Integrated Convolution and Attention Enhancement-You Only Look Once: A Lightweight Model for False Estrus and Estrus Detection in Sows Using Small-Target Vulva Detection
Simple Summary
Abstract
1. Introduction
2. Materials and Methods
2.1. Experimental Data
2.1.1. Sow Estrus Data Collection
2.1.2. Data Classification
2.1.3. Data Set Construction
2.2. Sow Estrus Recognition Model ICAE-YOLO
2.2.1. DDTM Attention Mechanism Module
2.2.2. CAFM Attention Mechanism Module
2.2.3. DWR Attention Mechanism Module
2.2.4. Focaler-IoU
2.3. Experimental Platform
2.4. Performance Indicators
- Accuracy
- 2.
- Precision
- 3.
- Recall
- 4.
- F1-Score
- 5.
- GFLOPs
3. Results
3.1. Ablation Experiment
3.2. Results of the ICAE-YOLO Model
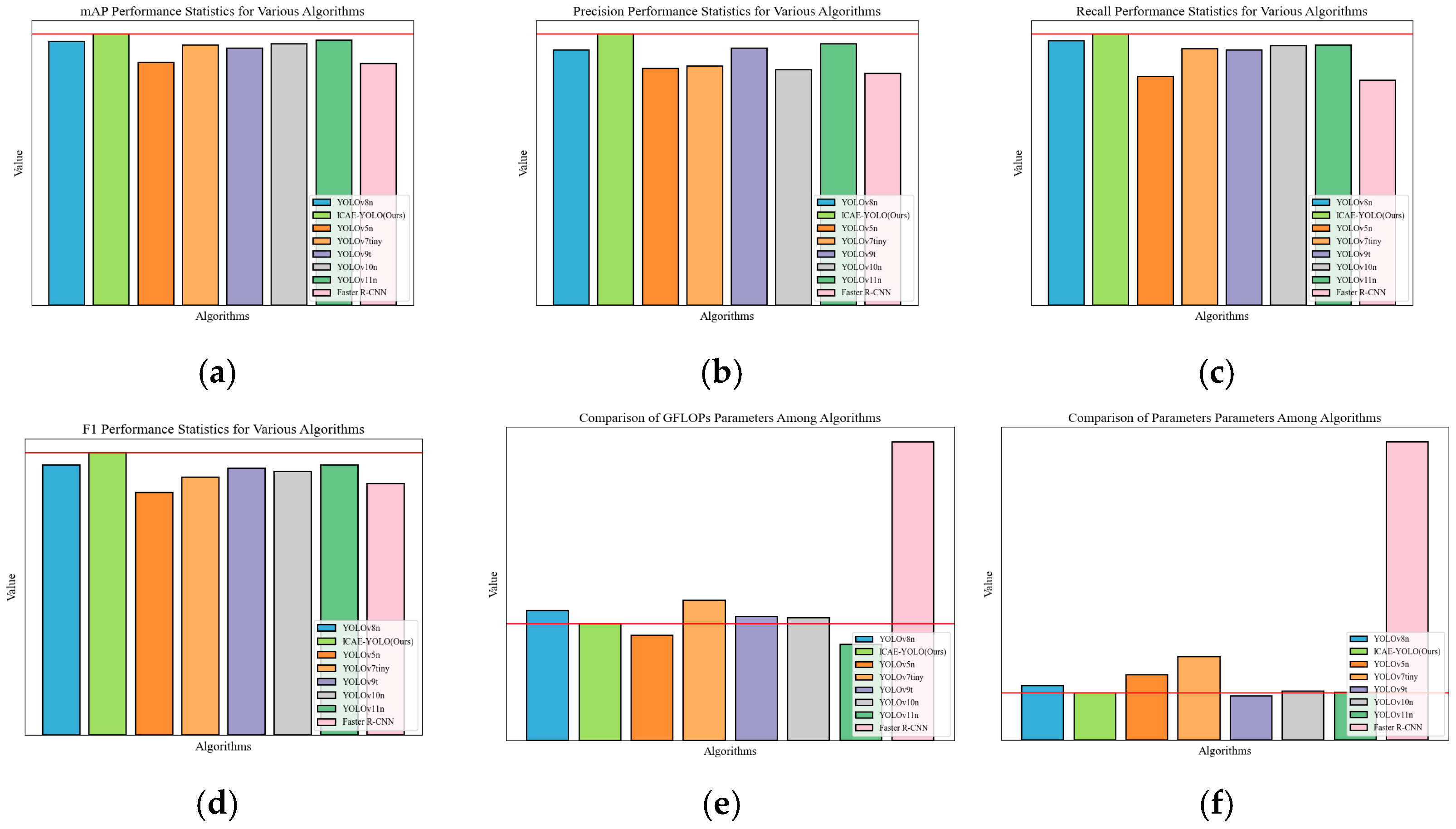
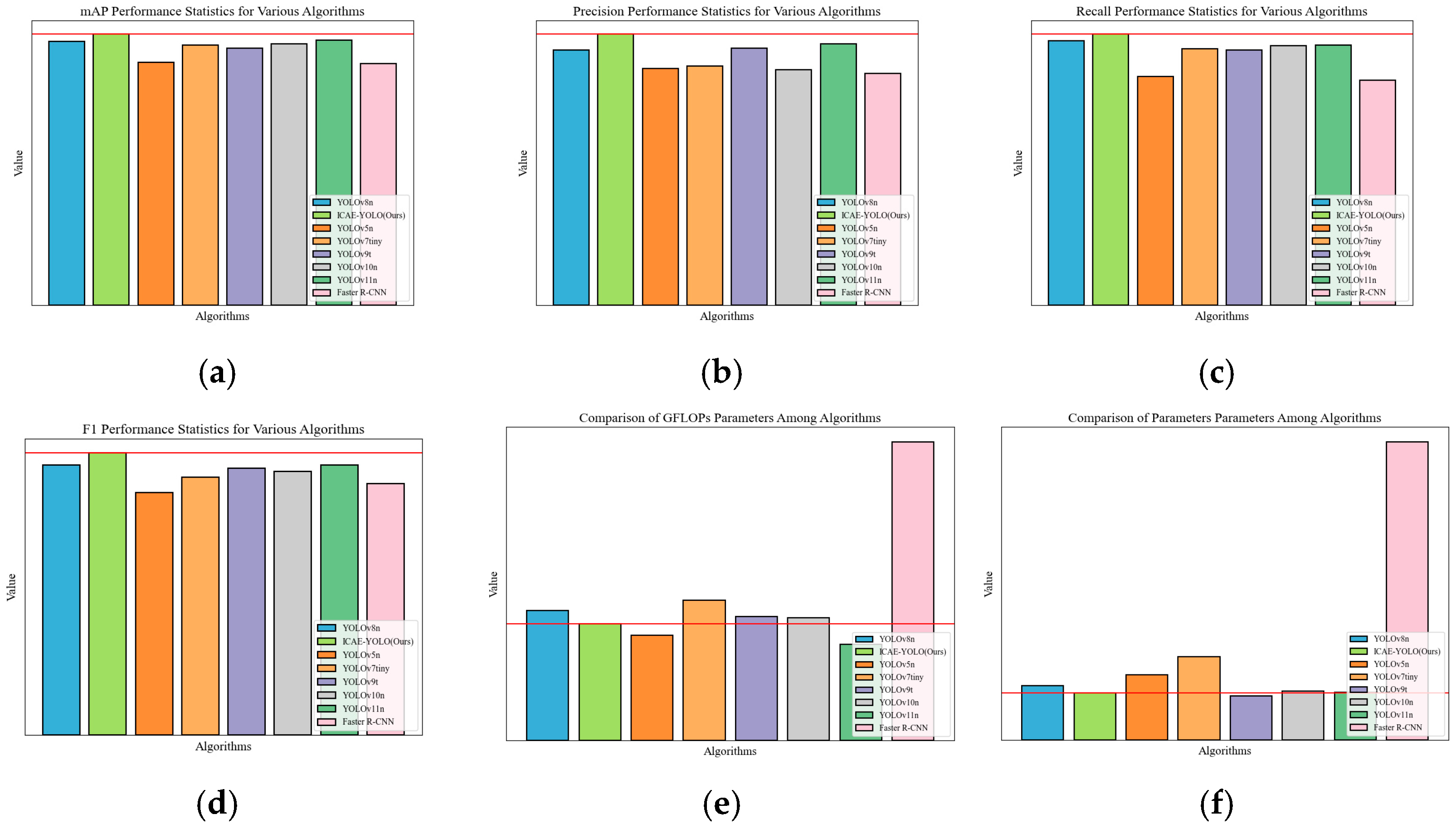
3.3. Comparison of Target Detection Models of the Same Type
3.4. Real-World Scenario Evaluation
3.4.1. Testing Methodology and Data Acquisition
3.4.2. Expert Collaboration and Model Validation
4. Discussion
4.1. Discussion of Current Automated Sow Estrus Detection Methods
4.2. Analysis of Model Limitations
4.3. Discussion of the Effect of Light on the Performance of ICAE-YOLO
4.4. Discussion on the Impact of Confidence Threshold on the Performance of ICAE-YOLO
5. Conclusions
