Reference Intervals for Hematological Inflammatory Ratios in Healthy Dogs
Simple Summary
Abstract
1. Introduction
2. Materials and Methods
3. Results
4. Discussion
5. Conclusions
Supplementary Materials
Author Contributions
Funding
Institutional Review Board Statement
Informed Consent Statement
Data Availability Statement
Acknowledgments
Conflicts of Interest
Abbreviations
| NRL | Neutrophil-to-lymphocyte ratio |
| MRL | Monocyte-to-lymphocyte ratio |
| PLR | Platelet-to-lymphocyte ratio |
| SII | Systemic inflammatory index |
References
- Tharangani, R.W.P.; Skerrett-Byrne, D.A.; Gibb, Z.; Nixon, B.; Swegen, A. The Future of Biomarkers in Veterinary Medicine: Emerging Approaches and Associated Challenges. Animals 2022, 12, 2194. [Google Scholar] [CrossRef]
- Myers, M.J.; Smith, E.R.; Turfle, P.G. Biomarkers in Veterinary Medicine. Annu. Rev. Anim. Biosci. 2017, 5, 65–87. [Google Scholar] [CrossRef]
- Hodgson, N.; Llewellyn, E.A.; Schaeffer, D.J. Utility and Prognostic Significance of Neutrophil-to-Lymphocyte Ratio in Dogs with Septic Peritonitis. J. Am. Anim. Hosp. Assoc. 2018, 54, 351–359. [Google Scholar] [CrossRef]
- Pierini, A.; Gori, E.; Lippi, I.; Ceccherini, G.; Lubas, G.; Marchetti, V. Neutrophil-to-Lymphocyte Ratio, Nucleated Red Blood Cells and Erythrocyte Abnormalities in Canine Systemic Inflammatory Response Syndrome. Res. Vet. Sci. 2019, 126, 150–154. [Google Scholar] [CrossRef]
- González-Domínguez, A.; Cristobal-Verdejo, J.I.; López-Espinar, C.; Fontela-González, S.; Vázquez, S.; Justo-Domínguez, J.; González-Caramazana, J.; Bragado-Cuesta, M.; Álvarez-Punzano, A.; Herrería-Bustillo, V.J. Retrospective Evaluation of Hematological Ratios in Canine Parvovirosis: 401 Cases. J. Vet. Intern. Med. 2023, 38, 161–166. [Google Scholar] [CrossRef]
- Neumann, S. Neutrophil-to-lymphocyte and Platelet-to-lymphocyte Ratios in Dogs and Cats with Acute Pancreatitis. Vet. Clin. Pathol. 2021, 50, 45–51. [Google Scholar] [CrossRef] [PubMed]
- Dinler Ay, C. Neutrophil to Lymphocyte Ratio as a Prognostic Biomarker in Puppies with Acute Diarrhea. J. Vet. Emerg. Crit. Care 2022, 32, 83–89. [Google Scholar] [CrossRef] [PubMed]
- Johnson, M.M.; Gicking, J.C.; Keys, D.A. Evaluation of Red Blood Cell Distribution Width, Neutrophil-to-lymphocyte Ratio, and Other Hematologic Parameters in Canine Acute Pancreatitis. J. Vet. Emerg. Crit. Care 2023, 33, 587–597. [Google Scholar] [CrossRef] [PubMed]
- Skor, O.; Fuchs-Baumgartinger, A.; Tichy, A.; Kleiter, M.; Schwendenwein, I. Pretreatment Leukocyte Ratios and Concentrations as Predictors of Outcome in Dogs with Cutaneous Mast Cell Tumours. Vet. Comp. Oncol. 2017, 15, 1333–1345. [Google Scholar] [CrossRef]
