Body Measurements and Body Condition Scoring in Bactrian Camels
Simple Summary
Abstract
1. Introduction
2. Materials and Methods
2.1. Body Measurements
2.2. Bactrian Camel Observation for BCS
2.3. The Principle of Scoring
- The base of the tail and the ano-genital area.
- The bones of the pelvis (iliac crest and ischial spine).
- The sacro-tuberal ligament.
- The thighs.
- The transverse apophyses of the lumbar vertebrae.
- The hollow of the flank.
- The groin crease.
- The spinous apophyses of the dorsal vertebrae.
- The ribs.
- The shoulder and, notably, the humerus joint.
- The neck.
- The state of repletion of the humps and the general appearance.

2.4. Statistical Analysis
3. Results
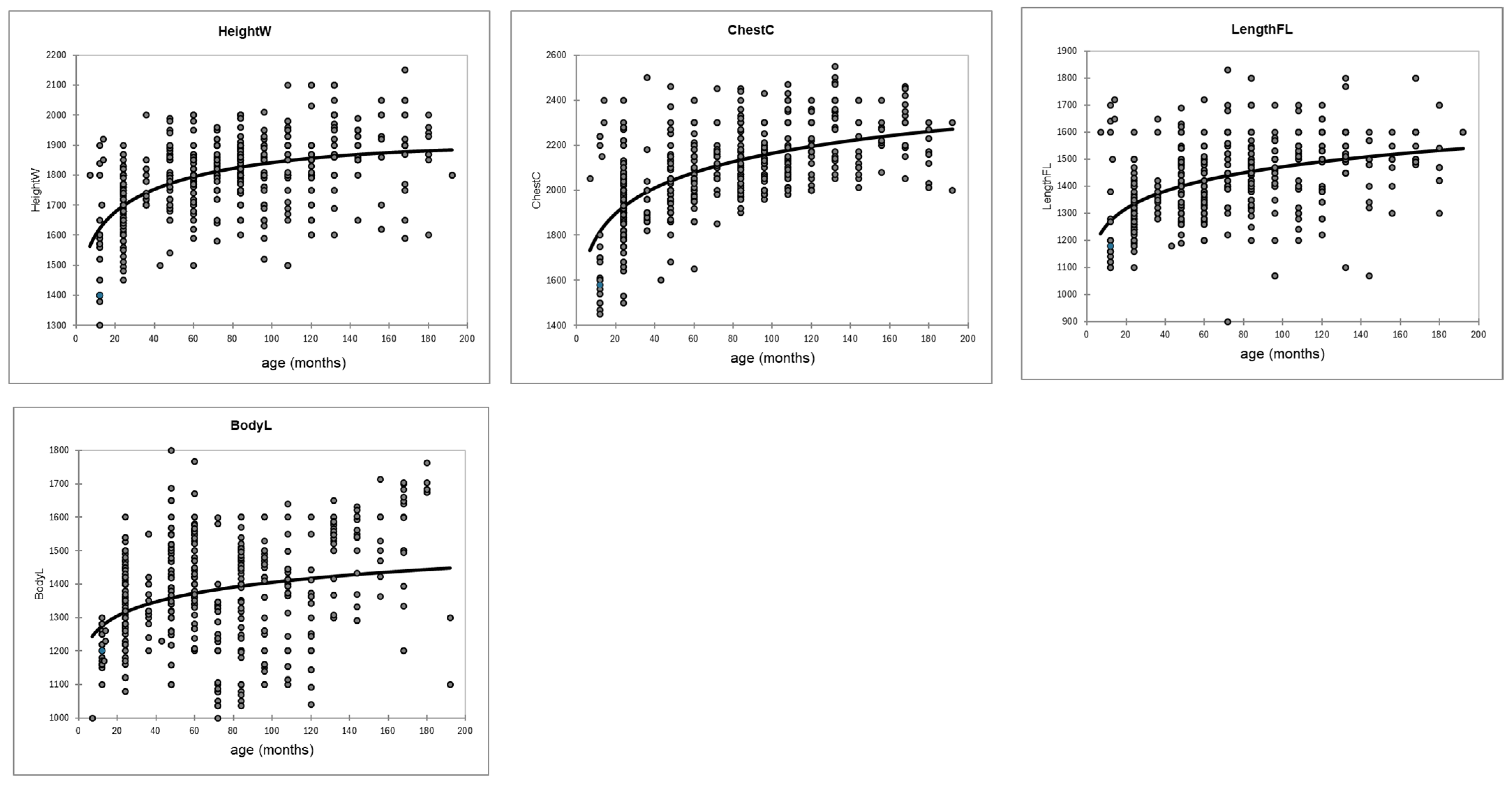
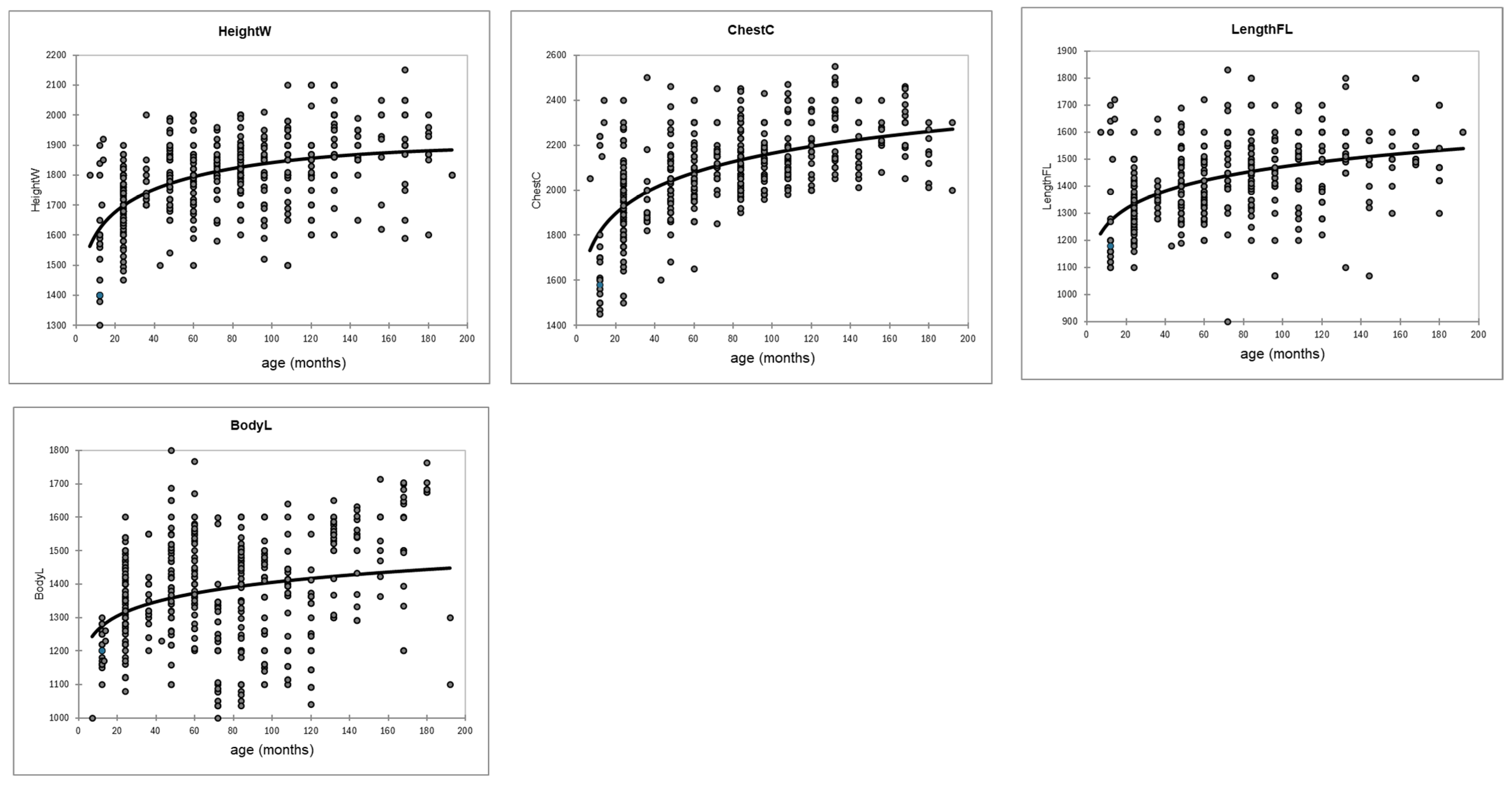
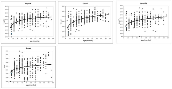
3.1. Body Dimensions of Bactrian Camels
3.2. Body Condition Scoring
3.2.1. Photos of “Examples” Corresponding to the Expected Scoring
- Example note 0:
- Example note 1
- Example note 2
- Example note 3
- Example note 4
- Example note 5
3.2.2. Representation of the Scoring by Drawings
3.2.3. Description of the Scoring
4. Discussion
5. Conclusions
Author Contributions
Funding
Institutional Review Board Statement
Informed Consent Statement
Data Availability Statement
Acknowledgments
Conflicts of Interest
Abbreviations
| AD | Adult | 
| AHC | Ascending Hierarchical Classification | 
| BCS | Body Condition score | 
| BM | Body measurement | 
| OA | Old adult | 
| PCA | Principal Components Analysis | 
| SA | Subadult | 
| YC | Young Camel | 
References
- Abdallah, H.R.; Faye, B. Phenotypic classification of Saudi Arabian camel (Camelus dromedarius) by their body measurements. Emir. J. Food Agric. 2012, 24, 272–280. [Google Scholar] [CrossRef]
- Belkhir, A.O.; Chehma, A.; Faye, B. Phenotypic variability of two principal Algerian camel’s populations (Targui and Sahraoui). Emir. J. Food Agric. 2013, 25, 231–237. [Google Scholar] [CrossRef]
- Boujenane, I.; El Khattaby, N.; Laghouaouta, H.; Badaoui, B.; Piro, M. Morphological diversity of female camel (Camelus dromedarius) populations in Morocco. Trop. Anim. Health Prod. 2019, 51, 1367–1373. [Google Scholar] [CrossRef] [PubMed]
- Chniter, M.; Hammadi, M.; Khorchani, T.; Krit, R.; Benwahada, A.; Hamouda, M. Classification of Maghrebi camels (Camelus dromedarius) according to their tribal affiliation and body traits in southern Tunisia. Emir. J. Food Agric. 2013, 25, 625–634. [Google Scholar] [CrossRef]
- Diop, A.K.M.; Ahmed, C.; Mohamed, S.; Biya, M.B.; Haki, M.L.; Konuspayeva, G.; Faye, B. Comparaison des phénotypes camelins de Mauritanie aux écotypes d’Afrique et d’Asie. Rev. Elev. Méd. Vét. Pays Trop. 2020, 73, 247–254. [Google Scholar] [CrossRef]
