Effects of Antimicrobial Peptides on the Growth Performance of Squabs Were Investigated Based on Microbiomics and Non-Targeted Metabolomics
Simple Summary
Abstract
1. Introduction
2. Materials and Methods
2.1. Statement of Ethics
2.2. Additives
2.3. Experimental Design and Animals
2.4. Sample Collection
2.5. Antioxidant Capacity
2.6. Digestive Enzyme Activity
2.7. Intestinal Morphology Assays
2.8. Analysis of Gut Microbiota
2.9. Metabolomics Analysis
2.10. Data Statistics and Analysis
3. Results
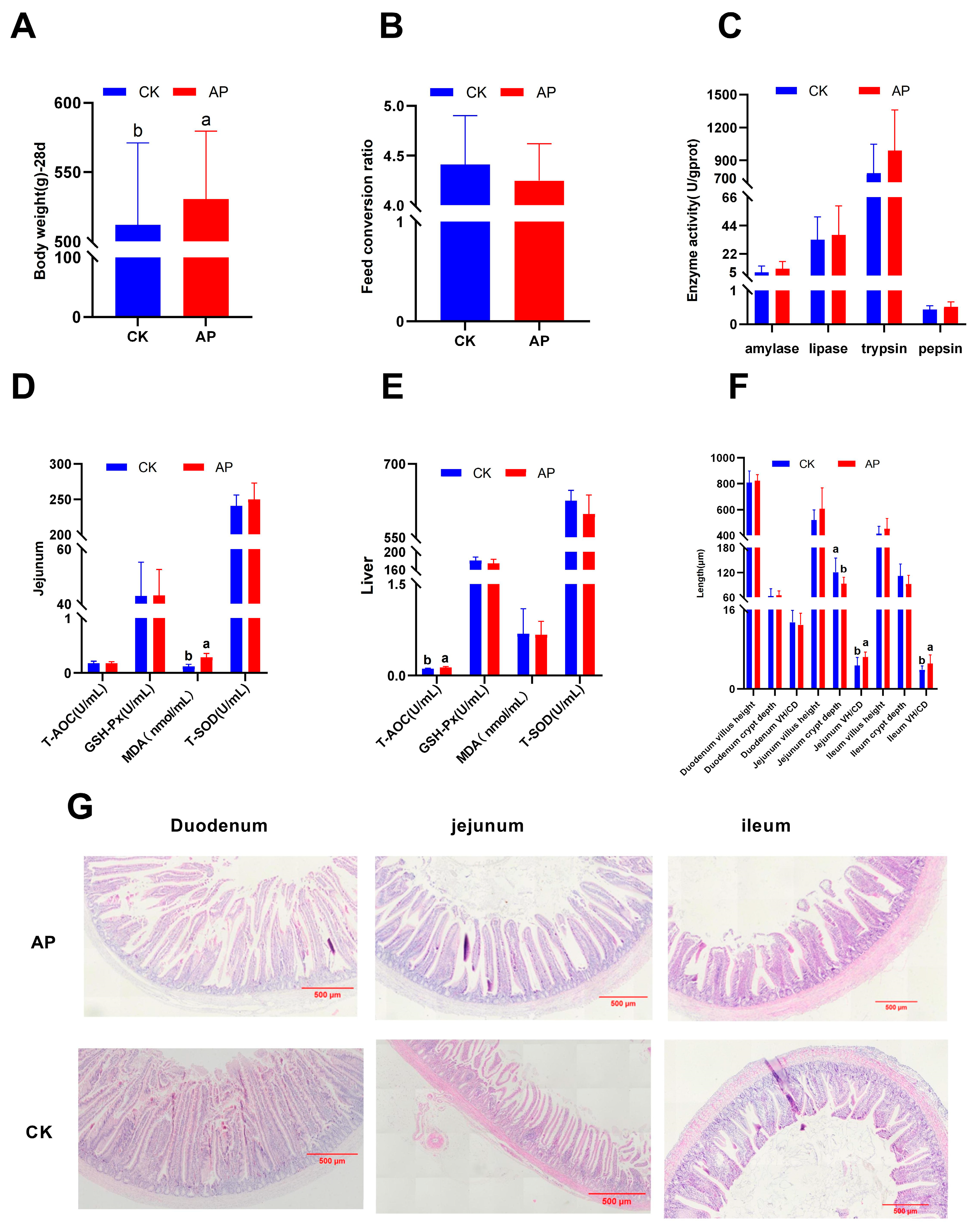
3.1. Growth Performance
3.2. Enzymatic Activity
3.3. Antioxidant Capacity
3.4. Intestinal Morphology
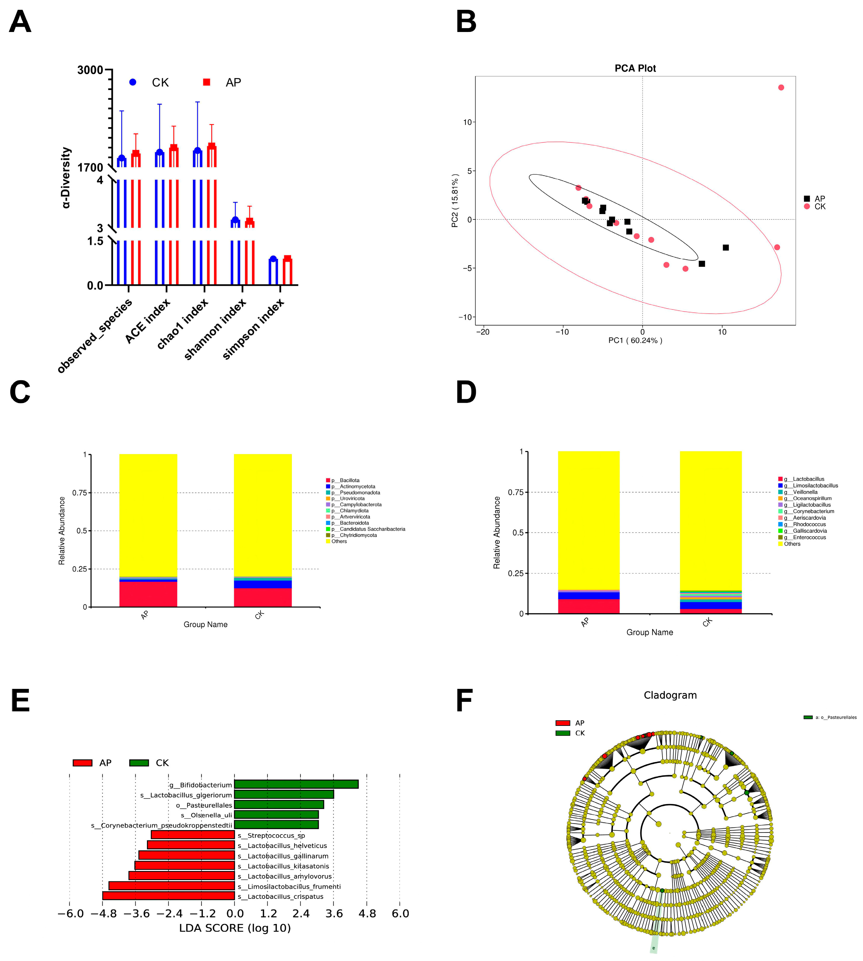
3.5. Analysis of Gut Microbiota
3.5.1. Metagenomic Sequencing Information
3.5.2. Alpha Diversity Analysis
3.5.3. β Diversity Analysis
3.5.4. Analysis of the Difference in Intestinal Microflora Between the AP Group and CK Group
3.5.5. Functional Annotation of Gut Microbiota in Squabs
3.6. Effects of Dietary Antimicrobial Peptides on Ileum Metabolomics of Squabs
3.6.1. Sample Quality Control (QC) Analysis
3.6.2. Partial Least Squares Discriminant Analysis (PLS-DA)
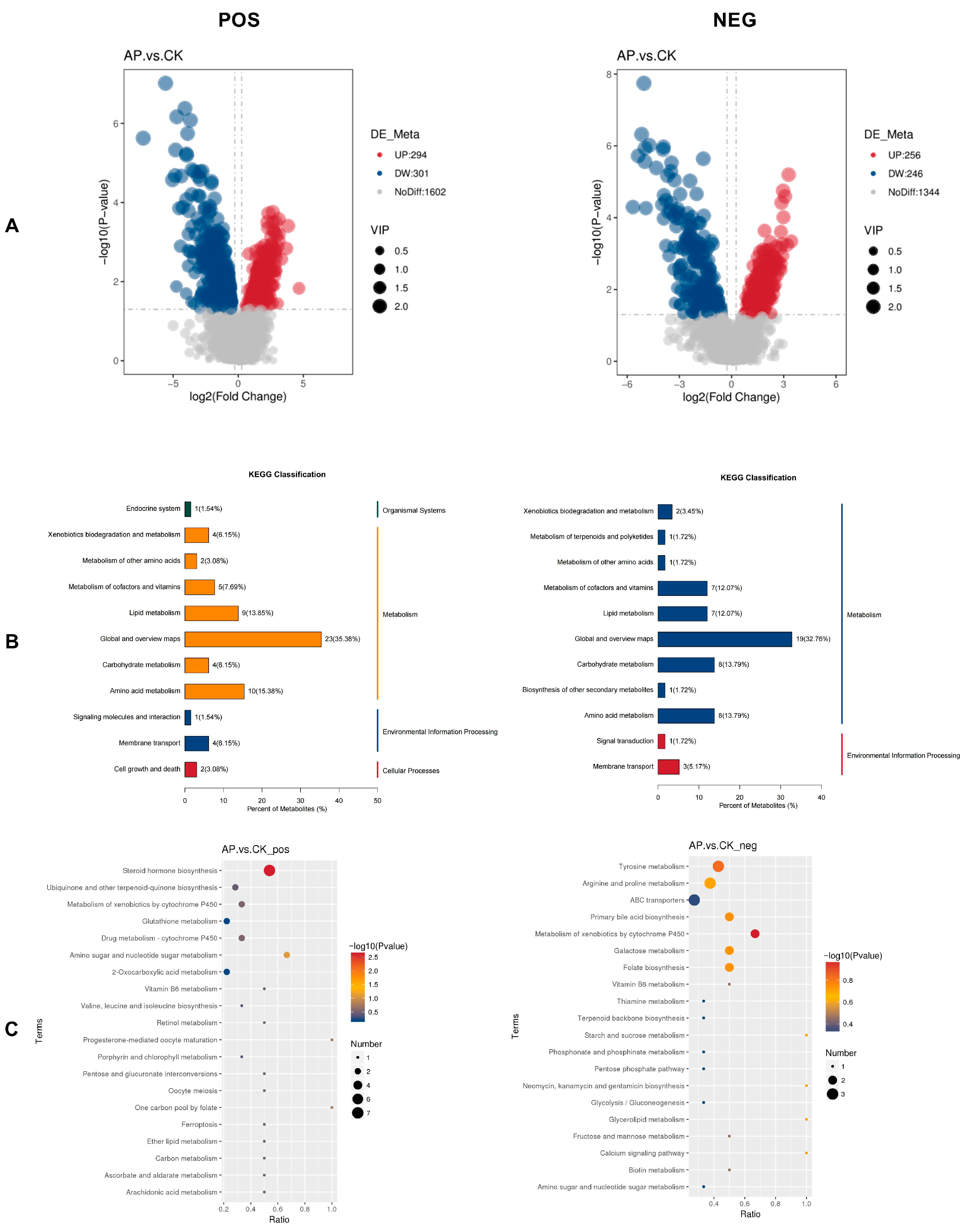
3.6.3. Differential Metabolite Analysis
3.6.4. KEGG Classification and Enrichment Analysis
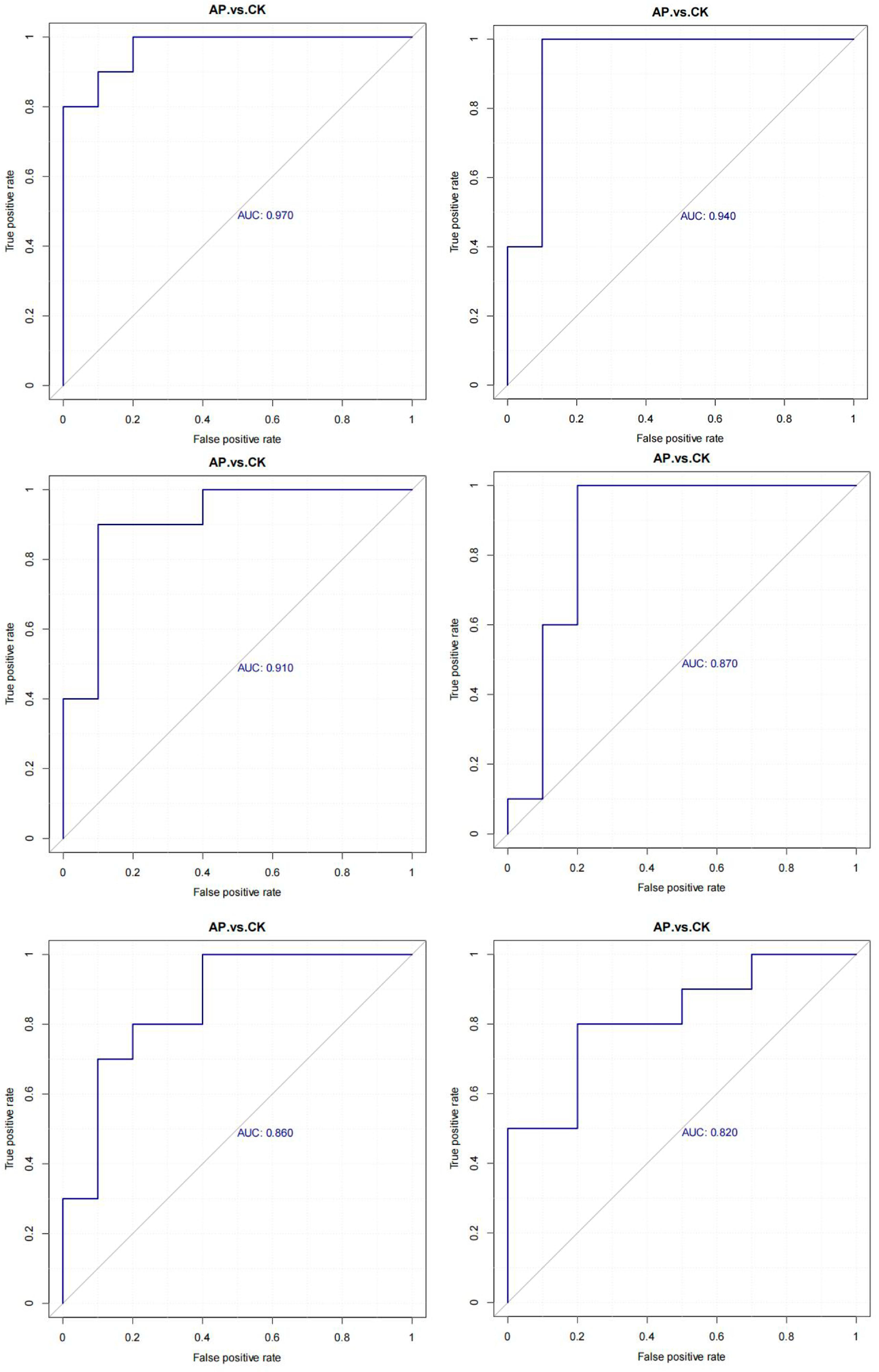
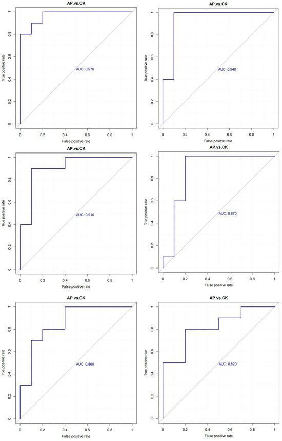
3.6.5. Screening of Marker Metabolites
3.7. Correlation Analysis
4. Discussion
5. Conclusions
Author Contributions
Funding
Institutional Review Board Statement
Informed Consent Statement
Data Availability Statement
Acknowledgments
Conflicts of Interest
References
- Yang, P.; Song, X.; Wu, W.; Zhang, L.; Han, Z.; Wang, X.; Wang, R.; Yang, M.; Zhang, Z. Nutritional profiling of breast muscle: A comparative study between Yuzhong pigeons and European meat pigeons. Food Chem. X 2025, 25, 102157. [Google Scholar] [CrossRef]
- Abd El-Hack, M.E.; El-Saadony, M.T.; Salem, H.M.; El-Tahan, A.M.; Soliman, M.M.; Youssef, G.B.A.; Taha, A.E.; Soliman, S.M.; Ahmed, A.E.; El-Kott, A.F.; et al. Alternatives to antibiotics for organic poultry production: Types, modes of action and impacts on bird’s health and production. Poult. Sci. 2022, 101, 101696. [Google Scholar] [CrossRef]
- Xiao, H.; Shao, F.; Wu, M.; Ren, W.; Xiong, X.; Tan, B.; Yin, Y. The application of antimicrobial peptides as growth and health promoters for swine. J. Anim. Sci. Biotechnol. 2015, 6, 19. [Google Scholar] [CrossRef] [PubMed]
