment for Statistical Computing; R Foundation for Statistical Computing: Vienna, Austria, 2014. [Google Scholar]
- Díaz, G.; Górski, K.; Manosalva, A.; Toledo, B.; Habit, E. Fragmentation Level Drives Local Fish Assemblage Diversity Patterns in Fragmented River Basins. Diversity 2023, 15, 352. [Google Scholar] [CrossRef]
- Mouillot, D.; Graham, N.A.J.; Villéger, S.; Mason, N.W.H.; Bellwood, D.R. A functional approach reveals community responses to disturbances. Trends Ecol. Evol. 2012, 28, 167–177. [Google Scholar] [CrossRef]
- Jiang, P.; Xu, Y.; Zhang, S.; Xu, S.; Cai, Y.; Yang, Y.; Chen, Z.; Li, M. Advancing fish diversity monitor in degraded marine ecosystem with environmental DNA approach: Unveiling hidden riches. Ecol. Indic. 2024, 160, 111893. [Google Scholar] [CrossRef]
- Magneville, C.; Loiseau, N.; Albouy, C.; Casajus, N.; Claverie, T.; Escalas, A.; Leprieur, F.; Maire, E.; Mouillot, D.; Villéger, S. mFD: An R package to compute and illustrate the multiple facets of functional diversity. Ecography 2022, 1, e05904. [Google Scholar] [CrossRef]
- McKinley, S.J.; Saunders, B.J.; Rastoin-Laplane, E.; Salinas-de-León, P.; Harvey, E.S. Functional vulnerability and biogeography of reef fish assemblages in the Galapagos Archipelago. Estuar. Coast. Shelf Sci. 2023, 286, 108301. [Google Scholar] [CrossRef]
- Nagarajan, R.P.; Bedwell, M.; Holmes, A.E.; Sanches, T.; Acuña, S.; Baerwald, M.; Barnes, M.A.; Blankenship, S.; Connon, R.E.; Deiner, K.; et al. Environmental DNA Methods for Ecological Monitoring and Biodiversity Assessment in Estuaries. Estuaries Coasts 2022, 45, 2254–2273. [Google Scholar] [CrossRef]
- Aglieri, G.; Baillie, C.; Mariani, S.; Cattano, C.; Calò, A.; Turco, A.; Spatafora, D.; Franco, A.D.; Lorenzo, M.D.; Guidetti, P.; et al. Environmental DNA effectively captures functional diversity of coastal fish communities. Mol. Ecol. 2021, 30, 3127–3139. [Google Scholar] [CrossRef] [PubMed]
- Jia, H.; Ji, D.; Zhang, L.; Zhang, T.; Xian, W.; Zhang, H. Application of environmental DNA technology in marine ranching-case study of Bailong Pearl Bay Demonstration area in Beibu Gulf. Ecol. Indic. 2023, 154, 110906. [Google Scholar] [CrossRef]
- He, W.; Wang, L.; Ou, D.; Li, W.; Huang, H.; Ou, R.; Qiu, J.; Cai, L.; Lin, L.; Zhang, Y. Fish Diversity Monitoring Using Environmental DNA Techniques in the Clarion-Clipperton Zone of the Pacific Ocean. Water 2023, 15, 2123. [Google Scholar] [CrossRef]
- Tu, Z.-g.; Han, T.-s.; Chen, X.-h.; Wu, R.; Wang, D.-r. The community structure and diversity of macrobenthos in Linshui Xincungang and Li’angang Seagrass Special Protected Area, Hainan. Chin. J. Mar. Environ. Sci. 2016, 35, 41–48. [Google Scholar]
- Deiner, K.; Bik, H.M.; Mächler, E.; Seymour, M.; Lacoursière-Roussel, A.; Altermatt, F.; Creer, S.; Bista, I.; Lodge, D.M.; Vere, N.d.; et al. Environmental DNA metabarcoding: Transforming how we survey animal and plant communities. Mol. Ecol. 2017, 26, 5872–5895. [Google Scholar] [CrossRef]
- Lacoursière-Roussel, A.; Côté, G.; Leclerc, V.; Bernatchez, L. Quantifying relative fish abundance with eDNA: A promising tool for fisheries management. J. Appl. Ecol. 2016, 53, 1148–1157. [Google Scholar] [CrossRef]