- Martini, P.; Schmid, P.; Costeur, L. Comparative morphometry of Bactrian camel and dromedary. J. Mamm. Evol. 2018, 25, 407–425. [Google Scholar] [CrossRef]
- Zhao, X.X. Types and breeds of the Chinese Bactrian camel (Camelus bactrianus). Rev. Elev. Méd. Vét. Pays Trop. 1998, 51, 345–352. [Google Scholar] [CrossRef]
- Makhdoomi, D.M.; Gazi, M.A.; Ul Nabi, S.; Ahmed, S. Morphometric studies on adult double humped camel of Ladakh, India. Emir. J. Food Agric. 2013, 25, 544–548. [Google Scholar] [CrossRef]
- Boujenane, I. Comparison of body weight estimation equations for camels (Camelus dromedarius). Trop. Anim. Health Prod. 2019, 51, 1003–1007. [Google Scholar] [CrossRef]
- Nurseitova, M.; Jurjanz, S.; Toregozhina, Z.; Konuspayev, G.; Faye, B. Estimation of body and hump weight of Bactrian camels. Veterinaria 2015, 42, 452–453. [Google Scholar]
- Brown, C.L.; Nielson, R.M.; Clark, D.; Kennedy, R.; Loonam, K.; Rowland, M.M.; Wisdom, M.J. Drought-linked resource limitations on the body condition of a large ungulate. Front. Ecol. Evol. 2025, 13, 1584866. [Google Scholar] [CrossRef]
- Ferguson, J.D.; Azzaro, G.; Licitra, G. Body condition assessment using digital images. J. Dairy Sci. 2006, 89, 3833–3841. [Google Scholar] [CrossRef] [PubMed]
- Lowman, B.G.; Scott, N.A.; Somervalle, S.H. Condition Scoring of Cattle; East of Escotland College of Agriculture: Edinburgh, UK, 1976; pp. 1–13. [Google Scholar]
- Pullan, N.B. Condition scoring of White Fulani cattle. Trop. Anim. Health Prod. 1978, 10, 118–120. [Google Scholar] [CrossRef] [PubMed]
- Vall, E.; Meyer, C.; Abakar, O.; Dongmo Ngoutsop, A.L. Notes d’état Corporel des Zébus de Trait. Un Outil Simple Pour Piloter Leur Alimentation. Fiche Technique Traction Animale; n. 13; PRASAC: N’Djaména, Chad, 2002. [Google Scholar]
- Bocquier, F.; Guillouet, P.; Barillet, F.; Chilliard, Y. Comparison of three methods for the in vivo estimation of body composition in dairy ewes. Ann. Zootech. 1999, 48, 297–308. [Google Scholar] [CrossRef]
- Imadine, M. Mise au Point d’une Grille de Notation de l’état Corporel des Caprins du SAHEL. Mémoire DESS Productions Animales en Régions Chaude; CIRAD-EMVT: Paris, France, 1991. [Google Scholar]
- Banse, H.E.; McFarlane, D. Comparison of three methods for evaluation of equine insulin regulation in horses of varied body condition score. J. Equine Vet. 2014, 34, 742–748. [Google Scholar] [CrossRef]
- Vall, E.; Ebangi, A.L.; Abakar, O. Mise au point d’une grille de notation de l’état corporel des ânes de trait au Nord Cameroun. Rev. Élev. Méd. Vét. Pays Trop. 2001, 54, 255–262. [Google Scholar] [CrossRef]
- Ezenwa, V.O.; Jolles, A.E.; O’Brien, M.P. A reliable body condition scoring technique for estimating condition in African buffalo. Afr. J. Ecol. 2009, 47, 476–481. [Google Scholar] [CrossRef]
