Verification of the Utility of the Standardized Melissa officinalis Extract to Control Gut Contractility in Sheep—Ex Vivo Study
Simple Summary
Abstract
1. Introduction
2. Materials and Methods
2.1. Chemicals
2.2. Animals, Isolation, and Preparation of Smooth Muscle Segments
2.3. The Course of Experiments
2.4. Data Registration and Expression
2.5. Statistical Analysis
3. Results
3.1. The Effect of the Standardized Melissa officinalis Extract on the Spontaneous Motoric Activity of Ovine Jejunum and Colon Specimens
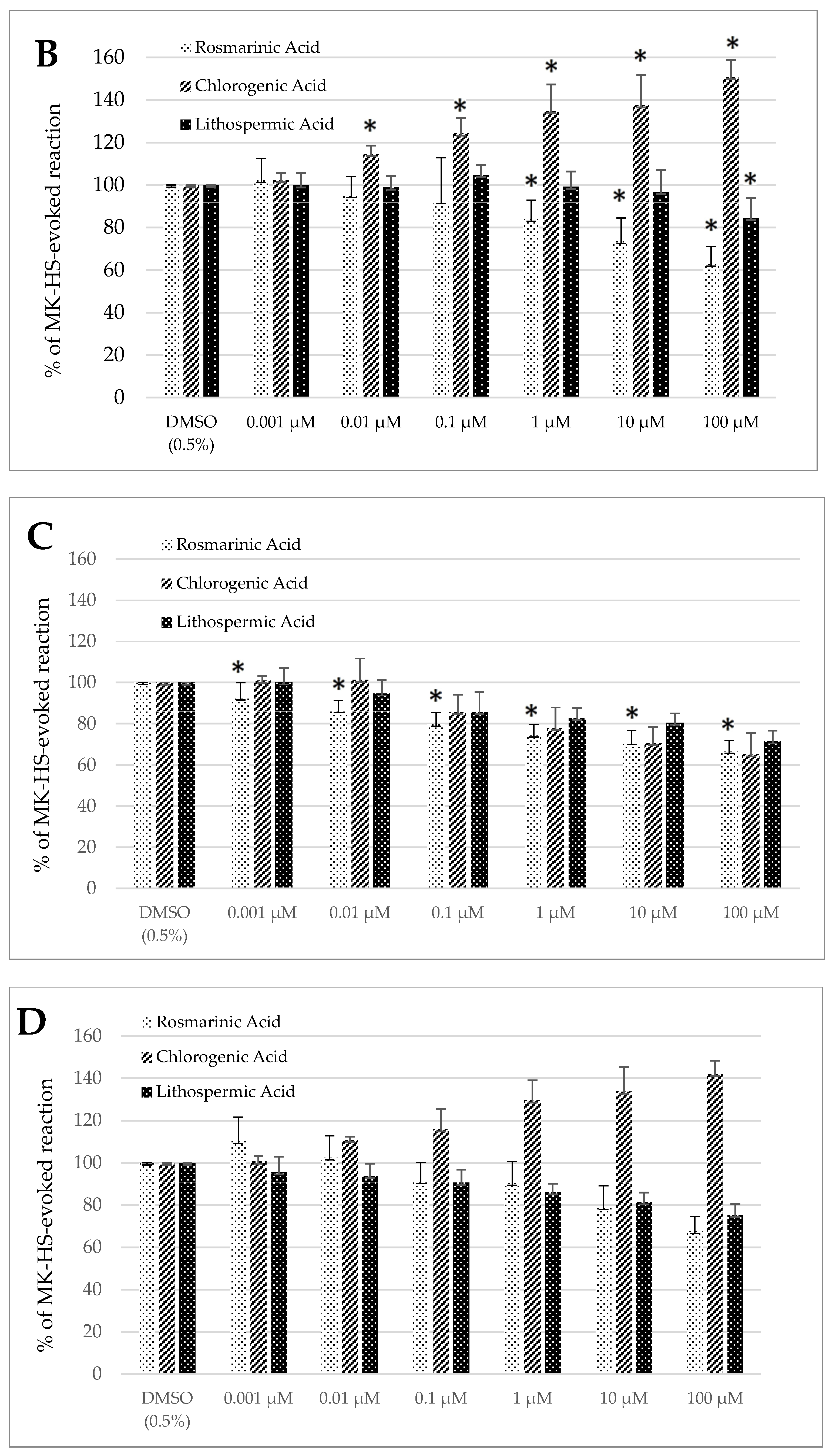
3.2. The Effect of RA, ChA, and LA on the Spontaneous Motoric Activity of Ovine Jejunum and Colon Specimens
3.3. The Effect of the Standardized Melissa officinalis Extract on Acetylcholine-Induced Contractility of Ovine Jejunum and Colon Specimens
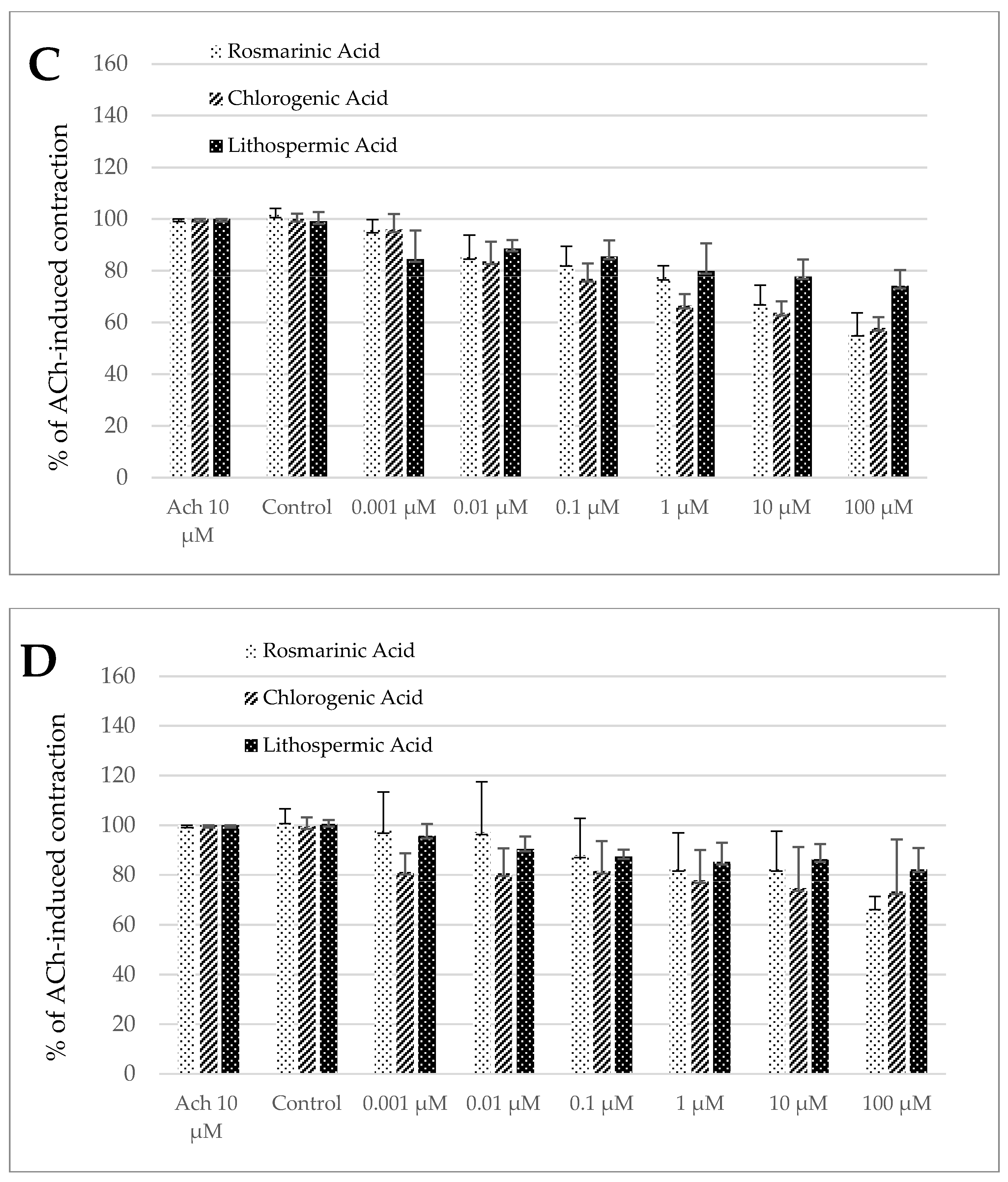
3.4. The Effect of Phenolic Acids on Acetylcholine-Induced Contractility of Ovine Jejunum and Colon Specimens
4. Discussion
5. Conclusions
Author Contributions
Funding
Institutional Review Board Statement
Informed Consent Statement
Data Availability Statement
Conflicts of Interest
Abbreviations
| ACh | Acetylcholine chloride |
| ChA | Chlorogenic acid |
| DMSO | Dimethyl sulfoxide |
| GI | Gastrointestinal |
| GIT | Gastrointestinal tract |
| Isop | Isoproterenol |
| LA | Lithospermic acid |
| MK-HS | Modified Krebs–Henseleit solution |
| RA | Rosmarinic acid |
References
- Pulina, G.; Milán, M.J.; Lavín, M.P.; Theodoridis, A.; Morin, E.; Capote, J.; Thomas, D.L.; Francesconi, A.H.D.; Caja, G. Invited Review: Current Production Trends, Farm Structures, and Economics of the Dairy Sheep and Goat Sectors. J. Dairy Sci. 2018, 101, 6715–6729. [Google Scholar] [CrossRef]
- Tirado, R. Defining Ecological Farming; University of Exeter, School of Biosciences: Exeter, UK, 2009. [Google Scholar]
- EFSA The European Union Summary Report on Antimicrobial Resistance in Zoonotic and Indicator Bacteria from Humans, Animals and Food in 2018/2019. EFSA J. 2021, 19, e6490. [CrossRef]
- Singer, R.S.; Porter, L.J.; Thomson, D.U.; Gage, M.; Beaudoin, A.; Wishnie, J.K. Raising Animals Without Antibiotics: U.S. Producer and Veterinarian Experiences and Opinions. Front. Vet. Sci. 2019, 6, 452. [Google Scholar] [CrossRef] [PubMed]