Author Contributions
Funding
Institutional Review Board Statement
Informed Consent Statement
Data Availability Statement
Acknowledgments
Conflicts of Interest
References
- Steverink, D.; Soede, N.; Groenland, G.; Van Schie, F.; Noordhuizen, J.; Kemp, B. Duration of estrus in relation to reproduction results in pigs on commercial farms. J. Anim. Sci. 1999, 77, 801–809. [Google Scholar] [CrossRef] [PubMed]
- Kemp, B.; Soede, N. Relationship of weaning-to-estrus interval to timing of ovulation and fertilization in sows. J. Anim. Sci. 1996, 74, 944–949. [Google Scholar] [CrossRef] [PubMed]
- Sharifuzzaman, M.; Mun, H.-S.; Ampode, K.M.B.; Lagua, E.B.; Park, H.-R.; Kim, Y.-H.; Hasan, M.K.; Yang, C.-J. Technological Tools and Artificial Intelligence in Estrus Detection of Sows—A Comprehensive Review. Animals 2024, 14, 471. [Google Scholar] [CrossRef]
- Nath, K.; Purbey, L.; Luktuke, S. Behavioural pattern of oestrus in the sow. Indian Vet. J. 1983, 60, 654–659. [Google Scholar]
- Verhoeven, S.; Chantziaras, I.; Bernaerdt, E.; Loicq, M.; Verhoeven, L.; Maes, D. The evaluation of an artificial intelligence system for estrus detection in sows. Porc. Health Manag. 2023, 9, 9. [Google Scholar] [CrossRef] [PubMed]
