Assessment of Benthic Ecological Quality Status in the Subtidal Zone of Northern Jeju Island, South Korea, During Summer Based on Macrobenthos
Simple Summary
Abstract
1. Introduction
2. Materials and Methods
2.1. Study Area
2.2. Sample Collection and Processing
2.3. Ecological and Benthic Indices
2.4. Data Analysis
3. Results
3.1. Environmental Data on Jeju Island
3.2. Macrobenthic Community Characteristics on Jeju Island
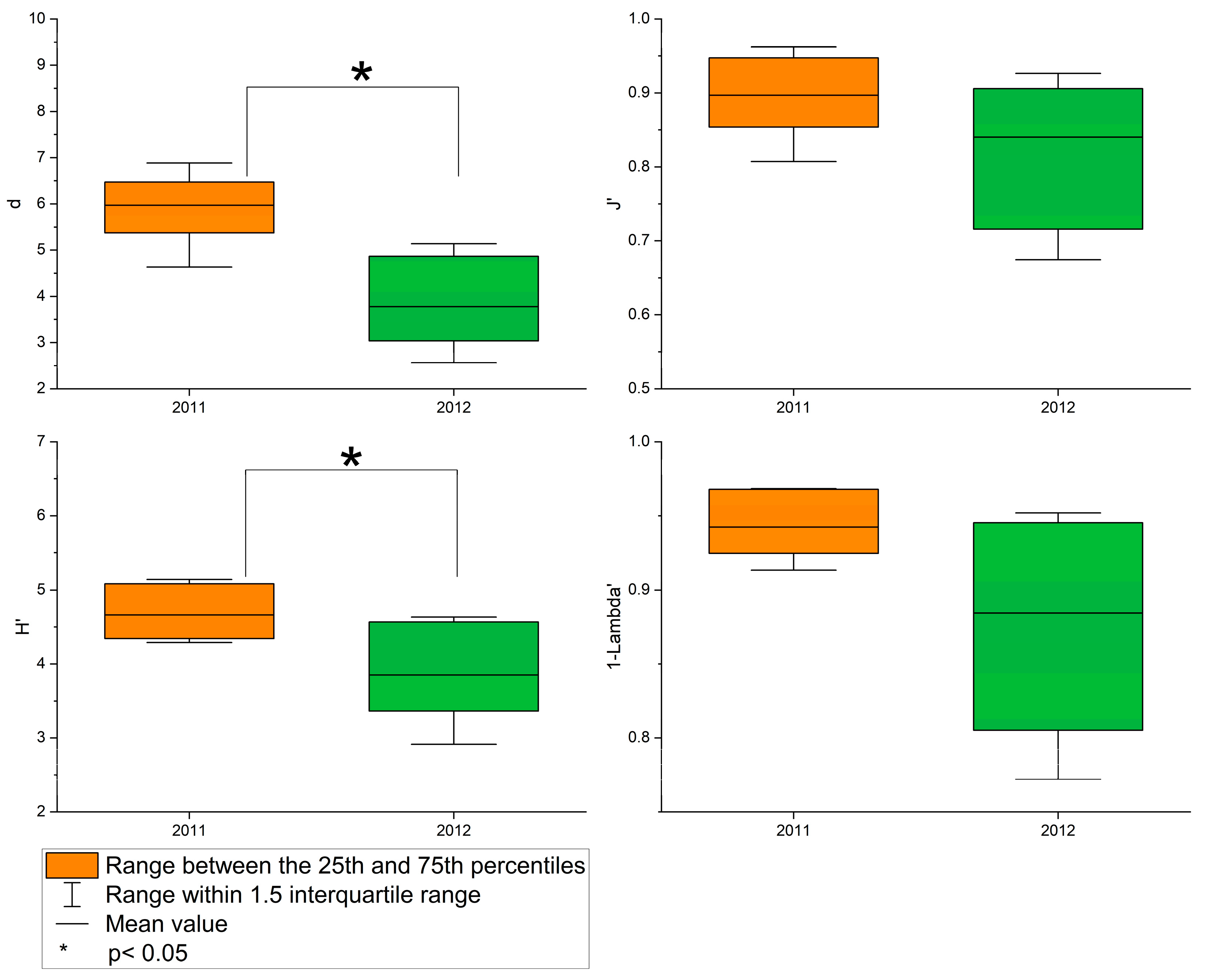
3.3. Ecological and Benthic Indices on Jeju Island
3.4. Results of Statistical Analysis
4. Discussion
4.1. Environmental Characteristics on Jeju Island
4.2. Macrobenthic Community on Jeju Island
4.3. Benthic Ecological Quality in Subtidal Zones of Northern Jeju Island
4.4. Recommendations for the Use of Benthic Indices on the South Korean Coast
5. Conclusions
Supplementary Materials
Author Contributions
Funding
Institutional Review Board Statement
Informed Consent Statement
Data Availability Statement
Conflicts of Interest
References
- Rios, E.B.; Sadler, J.; Graham, L.; Matthews, T.J. Species Distribution Models and Island Biogeography: Challenges and Prospects. Glob. Ecol. Conserv. 2024, 51, e02943. [Google Scholar] [CrossRef]
- Chi, Y.; Liu, D.; Xing, W.; Wang, J. Island Ecosystem Health in the Context of Human Activities with Different Types and Intensities. J. Clean. Prod. 2021, 281, 125334. [Google Scholar] [CrossRef]
- Matias, T.P.; Leonel, J.; Imperador, A.M. A Systemic Environmental Impact Assessment on Tourism in Island and Coastal Ecosystems. Environ. Dev. 2022, 44, 100765. [Google Scholar] [CrossRef]
- Chi, Y.; Zhang, Z.; Xie, Z.; Wang, J. How Human Activities Influence the Island Ecosystem through Damaging the Natural Ecosystem and Supporting the Social Ecosystem? J. Clean. Prod. 2020, 248, 119203. [Google Scholar] [CrossRef]
- Tian, S.; Liao, Y.; Tang, Y.; Liu, Q.; Zhang, R.; Shou, L.; Zeng, J. Assessment of Macrobenthic Communities of Rocky Intertidal Zone from Zhejiang Offshore Islands with AZTI Marine Biotic Index. Ecol. Indic. 2023, 154, 110923. [Google Scholar] [CrossRef]
- Borja, A.; Dauer, D.M. Assessing the Environmental Quality Status in Estuarine and Coastal Systems: Comparing Methodologies and Indices. Ecol. Indic. 2008, 8, 331–337. [Google Scholar] [CrossRef]
- Ndah, A.B.; Meunier, C.L.; Kirstein, I.V.; Göbel, J.; Rönn, L.; Boersma, M. A Systematic Study of Zooplankton-Based Indices of Marine Ecological Change and Water Quality: Application to the European Marine Strategy Framework Directive (MSFD). Ecol. Indic. 2022, 135, 108587. [Google Scholar] [CrossRef]