- Ramirez, O.R.; Osuna, G.; Plisson, F.; Barrientos-Salcedo, C. Antimicrobial peptides in livestock: A review with a one health approach. Front. Cell. Infect. Microbiol. 2024, 14, 1339285. [Google Scholar] [CrossRef]
- Wang, C.; Wang, X.; Liu, R.; Min, J.; Yang, X.; Zhang, L. Dietary apidaecin Api-PR19 addition enhances growth performance by regulating gut health and microbiota in broilers. Anim. Biosci. 2024, 37, 1622–1634. [Google Scholar] [CrossRef]
- Qin, J.; Li, R.; Raes, J.; Arumugam, M.; Burgdorf, K.S.; Manichanh, C.; Nielsen, T.; Pons, N.; Levenez, F.; Yamada, T.; et al. A human gut microbial gene catalogue established by metagenomic sequencing. Nature 2010, 464, 59–65. [Google Scholar] [CrossRef]
- Shen, S.; Yang, Y.; Wang, J.; Chen, X.; Liu, T.; Zhuo, Q. Analysis of differences between unifloral honeys from different botanical origins based on non-targeted metabolomics by ultra-high performance liquid chromatography-quadrupole time-of-flight mass spectrometry. Chin. J. Chromatogr. 2021, 39, 291–300. (In Chinese) [Google Scholar] [CrossRef] [PubMed]
- Shang, Y.; Kumar, S.; Oakley, B.; Kim, W.K. Chicken Gut Microbiota: Importance and Detection Technology. Front. Vet. Sci. 2018, 5, 254. [Google Scholar] [CrossRef]
- Sholikin, M.M.; Sadarman, S.; Irawan, A.; Prihambodo, T.R.; Qomariyah, N.; Wahyudi, A.T.; Nomura, J.; Nahrowi, N.; Jayanegara, A. Antimicrobial peptides as an additive in broiler chicken nutrition: A meta-analysis of bird performance, nutrient digestibility and serum metabolites. J. Anim. Feed Sci. 2021, 30, 100–110. [Google Scholar] [CrossRef]
- Gao, S.; Zhang, Q.; Liu, C.; Shen, H.; Wang, J. Effects of maggot antimicrobial peptides on growth performance, immune function, and cecal flora of yellow-feathered broilers. Front. Vet. Sci. 2023, 10, 1156964. [Google Scholar] [CrossRef]
- Tai, H.M.; You, M.F.; Lin, C.H.; Tsai, T.Y.; Pan, C.Y.; Chen, J.Y. Scale-up production of and dietary supplementation with the recombinant antimicrobial peptide tilapia piscidin 4 to improve growth performance in Gallus gallus domesticus. PLoS ONE 2021, 16, e0253661. [Google Scholar] [CrossRef]