- Soede, N.; Wetzels, C.; Zondag, W.; De Koning, M.; Kemp, B. Effects of time of insemination relative to ovulation, as determined by ultrasonography, on fertilization rate and accessory sperm count in sows. Reproduction 1995, 104, 99–106. [Google Scholar] [CrossRef]
- Nissen, A.; Soede, N.; Hyttel, P.; Schmidt, M.; D’hoore, L. The influence of time of insemination relative to time of ovulation on farrowing frequency and litter size in sows, as investigated by ultrasonography. Theriogenology 1997, 47, 1571–1582. [Google Scholar] [CrossRef] [PubMed]
- Zhao, F.; Wei, Q.-W.; Li, B.-J.; Weng, Q.-N.; Jiang, Y.; Ning, C.-B.; Liu, K.-Q.; Wu, W.-J.; Liu, H.-L. Impact of adrenocorticotropin hormone administration on the endocrinology, estrus onset, and ovarian function of weaned sows. Endocr. J. 2022, 69, 23–33. [Google Scholar] [CrossRef] [PubMed]
- Dänicke, S. Orientation values for critical concentrations of deoxynivalenol and zearalenone in diets for pigs, ruminants and gallinaceous poultry. Proc. Soc. Nutr. Physiol. 2001, 10, 171–174. [Google Scholar]
- Mostrom, M. Mycotoxin-Associated Estrogenism and Vulvovaginitis in Animals. Merck Veterinary Manual 2021. Available online: https://www.merckvetmanual.com/toxicology/mycotoxicoses/mycotoxin-associated-estrogenism-and-vulvovaginitis-in-animals (accessed on 15 February 2025).