- Thibaut, T.; Blanfuné, A.; Boudouresque, C.F.; Personnic, S.; Ruitton, S.; Ballesteros, E.; Bellan-Santini, D.; Bianchi, C.N.; Bussotti, S.; Cebrian, E.; et al. An Ecosystem-Based Approach to Assess the Status of Mediterranean Algae-Dominated Shallow Rocky Reefs. Mar. Pollut. Bull. 2017, 117, 311–329. [Google Scholar] [CrossRef]
- Cardoso, I.; Fonseca, L.C.D.; Cabral, H.N. Ecological Quality Assessment of Small Estuaries from the Portuguese Coast Based on Benthic Macroinvertebrate Assemblages Indices. Mar. Pollut. Bull. 2012, 64, 1136–1142. [Google Scholar] [CrossRef]
- Borja, A.; Chust, G.; Muxika, I. Forever young: The successful story of a marine biotic index. Adv. Mar. Biol. 2019, 82, 93–127. [Google Scholar] [CrossRef]
- Kwon, H.K.; Kang, H.; Oh, Y.H.; Park, S.R.; Kim, G. Green Tide Development Associated with Submarine Groundwater Discharge in a Coastal Harbor, Jeju, Korea. Sci. Rep. 2017, 7, 6325. [Google Scholar] [CrossRef] [PubMed]
- Lee, S.-D.; Miller-Rushing, A.J. Degradation, Urbanization, and Restoration: A Review of the Challenges and Future of Conservation on the Korean Peninsula. Biol. Conserv. 2014, 176, 262–276. [Google Scholar] [CrossRef]
- Koh, E.-H.; Lee, S.H.; Kaown, D.; Moon, H.S.; Lee, E.; Lee, K.-K.; Kang, B.-R. Impacts of Land Use Change and Groundwater Management on Long-Term Nitrate-Nitrogen and Chloride Trends in Groundwater of Jeju Island, Korea. Environ. Earth. Sci. 2017, 76, 176. [Google Scholar] [CrossRef]
- Kim, J.; Kim, Y.; Park, S.E.; Kim, T.-H.; Kim, B.-G.; Kang, D.-J.; Rho, T. Impact of Aquaculture on Distribution of Dissolved Organic Matter in Coastal Jeju Island, Korea, Based on Absorption and Fluorescence Spectroscopy. Environ. Sci. Pollut. Res. 2022, 29, 553–563. [Google Scholar] [CrossRef]
- Oh, Y.H.; Kim, Y.; Park, S.R.; Lee, T.; Son, Y.B.; Park, S.-E.; Lee, W.C.; Im, D.-H.; Kim, T.-H. Spatiotemporal Change in Coastal Waters Caused by Land-Based Fish Farm Wastewater-Borne Nutrients: Results from Jeju Island, Korea. Mar. Pollut. Bull. 2021, 170, 112632. [Google Scholar] [CrossRef]
- Kim, S.L.; Lee, H.G.; Park, Y.; Yu, O.H. Relationship between Submerged Marine Debris and Macrobenthic Fauna in Jeju Island, South Korea. J. Mar. Sci. Eng. 2023, 11, 1427. [Google Scholar] [CrossRef]
- Ribas-Deulofeu, L.; Loubeyres, M.; Denis, V.; De Palmas, S.; Hwang, S.-J.; Woo, S.; Song, J.-I.; Chen, C.A. Jeju Island: A Sentinel for Tracking Ocean Warming Impacts on High-Latitude Benthic Communities. Coral Reefs 2023, 42, 1097–1112. [Google Scholar] [CrossRef]