- Wu, D.; Fu, L.; Wen, W.; Dong, N. The dual antimicrobial and immunomodulatory roles of host defense peptides and their applications in animal production. J. Anim. Sci. Biotechnol. 2022, 13, 141. [Google Scholar] [CrossRef]
- Luo, J.; Wu, X.; Chen, D.; Yu, B.; He, J. Dietary ferulic acid supplementation enhances antioxidant capacity and alleviates hepatocyte pyroptosis in diquat challenged piglets. J. Anim. Sci. Biotechnol. 2024, 15, 134. [Google Scholar] [CrossRef]
- Sholikin, M.; Wahyudi, A.; Jayanegara, A.; Nomura, J.; Nahrowi, N. A meta-analysis of antimicrobial peptide effects on intestinal bacteria, immune response, and antioxidant activity of broilers. Trop. Anim. Sci. J. 2021, 44, 188–197. [Google Scholar] [CrossRef]
- Tang, Y.T.; Yin, S.G.; Peng, C.F.; Tang, J.Y.; Jia, G.; Che, L.Q.; Liu, G.M.; Tian, G.; Chen, X.L.; Cai, J.Y.; et al. Compound bioengineering protein supplementation improves intestinal health and growth performance of broilers. Poult. Sci. 2023, 102, 103037. [Google Scholar] [CrossRef]
- Xie, Z.; Zhao, Q.; Wang, H.; Wen, L.; Li, W.; Zhang, X.; Lin, W.; Li, H.; Xie, Q.; Wang, Y. Effects of antibacterial peptide combinations on growth performance, intestinal health, and immune function of broiler chickens. Poult. Sci. 2020, 99, 6481–6492. [Google Scholar] [CrossRef] [PubMed]
- Wang, Y.; Li, J.; Dai, X.; Wang, Z.; Ni, X.; Zeng, D.; Zeng, Y.; Zhang, D.; Pan, K. Effects of Antimicrobial Peptides Gal-13 on the Growth Performance, Intestinal Microbiota, Digestive Enzyme Activities, Intestinal Morphology, Antioxidative Activities, and Immunity of Broilers. Probiot. Antimicrob. Proteins 2023, 15, 694–705. [Google Scholar] [CrossRef] [PubMed]
- Cao, H.; Lu, Y.; Zhang, X.; Zhou, J.; Li, F.; Pan, Z.; Xu, S.; Yu, M. Effects of antibacterial peptide microcin J25 on growth performance, antioxidant capacity, intestinal barrier function and intestinal microbiota in pigeon squabs. Ital. J. Anim. Sci. 2024, 23, 427–439. [Google Scholar] [CrossRef]
- Yu, C.; Luo, Y.; Shen, C.; Luo, Z.; Zhang, H.; Zhang, J.; Xu, W.; Xu, J. Correction: Effects of microbe-derived antioxidants on growth performance, hepatic oxidative stress, mitochondrial function and cell apoptosis in weaning piglets. J. Anim. Sci. Biotechnol. 2024, 15, 151. [Google Scholar] [CrossRef]
- Brzoza, P.; Godlewska, U.; Borek, A.; Morytko, A.; Zegar, A.; Kwiecinska, P.; Zabel, B.A.; Osyczka, A.; Kwitniewski, M.; Cichy, J. Redox Active Antimicrobial Peptides in Controlling Growth of Microorganisms at Body Barriers. Antioxidants 2021, 10, 446. [Google Scholar] [CrossRef]