- Chang, K.; Kurtz, H.; Mirocha, C. Effects of the mycotoxin zearalenone on swine reproduction. Am. J. Vet. Res. 1979, 40, 1260–1267. [Google Scholar]
- Koraichi, F.; Videmann, B.; Mazallon, M.; Benahmed, M.; Prouillac, C.; Lecoeur, S. Zearalenone exposure modulates the expression of ABC transporters and nuclear receptors in pregnant rats and fetal liver. Toxicol. Lett. 2012, 211, 246–256. [Google Scholar] [CrossRef]
- Etienne, M.; Dourmad, J.-Y. Effects of zearalenone or glucosinolates in the diet on reproduction in sows: A review. Livest. Prod. Sci. 1994, 40, 99–113. [Google Scholar] [CrossRef]
- Grümpel-Schlüter, A.; Kersten, S.; Kluess, J.; Lühken, S.; Saltzmann, J.; Schubbert, A.; Büngener-Schröder, S.; Dänicke, S. Effect of zearalenone in sugar beet products on zootechnical and reproductive performance and lesions of sows and piglets. Mycotoxin Res. 2024, 41, 47–61. [Google Scholar] [CrossRef]
- Zhang, Y.; Gao, R.; Liu, M.; Shi, B.; Shan, A.; Cheng, B. Use of modified halloysite nanotubes in the feed reduces the toxic effects of zearalenone on sow reproduction and piglet development. Theriogenology 2015, 83, 932–941. [Google Scholar] [CrossRef]
- Kraeling, R.R.; Webel, S.K. Current strategies for reproductive management of gilts and sows in North America. J. Anim. Sci. Biotechnol. 2015, 6, 1–14. [Google Scholar] [CrossRef]
- Reith, S.; Hoy, S. Behavioral signs of estrus and the potential of fully automated systems for detection of estrus in dairy cattle. Animal 2018, 12, 398–407. [Google Scholar] [CrossRef]
- Xu, Z.; Sullivan, R.; Zhou, J.; Bromfield, C.; Lim, T.T.; Safranski, T.J.; Yan, Z. Detecting sow vulva size change around estrus using machine vision technology. Smart Agric. Technol. 2023, 3, 100090. [Google Scholar] [CrossRef]
- Lee, J.H.; Lee, D.H.; Yun, W.; Oh, H.J.; An, J.S.; Kim, Y.G.; Kim, G.M.; Cho, J.H. Quantifiable and feasible estrus detection using the ultrasonic sensor array and digital infrared thermography. J. Anim. Sci. Technol. 2019, 61, 163. [Google Scholar] [CrossRef] [PubMed]
- Baxter, E.M.; Andersen, I.L.; Edwards, S.A. Sow welfare in the farrowing crate and alternatives. In Advances in Pig Welfare; Elsevier: Amsterdam, The Netherlands, 2018; pp. 27–72. [Google Scholar] [CrossRef]
- Yin, M.; Ma, R.; Luo, H.; Li, J.; Zhao, Q.; Zhang, M. Non-contact sensing technology enables precision livestock farming in smart farms. Comput. Electron. Agric. 2023, 212, 108171. [Google Scholar] [CrossRef]
- Pietrosemoli, S.; Tang, C. Animal welfare and production challenges associated with pasture pig systems: A review. Agriculture 2020, 10, 223. [Google Scholar] [CrossRef]
- Zheng, H.; Zhang, H.; Song, S.; Wang, Y.; Liu, T. Automatic detection of sow estrus using a lightweight real-time detector and thermal images. Int. J. Agric. Biol. Eng. 2023, 16, 194–207. [Google Scholar] [CrossRef]
- Lei, K.; Zong, C.; Du, X.; Teng, G.; Feng, F. Oestrus analysis of sows based on bionic boars and machine vision technology. Animals 2021, 11, 1485. [Google Scholar] [CrossRef]