- Vall, E.; Blanchard, M.; Sib, O.; Cormary, B.; González-García, E. Standardized body condition scoring system for tropical farm animals (large ruminants, small ruminants, and equines). Trop. Anim. Health Prod. 2025, 57, 106. [Google Scholar] [CrossRef]
- Wagener, M.G.; Ganter, M.; Leonhard-Marek, S. Body condition scoring in alpacas (Vicugna pacos) and llamas (Lama glama)—A scoping review. Vet. Res. Commun. 2024, 48, 665–684. [Google Scholar] [CrossRef]
- Faye, B.; Bengoumi, M.; Messad, S.; Chilliard, Y. Fat storage and adipocyte patterns in camel: A tool for management of reproduction. Adv. Reprod. 2001, 5, 10. [Google Scholar]
- Faye, B.; Bengoumi, M.; Messad, S.; Chillard, Y. Estimation des réserves corporelles chez le dromadaire. Rev. Élev. Méd. Vét. Pays Trop. 2002, 55, 69–78. [Google Scholar] [CrossRef]
- Feldmuller, M.; Gee, P.; Pitt, J.; Feujerherdt, L. (Eds.) Best Practice Camel Book, 1st ed.; Prepared for the South Australian State feral camel management project; Rural Solution South Australia: Adelaide, Australia, 2012; 121p. [Google Scholar]
- Pastrana, C.I.; Navas, F.J.; Ciani, E.; Arbulu, A.A.; González, A.; Marín, C.; Nogales, S.; Bermejo, J.V.D. Zoometric characterization and body condition score in Canarian camel breed. Archiv. Zootec. 2020, 69, 102–107. [Google Scholar]
- Kamili, A.; Bengoumi, M.; Faye, B. Assessment of body condition and body composition in camel by barymetric measurements. J. Camel Pract. Res. 2006, 13, 67–72. [Google Scholar]
- Terentyev, S.M. Meat productivity. In Camel Rearing; Terentyev, S.M., Ed.; Kolos Publisher: Moscow, Russia, 1975; pp. 105–124. (In Russian) [Google Scholar]
- Akhmetsadykova, S.; Shertay, E.; Konuspayeva, G.; Torekhanov, A.; Faye, B. Phenotypic biodiversity characterization of dromedary camels and hybrids in Kazakhstan. Trop. Anim. Health Prod. 2023, 55, 79. [Google Scholar] [CrossRef] [PubMed]
- Hoshino, B.; Morioka, S.; Hasegawa, N.; Sugawara, M.; Imamura, K.; Ishii, S.; Saitou, N.; Salmurzauli, R.; Nurtazin, S.; Hashimoto, K. A New Methodology for the Evaluation of Ecological Characteristic of the Camel-A case Study of Climate Change and Breeding of Camel. J. Arid Land Stud. 2017, 26, 213–217. [Google Scholar] [CrossRef]
- Lamo, D.; Gahlawat, G.; Kumar, S.; Bharti, V.K.; Ranjan, P.; Kumar, D.; Chaurasia, O.P. Morphometric, haematological and physio-biochemical characterization of Bactrian (Camelus bactrianus) camel at high altitude. BMC Vet. Res. 2020, 16, 291. [Google Scholar] [CrossRef]
- Wurihan, H.; Batsaikhan, T.; Amu, G. Morphometric study on the gobi red bull Bactrian camel. J. Camel Pract. Res. 2022, 29, 67–72. [Google Scholar] [CrossRef]