- Sottnik, J.L.; Rao, S.; Lafferty, M.H.; Thamm, D.H.; Morley, P.S.; Withrow, S.J.; Dow, S.W. Association of Blood Monocyte and Lymphocyte Count and Disease-Free Interval in Dogs with Osteosarcoma. J. Vet. Intern. Med. 2010, 24, 1439–1444. [Google Scholar] [CrossRef]
- Marconato, L.; Martini, V.; Stefanello, D.; Moretti, P.; Ferrari, R.; Comazzi, S.; Laganga, P.; Riondato, F.; Aresu, L. Peripheral Blood Lymphocyte/Monocyte Ratio as a Useful Prognostic Factor in Dogs with Diffuse Large B-Cell Lymphoma Receiving Chemoimmunotherapy. Vet. J. 2015, 206, 226–230. [Google Scholar] [CrossRef]
- Marcos, R.; Oliveira, J.; Jorge, R.; Marcos, C.; Rosales, C. Neutrophil to Lymphocyte Ratio and Principal Component Analysis Offer Prognostic Advantage for Dogs with Mammary Tumors. Front. Vet. Sci. 2023, 10, 1187271. [Google Scholar] [CrossRef]
- Cristóbal, J.I.; Duque, F.J.; Usón-Casaús, J.; Barrera, R.; López, E.; Pérez-Merino, E.M. Complete Blood Count-Derived Inflammatory Markers Changes in Dogs with Chronic Inflammatory Enteropathy Treated with Adipose-Derived Mesenchymal Stem Cells. Animals 2022, 12, 2798. [Google Scholar] [CrossRef]
- Filipe, S.; Dall’ara, P.; Razzuoli, E.; Ciliberti, M.G.; Becher, A.; Acke, E.; Serrano, G.; Kiefer, I.; Alef, M.; Von Bomhard, W.; et al. Evaluation of the Blood Neutrophil-to-Lymphocyte Ratio (NLR) as a Diagnostic and Prognostic Biomarker in Dogs with Portosystemic Shunt. Vet. Sci. 2024, 2024, 80. [Google Scholar] [CrossRef]
- Tuna, G.E. Neutrophil-to-Lymphocyte Ratio and Platelet-to-Lymphocyte Ratio in Dogs With Various Degrees of Myxomatous Mitral Valve Disease. Egypt. J. Vet. Sci. 2024, 55, 101–112. [Google Scholar] [CrossRef]
- DeProspero, D.J.; Hess, R.S.; Silverstein, D.C. Neutrophil-to-Lymphocyte Ratio Is Increased in Dogs with Acute Congestive Heart Failure Secondary to Myxomatous Mitral Valve Disease Compared to Both Dogs with Heart Murmurs and Healthy Controls. J. Am. Vet. Med. Assoc. 2023, 261, 1–8. [Google Scholar] [CrossRef] [PubMed]
- Becher, A.; Suchodolski, J.S.; Steiner, J.M.; Heilmann, R.M. Blood Neutrophil-to-Lymphocyte Ratio (NLR) as a Diagnostic Marker in Dogs with Chronic Enteropathy. J. Vet. Diagn. Investig. 2021, 33, 516–527. [Google Scholar] [CrossRef]
- Benvenuti, E.; Pierini, A.; Gori, E.; Lucarelli, C.; Lubas, G.; Marchetti, V. Neutrophil-to-Lymphocyte Ratio (NLR) in Canine Inflammatory Bowel Disease (IBD). Vet. Sci. 2020, 7, 141. [Google Scholar] [CrossRef]