- Wang, Y.; Li, S.; Zhang, H.; Liu, T. A lightweight CNN-based model for early warning in sow oestrus sound monitoring. Ecol. Inform. 2022, 72, 101863. [Google Scholar] [CrossRef]
- Wang, R.; Bai, Q.; Gao, R.; Li, Q.; Zhao, C.; Li, S.; Zhang, H. Oestrus detection in dairy cows by using atrous spatial pyramid and attention mechanism. Biosyst. Eng. 2022, 223, 259–276. [Google Scholar] [CrossRef]
- Xie, W.; Zhu, D.; Tong, X. A small target detection method based on visual attention. Comput. Eng. Appl. 2013, 49, 125–128. [Google Scholar]
- Simões, V.G.; Lyazrhi, F.; Picard-Hagen, N.; Gayrard, V.; Martineau, G.-P.; Waret-Szkuta, A. Variations in the vulvar temperature of sows during proestrus and estrus as determined by infrared thermography and its relation to ovulation. Theriogenology 2014, 82, 1080–1085. [Google Scholar] [CrossRef] [PubMed]
- Bakurov, I.; Buzzelli, M.; Schettini, R.; Castelli, M.; Vanneschi, L. Structural similarity index (SSIM) revisited: A data-driven approach. Expert Syst. Appl. 2022, 189, 116087. [Google Scholar] [CrossRef]
- Jocher, G.; Chaurasia, A.; Qiu, J. YOLO by Ultralytics; Ultralytics: Frederick, MD, USA, 2023. [Google Scholar]
- Chen, F.; Deng, M.; Gao, H.; Yang, X.; Zhang, D. NHD-YOLO: Improved YOLOv8 using optimized neck and head for product surface defect detection with data augmentation. IET Image Process. 2024, 18, 1915–1926. [Google Scholar] [CrossRef]
- Terven, J.; Córdova-Esparza, D.-M.; Romero-González, J.-A. A comprehensive review of yolo architectures in computer vision: From yolov1 to yolov8 and yolo-nas. Mach. Learn. Knowl. Extr. 2023, 5, 1680–1716. [Google Scholar] [CrossRef]
- Liu, Q.; Ye, H.; Wang, S.; Xu, Z. YOLOv8-CB: Dense Pedestrian Detection Algorithm Based on In-Vehicle Camera. Electronics 2024, 13, 236. [Google Scholar] [CrossRef]
- Zhou, Y. A YOLO-NL object detector for real-time detection. Expert Syst. Appl. 2024, 238, 122256. [Google Scholar] [CrossRef]
- Wang, X.; Song, J. ICIoU: Improved loss based on complete intersection over union for bounding box regression. IEEE Access 2021, 9, 105686–105695. [Google Scholar] [CrossRef]
- Lou, M.; Zhou, H.-Y.; Yang, S.; Yu, Y. TransXNet: Learning both global and local dynamics with a dual dynamic token mixer for visual recognition. arXiv 2023, arXiv:2310.19380. [Google Scholar]
- Hu, S.; Gao, F.; Zhou, X.; Dong, J.; Du, Q. Hybrid Convolutional and Attention Network for Hyperspectral Image Denoising. IEEE Geosci. Remote Sens. Lett. 2024, 21, 5504005. [Google Scholar] [CrossRef]
- Wei, H.; Liu, X.; Xu, S.; Dai, Z.; Dai, Y.; Xu, X. DWRSeg: Rethinking efficient acquisition of multi-scale contextual information for real-time semantic segmentation. arXiv 2022, arXiv:2212.01173. [Google Scholar]
- Zhang, H.; Zhang, S. Focaler-IoU: More Focused Intersection over Union Loss. arXiv 2024, arXiv:2401.10525. [Google Scholar]
