Comparison of Rein Forces and Pressure Beneath the Noseband and Headpiece of a Snaffle Bridle and a Double Bridle
Simple Summary
Abstract
1. Introduction
2. Materials and Methods
2.1. Horses
2.2. Riders
2.3. Bridles and Bits
2.4. Pressure Mats
2.5. Rein Tension Sensors
2.6. Study Protocol
2.7. Data Processing
2.8. Statistics
3. Results
3.1. Collected Walk
3.1.1. Bridle Forces
3.1.2. Total Rein Tensile Forces (Tension)
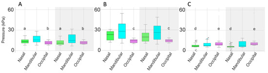
3.1.3. Bridle Pressure Distribution
3.2. Collected Trot
3.2.1. Bridle Forces
3.2.2. Total Rein Tensile Forces (Tension)
3.2.3. Pressure Distribution
3.3. Collected Canter
3.3.1. Bridle Forces
3.3.2. Total Rein Tensile Force (Tension)
3.3.3. Pressure Distribution
4. Differences Between Gaits
5. Discussion
6. Conclusions
Author Contributions
Funding
Institutional Review Board Statement
Informed Consent Statement
Data Availability Statement
Acknowledgments
Conflicts of Interest
References
- Gertz, E.; Gebara, K.; Elbrønd, V.; Harrison, A. The Effects of the Quantum and Finesse Bridles on Equine M. brachiocephalicus and M. splenius Function at Three Different Speeds. Open J. Vet. Med. 2020, 10, 65–79. [Google Scholar]
 - McGreevy, P.; Warren-Smith, A.; Guisard, Y. The effect of double bridles and jaw-clamping crank nosebands on temperature of eyes and facial skin of horses. J. Vet. Behav. 2012, 7, 142–148. [Google Scholar]
 - Murray, R.; Guire, R.; Fisher, M.; Fairfax, V. A Bridle Designed to Avoid Peak Pressure Locations Under the Headpiece and Noseband Is Associated With More Uniform Pressure and Increased Carpal and Tarsal Flexion, Compared with the Horse’s Usual Bridle. J. Equine Vet. Sci. 2015, 35, 947–955. [Google Scholar]
 - Robinson, N.; Bye, T. Noseband and poll pressures underneath bitted and bitless bridles and the effects on equine locomotion. J. Vet. Behav. 2021, 44, 18–24. [Google Scholar]
 - Edwards, E.H. Chapter 4: The principles and mechanics of bitting. In Saddlery; J. A. Allen and Co.: London, UK, 1992; pp. 28–47. First Published 1963. [Google Scholar]
 - Edwards, E.H. Chapter 3: The bridle. In Saddlery; J. A. Allen and Co.: London, UK, 1992; pp. 14–27. First Published 1963. [Google Scholar]
 - Equine Ethics and Wellbeing Commission—24 Draft Recommendations. 2023. Available online: https://equinewellbeing.fei.org/assets/documents/EEWB%2024%20Draft%20Recommendations.pdf (accessed on 1 October 2024).
 - The Danish Animal Ethics Council: Statement on the Use of Horses for Sport 2023. 2023. Available online: https://detdyreetiskeraad.dk/fileadmin/user_upload/Dyreetisk_Raad/Publikationer/Udtalelser/Oversaettelser/Statement_on_the_use_of_horses_for_sport_2023.pdf (accessed on 1 October 2024).