- Spear, M.J.; Embke, H.S.; Krysan, P.J.; Zanden, M.J.V. Application of eDNA as a tool for assessing fish population abundance. Environ. DNA 2020, 3, 83–91. [Google Scholar] [CrossRef]
- Willis, S.C.; Winemiller, K.O.; Lopez-Fernandez, H. Habitat structural complexity and morphological diversity of fish assemblages in a Neotropical floodplain river. Oecologia 2005, 142, 284–295. [Google Scholar] [CrossRef]
- Hall, A.E.; Kingsford, M.J. Habitat type and complexity drive fish assemblages in a tropical seascape. J. Fish Biol. 2021, 99, 1364–1379. [Google Scholar] [CrossRef] [PubMed]
- Pessanha, A.L.M.; Sales, N.S.; da Silva Lima, C.S.; Clark, F.J.K.; de Lima, L.G.; de Lima, D.E.P.C.; Brito, G.J.S. The occurrence of fish species in multiple habitat types in a tropical estuary: Environmental drivers and the importance of connectivity. Estuar. Coast. Shelf Sci. 2021, 262, 107604. [Google Scholar] [CrossRef]
- Mao, Z.; Gu, X.; Cao, Y.; Luo, J.; Zeng, Q.; Chen, H.; Jeppesen, E. How does fish functional diversity respond to environmental changes in two large shallow lakes? Sci. Total Environ. 2021, 753, 142158. [Google Scholar] [CrossRef]
- Jia, Y.; Kennard, M.J.; Liu, Y.; Sui, X.; Li, K.; Wang, G.; Chen, Y. Human disturbance and long-term changes in fish taxonomic, functional and phylogenetic diversity in the Yellow River, China. Hydrobiologia 2020, 847, 3711–3725. [Google Scholar] [CrossRef]
- Souza, D.M.d.; Flynn, D.F.B.; DeClerck, F.; Rosenbaum, R.K.; Lisboa, H.d.M.; Koellner, T. Land use impacts on biodiversity in LCA: Proposal of characterization factors based on functional diversity. Int. J. Life Cycle Assess. 2013, 18, 1231–1242. [Google Scholar] [CrossRef]
- Chase, J.M.; Blowes, S.A.; Knight, T.M.; Gerstner, K.; May, F. Ecosystem decay exacerbates biodiversity loss with habitat loss. Nature 2020, 584, 238. [Google Scholar] [CrossRef] [PubMed]
- Fricke, R. Callionymus alisae, a new species of dragonet from New Ireland, Papua New Guinea, western Pacific Ocean (Teleostei: Callionymidae). J. Ocean Sci. Found. 2016, 10, 55–66. [Google Scholar]
- Fraser, T.H.; Lachner, E.A. A Revision of the Cardinalfish Subgenera Pristiapogon and Zoramia (genus Apogon) of the Indo-Pacific Region (Teleostei: Apogonidae); Smithsonian Contributions to Zoology; Smithsonian Institution Press: Washington, DC, USA, 1985. [Google Scholar]
- Boström, C.; Pittman, S.J.; Simenstad, C.; Kneib, R.T. Seascape ecology of coastal biogenic habitats: Advances, gaps, and challenges. Mar. Ecol. Prog. Ser. 2011, 427, 191–217. [Google Scholar] [CrossRef]
- Teichert, N.; Lepage, M.; Lobry, J. Beyond classic ecological assessment: The use of functional indices to indicate fish assemblages sensitivity to human disturbance in estuaries. Sci. Total Environ. 2018, 639, 465–475. [Google Scholar] [CrossRef]
- Larentis, C.; Kliemann, B.C.K.; Neves, M.P.; Delariva, R.L. Effects of human disturbance on habitat and fish diversity in Neotropical streams. PLoS ONE 2022, 17, e0274191. [Google Scholar] [CrossRef]
- Scherer, L.; Boom, H.A.; Barbarossa, V.; Bodegom, P.M.v. Climate change threats to the global functional diversity of freshwater fish. Glob. Change Biol. 2023, 29, 3781–3793. [Google Scholar] [CrossRef]
- Zhao, K.; Gaines, S.D.; Molinos, J.G.; Zhang, M.; Xu, J. Climate change and fishing are pulling the functional diversity of the world’s largest marine fisheries to opposite extremes. Glob. Ecol. Biogeogr. 2022, 31, 1616–1629. [Google Scholar] [CrossRef]