- Gernat, A.A.; Santos, F.B.O.; Grimes, J.L. Alternative Approaches to Antimicrobial Use in the Turkey Industry: Challenges and Perspectives. Ger. J. Vet. Res. 2021, 1, 37–47. [Google Scholar] [CrossRef]
- Kour, D.; Sharma, V.K.; Sharma, R.K.; Pathak, A.K.; Rastogi, A. Evaluation of Native Medicinal Plants as Feed Additives in the Sheep Ration. Indian J. Anim. Sci. 2023, 93, 129759. [Google Scholar] [CrossRef]
- Saparova, E.; Zubova, T. The Effectiveness of Phytobiotic Additives in the Diet of Sheep. IOP Conf. Ser. Earth Environ. Sci. 2019, 403, 012034. [Google Scholar] [CrossRef]
- Celi, P.; Raadsma, H.W. The effects of Yerba Mate (Ilex paraguarensis) supplementation on the productive performance of lambs. In Ruminant Physiology; Wageningen Academic: Wageningen, The Netherlands, 2009; pp. 804–805. [Google Scholar]
- Amit, M.; Cohen, I.; Marcovics, A.; Muklada, H.; Glasser, T.A.; Ungar, E.D.; Landau, S.Y. Self-Medication with Tannin-Rich Browse in Goats Infected with Gastro-Intestinal Nematodes. Vet. Parasitol. 2013, 198, 305–311. [Google Scholar] [CrossRef]
- Gradé, J.T.; Tabuti, J.R.S.; Van Damme, P. Four Footed Pharmacists: Indications of Self-Medicating Livestock in Karamoja, Uganda. Econ. Bot. 2008, 63, 29–42. [Google Scholar] [CrossRef]
- Villalba, J.J.; Miller, J.; Ungar, E.D.; Landau, S.Y.; Glendinning, J. Ruminant Self-Medication against Gastrointestinal Nematodes: Evidence, Mechanism, and Origins. Parasite 2014, 21, 31. [Google Scholar] [CrossRef]
- Singh, R.; Zogg, H.; Wei, L.; Bartlett, A.; Ghoshal, U.C.; Rajender, S.; Ro, S. Gut Microbial Dysbiosis in the Pathogenesis of Gastrointestinal Dysmotility and Metabolic Disorders. J. Neurogastroenterol. Motil. 2021, 27, 19–34. [Google Scholar] [CrossRef]
- Posłuszny, M.A.; Chłopecka, M.; Suor-Cherer, S.; Cisse, S.; Benarbia, M.e.A.; Mendel, M. Modulation of Chicken Gut Contractility by Melissa Officinalis—Ex Vivo Study. Poult. Sci. 2023, 102, 103045. [Google Scholar] [CrossRef] [PubMed]
- Bampidis, V.; Azimonti, G.; Bastos, M.d.L.; Christensen, H.; Kouba, M.; Kos Durjava, M.; López-Alonso, M.; López Puente, S.; Marcon, F.; Mayo, B.; et al. Safety and Efficacy of a Dried Aqueous Ethanol Extract of Melissa officinalis L. Leaves When Used as a Sensory Additive for All Animal Species. EFSA J. 2020, 18, e06016. [Google Scholar] [CrossRef] [PubMed]