- Baimukanov, A. Two-humped camel. In Animal Genetic Resources of the USSR; Dmitriev, N.G., Ernst, L.K., Eds.; FAO animal production and health paper 65; FAO: Rome, Italy, 1989; Chapter 8; pp. 380–385. [Google Scholar]
- Faye, B. Body Condition Score in Dromedary Camel; Technical leaflet; Camel project, Al-Kharj, project UTF/SAU/044/SAU; FAO: Riyadh, Saudi Arabia, 2013; pp. 1–12. (In Arabic) [Google Scholar]
- Terenytev, C.M. Camel Farming [Verbludov Skotovodstvo]; Kolos Publisher: Moscow, Russia, 1975. [Google Scholar]
- Roche, J.R.; Kay, J.K.; Friggens, N.C.; Loor, J.J.; Berry, D.P. Assessing and managing body condition score for the prevention of metabolic disease in dairy cows. Vet. Clin. Food Anim. Pract. 2013, 29, 323–336. [Google Scholar] [CrossRef]
- López-Gatius, F.; Yániz, J.; Et Madriles-Helm, D. Effects of body condition score and score change on the reproductive performance of dairy cows: A meta-analysis. Theriogenology 2003, 59, 801–812. [Google Scholar] [CrossRef]
- Lassen, J.; Hansen, M.; Sørensen, M.K.; Aamand, G.P.; Christensen, L.G.; Madsen, P. Genetic relationship between body condition score, dairy character, mastitis, and diseases other than mastitis in first-parity Danish Holstein cows. J. Dairy Sci. 2003, 86, 3730–3735. [Google Scholar] [CrossRef]
- Bradosty, S.W.; Maigari, A.K.; Dabo, N.T.; Ibrahim, S. Application of Body Condition Scorings to Effective Detection of African Trypanosomiasis in Camels and Cattle. In Proceedings of the 4th International Conference on Biological & Health Sciences (CIC-BIOHS’2022), 28-29/03/2022, Kuala Lumpur, Malaysia, 13–14 October 2018; Cihan University-Erbil: Erbil, Iraq, 2018; pp. 138–148. [Google Scholar] [CrossRef]
- Woma, T.Y.; Kalla, D.J.U.; Ekong, P.S.; Ularamu, H.G.; Chollom, S.C.; Lamurde, I.I.; Bajehson, D.B.; Tom, N.D.; Aaron, G.B.; Shamaki, D.; et al. Serological evidence of camel exposure to peste des petits ruminants virus (PPRV) in Nigeria. Trop. Anim. Health Prod. 2015, 47, 603–606. [Google Scholar] [CrossRef]
- Menchetti, L.; Faye, B.; Padalino, B. New animal-based measures to assess welfare in dromedary camels. Trop. Anim. Health Prod. 2021, 53, 533. [Google Scholar] [CrossRef]
- Roche, J.R.; Friggens, N.C.; Kay, J.K.; Fisher, M.W.; Stafford, K.J.; Berry, D.P. Invited review: Body condition score and its association with dairy cow productivity, health, and welfare. J. Dairy Sci. 2009, 92, 5769–5801. [Google Scholar] [CrossRef]
- Emsen, E.; Almansoori, S.S.M. Assessing Welfare of Camels in a Semi-Intensive Farming System: A Case Study from Abu Dabi-United Arab Emirates. Anim. Sci. Cases 2025, 2025, ascs20250021. [Google Scholar] [CrossRef]
- Gherissi, D.E.; Afri-Bouzebda, F.; Bouzebda, Z.; Bonnet, X. Are female camels capital breeders? Influence of seasons, age, and body condition on reproduction in an extremely arid region. Mamm. Biol. 2018, 93, 124–134. [Google Scholar] [CrossRef]