- Vatansever, F.; de Melo, W.C.; Avci, P.; Vecchio, D.; Sadasivam, M.; Gupta, A.; Chandran, R.; Karimi, M.; Parizotto, N.A.; Yin, R.; et al. Antimicrobial strategies centered around reactive oxygen species—Bactericidal antibiotics, photodynamic therapy, and beyond. FEMS Microbiol. Rev. 2013, 37, 955–989. [Google Scholar] [CrossRef] [PubMed]
- Amevor, F.K.; Uyanga, V.A.; Wu, L.; Xu, D.; Shu, G.; Wang, Y.; Zhao, X. Enhancing poultry health and productivity through the liver-gut axis with integrated nutritional and immunological approaches: A mini-review. Front. Physiol. 2025, 16, 1537099. [Google Scholar] [CrossRef] [PubMed]
- Ghareeb, A.F.A.; Schneiders, G.H.; Richter, J.N.; Foutz, J.C.; Milfort, M.C.; Fuller, A.L.; Yuan, J.; Rekaya, R.; Aggrey, S.E. Heat stress modulates the disruptive effects of Eimeria maxima infection on the ileum nutrient digestibility, molecular transporters, and tissue morphology in meat-type chickens. PLoS ONE 2022, 17, e0269131. [Google Scholar] [CrossRef] [PubMed]
- Awad, W.; Ghareeb, K.; Böhm, J. Intestinal Structure and Function of Broiler Chickens on Diets Supplemented with a Synbiotic Containing Enterococcus faecium and Oligosaccharides. Int. J. Mol. Sci. 2008, 9, 2205–2216. [Google Scholar] [CrossRef]
- Rysman, K.; Eeckhaut, V.; Ducatelle, R.; Goossens, E.; Van Immerseel, F. Broiler performance correlates with gut morphology and intestinal inflammation under field conditions. Avian Pathol. 2023, 52, 232–241. [Google Scholar] [CrossRef]
- Zhang, X.; Zhao, Q.; Wen, L.; Wu, C.; Yao, Z.; Yan, Z.; Li, R.; Chen, L.; Chen, F.; Xie, Z.; et al. The Effect of the Antimicrobial Peptide Plectasin on the Growth Performance, Intestinal Health, and Immune Function of Yellow-Feathered Chickens. Front. Vet. Sci. 2021, 8, 688611. [Google Scholar] [CrossRef]
- Dai, Z.; Shang, L.; Wang, F.; Zeng, X.; Yu, H.; Liu, L.; Zhou, J.; Qiao, S. Effects of Antimicrobial Peptide Microcin C7 on Growth Performance, Immune and Intestinal Barrier Functions, and Cecal Microbiota of Broilers. Front. Vet. Sci. 2022, 8, 813629. [Google Scholar] [CrossRef]