 - Casey, V.; McGreevy, P.; O’Muiris, E.; Doherty, O. A preliminary report on estimating the pressures exerted by a crank noseband in the horse. J. Vet. Behav. 2013, 8, 479–484. [Google Scholar]
 - Clayton, H.M.; Williams, J.M. Know your noseband: An exploration of factors that influence riders’ choice of noseband. J. Vet. Behav. 2022, 47, 1–11. [Google Scholar]
 - Doherty, O.; Casey, V.; McGreevy, P.; Arkins, S. Noseband Use in Equestrian Sports—An International Study. PLoS ONE 2017, 12, e0169060. [Google Scholar]
 - Doherty, O.; Conway, T.; Conway, R.; Murray, G.; Casey, V. An Objective Measure of Noseband Tightness and Its Measurement Using a Novel Digital Tightness Gauge. PLoS ONE 2017, 12, e0168996. [Google Scholar] [CrossRef]
 - Fenner, K.; Yoon, S.; White, P.; Starling, M.; McGreevy, P. The Effect of Noseband Tightening on Horses’ Behavior, Eye Temperature, and Cardiac Responses. PLoS ONE 2016, 11, e0154179. [Google Scholar] [CrossRef]
 - McGreevy, P.; Doherty, O.; Channon, W.; Kyrklund, K.; Webster, J. The use of nosebands in equitation and the merits of an international equestrian welfare and safety committee: A commentary. Vet. J. 2017, 222, 36–40. [Google Scholar]
 - Merkies, K.; Copelin, C.; Small, N.; Young, J. Noseband Fit: Measurements and Perceptions of Canadian Equestrians. Animals 2022, 12, 2685. [Google Scholar] [CrossRef]
 - Doherty, O.; Conway, R.; McGreevy, P.; Arkins, S.; Casey, V. The Effect of Noseband Tightening on Eye Temperature as a Marker of Stress. In Proceedings of the 19th International Equitation Science Conference, A Good Life for Horses, Cambridge, New Zealand, 14–16 March 2024; Available online: https://s3.amazonaws.com/kajabi-storefronts-production/file-uploads/sites/2147549522/themes/2149559392/downloads/a3fe17f-307-378-b42-c1fe0bc3e5d4_ISES_Conference_Proceedings_2024.pdf (accessed on 1 October 2024).
 - Visser, E.; Kuypers, M.; Stam, J.; Riedstra, B. Practice of Noseband Use and Intentions Towards Behavioural Change in Dutch Equestrians. Animals 2019, 9, 1131. [Google Scholar] [CrossRef]
 - Weller, D.; Franklin, S.; Shea, G.; White, P.; Fenner, K.; Wilson, B.; Wilkins, C.; McGreevy, P. The Reported Use of Nosebands in Racing and Equestrian Pursuits. Animals 2020, 10, 776. [Google Scholar] [CrossRef]
 - MacKechnie-Guire, R.; Murray, R.; Williams, J.M.; Nixon, J.; Fisher, M.; Fisher, D.; Walker, V.; Clayton, H.M. Noseband type and tightness level affect pressure on the horse’s face at trot. Equine Vet. J. 2024, 1–15. [Google Scholar] [CrossRef]
 - Clayton, H.M.; Larson, B.; Kaiser, L.J.; Lavagnino, M. Length and elasticity of side reins affect rein tension at trot. Vet. J. 2011, 188, 291–294. [Google Scholar]