- Krstinić, D.; Braović, M.; Šerić, L.; Božić-Štulić, D. Multi-label classifier performance evaluation with confusion matrix. Comput. Sci. Inf. Technol. 2020, 1, 1–14. [Google Scholar] [CrossRef]
- Wang, Z.; Hua, Z.; Wen, Y.; Zhang, S.; Xu, X.; Song, H. E-YOLO: Recognition of estrus cow based on improved YOLOv8n model. Expert Syst. Appl. 2024, 238, 122212. [Google Scholar] [CrossRef]
- Wang, J.; Si, Y.; Wang, J.; Li, X.; Zhao, K.; Liu, B.; Zhou, Y. Discrimination strategy using machine learning technique for oestrus detection in dairy cows by a dual-channel-based acoustic tag. Comput. Electron. Agric. 2023, 210, 107949. [Google Scholar] [CrossRef]
- Wang, Z.; Xu, X.; Hua, Z.; Shang, Y.; Duan, Y.; Song, H. Lightweight recognition for the oestrus behavior of dairy cows combining YOLO v5n and channel pruning. Trans. Chin. Soc. Agric. Eng. 2022, 38, 130–140. [Google Scholar]
- Devi, I.; Singh, P.; Lathwal, S.S.; Dudi, K.; Singh, Y.; Ruhil, A.P.; Kumar, A.; Dash, S.; Malhotra, R. Threshold values of acoustic features to assess estrous cycle phases in water buffaloes (Bubalus bubalis). Appl. Anim. Behav. Sci. 2019, 219, 104838. [Google Scholar] [CrossRef]
- Johnson, J.S.; Shade, K.A. Characterizing body temperature and activity changes at the onset of estrus in replacement gilts. Livest. Sci. 2017, 199, 22–24. [Google Scholar] [CrossRef]




















| Category | Raw Data Distribution | Total Number of Raw Data | Expansion Method (Multiplicative Expansion) | Number of Expanded Data | Total Number of Expanded Data Sets |
|---|---|---|---|---|---|
| Non-estrus | 437 | 2134 | a. Brightness enhancement; | 1311 | 6402 |
| Pre-estrus | 420 | b. Contrast enhancement; | 1260 | ||
| Mid-estrus | 428 | c. Random flipping; | 1284 | ||
| Late-estrus | 419 | d. Random rotation (with cropping). | 1257 | ||
| Pseudo-estrus | 430 | (Expanded 3 times) | 1290 |
| Main Hardware Information | Version |
|---|---|
| Processor | Intel Core i5-12450H |
| Graphics Card | NVIDIA GeForce 3060 Laptop |
| Memory | 16 G |
| Hard Drive | 512 G SSD |
| Main Software Information | Version |
|---|---|
| Anaconda | Anaconda3 2019.10 (64-bit) |
| Python | 3.8 |
| CUDA | 11.2 |
| Torch | 1.8.0 |
| TorchVision | 0.9.0 |
| Operating System | Windows11 (23H2) |
| PyCharm | 2021.3 |
| Python | 3.8 |
| Algorithms | mAP | F1-Score | Recall | GFLOPs |
|---|---|---|---|---|
| YOLOv8n (Baseline) | 0.908 | 0.88 | 0.857 | 8.9 |
| YOLOv8n + DDTM | 0.913 | 0.89 | 0.858 | 8.6 |
| YOLOv8n + DWR | 0.919 | 0.90 | 0.859 | 8.3 |
| YOLOv8n + CAFM | 0.910 | 0.88 | 0.858 | 9.1 |
| YOLOv8n + DDTM + CAFM | 0.916 | 0.90 | 0.861 | 8.5 |
| YOLOv8n + DWR + CAFM | 0.922 | 0.91 | 0.868 | 8.4 |
| YOLOv8n + DDTM + DWR + CAFM + CIoU | 0.931 | 0.92 | 0.873 | 8.2 |
| YOLOv8n + DDTM + DWR + CAFM + FocalerIoU (ICAE-YOLO) | 0.934 | 0.92 | 0.879 | 8.0 |
| Algorithms | mAP | F1 | Precision | Recall | GFLOPs | Parameters (M) |
|---|---|---|---|---|---|---|
| YOLOv8n | 0.908 | 0.88 | 0.904 | 0.857 | 8.9 | 5.76 |
| ICAE-YOLO (Ours) | 0.934 | 0.92 | 0.960 | 0.879 | 8.0 | 4.97 |