- Wedah, H.A.; Mohamed, A.S.; Al-Yassiri, A.J. Effect of Added Different Levels of Melissa Leaves Powder to Diet on Some Productive Traits of Arabi Sheep. Plant Arch. 2020, 20, 543–545. [Google Scholar]
- Grela, E.; Klebaniuk, R.; Kwiecien, M.; Pietrzak, K. Fitobiotyki w produkcji zwierz˛ecej [Phytobiotics in animal production]. Prz. Hod. 2013, 3, 21–24. [Google Scholar]
- Bodkowski, R.; Patkowska-Sokoła, B.; Szmatko, T. Wpływ dodatku naturalnych biostymulatorów na użytkowość mięsna jagniąt oraz opłacalność tuczu. Biul. Inf. Przem. Pasz. 1992, 4, 35–45. [Google Scholar]
- Lee, B.; Bello-Pérez, L.A.; Lin, A.H.; Kim, C.Y.; Hamaker, B.R. Importance of Location of Digestion and Colonic Fermentation of Starch Related to Its Quality. Cereal Chem. 2013, 90, 335–343. [Google Scholar] [CrossRef]
- Sensoy, I. A Review on the Food Digestion in the Digestive Tract and the Used In Vitro Models. Curr. Res. Food Sci. 2021, 4, 308–319. [Google Scholar] [CrossRef]
- Uzal, F.A.; Songer, J.G. Diagnosis of Clostridium Perfringens Intestinal Infections in Sheep and Goats. J. Vet. Diagn. Investig. 2008, 20, 253–265. [Google Scholar] [CrossRef]
- Mohammadabadi, M.R. Role of Clostridium Perfringens in Pathogenicity of Some Domestic Animals. J. Adv. Agric. 2017, 7, 1117–1121. [Google Scholar] [CrossRef]
- Schefer, S.; Oest, M.; Rohn, S. Interactions between Phenolic Acids, Proteins, and Carbohydrates—Influence on Dough and Bread Properties. Foods 2021, 10, 2798. [Google Scholar] [CrossRef]
- Liu, Y.; Li, X.; Diao, Q.; Ma, T.; Tu, Y. In Silico and in Vitro Studies Revealed That Rosmarinic Acid Inhibited Methanogenesis via Regulating Composition and Function of Rumen Microbiota. J. Dairy Sci. 2024, 107, 7904–7917. [Google Scholar] [CrossRef]
- Banstola, A.; Reynolds, J.N.J. The Sheep as a Large Animal Model for the Investigation and Treatment of Human Disorders. Biology 2022, 11, 1251. [Google Scholar] [CrossRef] [PubMed]
- Delano, M.L.; Mischler, S.A.; Underwood, W.J. Biology and Diseases of Ruminants: Sheep, Goats, and Cattle. In Laboratory Animal Medicine; Elsevier: Amsterdam, The Netherlands, 2002; pp. 519–614. [Google Scholar]
- Hackmann, T.J.; Spain, J.N. Invited Review: Ruminant Ecology and Evolution: Perspectives Useful to Ruminant Livestock Research and Production. J. Dairy Sci. 2010, 93, 1320–1334. [Google Scholar] [CrossRef] [PubMed]