- Hussein, M.M.; El-Agawany, A.A.; Amin, K. Ovarian activity of she-camel (Camelus dromedarius) in relation to season, hormonal pattern, age and body condition scores. J. Vet. Med. Res. 2008, 18, 1–9. [Google Scholar] [CrossRef]
- Almundarij, T.I. Relationships between age, breed, body condition score, lipogram and antioxidant parameters in female dromedary camels with reproductive abnormalities. Adv. Anim. Vet. Sci. 2024, 12, 99–106. [Google Scholar] [CrossRef]
- Seid, A.; Kurtu, M.Y.; Urge, M. Age and body condition effects on meat quality of camels (Camelus dromedarius) in eastern Ethiopia. Anim. Prod. Sci. 2018, 59, 965–971. [Google Scholar] [CrossRef]
- RNED bovin. Grille de Notation de L’état D’engraissement des Vaches pie Noires; Bazin, S., Ed.; ITEB: Paris, France, 1984; 31p. [Google Scholar]
- Indra, P.; Maratch, A.; Batsour, L. The Mongol Camel; Monsudar Publishing LLC: Ulaanbator, Mongolia, 2003; 236p. (In Mongol) [Google Scholar]
- Bengoumi, M.; Faulconnier, Y.; Tabarani, A.; Sghiri, A.; Faye, B.; Chilliard, Y. Effects of feeding level on body weight, hump size, lipid content and adipocyte volume in the dromedary camel. Anim. Res. 2005, 54, 383–393. [Google Scholar] [CrossRef]
- Iglesias Pastrana, C.; Navas González, F.J.; Ciani, E.; Nogales Baena, S.; Delgado Bermejo, J.V. Camel genetic resources conservation through tourism: A key sociocultural approach of camelback leisure riding. Animals 2020, 10, 1703. [Google Scholar] [CrossRef]
- Bolormaa, T.; Burenjargal, S.; Sandagdorj, B.; Chantsal, B.; Ochirkhuu, N.; Gerelt-Od, S.; Nyam-Osor, P. The role and significance of two-humped camels in Mongolia: Adaptability, economic impact, and cultural importance. Past. Res. Pol. Pract. 2025, 15, 14289. [Google Scholar] [CrossRef]
- Liu, C.; Chen, H.; Ren, Z.; Zhang, C.; Yang, X. Population genetic analysis of the domestic Bactrian camel in China by RAD-seq. Ecol. Evol. 2019, 9, 11232–11242. [Google Scholar] [CrossRef]
- Dioli, M. Dromedary (Camelus dromedarius) and Bactrian camel (Camelus bactrianus) crossbreeding husbandry practices in Turkey and Kazakhstan: An in-depth review. Past. Res. Pol. Pract 2020, 10, 6. [Google Scholar] [CrossRef]
- Faye, B.; Konuspayeva, G. The Encounter between Bactrian and Dromedary Camels in Central Asia. In Camels in Asia and North-Africa—Interdisciplinary Perspectives on Their Past and Present Significance; Knoll, E.-M., Burger, P., Eds.; Austrian Academy of Sciences Press: Wien, Austria, 2012; pp. 27–33. [Google Scholar]
- Le Cozler, Y.; Allain, C.; Caillot, A.; Delouard, J.M.; Delattre, L.; Luginbuhl, T.; Faverdin, P. High-precision scanning system for complete 3D cow body shape imaging and analysis of morphological traits. Comput. Electron. Agric. 2019, 157, 447–453. [Google Scholar] [CrossRef]