| YOLOv5n | 0.837 | 0.79 | 0.837 | 0.742 | 7.2 | 6.89 |
| YOLOv7tiny | 0.896 | 0.84 | 0.846 | 0.832 | 9.6 | 8.84 |
| YOLOv9t | 0.886 | 0.87 | 0.91 | 0.827 | 8.5 | 4.66 |
| YOLOv10n | 0.899 | 0.86 | 0.834 | 0.841 | 8.4 | 5.18 |
| YOLOv11n | 0.912 | 0.88 | 0.924 | 0.844 | 6.6 | 5.05 |
| Faster R-CNN | 0.832 | 0.82 | 0.821 | 0.730 | 26.5 | 31.60 |
| Algorithms | mAP Enhancement Rate | F1 Enhancement Rate | p-Value Improvement Rate | R-Value Improvement Rate | Reduction Rate of GFLOPs | Reduction Rate of Parameters |
|---|---|---|---|---|---|---|
| YOLOv8n | 2.863% | 4.545% | 6.195% | 2.567% | 10.112% | 13.715% |
| YOLOv5n | 11.589% | 16.456% | 14.695% | 18.464% | −11.111% | 27.866% |
| YOLOv7tiny | 4.241% | 9.524% | 13.475% | 5.649% | 16.667% | 43.778% |
| YOLOv9t | 5.418% | 5.747% | 5.495% | 6.288% | 5.882% | −6.652% |
| YOLOv10n | 3.893% | 6.977% | 15.108% | 4.518% | 4.762% | 4.054% |
| YOLOv11n | 2.412% | 4.545% | 3.896% | 4.147% | −21.212% | 1.584% |
| Faster R-CNN | 12.260% | 12.195% | 16.931% | 20.411% | 69.811% | 84.272% |
| Algorithms | APAllclass | APPseudoestrus | APNotoestrus | APPreoestrus | APMidoestrus | APLateoestrus |
|---|---|---|---|---|---|---|
| YOLOv8n | 0.908 | 0.909 | 0.821 | 0.976 | 0.964 | 0.870 |
| ICAE-YOLO (Ours) | 0.934 | 0.973 | 0.855 | 0.984 | 0.993 | 0.866 |
| YOLOv5n | 0.847 | 0.848 | 0.787 | 0.947 | 0.831 | 0.822 |
| YOLOv7tiny | 0.896 | 0.896 | 0.832 | 0.948 | 0.933 | 0.871 |
| YOLOv9t | 0.886 | 0.887 | 0.819 | 0.974 | 0.906 | 0.844 |
| YOLOv10n | 0.899 | 0.909 | 0.850 | 0.940 | 0.891 | 0.905 |
| YOLOv11n | 0.912 | 0.913 | 0.816 | 0.979 | 0.919 | 0.933 |
| Faster R-CNN | 0.832 | 0.832 | 0.821 | 0.813 | 0.772 | 0.922 |
| Collection Location | longitude and Latitude | Acquisition Time | Pig Breed | Acquisition Time Span and Associated Light Conditions | Number of Images |
|---|---|---|---|---|---|
| Duan Village, Sinnian Township, Fenxi County, Shanxi Province, China | Longitude 111.572259, latitude 36.613203 | 12 April 2024 | I. Yorkshire Hogs (Large White Hogs) × 4 (including 1 pseudo-estrus case) II. Long White Pig × 4 (including 1 pseudo-estrus case) | 7:30–11:00 and 15:30–18:00 Daylight and well lit 11:00–15:30 Daylight and too much light 18:00–23:00 Lights and not enough light | 309 |
| Pu county in Shanxi province, China | Longitude 111.095996, latitude 36.411902 | 2 May 2024 | Jinfen White Pig × 5 (including 1 pseudo-estrus case) | 7:00–17:30 Shade and normal light 17:30–23:00 Lights and not enough light | 277 |
| Model | mAP | Recall | F1-Score |
|---|---|---|---|
| Model Prediction | 0.921 | 0.913 | 0.908 |
| Expert Assessment | 0.959 | 0.940 | 0.939 |
| Inaccuracies | −0.038 | −0.027 | −0.031 |
| Error Rates | 3.9624% | 2.8723% | 3.3013% |
| Research Objectives | Model and Identification Basis | Recognition Effect | Performance | ||
|---|---|---|---|---|---|
| mAP | Parameters (M) | Accuracy | |||
| Pig Haibo Zheng et al. [23] | FD-YOLOV5s Judged by temperature changes in the vulva of sows | Not in estrus and estrus | 99.1% | 3.86 | - |