- Macfarlane, L.; Morris, J.; Pratschke, K.; Mellor, D.; Scase, T.; Macfarlane, M.; Mclauchlan, G. Diagnostic Value of Neutrophil-Lymphocyte and Albumin-Globulin Ratios in Canine Soft Tissue Sarcoma. J. Small Anim. Pract. 2016, 57, 135–141. [Google Scholar] [CrossRef] [PubMed]
- Rejec, A.; Butinar, J.; Gawor, J.; Petelin, M. Evaluation of Complete Blood Count Indices (NLR, PLR, MPV/PLT, and PLCRi) in Healthy Dogs, Dogs with Periodontitis, and Dogs with Oropharyngeal Tumors as Potential Biomarkers of Systemic Inflammatory Response. J. Vet. Dent. 2017, 34, 231–240. [Google Scholar] [CrossRef]
- Donato, G.; Baxarias, M.; Solano-Gallego, L.; Martínez-Flórez, I.; Mateu, C.; Pennisi, M.G. Clinical Significance of Blood Cell Ratios in Healthy and Sick Leishmania Infantum-Seropositive Dogs. Parasites Vectors 2024, 17, 435. [Google Scholar] [CrossRef] [PubMed]
- Marchesi, M.C.; Maggi, G.; Cremonini, V.; Miglio, A.; Contiero, B.; Guglielmini, C.; Antognoni, M.T. Monocytes Count, NLR, MLR and PLR in Canine Inflammatory Bowel Disease. Animals 2024, 14, 837. [Google Scholar] [CrossRef] [PubMed]
- Alaimo, C.; De Feo, G.; Lubas, G.; Gavazza, A. Utility and Prognostic Significance of Leukocyte Ratios in Dogs with Primary Immune-Mediated Hemolytic Anemia. Vet. Res. Commun. 2023, 47, 305–310. [Google Scholar] [CrossRef] [PubMed]
- Pierini, A.; Esposito, G.; Gori, E.; Benvenuti, E.; Ruggiero, P.; Lubas, G.; Marchetti, V. Platelet Abnormalities and Platelet-to-Lymphocyte Ratios in Canine Immunosuppressant-Responsive and Non-Responsive Enteropathy: A Retrospective Study in 41 Dogs. J. Vet. Med. Sci. 2021, 83, 248–253. [Google Scholar] [CrossRef]
- Rösch, S.; Woitas, J.; Neumann, S.; Alef, M.; Kiefer, I.; Oechtering, G. Diagnostic Benefits of Platelet-to-Lymphocyte, Neutrophil-to-Lymphocyte, and Albumin-to-Globulin Ratios in Dogs with Nasal Cavity Diseases. BMC Vet. Res. 2024, 20, 44. [Google Scholar] [CrossRef]
- Yang, Y.; Wu, C.; Hsu, P.; Chen, S.; Huang, S.; Chan, W.L.; Lin, S.; Chou, C.; Chen, J.; Pan, J.; et al. Systemic Immune-inflammation Index (SII) Predicted Clinical Outcome in Patients with Coronary Artery Disease. Eur. J. Clin. Investig. 2020, 50, e13230. [Google Scholar] [CrossRef]
- Erdogan, T. Role of Systemic Immune-inflammation Index in Asthma and NSAID-exacerbated Respiratory Disease. Clin. Respir. J. 2021, 15, 400–405. [Google Scholar] [CrossRef]
- Ye, Z.; Hu, T.; Wang, J.; Xiao, R.; Liao, X.; Liu, M.; Sun, Z. Systemic Immune-Inflammation Index as a Potential Biomarker of Cardiovascular Diseases: A Systematic Review and Meta-Analysis. Front. Cardiovasc. Med. 2022, 9, 933913. [Google Scholar] [CrossRef]