- Allain, C.; Caillot, A.; Depuille, L.; Delouard, J.M.; Delattre, L.; Luginbuhl, T.; Lassalas, J.; Faverdin, P.; Le Cozler, Y. Morpho3D-Utilisation d’un dispositif d’imagerie en 3D pour modéliser la forme complète de bovins laitiers et mesurer des paramètres morphologiques, le volume et la surface corporelle. Innov. Agron. 2021, 82, 215–228. [Google Scholar] [CrossRef]
- Çağlı, A.; Yılmaz, M. Determination of some body measurements of camels with three-dimensional modelling method (3D). Trop. Anim. Health Prod. 2021, 53, 554–574. [Google Scholar] [CrossRef]
- Meghelli, I.; Kaouadji, Z.; Yilmaz, O.; Cemal, I.; Karaca, O.; Gaouar, S.B.S. Morphometric characterization and estimating body weight of two Algerian camel breeds using morphometric measurements. Trop. Anim. Health Prod. 2020, 52, 2505–2512. [Google Scholar] [CrossRef]












| Agegroup | HeadL | NeckL | NeckC | HeightW | ChestC | LengthFL | BodyL | 
|---|---|---|---|---|---|---|---|
| OA | 481.3 c | 1136.9 d | 909.1 c | 1877.9 c | 2235.7 d | 1514.4 d | 1463.3 c | 
| AD | 463.4 b | 1095.8 c | 884.4 b | 1813.2 b | 2121.3 c | 1449.5 c | 1356.6 b | 
| SA | 459.3 b | 1018.7 b | 882.1 b | 1785.5 b | 2016.8 b | 1406.7 b | 1395.7 b | 
| YC | 435.2 a | 909.8 a | 810.7 a | 1680.3 a | 1908.4 a | 1316.2 a | 1318.5 a | 
| Total | 459.6 ± 46.1 | 1048.3 ± 139.8 | 871.0 ± 85.1 | 1790.0 ± 131.2 | 2078.3 ± 195.4 | 1424.2 ± 145.7 | 1373.9 ± 156.1 | 
| % Increase | 10.6 | 25.0 | 12.1 | 11.8 | 17.2 | 15.1 | 11.0 | 
| CV | 0.100 | 0.133 | 0.098 | 0.073 | 0.094 | 0.102 | 0.114 | 
| p value | <0.0001 | <0.0001 | <0.0001 | <0.0001 | <0.0001 | <0.0001 | <0.0001 | 
| Parameter | Beta Growth Equation | 
|---|---|
| HeadL | HeadL = 488.7 × (1 + (399 − age)/7040) × (age/399)0.056 | 
| NeckL | NeckL = 1153.6 × (1 + (203 − age)/1265) × (age/203)0.16 | 
| NeckC | NeckC = 904 × (1 + (146 − age)/1568) × (age/146)0.093 | 
| HeightW | HeightW = 1892 × (1 + (271 − age)/3856 × (age/271)0.070 | 
| ChestC | ChestC = 2430.5 × (1 + (908 − age)/10,498) × (age/908)0.086 | 
| LengthFL | LengthFL = 1871 × (1 + (7861 − age)/112.262) × (age/7861)0.070 | 
| BodyL | BodyL = 1709 × (1 + (17.451 − age)/374.834) × (age/17.451)0.046 | 
| Region | HeadL | NeckL | NeckC | HeightW | ChestC | LengthFL | BodyL | 
|---|---|---|---|---|---|---|---|
| Zhetisu | 494.9 b | 1009.3 a | 939.0 c | 1816.2 a | 2025.9 a | 1394.0 a | 1456.9 b | 
| Atyrau1 | 490.4 b | 1057.3 b | 914.6 b | 1894.9 b | 2282.4 c | 1581.5 b | 1354.0 a | 
| Atyrau2 | 448.0 a | 1189.0 c | 860.5 a | 1810.0 a | 2132.0 b | 1426.6 a | 1384.3 a | 
| Turkestan | 438.0 a | 1175.5 c | 854.7 a | 1782.4 a | 2122.4 b | 1427.8 a | 1399.0 a,b | 