| Pig Kaidong Lei et al. [24] | DBN, SAE, SVM Detecting estrus in weaned sows by simulating the boar’s voice, odor and touch | Not in estrus and estrus | - | - | 96.12%; 98.25%; 90.00% |
| Pig Yuan Wang et al. [25] | MobileNetV3 Resnet Determination of estrus according to the voice of sows in heat | Not in estrus and estrus | 97.12% | 5.94 | - |
| Cow Zheng Wang et al. [41] | E-YOLO Judging by the cow’s crawling behavior | Not in estrus and estrus | 93.90% | 3.04 | - |
| Cow Jun Wang et al. [42] | LSTM Judging by cow’s voice characteristics | Not in estrus and estrus | - | - | - |
| Cow Wang Zheng et al. [43] | YOLO v5n Judging by cow’s estrus behavior | Not in estrus and estrus | 97.70% | 0.72 | - |
| Buffalo Indu Devi et al. [44] | Judged by barking threshold | Not in estrus and estrus | 95.00% | - | - |
| Lighting Conditions | Expert Assessment of Vulva Visibility in Sows | Number of Images | mAP | F1-Score |
|---|---|---|---|---|
| Normal Light | Excellent | 93 | 0.968 | 0.959 |
| Bright Light | Poor | 89 | 0.844 | 0.839 |
| Low Light | Average | 90 | 0.904 | 0.900 |
Disclaimer/Publisher’s Note: The statements, opinions and data contained in all publications are solely those of the individual author(s) and contributor(s) and not of MDPI and/or the editor(s). MDPI and/or the editor(s) disclaim responsibility for any injury to people or property resulting from any ideas, methods, instructions or products referred to in the content. |
© 2025 by the authors. Licensee MDPI, Basel, Switzerland. This article is an open access article distributed under the terms and conditions of the Creative Commons Attribution (CC BY) license (https://creativecommons.org/licenses/by/4.0/).
Share and Cite
Duan, Y.; Yang, Y.; Cao, Y.; Wang, X.; Cao, R.; Hu, G.; Liu, Z. Integrated Convolution and Attention Enhancement-You Only Look Once: A Lightweight Model for False Estrus and Estrus Detection in Sows Using Small-Target Vulva Detection. Animals 2025, 15, 580. https://doi.org/10.3390/ani15040580
Duan Y, Yang Y, Cao Y, Wang X, Cao R, Hu G, Liu Z. Integrated Convolution and Attention Enhancement-You Only Look Once: A Lightweight Model for False Estrus and Estrus Detection in Sows Using Small-Target Vulva Detection. Animals. 2025; 15(4):580. https://doi.org/10.3390/ani15040580
Chicago/Turabian StyleDuan, Yongpeng, Yazhi Yang, Yue Cao, Xuan Wang, Riliang Cao, Guangying Hu, and Zhenyu Liu. 2025. "Integrated Convolution and Attention Enhancement-You Only Look Once: A Lightweight Model for False Estrus and Estrus Detection in Sows Using Small-Target Vulva Detection" Animals 15, no. 4: 580. https://doi.org/10.3390/ani15040580
APA StyleDuan, Y., Yang, Y., Cao, Y., Wang, X., Cao, R., Hu, G., & Liu, Z. (2025). Integrated Convolution and Attention Enhancement-You Only Look Once: A Lightweight Model for False Estrus and Estrus Detection in Sows Using Small-Target Vulva Detection. Animals, 15(4), 580. https://doi.org/10.3390/ani15040580