 - Clayton, H.; MacKechnie-Guire, R.; Byström, A.; Le Jeune, S.; Egenvall, A.A. Guidelines for the Measurement of Rein Tension in Equestrian Sport. Animals 2021, 11, 2875. [Google Scholar] [CrossRef]
 - Terada, K.; Clayton, H.M.; Kato, K. Stabilization of wrist position during horseback riding at trot. Equine Comp. Exerc. Physiol. 2006, 3, 179–184. [Google Scholar] [CrossRef]
 - Clayton, H.M.; Singleton, W.; Lanovaz, J.; Cloud, G. Strain gauge measurement of rein tension during riding: A pilot study. Equine Comp. Exerc. Physiol. 2005, 2, 203–205. [Google Scholar]
 - Egenvall, A.; Roepstorff, L.; Eisersiö, M.; Rhodin, M.; van Weeren, R. Stride-related rein tension patterns in walk and trot in the ridden horse. Acta Vet. Scand. 2015, 57, 89. [Google Scholar]
 - Egenvall, A.; Clayton, H.M.; Eisersiö, M.; Roepstorff, L.; Byström, A. Rein Tension in Transitions and Halts during Equestrian Dressage Training. Animals 2019, 9, 712. [Google Scholar] [CrossRef]
 - Egenvall, A.; Byström, A.; Roepstorff, L.; Rhodin, M.; Eisersiö, M.; Clayton, H.M. Modelling rein tension during riding sessions using the generalised additive modelling technique. Comp. Exerc. Physiol. 2018, 14, 209–221. [Google Scholar]
 - Eisersiö, M.; Rhodin, M.; Roepstorff, L.; Egenvall, A. Rein tension in 8 professional riders during regular training sessions. J. Vet. Behav. 2015, 10, 419–426. [Google Scholar]
 - Podhajsky, A. The Complete Training of Horse and Rider; Harrap Ltd.: London, UK, 1967. [Google Scholar]
 - Sivewright, M. Thinking Riding; J.A. Allen & Co.: London, UK, 1979. [Google Scholar]
 - Khumsap, S.; Clayton, H.M.; Lanovaz, J.; Bouchey, M. Effect of walking velocity on forelimb kinematics and kinetics. Equine Vet. J. 2002, 34, 325–329. [Google Scholar] [CrossRef]
 - Dyson, S.; Van Dijk, J. Application of a ridden horse ethogram to video recordings of 21 horses before and after diagnostic analgesia: Reduction in behaviour scores. Equine Vet. Educ. 2018, 32, 104–111. [Google Scholar] [CrossRef]
 - Clayton, H.M.; Murray, R.; Williams, J.M.; Walker, V.; Fisher, M.; Fisher, D.; Nixon, J.; Mackechnie-Guire, R. Facial pressure beneath a cavesson noseband adjusted to different tightness levels during standing and chewing. Equine Vet. J. 2024, 1–11. [Google Scholar] [CrossRef]
 - Haussler, K. Pressure Algometry for the Detection of Mechanical Nociceptive Thresholds in Horses. Animals 2020, 10, 2195. [Google Scholar] [CrossRef]
 - Haussler, K.; Erb, H. Mechanical nociceptive thresholds in the axial skeleton of horses. Equine Vet. J. 2006, 38, 70–75. [Google Scholar]
 - Tuomola, K.; Maki-Kihnia, N.; Valros, A.; Mykkanen, A.; Kujala-Wirth, M. Bit-Related Lesions in Event Horses After a Cross-Country Test. Front. Vet. Sci. 2021, 8, 651160. [Google Scholar]
 - Uldahl, M.; Clayton, H.M. Lesions associated with the use of bits, nosebands, spurs and whips in Danish competition horses. Equine Vet. J. 2018, 51, 154–162. [Google Scholar] [CrossRef]