- Mason, N.W.H.; Mouillot, D.; Lee, W.G.; Wilson, J.B. Functional richness, functional evenness and functional divergence: The primary components of functional diversity. Oikos 2005, 111, 112–118. [Google Scholar] [CrossRef]
- Mouillot, D.; Villéger, S.; Parravicini, V.; Kulbicki, M.; Arias-González, J.E.; Bender, M.; Chabanet, P.; Floeter, S.R.; Friedlander, A.; Vigliola, L.; et al. Functional over-redundancy and high functional vulnerability in global fish faunas on tropical reefs. Proc. Natl. Acad. Sci. USA 2014, 111, 13757–13762. [Google Scholar] [CrossRef] [PubMed]
- Gell, F.R.; Whittington, M.W. Diversity of fishes in seagrass beds in the Quirimba Archipelago, northern Mozambique. Mar. Freshw. Res. 2002, 53, 115–121. [Google Scholar] [CrossRef]
- Lattanzi, A.; Bellisario, B.; Cimmaruta, R. A review of fish diversity in Mediterranean seagrass habitats, with a focus on functional traits. Rev. Fish Biol. Fish. 2024, 34, 1329–1349. [Google Scholar] [CrossRef]
- Suren, A.M.; Burdon, F.J.; Wilkinson, S.P. eDNA Is a Useful Environmental Monitoring Tool for Assessing Stream Ecological Health. Environ. DNA 2024, 6, e596. [Google Scholar] [CrossRef]
- Gu, S.; Deng, Y.; Wang, P.; Li, C.; Shi, D.; Wang, S. Assessing riverine fish community diversity and stability by eDNA metabarcoding. Ecol. Indic. 2023, 157, 111222. [Google Scholar] [CrossRef]







| Sample ID | Input | Filtered | Denoised | Merged | Non-Chimeric | Non-Singleton |
|---|---|---|---|---|---|---|
| LS1_1 | 79,093 | 75,614 | 74,721 | 74,454 | 72,354 | 72,250 |
| LS1_2 | 86,254 | 83,756 | 82,762 | 82,343 | 79,871 | 79,717 |
| LS1_3 | 81,920 | 79,108 | 78,150 | 77,600 | 75,370 | 75,227 |
| LS2_1 | 78,542 | 75,514 | 73,601 | 71,136 | 67,674 | 67,170 |
| LS2_2 | 97,479 | 94,405 | 93,682 | 92,782 | 90,635 | 90,532 |
| LS2_3 | 84,953 | 79,649 | 78,742 | 76,159 | 73,972 | 73,667 |
| LS3_1 | 90,553 | 85,121 | 83,800 | 83,188 | 80,859 | 80,651 |
| LS3_2 | 73,147 | 70,609 | 69,959 | 69,445 | 67,739 | 67,661 |
| LS3_3 | 85,779 | 83,033 | 81,852 | 81,314 | 78,819 | 78,651 |
| LS4_1 | 88,578 | 85,690 | 84,495 | 83,625 | 80,524 | 80,321 |
| LS4_2 | 90,341 | 87,952 | 86,264 | 85,152 | 82,152 | 81,803 |
| LS4_3 | 80,052 | 77,700 | 76,335 | 75,298 | 72,664 | 72,379 |
| Total | 1,016,691 | 978,151 | 964,363 | 952,496 | 922,633 | 920,029 |
| Taxon | LS1 | LS2 | LS3 | LS4 |
|---|---|---|---|---|
| Acanthurus nigros | + | − | − | − |
| Uroconger lepturus | + | + | − | − |
| Moringua javanica | − | + | − | − |
| Gymnothorax buroensis | − | + | − | − |
| Petroscirtes breviceps | + | − | − | + |
| Petroscirtes mitratus | + | − | − | + |
| Pelates quadrilineatus | + | + | − | + |
| Terapon jarbua | + | + | − | + |
| Chaetodon punctofasciatus | + | − | − | − |
| Coradion altivelis | − | − | + | − |
| Heniochus chrysostomus | + | − | − | + |
| Heniochus varius | + | − | − | − |
| Prognathodes aya | + | + | + | + |
| Sardinella hualiensis | − | − | − | + |
| Thryssa encrasicholoides | − | + | − | − |
| Gerres shima | + | − | − | + |
| Acentrogobius multifasciatus | − | − | − | + |
| Asterropteryx semipunctata | − | − | + | − |
| Cryptocentroides insignis | − | + | − | − |