- Kim, K.-B.; Jung, Y.-J.; Oh, J.-K.; Kang, H.; Kim, D.-Y.; Lee, D.-H.; Lim, S.-R.; Son, D.-S.; Ma, C.-W. Distribution Patterns of Polychaete Assemblage and Benthic Quality Status Estimated by AMBI in Jindo-Jejudo Subtidal Areas. J. Environ. Impact Assess. 2021, 30, 203–214. [Google Scholar] [CrossRef]
- Lee, S.Y.; Kim, G.; Soh, H.Y.; Shin, H.C. Community Structure of Macrobenthic Polychaetes and Its Health Status (Assessed by Two Biotic Indices) on the Adjacent Continental Shelf of Jeju Island, in Summer of 2020. Ocean. Polar. Res. 2022, 44, 113–126. [Google Scholar] [CrossRef]
- Pruden, M.J.; Dietl, G.P.; Handley, J.C.; Smith, J.A. Using Molluscs to Assess Ecological Quality Status of Soft-Bottom Habitats along the Atlantic Coastline of the United States. Ecol. Indic. 2021, 129, 107910. [Google Scholar] [CrossRef]
- Borja, A.; Franco, J.; Pérez, V. A Marine Biotic Index to Establish the Ecological Quality of Soft-Bottom Benthos Within European Estuarine and Coastal Environments. Mar. Pollut. Bull. 2000, 40, 1100–1114. [Google Scholar] [CrossRef]
- Simboura, N.; Zenetos, A. Benthic Indicators to Use in Ecological Quality Classification of Mediterranean Soft Bottom Marine Ecosystems, Including a New Biotic Index. Medit. Mar. Sci. 2002, 3, 77. [Google Scholar] [CrossRef]
- Dauvin, J.C.; Andrade, H.; de-la-Ossa-Carretero, J.A.; Del-Pilar-Ruso, Y.; Riera, R. Polychaete/Amphipod Ratios: An Approach to Validating Simple Benthic Indicators. Ecol. Indic. 2016, 63, 89–99. [Google Scholar] [CrossRef]
- Seo, J.-Y.; Lim, H.-S.; Choi, J.-W. Threshold Value of Benthic Pollution Index (BPI) for a Muddy Healthy Benthic Faunal Community and Its Application to Jinhae Bay in the Southern Coast of Korea. Ocean Sci. J. 2014, 49, 313–328. [Google Scholar] [CrossRef]
- Muxika, I.; Borja, Á.; Bald, J. Using Historical Data, Expert Judgement and Multivariate Analysis in Assessing Reference Conditions and Benthic Ecological Status, According to the European Water Framework Directive. Mar. Pollut. Bull. 2007, 55, 16–29. [Google Scholar] [CrossRef]
- Borja, Á.; Marín, S.L.; Muxika, I.; Pino, L.; Rodríguez, J.G. Is There a Possibility of Ranking Benthic Quality Assessment Indices to Select the Most Responsive to Different Human Pressures? Mar. Pollut. Bull. 2015, 97, 85–94. [Google Scholar] [CrossRef]
- Lee, S.; Kim, D.; Lee, T.-Y. Estimation of Contamination Level of Sediments Obtained from the Outport of Jeju Harbor. J. Korean Soc. Environ. Eng. 2015, 37, 191–196. [Google Scholar] [CrossRef]