 - Le, K.M.; Madsen, B.L.; Barth, P.W.; Ksander, G.A.; Angell, J.B.; Vistnes, L.M. An in-depth look at pressure sores using monolithic silicon pressure sensors. Plast. Reconstr. Surg. 1984, 76, 745–754. [Google Scholar] [CrossRef]
 - Cross, G.; Cheung, M.; Honey, T.; Pau, M.; Senior, K.-J. Application of a Dual Force Sensor System to Characterize the Intrinsic Operation of Horse Bridles and Bits. J. Equine Vet. Sci. 2017, 48, 129–135.e3. [Google Scholar] [CrossRef]
 - Swales, F. Improvements in or Relating to Bits. UK Patent GB190618657, 15 August 1906. [Google Scholar]
 - Manfredi, J.; Clayton, H.M.; Rosenstein, D. Radiographic study of bit position within the horse’s oral cavity. Equine Comp. Exerc. Physiol. 2005, 2, 195–201. [Google Scholar]
 - Manfredi, J.; Rosenstein, D.; Lanovaz, J.; Nauwelaerts, S.; Clayton, H.M. Fluoroscopic study of oral behaviours in response to the presence of a bit and the effects of rein tension. Comp. Exerc. Physiol. 2010, 6, 143–148. [Google Scholar] [CrossRef]
 

















| Total Force | Location | Snaffle  Bridle  | Double  Bridle  | p Value | 
|---|---|---|---|---|
| Mean (N)  | Nasal | 8.9 [4.1, 15.4]  | 5.6 [2.1, 18.8]  | 0.08 | 
| Mandibular | 14.8 [8.7, 31.5]  | 7.4 [4.0, 32.1]  | 0.03 | |
| Occipital | 32.2 [14.2, 39.1]  | 35.8 [23.9, 46.6]  | 0.001 | |
| Maximal  (N)  | Nasal | 34.4 [8.2, 58.6]  | 13.7 [5.5, 46.1]  | 0.37 | 
| Mandibular | 55.1 [24.9, 110.8]  | 20.1 [13.4, 77.3]  | 0.21 | |
| Occipital | 33.9 [18.9, 55.3]  | 45.6 [32.1, 71.8]  | 0.01 | |
| Minimal  (N)  | Nasal | 2.2 [1.2, 6.2]  | 2.2 [1.6, 3.2]  | 0.31 | 
| Mandibular | 6.3 [4.8, 16.1]  | 4.8 [1.2, 18.4]  | 0.37 | |
| Occipital | 22.8 [12.1, 42.5]  | 33.7 [19.4, 52.5]  | 0.009 | 
| Rein Tension  | SB Snaffle Bit  | DB (Bridoon + Curb Bits)  | p Value SB vs. DB  | Curb Bit | Bridoon Bit | p Value  (Curb vs. Bridoon vs. Snaffle)  | Post Hoc | 
|---|---|---|---|---|---|---|---|
| Mean  (N)  | 28.5 [19.3, 38.8]  | 28.6 [22.6, 34.0]  | 0.67 | 8.1 [6.3, 11.0]  | 19.2 [14.8, 25.3]  | 0.001 | Curb < Bridoon p = 0.001 a Curb < Snaffle p < 0.001 b Bridoon < Snaffle p = 0.02 c  | 
| Maximum  (N)  | 80.1 [57.4, 99.5]  | 78.9 [62.6, 109.6]  | 0.24 | 20.9 [16.8, 26.2]  | 58.5 [43.4, 73.4]  | <0.001 | Curb < Snaffle p < 0.001 d Curb < Bridoon P0.003 e Bridoon < Snaffle p = 0.01 f  | 
| Minimum  (N)  | 3.9 [1.1, 6.3]  | 3.7 [2.5, 6.1]  | 0.56 | 2.3 [1.3, 3.4]  | 1.5 [0.9, 2.6]  | 0.01 | Bridoon < Snaffle p = 0.01 g | 
| Pressure | Location | Snaffle  Bridle  | Double  Bridle  | p Value | 
|---|---|---|---|---|
| Mean  (kPa)  | Nasal | 11.3 [9.3, 12.3]  | 9.1 [7.7, 13.5]  | 0.02 a | 
| Mandibular | 15.4 [10.3, 18.6]  | 13.5 [8.6, 20.0]  | 0.23 | |