- Wang, G.; Song, Q.; Huang, S.; Wang, Y.; Cai, S.; Yu, H.; Ding, X.; Zeng, X.; Zhang, J. Effect of Antimicrobial Peptide Microcin J25 on Growth Performance, Immune Regulation, and Intestinal Microbiota in Broiler Chickens Challenged with Escherichia coli and Salmonella. Animals 2020, 10, 345. [Google Scholar] [CrossRef]
- Evans, E.W.; Beach, F.G.; Moore, K.M.; Jackwood, M.W.; Glisson, J.R.; Harmon, B.G. Antimicrobial activity of chicken and turkey heterophil peptides CHP1, CHP2, THP1, and THP3. Vet. Microbiol. 1995, 47, 295–303. [Google Scholar] [CrossRef]
- Bedford, M.R.; Apajalahti, J.H. The role of feed enzymes in maintaining poultry intestinal health. J. Sci. Food Agric. 2022, 102, 1759–1770. [Google Scholar] [CrossRef]
- Zhu, C.; Bai, Y.; Xia, X.; Zhang, M.; Wu, X.; Wu, Y.; Bai, Y.; Liu, S.; Zhang, G.; Hu, J.; et al. Effects of the Antimicrobial Peptide Mastoparan X on the Performance, Permeability and Microbiota Populations of Broiler Chickens. Animals 2022, 12, 3462. [Google Scholar] [CrossRef] [PubMed]
- Kuzmina, I.V.; Tolpygo, S.M.; Kotov, A.V.; Shoibonov, B.B.; Zamolodchikova, T.S. Basal pancreatic secretion in a comparative aspect in poultry and rodents. Front. Physiol. 2024, 15, 1340130. [Google Scholar] [CrossRef]
- Zhang, J.; Shang, J.; Hao, Y.; Wang, Y.; Cao, Z.; Yang, H.; Wang, W.; Li, S. Growth performance, blood metabolites, ruminal fermentation, and bacterial community in preweaning dairy calves fed corn silage-included starter and total mixed ration. J. Dairy Sci. 2023, 106, 4545–4558. [Google Scholar] [CrossRef]
- Fan, J.; Papadopoulos, V. Evolutionary origin of the mitochondrial cholesterol transport machinery reveals a universal mechanism of steroid hormone biosynthesis in animals. PLoS ONE 2013, 8, e76701. [Google Scholar] [CrossRef]
- Kidd, K.A.; Blanchfield, P.J.; Mills, K.H.; Palace, V.P.; Evans, R.E.; Lazorchak, J.M.; Flick, R.W. Collapse of a fish population after exposure to a synthetic estrogen. Proc. Natl. Acad. Sci. USA 2007, 104, 8897–8901. [Google Scholar] [CrossRef]
- Ren, Y.; Zhou, Q.; Liu, Y.; Wang, Y.; Wang, Q.; Jiang, X.; Yu, Q.; Zhang, H. Effects of estradiol-17β on survival, growth performance, gonadal structure and sex ratio of the tiger puffer, Takifugu rubripes (Temminck & Schlegel, 1850), fingerlings. Aquac. Res. 2018, 49, 1638–1646. [Google Scholar] [CrossRef]
- Wang, H.; Gao, Z.; Beres, B.; Ottobre, J.; Wallat, G.; Tiu, L.; Rapp, D.; O’Bryant, P.; Yao, H. Effects of estradiol-17β on survival, growth performance, sex reversal and gonadal structure of bluegill sunfish Lepomis macrochirus. Aquaculture 2008, 285, 216–223. [Google Scholar] [CrossRef]