- Jo, W.-C. Seasonal Variations in the Community Structure of Macrobenthic Invertebrates in the South and North Coastal Water of Jeju Island, Korea. Master’s Thesis, Kunsan National University, Kunsan, Republic of Korea, 2019. [Google Scholar]
- Ko, J.-C.; Kim, J.-T.; Kim, S.-H.; Rho, H.-K. Fluctuation Characteristic of Temperature and Salinity in Coastal Waters around Jeju Island. Korean J. Fish. Aquat. Sci. 2003, 36, 306–316. [Google Scholar] [CrossRef]
- Watson, J.; Trueman, M.; Tufet, M.; Henderson, S.; Atkinson, R. Mapping Terrestrial Anthropogenic Degradation on the Inhabited Islands of the Galapagos Archipelago. Oryx 2010, 44, 79. [Google Scholar] [CrossRef]
- Liang, J.; Huang, H.-R.; Shu, M.-Y.; Ma, C.-W. Assessing the Impact of Land-Based Anthropogenic Activities on the Macrobenthic Community in the Intertidal Zones of Anmyeon Island, South Korea. Land 2025, 14, 62. [Google Scholar] [CrossRef]
- National Institute of Fisheries Science. National Institute of Fisheries Science Notification of Marine Environmental Process Test Standards 2010; National Institute of Fisheries Science: Busan, Republic of Korea, 2010. [Google Scholar]
- Clarke, K.; Gorley, R.; Somerfield, P.; Warwick, R. Changes in Marine Communities: An Approach to Statistical Analysis and Interpretation, 3rd ed.; Plymouth Marine Laboratory; PRIMER-E Ltd.: Plymouth, UK, 2014. [Google Scholar]
- Liang, J.; Ma, C.-W.; Kim, K.-B. Comparing the Environmental Impacts of Pollution from Two Types of Industrial Zones on the Coast. Front. Mar. Sci. 2024, 11, 1433536. [Google Scholar] [CrossRef]
- Sigovini, M.; Keppel, E.; Tagliapietra, D. M-AMBI Revisited: Looking inside a Widely-Used Benthic Index. Hydrobiologia 2013, 717, 41–50. [Google Scholar] [CrossRef]
- Liang, J.; Ma, C.-W.; Kim, K.-B. Ecological Risk Assessment of Heavy Metals in Surface Sediments and Their Impact on Macrobenthos in Asan Bay, South Korea. Front. Mar. Sci. 2024, 11, 1450396. [Google Scholar] [CrossRef]
- Liang, J.; Ma, C.-W.; Kim, K.-B.; Son, D.-S. Can the Ecological Quality of Several Bays in South Korea Be Accurately Assessed Using Multiple Benthic Biotic Indices? J. Mar. Sci. Eng. 2024, 12, 1179. [Google Scholar] [CrossRef]
- Tan, W.; Zhang, J.; Wu, J.; Sheng, Y.; Liu, X.; Lei, M.; Zhang, Z.; Lin, H.; Sun, G.; Guo, P. Correlation Analysis of Water Temperature and Dissolved Oxygen Based on Water Quality Monitoring Data. In Advances in Artificial Intelligence and Security; Sun, X., Zhang, X., Xia, Z., Bertino, E., Eds.; Communications in Computer and Information Science; Springer International Publishing: Cham, Switzerland, 2022; Volume 1587, pp. 340–352. ISBN 978-3-031-06760-0. [Google Scholar]