- Karasov, W.H.; Douglas, A.E. Comparative Digestive Physiology. Compr. Physiol. 2013, 3, 741–783. [Google Scholar] [CrossRef] [PubMed]
- Mahayri, T.M.; Fliegerová, K.O.; Mattiello, S.; Celozzi, S.; Mrázek, J.; Mekadim, C.; Sechovcová, H.; Kvasnová, S.; Atallah, E.; Moniello, G. Host Species Affects Bacterial Evenness, but Not Diversity: Comparison of Fecal Bacteria of Cows and Goats Offered the Same Diet. Animals 2022, 12, 2011. [Google Scholar] [CrossRef] [PubMed]
- Aubert, P.; Guinobert, I.; Guilbot, A.; Dubourdeaux, M.; Neunlist, M. Antispasmodic and Spasmolytic Activity of Melissa Officinalis EPS upon Mice Gastrointestinal Tract: An Ex Vivo Pilot Study. Planta Med. 2016, 81, S1–S381. [Google Scholar] [CrossRef]
- Sadraei, H.; Ghannadi, A.; Malekshahi, K. Relaxant Effect of Essential Oil of Melissa Officinalis and Citral on Rat Ileum Contractions. Fitoterapia 2003, 74, 445–452. [Google Scholar] [CrossRef]
- Posłuszny, M.; Szadkowska, D.; Chłopecka, M.; Suor-Cherer, S.; Benarbia, M.e.A.; Mendel, M. Melissa Officinalis as Gut Contractility Modifier in Swine—Ex Vivo Study. Planta Med. 2021, 87, 1260–1261. [Google Scholar]
- Tom, E.N.L.; Girard-Thernier, C.; Demougeot, C. The Janus Face of Chlorogenic Acid on Vascular Reactivity: A Study on Rat Isolated Vessels. Phytomedicine 2016, 23, 1037–1042. [Google Scholar] [CrossRef]
- Aqel, M.B. A Vascular Smooth Muscle Relaxant Effect of Rosmarinus Officinalis. Int. J. Pharmacogn. 1992, 30, 281–288. [Google Scholar] [CrossRef]
- Jalilzadeh-Amin, G.; Maham, M.; Dalir-Naghadeh, B.; Kheiri, F. In Vitro Effects of Artemisia Dracunculus Essential Oil on Ruminal and Abomasal Smooth Muscle in Sheep. Comp. Clin. Pathol. 2011, 21, 673–680. [Google Scholar] [CrossRef]
- Ekiert, H.; Świątkowska, J.; Knut, E.; Klin, P.; Rzepiela, A.; Tomczyk, M.; Szopa, A. Artemisia Dracunculus (Tarragon): A Review of Its Traditional Uses, Phytochemistry and Pharmacology. Front. Pharmacol. 2021, 12, 653993. [Google Scholar] [CrossRef] [PubMed]
- Hernández-Pérez, A.; Bah, M.; Ibarra-Alvarado, C.; Rivero-Cruz, J.; Rojas-Molina, A.; Rojas-Molina, J.; Cabrera-Luna, J. Aortic Relaxant Activity of Crataegus Gracilior Phipps and Identification of Some of Its Chemical Constituents. Molecules 2014, 19, 20962–20974. [Google Scholar] [CrossRef] [PubMed]







| (A) | ||||
| GIT Section | ||||
| Muscle Fiber | Jejunum | Colon | ||