- Zhong, J.-H.; Huang, D.-H.; Chen, Z.-Y. Prognostic Role of Systemic Immune-Inflammation Index in Solid Tumors: A Systematic Review and Meta-Analysis. Oncotarget 2017, 8, 75381–75388. [Google Scholar] [CrossRef]
- Garcia, J.S.; Nowosh, V.; López, R.V.M.; Massoco, C.d.O. Association of Systemic Inflammatory and Immune Indices With Survival in Canine Patients With Oral Melanoma, Treated With Experimental Immunotherapy Alone or Experimental Immunotherapy Plus Metronomic Chemotherapy. Front. Vet. Sci. 2022, 9, 888411. [Google Scholar] [CrossRef]
- Durán-Galea, A.; Cristóbal-Verdejo, J.I.; Macías-García, B.; Nicolás-Barceló, P.; Barrera-Chacón, R.; Ruiz-Tapia, P.; Zaragoza-Bayle, M.C.; Duque-Carrasco, F.J. Determination of Neutrophil-to-Lymphocyte Ratio, Platelet-to-Lymphocyte Ratio and Systemic Immune-Inflammation Index in Dogs with Leptospirosis. Vet. Res. Commun. 2024, 48, 4105–4111. [Google Scholar] [CrossRef]
- Durán-Galea, A.; Cristóbal-Verdejo, J.I.; Barrera-Chacón, R.; Macías-García, B.; González-Solís, M.A.; Nicolás-Barceló, P.; García-Ibáñez, A.B.; Ruíz-Tapia, P.; Duque-Carrasco, F.J. Clinical Importance of Neutrophil-to-Lymphocyte Ratio, Platelet-to-Lymphocyte Ratio and Systemic Immune-Inflammation Index in Dogs with Leishmaniasis. Comp. Immunol. Microbiol. Infect. Dis. 2024, 107, 102148. [Google Scholar] [CrossRef]
- Tuna, G.E.; Ulutas, B. The Systemic-Immune Inflammatory Index in Naturally Obese Dogs. Assiut Vet. Med. J. 2024, 70, 1–9. [Google Scholar] [CrossRef]
- Friedrichs, K.R.; Harr, K.E.; Freeman, K.P.; Szladovits, B.; Walton, R.M.; Barnhart, K.F.; Blanco-Chavez, J. ASVCP Reference Interval Guidelines: Determination of de Novo Reference Intervals in Veterinary Species and Other Related Topics. Vet. Clin. Pathol. 2012, 41, 441–453. [Google Scholar] [CrossRef] [PubMed]
- Lawrence, J.; Chang, Y.M.R.; Szladovits, B.; Davison, L.J.; Garden, O.A. Breed-Specific Hematological Phenotypes in the Dog: A Natural Resource for the Genetic Dissection of Hematological Parameters in a Mammalian Species. PLoS ONE 2013, 8, e81288. [Google Scholar] [CrossRef] [PubMed]
- Connolly, S.L.; Nelson, S.; Jones, T.; Kahn, J.; Constable, P.D. The Effect of Age and Sex on Selected Hematologic and Serum Biochemical Analytes in 4,804 Elite Endurance-Trained Sled Dogs Participating in the Iditarod Trail Sled Dog Race Pre-Race Examination Program. PLoS ONE 2020, 15, e0237706. [Google Scholar] [CrossRef]
- McKenzie, B.A. Immunosenescence and Inflammaging in Dogs and Cats: A Narrative Review. J. Vet. Intern. Med. 2025, 39, e70159. [Google Scholar] [CrossRef]