- Ko, J.-C.; Koo, J.-H.; Yang, M.-H. Characteristics of Ocean Environmental Factors and Community Structure of Macrobenthos around Munseom, Jeju Island, Korea. Korean J. Malacol. 2008, 24, 215–228. [Google Scholar]
- Perrois, G.; Jöst, A.B.; Lee, K.-T.; Pons, L.M.T.; Yang, H.-S.; Son, Y.B.; Park, H.-S.; Kang, D.-H.; Kim, T. Environmental Impact on Marginal Coastal Benthic Communities within the Jeju Island, South Korea Temperate Transition Zone. Front. Mar. Sci. 2024, 11, 1345518. [Google Scholar] [CrossRef]
- Kwon, H.K.; Seo, J.; Cho, H.-M.; Kim, G. Tracing Different Freshwater Sources for Nutrients and Dissolved Organic Matter in Coastal Waters off Jeju Island Using Radon. Estuaries. Coasts. 2020, 43, 487–495. [Google Scholar] [CrossRef]
- Pitacco, V.; Mistri, M.; Munari, C. Long-Term Variability of Macrobenthic Community in a Shallow Coastal Lagoon (Valli Di Comacchio, Northern Adriatic): Is Community Resistant to Climate Changes? Mar. Environ. Res. 2018, 137, 73–87. [Google Scholar] [CrossRef]
- Dauvin, J.-C. Twenty Years of Application of Polychaete/Amphipod Ratios to Assess Diverse Human Pressures in Estuarine and Coastal Marine Environments: A Review. Ecol. Indic. 2018, 95, 427–435. [Google Scholar] [CrossRef]
- Spagnolo, A.; Punzo, E.; Santelli, A.; Scarcella, G.; Strafella, P.; Grati, F.; Fabi, G. Offshore Platforms: Comparison of Five Benthic Indicators for Assessing the Macrozoobenthic Stress Levels. Mar. Pollut. Bull. 2014, 82, 55–65. [Google Scholar] [CrossRef]
- Liang, J.; Ma, C.-W.; Kim, S.-K.; Park, S.-H. Assessing the Benthic Ecological Quality in the Intertidal Zone of Cheonsu Bay, Korea, Using Multiple Biotic Indices. Water 2024, 16, 272. [Google Scholar] [CrossRef]
- Wu, H.-Y.; Fu, S.-F.; Hu, W.-J.; Chen, F.-G.; Cai, X.-Q.; Chen, Q.-H.; Wu, Y.-B. Response of Different Benthic Biotic Indices to Eutrophication and Sediment Heavy Metal Pollution, in Fujian Coastal Water, East China Sea. Chemosphere 2022, 307, 135653. [Google Scholar] [CrossRef]
- Gillett, D.J.; Weisberg, S.B.; Grayson, T.; Hamilton, A.; Hansen, V.; Leppo, E.W.; Pelletier, M.C.; Borja, A.; Cadien, D.; Dauer, D.; et al. Effect of Ecological Group Classification Schemes on Performance of the AMBI Benthic Index in US Coastal Waters. Ecol. Indic. 2015, 50, 99–107. [Google Scholar] [CrossRef]
- Simboura, N.; Argyrou, M. An Insight into the Performance of Benthic Classification Indices Tested in Eastern Mediterranean Coastal Waters. Mar. Pollut. Bull. 2010, 60, 701–709. [Google Scholar] [CrossRef]