| Occipital | 10.7 [9.0, 12.3]  | 11.0 [9.5, 12.7]  | 0.001 b | |
| Maximal  (kPa)  | Nasal | 25.8 [17.5, 29.2]  | 19.4 [14.7, 27.9]  | 0.43 | 
| Mandibular | 39.7 [20.3, 49.1]  | 28.2 [18.9, 50.6]  | 0.98 | |
| Occipital | 12.5 [9.8, 15.1]  | 12.7 [10.5, 15.0]  | 0.01 c | |
| Minimal  (kPa)  | Nasal | 5.0 [5.0, 5.0]  | 5.0 [5.0, 5.0]  | 1.0 | 
| Mandibular | 5.7 [5.5, 8.7]  | 6.0 [5.0, 10.3]  | 0.51 | |
| Occipital | 8.8 [7.7, 11.1]  | 9.4 [8.1, 11.5]  | <0.001 d | 
| Total Force | Location | Snaffle Bridle  | Double Bridle | p Value | 
|---|---|---|---|---|
| Mean (N)  | Nasal | 15.8 [7.4, 29.3]  | 9.1 [5.2, 31.0]  | 0.27 | 
| Mandibular | 20.6 [9.1, 47.1]  | 20.2 [6.1, 46.2]  | 0.88 | |
| Occipital | 33.7 [17.7, 56.2]  | 43.2 [27.2, 61.4]  | <0.001 | |
| Maximal (N)  | Nasal | 46.4 [19.3, 65.4]  | 18.4 [15.2, 74.9]  | 0.88 | 
| Mandibular | 85.1 [34.7, 98.0]  | 45.5 [28.2, 94.9]  | 0.76 | |
| Occipital | 47.3 [22.7, 77.3]  | 60.3 [39.0, 91.9]  | 0.01 | |
| Minimal (N)  | Nasal | 6.3 [1.6, 8.8]  | 5.0 [2.1, 9.2]  | 0.31 | 
| Mandibular | 8.1 [2.8, 24.0]  | 9.4 [2.6, 16.2]  | 0.67 | |
| Occipital | 28.5 [13.9, 50.6]  | 34.2 [19.6, 57.2]  | 0.009 | 
| SB | DB | p Value | DB | p Value | |||
|---|---|---|---|---|---|---|---|
| Rein tension  | Snaffle | Bridoon + curb | SB vs. DB | Curb | Bridoon | (Curb vs. Bridoon vs. Snaffle) | Post Hoc | 
| Mean  (N)  | 48.2 [37.8, 60.2]  | 39.9 [33.4, 54.6]  | 0.01 | 14.2 [10.8, 20.7]  | 24.8 [20.4, 34.8]  | <0.001 | Curb < snaffle p < 0.001 a Bridoon < snaffle p < 0.001 b  | 
| Maximum (N)  | 142.4 [101.4, 204.3]  | 118.4 [96.3, 202.5]  | 0.20 | 48.5 [30.1, 75.8]  | 74.5 [55.0, 124.6]  | <0.001 | Curb < snaffle p < 0.001 c Bridoon < snaffle p < 0.001 d  | 
| Minimum (N)  | 4.6 [3.2, 7.8]  | 5.3 [3.4, 8.1]  | 0.69 | 3.3 [2.6, 5.4]  | 1.7 [0.3, 3.3]  | <0.001 | Bridoon < curb p = 0.008 e  | 
| Pressure | Location | Snaffle Bridle  | Double Bridle  | p Value | 
|---|---|---|---|---|
| Mean (kPa)  | Nasal | 14.0 [9.8, 15.6]  | 12.1 [8.8, 16.4]  | 0.10 | 
| Mandibular | 15.0 [11.5, 21.9]  | 15.1 [10.7, 22.2]  | 0.85 | |
| Occipital | 11.1 [9.5, 13.3]  | 11.4 [10.0, 13.6]  | 0.003 | |
| Maximal (kPa)  | Nasal | 20.4 [15.5, 26.6]  | 17.7 [12.7, 23.8]  | 0.01 | 
| Mandibular | 26.9 [18.6, 41.3]  | 19.8 [15.1, 36.0]  | 0.13 | |
| Occipital | 15.0 [11.1, 16.1]  | 14.7 [11.5, 16.0]  | 0.95 | |
| Minimal (kPa)  | Nasal | 6.4 [5.6, 7.5]  | 5.6 [1.7, 7.1]  | 0.17 | 
| Mandibular | 7.2 [6.1, 9.9]  | 7.7 [5.5, 10.3]  | 0.37 | |
| Occipital | 9.3 [8.1, 12.2]  | 10.1 [8.2, 12.1]  | 0.18 | 
| Total Force | Location | Snaffle Bridle  | Double Bridle  | p Value | 
|---|---|---|---|---|
| Mean  (N)  | Nasal | 12.7 [6.6, 30.2]  | 11.3 [3.1, 33.0]  | 0.88 | 
| Mandibular | 20.0 [10.2, 49.5]  | 30.3 [5.0, 49.8]  | 0.96 | |