- Constantin, N.T.; Bercea-Strugariu, C.M.; Bîrțoiu, D.; Posastiuc, F.P.; Iordache, F.; Bilteanu, L.; Serban, A.I. Predicting Pregnancy Outcome in Dairy Cows: The Role of IGF-1 and Progesterone. Animals 2023, 13, 1579. [Google Scholar] [CrossRef]
- Liu, Y.; Gu, W.; Liu, X.; Zou, Y.; Wu, Y.; Xu, Y.; Han, D.; Wang, J.; Zhao, J. Joint Application of Lactobacillus plantarum and Bacillus subtilis Improves Growth Performance, Immune Function and Intestinal Integrity in Weaned Piglets. Vet. Sci. 2022, 9, 668. [Google Scholar] [CrossRef] [PubMed]
- Vlaming, M.L.; Lagas, J.S.; Schinkel, A.H. Physiological and pharmacological roles of ABCG2 (BCRP): Recent findings in Abcg2 knockout mice. Adv. Drug Deliv. Rev. 2009, 61, 14–25. [Google Scholar] [CrossRef]
- To, K.K.; Ren, S.X.; Wong, C.C.; Cho, C.H. Reversal of ABCG2-mediated multidrug resistance by human cathelicidin and its analogs in cancer cells. Peptides 2013, 40, 13–21. [Google Scholar] [CrossRef]
- Perry, C.A.; Butterick, T.A. Biotin. Adv. Nutr. 2024, 15, 100251. [Google Scholar] [CrossRef] [PubMed]
- Elahi, A.; Sabui, S.; Narasappa, N.N.; Agrawal, S.; Lambrecht, N.W.; Agrawal, A.; Said, H.M. Biotin Deficiency Induces Th1- and Th17-Mediated Proinflammatory Responses in Human CD4+ T Lymphocytes via Activation of the mTOR Signaling Pathway. J. Immunol. 2018, 200, 2563–2570. [Google Scholar] [CrossRef] [PubMed]
- Hayashi, A.; Mikami, Y.; Miyamoto, K.; Kamada, N.; Sato, T.; Mizuno, S.; Naganuma, M.; Teratani, T.; Aoki, R.; Fukuda, S.; et al. Intestinal dysbiosis and biotin deprivation induce alopecia through overgrowth of Lactobacillus murinus in mice. Cell Rep. 2017, 20, 1513–1524. [Google Scholar] [CrossRef]
- Hasan Kadhim, A.; Shamkhi Noor, A.; Amer Ali, M. The Effectiveness of Biotin (Vitamin B7) Added to the Diet in Improving the Efficiency of Productivity, and Some Physiological Traits for Broiler Chickens (Ross-308) Exposed to Oxidative Stress. Arch. Razi Inst. 2022, 77, 1805–1811. [Google Scholar] [CrossRef] [PubMed]
- Zainal, Z.; Rahim, A.A.; Radhakrishnan, A.K.; Chang, S.K.; Khaza’ai, H. Investigation of the curative effects of palm vitamin E tocotrienols on autoimmune arthritis disease in vivo. Sci. Rep. 2019, 9, 16793. [Google Scholar] [CrossRef]