- de-la-Ossa-Carretero, J.A.; Simboura, N.; Del-Pilar-Ruso, Y.; Pancucci-Papadopoulou, M.A.; Giménez-Casalduero, F.; Sánchez-Lizaso, J.L. A Methodology for Applying Taxonomic Sufficiency and Benthic Biotic Indices in Two Mediterranean Areas. Ecol. Indic. 2012, 23, 232–241. [Google Scholar] [CrossRef]
- Liang, J.; Ma, C.-W.; Son, D.-S. Using the Heavy Metal and Biotic Indices to Assess Ecological Quality in the Central Area of the East Sea, South Korea. Water 2024, 16, 1230. [Google Scholar] [CrossRef]
- Ryu, J.; Hong, S.; Chang, W.K.; Khim, J.S. Performance Evaluation and Validation of Ecological Indices toward Site-Specific Application for Varying Benthic Conditions in Korean Coasts. Sci. Total Environ. 2016, 541, 1161–1171. [Google Scholar] [CrossRef]
- Liang, J.; Huang, H.-R.; Ma, C.-W.; Son, D.-S.; Kim, S.-K. Using the Heavy Metal Indices and Benthic Indices to Assess the Ecological Quality in the Tidal Flats of Garolim Bay, South Korea. Water 2024, 16, 736. [Google Scholar] [CrossRef]
- Rehitha, T.V.; Vineetha, G.; Madhu, N.V. Ecological Habitat Quality Assessment of a Tropical Estuary Using Macrobenthic Functional Characteristics and Biotic Indices. Environ. Sci. Pollut. Res. 2022, 29, 47629–47646. [Google Scholar] [CrossRef]
- Liu, L.; Li, B.; Lin, K.; Cai, W.; Wang, Q. Assessing Benthic Ecological Status in Coastal Area near Changjiang River Estuary Using AMBI and M-AMBI. Chin. J. Ocean. Limnol. 2014, 32, 290–305. [Google Scholar] [CrossRef]
- Paganelli, D.; Forni, G.; Marchini, A.; Mazziotti, C.; Occhipinti-Ambrogi, A. Critical Appraisal on the Identification of Reference Conditions for the Evaluation of Ecological Quality Status along the Emilia-Romagna Coast (Italy) Using M-AMBI. Mar. Pollut. Bull. 2011, 62, 1725–1735. [Google Scholar] [CrossRef] [PubMed]
- Paul, J.; Nestlerode, J.A.; Jarvis, B.M. Evaluating the Effectiveness of M-AMBI with Other Biotic Indexes in a Temperate Estuary. Mar. Pollut. Bull. 2023, 193, 115194. [Google Scholar] [CrossRef] [PubMed]
- Liang, J.; Shu, M.-Y.; Huang, H.-R.; Ma, C.-W.; Kim, S.-K. Using Benthic Indices to Assess the Ecological Quality of Sandy Beaches and the Impact of Urbanisation on Sandy Beach Ecosystems. J. Mar. Sci. Eng. 2024, 12, 487. [Google Scholar] [CrossRef]
- Van Hoey, G.; Permuy, D.C.; Vandendriessche, S.; Vincx, M.; Hostens, K. An Ecological Quality Status Assessment Procedure for Soft-Sediment Benthic Habitats: Weighing Alternative Approaches. Ecol. Indic. 2013, 25, 266–278. [Google Scholar] [CrossRef]
- Afli, A.; Ayari, R.; Zaabi, S. Ecological Quality of Some Tunisian Coast and Lagoon Locations, by Using Benthic Community Parameters and Biotic Indices. Estuar. Cont. Shelf. Res. 2008, 80, 269–280. [Google Scholar] [CrossRef]