| Total | 469.2 ± 46.6 | 1109.1 ± 116.5 | 892.4 ± 71.4 | 1834.1 ± 115.9 | 2158.3 ± 145 | 1470.5 ± 134.8 | 1391.1 ± 169.1 | 
| CV | 0.099 | 0.105 | 0.080 | 0.063 | 0.067 | 0.092 | 0.122 | 
| p value | <0.0001 | <0.0001 | <0.0001 | <0.0001 | <0.0001 | <0.0001 | 0.003 | 
| Class Parameter | Class3 n = 53 | Class1 n = 113 | Class4 n = 52 | Class2 n = 79 | p Value | 
|---|---|---|---|---|---|
| HeadL | 533.4 c | 441.6 a | 455.0 b | 449.2 a,b | <0.0001 | 
| NeckL | 1055.5 b | 1120.4 c | 962.4 a | 1192.7 d | <0.0001 | 
| NeckC | 971.9 c | 868.4 b | 858.4 a,b | 843.8 a | <0.0001 | 
| HeightW | 1965.1 d | 1783.8 b | 1739.4 a | 1829.7 c | <0.0001 | 
| ChestC | 2340.8 d | 2180.6 c | 1958.8 a | 2107.1 b | <0.0001 | 
| LengthFL | 1519.6 b | 1551.9 b | 1359.8 a | 1366.8 a | <0.0001 | 
| BodyL | 1535.9 d | 1261.1 a | 1368.3 b | 1443.0 c | <0.0001 | 
| Atyrau1 | 45.8% | 52.1% | 0% | 2.1% | <0.0001 | 
| Atyrau2 | 1.1% | 41.5% | 3.2% | 54.3% | <0.0001 | 
| Turkestan | 2.0% | 49.0% | 0% | 49.0% | <0.0001 | 
| Zhetisu | 12.1% | 0% | 84.5% | 3.45% | <0.0001 | 
| Back | Flanc | |||||||||
|---|---|---|---|---|---|---|---|---|---|---|
| Scores | Ano-Genital Region | Ischial Spine | Iliac Crest | Sacrotuberal Ligament | Thigh | Hollow of the Flank | Transverse Apophyses | Spinous Apophyses | Crease of Groin | Ribs | 
| 0 | Very deep at the base of the tail | Very prominent | Completely visible | Very concave | Deeply concave | Very deep | All prominent | All visible even under the humps | Deep crease of groin completely dry | All visibles (“skin on bones”) | 
| 1 | Deep, base of the tail still prominent | Well visible | Still visible | Concave | Still oncave | Clearly apparent | Still prominent | Still visble on the back | Slightly deep and dry crease | Clearly visible | 
| 2 | Visible hollow | Well visible | Slighly visible | Flat | Flat | Visible | Slightly visible | Slightly visible on the back | Unmarket crease | Back ribs slighly visibles | 
| 3 | Slight hollow | Slightly visible, cover of fat | Slightly covered of fat | Flat to convex | Slightly convex | Very slight | Not very visible | Not very visible | Unmarked crease but very small quantity of fat | Invisible | 
| 4 | Filled | Hardly visible and covered of fat | Covered of fat | Convex | Convex | Almost invisible | Invisible | Well covered by fat | Fatty crease | Covered of fat | 
| 5 | The base of tail is covered of fat | Disappeared in fat | Disappeared in fat | Stronglt conex | Well rounded | Totally invisible | Invisble and rounded back | Rounded back | Crease compltely covered of fat (rounded surface) | Presence of intercostal fat | 
| Hump Shape | Description | Denomination in Mongol | Phonetic Translation | 
|---|---|---|---|
|  | Two humps well erected | Tyг шиpээ | Tug chyréé | 