- Lin, S.; Hanson, R.E.; Cronan, J.E. Biotin synthesis begins by hijacking the fatty acid synthetic pathway. Nat. Chem. Biol. 2010, 6, 682–688. [Google Scholar] [CrossRef]
- Höglund, E.; Øverli, Ø.; Winberg, S. Tryptophan Metabolic Pathways and Brain Serotonergic Activity: A Comparative Review. Front. Endocrinol. 2019, 10, 158. [Google Scholar] [CrossRef]
- Hönig, M.; Plíhalová, L.; Husičková, A.; Nisler, J.; Doležal, K. Role of Cytokinins in Senescence, Antioxidant Defence and Photosynthesis. Int. J. Mol. Sci. 2018, 19, 4045. [Google Scholar] [CrossRef]
- Othman, E.M.; Naseem, M.; Awad, E.; Dandekar, T.; Stopper, H. The Plant Hormone Cytokinin Confers Protection against Oxidative Stress in Mammalian Cells. PLoS ONE 2016, 11, e0168386. [Google Scholar] [CrossRef]








| Ingredients (%) | Contents |
|---|---|
| Raw grain | |
| Corn | 25.00 |
| Wheat | 5.00 |
| Pea | 25.00 |
| Sorghum | 5.00 |
| Pellets | |
| Corn | 19.80 |
| Wheat middling | 0.80 |
| NaHCO3 | 0.40 |
| Salt | 0.40 |
| Yeast powder | 2.00 |
| Soybean meal | 12.60 |
| CaHPO4 | 0.60 |
| Met | 0.16 |
| Lys | 0.24 |
| Limestone | 0.80 |
| Soybean oil | 0.40 |
| Premix a | 1.80 |
| Total | 100.00 |
| Nutrient components b | |
| ME/(MJ/kg) | 11.65 |
| CP | 15.72 |
| Ca | 1.20 |
| TP | 0.42 |
| Lys | 0.77 |
| Met | 0.36 |
| Try | 0.14 |
| Ingredients (%) | Contents |
|---|---|
| Medium coarse sand | 40.00 |
| Yellow mud | 18.00 |
| Shell powder | 27.50 |
| Calcined gypsum | 7.00 |
| Charcoal powder | 3.50 |
| Alum | 1.50 |
| Gentian herb | 1.00 |
| Licorice | 1.50 |
| Total | 100.00 |
| Group | Sample ID | Raw_Base (G) | Clean_Base (G) | Clean_Q20 (%) | Clean_Q30 (%) | Clean_GC (%) | Effective (%) |
|---|---|---|---|---|---|---|---|
| AP | G1 | 7.93 | 7.79 | 98.74 | 96.24 | 46.28 | 98.22 |
| G2 | 6.71 | 6.33 | 97.99 | 94.53 | 45.92 | 94.22 | |
| G3 | 6.74 | 6.48 | 98.21 | 95.03 | 44.2 | 96.04 | |
| G4 | 6.21 | 6.07 | 98.55 | 95.75 | 51.92 | 97.78 | |
| G5 | 8.06 | 7.73 | 98.62 | 96.32 | 42.64 | 95.99 | |
| M1 | 6.79 | 6.48 | 97.95 | 94.35 | 43.07 | 95.45 | |
| M2 | 6.72 | 6.29 | 98.08 | 94.73 | 44.39 | 93.63 | |
| M3 | 5.98 | 5.54 | 97.44 | 93.21 | 46.04 | 92.69 | |
| M4 | 6.62 | 6.06 | 97.38 | 93.04 | 43.84 | 91.59 | |
| M5 | 6.06 | 5.68 | 97.81 | 94.17 | 47.06 | 93.75 | |
| CK | G1 | 6.29 | 5.76 | 97.34 | 93.01 | 43.77 | 91.57 |