- Dong, J.-Y.; Wang, X.; Bidegain, G.; Sun, X.; Bian, X.; Zhang, X. Assessment of the Benthic Ecological Quality Status (EcoQs) of Laizhou Bay (China) with an Integrated AMBI, M−AMBI, BENTIX, BO2A and Feeding Evenness Index. Ecol. Indic. 2023, 153, 110456. [Google Scholar] [CrossRef]








| Indices | Algorithm | Note |
|---|---|---|
| Species richness index (d) | S: the total number of species; N: the number of individual organisms. | |
| Pielou’s evenness index (J′) | H′: Shannon–Wiener diversity index; S: the total number of species. | |
| Simpson index (1-Lambda′) | Ni: number of individuals of the ith species; N: the number of individual organisms. | |
| Shannon–Wiener diversity index (H′) | Ni: number of individuals belonging to the ith species; N: total number of individuals. | |
| Normalized calculation | X: original value; μ: mean value; σ: standard deviation of the dataset. | |
| Bray–Curtis dissimilarity | S: the total number of species in the sample; : the absolute difference in the abundance of species i between sample j and sample k; : the sum of the abundances of species i in samples j and k. |
| Indices | Algorithm | Index Values | EcoQs | Reference | Note |
|---|---|---|---|---|---|
| AMBI | 0.0–1.2 | High | [21] | EGI = disturbance-sensitive species; EGII = disturbance-indifferent species; EGIII = disturbance-tolerant species; EGIV = second-order opportunistic species; EGV = first-order opportunistic species. | |
| 1.2–3.3 | Good | ||||
| 3.3–5.0 | Moderate | ||||
| 5.0–6.0 | Poor | ||||
| >6.0 | Bad | ||||
| BENTIX | 6–4.5 | High | [22] | GI = EGI + EGII; GII = EGIII + EGIV; GIII = EGV. | |
| 4.5–3.5 | Good | ||||
| 3.5–2.5 | Moderate | ||||
| 2.5–2.0 | Poor | ||||
| 0.0 | Bad | ||||
| BPA | 0–0.135 | High | [23] | fP = the frequency of polychaetes; fA = the frequency of amphipods. | |
| 0.135–0.211 | Good | ||||
| 0.211–0.26 | Moderate | ||||
| 0.26–0.3 | Poor | ||||
| >0.3 | Bad | ||||
| BPI | 60–100 | High | [24] | N1 = filter feeders or large carnivores; N2 = surface deposit feeders or small carnivores; N3 = subterranean deposit feeders; N4 = opportunistic species; a = 0; b = 1; c = 2; d = 3. | |
| 40–60 | Good | ||||
| 30–40 | Moderate | ||||
| 20–30 | Poor | ||||
| 0–20 | Bad | ||||
| M-AMBI | >0.77 | High | [35] | H′ = Shannon diversity index; S = number of species; a, b, and c = the coefficients derived from the factor analysis. | |
| 0.53–0.77 | Good | ||||
| 0.38–0.53 | Moderate | ||||
| 0.20–0.38 | Poor | ||||
| ≤0.2 | Bad |