|  | Raised front hump Rear hump flexed on the right side | coëo | Soyo | 
|  | Front hump flexed forward and rear hump flexed backward | Coлбин шиpээ | Solbyn chiréé | 
|  | The two empty humps flexed on the left side | Зэв Бypyy лөг | Zev Bourou leg | 
|  | The two humps flexed on the right side | Xaнaн | Khanan | 
|  | Front hump flexed backward and rear hump flexed forward | Дoтoгyйoo чaчиp | Dotoguyoo chachyr | 
|  | Front hump flexed forward and rear hump flexed backward | Гaдaгчaa чaчиp | Gadagchaa chachyr | 
|  | Front empty hump flexed forward and asymmetric erected rear hump | Xoйт бox чaчиp | Khoyt bokh chachyr | 
|  | Font hump moving forward and symmetric erected rear hump | Уpд бox чaчиp, xoйт чиpээ | Ourd bokh chachyr, khoyt chiréé | 
|  | Front empty hump flexed on the right side and rear erected hump, flexed backward | Уpд бөx лөг, xoйт бөx Xaнaн | Ourd bokh leg, khoyt bokh khanan | 
|  | Front empty hump flexed on the right side and well erected rear hump | Coлбын coëo чиpээ | Solbyn soyo chiréé | 
|  | Front erected hump flexed forward and empty rear hump flexed on the left side | Уpд бөx coлбын, xoйт бөx лөг | Ourd bokh solbyn, khoyut bokh leg | 
| Disclaimer/Publisher’s Note: The statements, opinions and data contained in all publications are solely those of the individual author(s) and contributor(s) and not of MDPI and/or the editor(s). MDPI and/or the editor(s) disclaim responsibility for any injury to people or property resulting from any ideas, methods, instructions or products referred to in the content. | 
© 2025 by the authors. Licensee MDPI, Basel, Switzerland. This article is an open access article distributed under the terms and conditions of the Creative Commons Attribution (CC BY) license (https://creativecommons.org/licenses/by/4.0/).
Share and Cite
Faye, B.; Akhmetsadykova, S.; Akhmetzhanova, M.; Bilal, Z.; Musayev, Z.; Konuspayeva, G. Body Measurements and Body Condition Scoring in Bactrian Camels. Animals 2025, 15, 3157. https://doi.org/10.3390/ani15213157
Faye B, Akhmetsadykova S, Akhmetzhanova M, Bilal Z, Musayev Z, Konuspayeva G. Body Measurements and Body Condition Scoring in Bactrian Camels. Animals. 2025; 15(21):3157. https://doi.org/10.3390/ani15213157
Chicago/Turabian StyleFaye, Bernard, Shynar Akhmetsadykova, Moldir Akhmetzhanova, Zauresh Bilal, Zhaidar Musayev, and Gaukhar Konuspayeva. 2025. "Body Measurements and Body Condition Scoring in Bactrian Camels" Animals 15, no. 21: 3157. https://doi.org/10.3390/ani15213157
APA StyleFaye, B., Akhmetsadykova, S., Akhmetzhanova, M., Bilal, Z., Musayev, Z., & Konuspayeva, G. (2025). Body Measurements and Body Condition Scoring in Bactrian Camels. Animals, 15(21), 3157. https://doi.org/10.3390/ani15213157
 
        



 
       