- Ku, D.; Chae, Y.; Kim, C.; Koo, Y.; Lee, D.; Yun, T.; Chang, D.; Kang, B.T.; Yang, M.P.; Kim, H. Severity of Myxomatous Mitral Valve Disease in Dogs May Be Predicted Using Neutrophil-to-Lymphocyte and Monocyte-to-Lymphocyte Ratio. Am. J. Vet. Res. 2023, 84, 1–9. [Google Scholar] [CrossRef] [PubMed]
- Jung, M.J.; Kim, J.H. Prognostic Efficacy of Complete Blood Count Indices for Assessing the Presence and the Progression of Myxomatous Mitral Valve Disease in Dogs. Animals 2023, 13, 2821. [Google Scholar] [CrossRef]
- Hamilton-Elliott, J.; Ambrose, E.; Christley, R.; Dukes-McEwan, J. White Blood Cell Differentials in Dogs with Congestive Heart Failure (CHF) in Comparison to Those in Dogs without Cardiac Disease. J. Small Anim. Pract. 2018, 59, 364–372. [Google Scholar] [CrossRef]
- Yun, S.; Yun, T.; Cha, S.; Oh, J.; Lee, D.; Koo, Y.; Chae, Y.; Yang, M.-P.; Kang, B.-T.; Kim, H. Can Neutrophil-to-Lymphocyte and Platelet-to-Lymphocyte Ratios Be Used as Markers for Hypercortisolism in Dogs? Top. Companion Anim. Med. 2024, 61, 100890. [Google Scholar] [CrossRef] [PubMed]
- Vaitaitis, G.; Webb, T.; Webb, C.; Sharkey, C.; Sharkey, S.; Waid, D.; Wagner, D.H. Canine Diabetes Mellitus Demonstrates Multiple Markers of Chronic Inflammation Including Th40 Cell Increases and Elevated Systemic-Immune Inflammation Index, Consistent with Autoimmune Dysregulation. Front. Immunol. 2023, 14, 1319947. [Google Scholar] [CrossRef] [PubMed]
- Ozalp, T.; Erdogan, S.; Ural, K.; Erdogan, H. Assessment of Novel Haematological Inflammatory Markers (NLR, SII, and SIRI) as Predictors of SIRS in Dogs with Canine Monocytic Ehrlichiosis. Vet. Stanica 2024, 56, 235–243. [Google Scholar] [CrossRef]
- Nah, E.H.; Kim, S.; Cho, S.; Cho, H.I. Complete Blood Count Reference Intervals and Patterns of Changes across Pediatric, Adult, and Geriatric Ages in Korea. Ann. Lab. Med. 2018, 38, 503–511. [Google Scholar] [CrossRef]
- Starr, J.M.; Deary, I.J. Sex Differences in Blood Cell Counts in the Lothian Birth Cohort 1921 between 79 and 87 Years. Maturitas 2011, 69, 373–376. [Google Scholar] [CrossRef]
- Radakovich, L.B.; Pannone, S.C.; Truelove, M.P.; Olver, C.S.; Santangelo, K.S. Hematology and Biochemistry of Aging—Evidence of “Anemia of the Elderly” in Old Dogs. Vet. Clin. Pathol. 2017, 46, 34–45. [Google Scholar] [CrossRef] [PubMed]




| Analyte | n | Median | RI | IQR | LRL (90%) | URL (90%) | Method |
|---|---|---|---|---|---|---|---|
| NLR | 156 | 2.86 | 1.3–7.1 | 1.48 | 1.1–1.6 | 5.7–8.4 | NP |
| MLR | 156 | 0.14 | 0.1–0.3 | 0.07 | 0.0–0.1 | 0.3–0.4 | NP |
| PLR | 123 | 110.55 | 40.4–271.1 | 50.98 | 24.1–51.0 | 219.4–326.0 | NP |