| Occipital | 37.0 [20.9, 56.0]  | 42.0 [29.0, 71.8]  | <0.001 | |
| Maximal (N) | Nasal | 60.7 [21.6, 78.4]  | 75.3 [11.4, 78.1]  | 0.54 | 
| Mandibular | 76.2 [33.7, 125.5]  | 80.6 [24.3, 123.3]  | 0.76 | |
| Occipital | 58.3 [31.9, 83.9]  | 60.5 [46.1, 106.4]  | 0.01 | |
| Minimal (N) | Nasal | 3.8 [3.1, 9.8]  | 2.5 [1.9, 11.4]  | 0.51 | 
| Mandibular | 12.1 [1.8, 22.4]  | 5.8 [2.4, 33.2]  | 0.21 | |
| Occipital | 29.4 [16.3, 44.1]  | 32.4 [20.3, 51.2]  | 0.04 | 
| Snaffle Bridle  | Double  Bridle  | p Value | Double Bridle | p Value | |||
|---|---|---|---|---|---|---|---|
| Rein tension  | Snaffle bit | Bridoon + curb bits | Curb bit | Bridoon bit | Curb vs. Bridoon vs. Snaffle | Post hoc | |
| Mean  (N)  | 53.7 [39.4, 77.5]  | 50.7 [36.0, 83.3]  | 0.62 | 19.4 [12.4, 26.7]  | 30.3 [22.0, 51.6]  | <0.001 | Curb < bridoon, p = 0.02 a Curb < snaffle, p < 0.001 b Bridoon < snaffle, p = 0.005 c  | 
| Maximum (N)  | 167.1 [118.1, 240.5]  | 171.3 [118.9, 271.1]  | 0.06 | 48.6 [40.4, 78.1]  | 109.8 [77.1, 216.7]  | <0.001 | Curb < snaffle, p < 0.001 d Curb < bridoon, P0.002 e Bridoon < snaffle, p = 0.008 f  | 
| Minimum (N)  | 3.6 [1.1, 8.3]  | 4.3 [2.7, 8.2]  | 0.26 | 2.4 [1.9, 4.1]  | 1.6 [0.4, 2.7]  | 0.03 | |
| Pressure | Location | Snaffle Bridle  | Double Bridle  | p Value | 
|---|---|---|---|---|
| Mean  (kPa)  | Nasal | 13.2 [11.0, 16.4]  | 10.9 [8.8, 14.8]  | 0.002 | 
| Mandibular | 15.6 [12.5, 21.6]  | 14.8 [11.0, 23.4]  | 0.21 | |
| Occipital | 11.1 [9.5, 13.6]  | 11.5 [9.7, 13.6]  | <0.001 | |
| Maximal  (kPa)  | Nasal | 23.1 [14.9, 27.8]  | 19.6 [12.9, 26.4]  | 0.10 | 
| Mandibular | 27.8 [17.1, 40.0]  | 26.2 [15.5, 36.4]  | 0.31 | |
| Occipital | 14.4 [11.2, 15.6]  | 14.8 [11.4, 15.9]  | 0.01 | |
| Minimal  (kPa)  | Nasal | 6.7 [5.6, 8.3]  | 5.8 [5.0, 6.8]  | 0.006 | 
| Mandibular | 7.5 [6.8, 11.9]  | 7.2 [5.7, 13.7]  | 0.35 | |
| Occipital | 8.9 [77.9, 11.9]  | 9.5 [8.4, 11.8]  | <0.001 | 
| Variable | Bridle | p Value | Post Hoc | 
|---|---|---|---|
| Nasal force (N) | Snaffle | <0.001 | Walk < canter, p = 0.005 Walk < trot, p = 0.001  | 
| Double | <0.001 | Walk < canter, p = 0.003 Walk < trot, p = 0.002  | |
| Mandibular force (N) | Snaffle | 0.001 | Walk < canter, p = 0.008 Walk < trot, p = 0.003  | 
| Double | <0.001 | Walk < canter, p = 0.003 Walk < trot, p = 0.002  | |
| Occipital force (N) | Snaffle | <0.001 | Walk < canter, p = 0.001 Walk < trot, p < 0.001  | 
| Double | <0.001 | Walk < canter, p < 0.001 Walk < trot, p < 0.001  | |
| Nasal mean pressure (kPa) | Snaffle | <0.001 | Walk < canter, p = 0.002 Walk < trot, p = 0.003  | 
| Double | 0.002 | Walk < canter, p = 0.02 Walk < trot, p = 0.002  | |
| Mandibular mean pressure (kPa) | Snaffle | 0.003 | Walk < canter, p = 0.01 Walk < trot, p = 0.008  | 
| Double | 0.003 | Walk < canter, p = 0.02 Walk < trot, p = 0.005  | |