| Environmental Data | Range (Min–Max) | Mean ± CV |
|---|---|---|
| AVS, mg/g | 0–0.004 | 0.002 ± 0.592 |
| COD, g/Kg | 3.07–7.19 | 4.95 ± 0.25 |
| DO, mg/L | 6.87–7.34 | 7.13 ± 0.02 |
| IL, % | 3.34–5.10 | 4.24 ± 0.15 |
| Mean grain size, ø | 0.90–4.20 | 2.16 ± 0.45 |
| pH | 7.86–8.23 | 8.11 ± 0.02 |
| Salinity, PSU | 32.41–33.56 | 33.12 ± 0.01 |
| Water temperature, °C | 20.3–23.5 | 21.91 ± 0.05 |
| Year | Benthic Index | Range (Min–Max) | Mean ± CV | EcoQs (Mean) |
|---|---|---|---|---|
| 2011 | AMBI | 0.89–1.60 | 1.32 ± 0.18 | Good |
| BENTIX | 4.58–5.47 | 5.01 ± 0.07 | High | |
| BPA | 0.17–0.20 | 0.18 ± 0.07 | Good | |
| BPI | 68.00–82.00 | 73.71 ± 0.07 | High | |
| M-AMBI | 0.74–0.86 | 0.81 ± 0.05 | High | |
| 2012 | AMBI | 1.04–2.01 | 1.59 ± 0.23 | Good |
| BENTIX | 4.12–5.10 | 4.69 ± 0.08 | Good | |
| BPA | 0.09–0.24 | 0.19 ± 0.32 | Good | |
| BPI | 65.00–85.00 | 74.00 ± 0.10 | High | |
| M-AMBI | 0.58–0.76 | 0.67 ± 0.10 | Good |
Disclaimer/Publisher’s Note: The statements, opinions and data contained in all publications are solely those of the individual author(s) and contributor(s) and not of MDPI and/or the editor(s). MDPI and/or the editor(s) disclaim responsibility for any injury to people or property resulting from any ideas, methods, instructions or products referred to in the content. |
© 2025 by the authors. Licensee MDPI, Basel, Switzerland. This article is an open access article distributed under the terms and conditions of the Creative Commons Attribution (CC BY) license (https://creativecommons.org/licenses/by/4.0/).
Share and Cite
Liang, J.; Ma, C.-W.; Kim, K.-B. Assessment of Benthic Ecological Quality Status in the Subtidal Zone of Northern Jeju Island, South Korea, During Summer Based on Macrobenthos. Animals 2025, 15, 539. https://doi.org/10.3390/ani15040539
Liang J, Ma C-W, Kim K-B. Assessment of Benthic Ecological Quality Status in the Subtidal Zone of Northern Jeju Island, South Korea, During Summer Based on Macrobenthos. Animals. 2025; 15(4):539. https://doi.org/10.3390/ani15040539
Chicago/Turabian StyleLiang, Jian, Chae-Woo Ma, and Kwang-Bae Kim. 2025. "Assessment of Benthic Ecological Quality Status in the Subtidal Zone of Northern Jeju Island, South Korea, During Summer Based on Macrobenthos" Animals 15, no. 4: 539. https://doi.org/10.3390/ani15040539
APA StyleLiang, J., Ma, C.-W., & Kim, K.-B. (2025). Assessment of Benthic Ecological Quality Status in the Subtidal Zone of Northern Jeju Island, South Korea, During Summer Based on Macrobenthos. Animals, 15(4), 539. https://doi.org/10.3390/ani15040539