| SII | 123 | 658 | 224.6–2191.7 | 458.49 | 131.3–380.0 | 1518.7–2817.5 | NP |
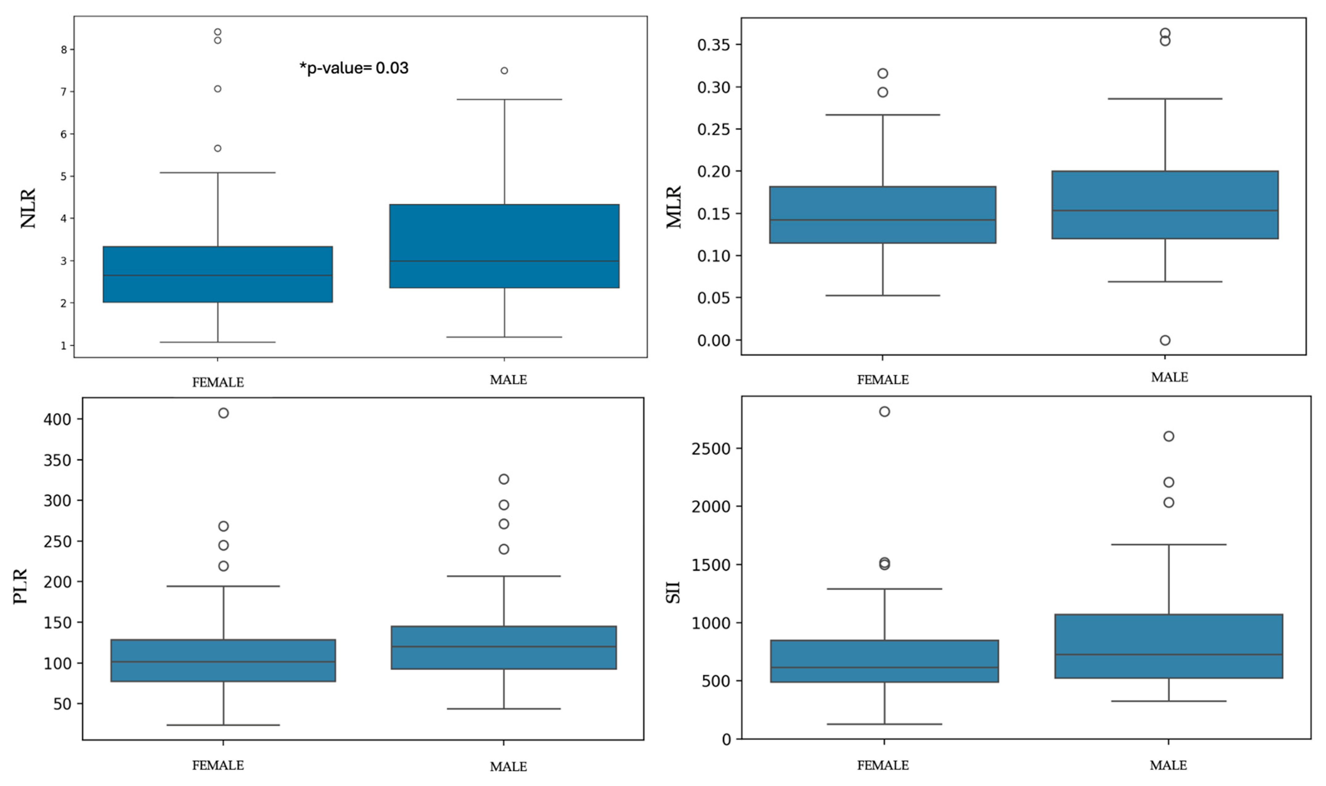
| Analyte | n | Female Median (25th and 75th Percentiles) | Male Median (25th and 75th Percentiles) | p-Value |
|---|---|---|---|---|
| NLR | 83 (F) 73 (M) | 2.65 (2.01–3.34) | 3.0 (2.35–4.33) * | 0.03 |
| MLR | 83 (F) 73 (M) | 0.143 (0.11–0.18) | 0.154 (0.12–0.20) | 0.12 |
| PLR | 64 (F) 59 (M) | 102.17 (77.93–128.95) | 120.24 (92.90–145.62) | 0.11 |
| SII | 64 (F) 59 (M) | 617.25 (490.16–851.95) | 731.67 (526.47–1074.49) | 0.07 |
| Analyte | n | Juveniles’ Median (25th and 75th Percentiles) | Adults’ Median (25th and 75th Percentiles) | Seniors’ Median (25th and 75th Percentiles) | p-Value |
|---|---|---|---|---|---|
| NLR | 32 (J) 70 (A) 45 (S) | 2.15 (1.87–3.14) | 2.75 (2.09–3.42) | * 3.12 (2.69–4.43) | 4.13 × 10−3 |
| MLR | 32 (J) 70 (A) 45 (S) | 0.12 (0.1–0.16) | 0.15 (0.12–0.19) | 0.15 (0.12–0.18) | 0.08 |
| PLR | 23 (J) 54 (A) 38 (S) | 84.72 (60.11–100.16) | 97.04 (76.67–129.61) | ** 128.06 (117.03–166.74) | 5.73 × 10−7 |
| SII | 23 (J) 54 (A) 38 (S) | 570.14 (426.78–753.73) | 604.75 (497.5–768.24) | ** 834.85 (669.67–1089) | 6.26 × 10−5 |
Disclaimer/Publisher’s Note: The statements, opinions and data contained in all publications are solely those of the individual author(s) and contributor(s) and not of MDPI and/or the editor(s). MDPI and/or the editor(s) disclaim responsibility for any injury to people or property resulting from any ideas, methods, instructions or products referred to in the content. |
© 2025 by the authors. Licensee MDPI, Basel, Switzerland. This article is an open access article distributed under the terms and conditions of the Creative Commons Attribution (CC BY) license (https://creativecommons.org/licenses/by/4.0/).
Share and Cite
Navarro, P.F.; Monroig, M.; Gil-Vicente, L. Reference Intervals for Hematological Inflammatory Ratios in Healthy Dogs. Animals 2025, 15, 3376. https://doi.org/10.3390/ani15233376
Navarro PF, Monroig M, Gil-Vicente L. Reference Intervals for Hematological Inflammatory Ratios in Healthy Dogs. Animals. 2025; 15(23):3376. https://doi.org/10.3390/ani15233376
Chicago/Turabian StyleNavarro, Paula F., Miquel Monroig, and Laura Gil-Vicente. 2025. "Reference Intervals for Hematological Inflammatory Ratios in Healthy Dogs" Animals 15, no. 23: 3376. https://doi.org/10.3390/ani15233376
APA StyleNavarro, P. F., Monroig, M., & Gil-Vicente, L. (2025). Reference Intervals for Hematological Inflammatory Ratios in Healthy Dogs. Animals, 15(23), 3376. https://doi.org/10.3390/ani15233376