| Occipital mean pressure (kPa) | Snaffle | 0.17 | - | 
| Double | <0.001 | Walk < canter, p < 0.001 Walk < trot, p = 0.005  | |
| Nasal maximal pressure (kPa) | Snaffle | 0.71 | -NS | 
| Double | 0.24 | -NS | |
| Mandibular maximal pressure (kPa) | Snaffle | 0.27 | -NS | 
| Double | 0.006 | Walk > trot, p = 0.01 Walk < canter, p = 0.01  | |
| Occipital maximal pressure (kPa) | Snaffle | 0.010 | Walk < canter, p = 0.01 | 
| Double | <0.001 | Walk < canter, p = <0.001 Walk < trot, p = 0.006  | |
| Nasal minimal pressure (kPa) | Snaffle | <0.001 | Walk < canter, p = 0.01 Walk < trot, p = 0.002  | 
| Double | 0.020 | Walk < canter, p = 0.02 | |
| Mandibular minimal pressure (kPa) | Snaffle | <0.001 | Walk < canter, p < 0.001 Trot < canter, p = 0.001t  | 
| Double | <0.001 | Walk < canter, p = 0.02u Trot < canter, p < 0.001v  | |
| Occipital minimal pressure (kPa) | Snaffle | 0.15 | -NS | 
| Double | 0.10 | -NS | 
Disclaimer/Publisher’s Note: The statements, opinions and data contained in all publications are solely those of the individual author(s) and contributor(s) and not of MDPI and/or the editor(s). MDPI and/or the editor(s) disclaim responsibility for any injury to people or property resulting from any ideas, methods, instructions or products referred to in the content.  | 
© 2025 by the authors. Licensee MDPI, Basel, Switzerland. This article is an open access article distributed under the terms and conditions of the Creative Commons Attribution (CC BY) license (https://creativecommons.org/licenses/by/4.0/).
Share and Cite
MacKechnie-Guire, R.; Clayton, H.; Williams, J.; Marlin, D.; Fisher, M.; Fisher, D.; Walker, V.; Murray, R.C. Comparison of Rein Forces and Pressure Beneath the Noseband and Headpiece of a Snaffle Bridle and a Double Bridle. Animals 2025, 15, 1058. https://doi.org/10.3390/ani15071058
MacKechnie-Guire R, Clayton H, Williams J, Marlin D, Fisher M, Fisher D, Walker V, Murray RC. Comparison of Rein Forces and Pressure Beneath the Noseband and Headpiece of a Snaffle Bridle and a Double Bridle. Animals. 2025; 15(7):1058. https://doi.org/10.3390/ani15071058
Chicago/Turabian StyleMacKechnie-Guire, Russell, Hilary Clayton, Jane Williams, David Marlin, Mark Fisher, Diana Fisher, Victoria Walker, and Rachel C. Murray. 2025. "Comparison of Rein Forces and Pressure Beneath the Noseband and Headpiece of a Snaffle Bridle and a Double Bridle" Animals 15, no. 7: 1058. https://doi.org/10.3390/ani15071058
APA StyleMacKechnie-Guire, R., Clayton, H., Williams, J., Marlin, D., Fisher, M., Fisher, D., Walker, V., & Murray, R. C. (2025). Comparison of Rein Forces and Pressure Beneath the Noseband and Headpiece of a Snaffle Bridle and a Double Bridle. Animals, 15(7), 1058. https://doi.org/10.3390/ani15071058
        