| Circular | Longitudinal | Circular | Longitudinal | |
| Lemon Balm extract | R | R | R | R |
| Rosmarinic Acid | R | R | R | R |
| Chlorogenic Acid | C | C | R | C |
| Lithospermic Acid | R | R | R | R |
| (B) | ||||
| GIT Section | ||||
| Muscle Fiber | Jejunum | Colon | ||
| Circular | Longitudinal | Circular | Longitudinal | |
| Lemon Balm extract | R | R | R | R |
| Rosmarinic Acid | R | R | R | R |
| Chlorogenic Acid | R | X | R | R |
| Lithospermic Acid | R | X | R | R |
Disclaimer/Publisher’s Note: The statements, opinions and data contained in all publications are solely those of the individual author(s) and contributor(s) and not of MDPI and/or the editor(s). MDPI and/or the editor(s) disclaim responsibility for any injury to people or property resulting from any ideas, methods, instructions or products referred to in the content. |
© 2025 by the authors. Licensee MDPI, Basel, Switzerland. This article is an open access article distributed under the terms and conditions of the Creative Commons Attribution (CC BY) license (https://creativecommons.org/licenses/by/4.0/).
Share and Cite
Posłuszny, M.A.; Chłopecka-Słomińska, M.; Cherer, S.S.; Cisse, S.; Benarbia, M.e.A.; Mendel, M. Verification of the Utility of the Standardized Melissa officinalis Extract to Control Gut Contractility in Sheep—Ex Vivo Study. Animals 2025, 15, 626. https://doi.org/10.3390/ani15050626
Posłuszny MA, Chłopecka-Słomińska M, Cherer SS, Cisse S, Benarbia MeA, Mendel M. Verification of the Utility of the Standardized Melissa officinalis Extract to Control Gut Contractility in Sheep—Ex Vivo Study. Animals. 2025; 15(5):626. https://doi.org/10.3390/ani15050626
Chicago/Turabian StylePosłuszny, Martyna A., Magdalena Chłopecka-Słomińska, Sorphon Suor Cherer, Sekhou Cisse, Mohammed el Amine Benarbia, and Marta Mendel. 2025. "Verification of the Utility of the Standardized Melissa officinalis Extract to Control Gut Contractility in Sheep—Ex Vivo Study" Animals 15, no. 5: 626. https://doi.org/10.3390/ani15050626
APA StylePosłuszny, M. A., Chłopecka-Słomińska, M., Cherer, S. S., Cisse, S., Benarbia, M. e. A., & Mendel, M. (2025). Verification of the Utility of the Standardized Melissa officinalis Extract to Control Gut Contractility in Sheep—Ex Vivo Study. Animals, 15(5), 626. https://doi.org/10.3390/ani15050626