| Cryptocentrus caeruleomaculatus | − | − | − | + |
| Cryptocentrus melanopus | + | + | + | − |
| Cryptocentrus nigrocellatus | − | − | + | − |
| Drombus triangularis | + | + | − | − |
| Favonigobius melanobranchus | + | + | + | + |
| Favonigobius reichei | + | − | − | − |
| Myersina filifer | − | − | + | − |
| Fibramia amboinensis | + | + | + | + |
| Ostorhinchus aureus | − | + | + | − |
| Pristiapogon exostigma | + | + | + | + |
| Cheilio inermis | − | − | − | + |
| Halichoeres podostigma | − | − | + | − |
| Hapalogenys kishinouyei | + | − | + | + |
| Plectorhinchus sordidus | − | − | − | + |
| Moolgarda engeli | + | − | − | + |
| Mugil cephalus | + | − | − | + |
| Carapus boraborensis | + | − | − | + |
| Platycephalus indicus | + | + | + | + |
| Epinephelus quoyans | − | − | − | + |
| Liopropoma aragai | − | + | − | − |
| Paracentropogon longispinis | - | + | − | − |
| Paracentropogon rubripinnis | - | + | − | − |
| Crossorhombus kanekonis | + | − | − | − |
| Cynoglossus quadrilineatus | + | + | + | + |
| Paraplagusia japonica | + | − | − | − |
| Pardachirus pavoninus | - | − | + | + |
| Pristigenys niphonia | + | + | + | + |
| Lethrinus microdon | + | − | − | − |
| Lethrinus nebulosus | + | − | − | − |
| Rhabdosargus sarba | - | − | − | + |
| Callionymus enneactis | - | + | + | + |
| Callionymus simplicicornis | + | + | − | − |
| Upeneus japonicus | - | + | + | − |
| Hippichthys cyanospilos | - | + | + | − |
| Odonus niger | - | + | + | + |
| Arothron hispidus | + | − | − | + |
| Arothron meleagris | + | − | − | − |
| Arothron stellatus | + | − | − | − |
| Cyttopsis cypho | + | + | − | − |
Disclaimer/Publisher’s Note: The statements, opinions and data contained in all publications are solely those of the individual author(s) and contributor(s) and not of MDPI and/or the editor(s). MDPI and/or the editor(s) disclaim responsibility for any injury to people or property resulting from any ideas, methods, instructions or products referred to in the content. |
© 2026 by the authors. Licensee MDPI, Basel, Switzerland. This article is an open access article distributed under the terms and conditions of the Creative Commons Attribution (CC BY) license.
Share and Cite
Li, W.; He, W.; Zhang, Y.; Ou, D.; Wang, S.; Ni, Y.; Huang, H.; Chen, M. Fish Diversity and Functional Traits in the Seagrass Based on the Environmental DNA Metabarcoding in the Li’an Bay, China. Animals 2026, 16, 871. https://doi.org/10.3390/ani16060871
Li W, He W, Zhang Y, Ou D, Wang S, Ni Y, Huang H, Chen M. Fish Diversity and Functional Traits in the Seagrass Based on the Environmental DNA Metabarcoding in the Li’an Bay, China. Animals. 2026; 16(6):871. https://doi.org/10.3390/ani16060871
Chicago/Turabian StyleLi, Weiwen, Weiyi He, Yanxu Zhang, Danyun Ou, Shangwei Wang, Yue Ni, Hao Huang, and Ming Chen. 2026. "Fish Diversity and Functional Traits in the Seagrass Based on the Environmental DNA Metabarcoding in the Li’an Bay, China" Animals 16, no. 6: 871. https://doi.org/10.3390/ani16060871
APA StyleLi, W., He, W., Zhang, Y., Ou, D., Wang, S., Ni, Y., Huang, H., & Chen, M. (2026). Fish Diversity and Functional Traits in the Seagrass Based on the Environmental DNA Metabarcoding in the Li’an Bay, China. Animals, 16(6), 871. https://doi.org/10.3390/ani16060871