| G2 | 6.02 | 5.46 | 97.47 | 93.19 | 46.49 | 90.57 | |
| G3 | 6.39 | 6.09 | 98.22 | 95.07 | 43.65 | 95.33 | |
| G4 | 6.53 | 6.44 | 98.65 | 95.94 | 48.53 | 98.65 | |
| G5 | 6.98 | 6.31 | 97.08 | 92.25 | 40.82 | 90.42 | |
| M1 | 6.01 | 5.70 | 97.93 | 94.29 | 44.98 | 94.78 | |
| M2 | 16.60 | 16.07 | 98.06 | 94.65 | 42.79 | 96.85 | |
| M3 | 6.92 | 6.14 | 96.64 | 91.28 | 38.71 | 88.72 | |
| M4 | 7.70 | 6.74 | 97.36 | 92.92 | 45.01 | 87.61 | |
| M5 | 7.71 | 7.60 | 98.63 | 95.89 | 51.36 | 98.48 |
| Group | Sample ID | Total Len (bp) | Scaftigs Num | Average Len (bp) | N50 Len (bp) | N90 Len (bp) | Max Len (bp) |
|---|---|---|---|---|---|---|---|
| AP | G1 | 60,897,103 | 39,928 | 1525.17 | 2705 | 578 | 127,556 |
| G2 | 623,555,062 | 630,296 | 989.31 | 1031 | 577 | 27,385 | |
| G3 | 814,602,016 | 739,192 | 1102.02 | 1214 | 615 | 19,284 | |
| G4 | 58,100,347 | 50,407 | 1152.62 | 1219 | 551 | 117,503 | |
| G5 | 664,421,876 | 717,502 | 926.02 | 943 | 569 | 118,736 | |
| M1 | 755,528,039 | 717,186 | 1053.46 | 1148 | 600 | 93,206 | |
| M2 | 758,593,231 | 707,147 | 1072.75 | 1172 | 603 | 19,734 | |
| M3 | 311,638,073 | 320,710 | 971.71 | 989 | 560 | 30,653 | |
| M4 | 209,248,151 | 230,360 | 908.35 | 888 | 545 | 24,251 | |
| M5 | 438,374,847 | 472,598 | 927.59 | 927 | 557 | 122,336 | |
| CK | G1 | 169,427,565 | 183,488 | 923.37 | 904 | 544 | 27,945 |
| G2 | 247,413,191 | 268,260 | 922.29 | 912 | 551 | 26,724 | |
| G3 | 839,832,737 | 763,720 | 1099.66 | 1214 | 620 | 94,243 | |
| G4 | 80,963,162 | 35,355 | 2290.01 | 4969 | 761 | 299,967 | |
| G5 | 79,022,972 | 96,992 | 814.74 | 764 | 529 | 25,973 | |
| M1 | 635,843,617 | 641,034 | 991.90 | 1044 | 579 | 28,635 | |
| M2 | 1,125,225,214 | 231,721 | 4855.95 | 11,908 | 1966 | 156,136 | |
| M3 | 78,234,598 | 101,301 | 772.30 | 717 | 526 | 16,202 | |
| M4 | 180,885,066 | 207,519 | 871.66 | 837 | 539 | 28,628 | |
| M5 | 68,863,208 | 38,378 | 1794.34 | 3045 | 661 | 279,436 |
Disclaimer/Publisher’s Note: The statements, opinions and data contained in all publications are solely those of the individual author(s) and contributor(s) and not of MDPI and/or the editor(s). MDPI and/or the editor(s) disclaim responsibility for any injury to people or property resulting from any ideas, methods, instructions or products referred to in the content. |
© 2025 by the authors. Licensee MDPI, Basel, Switzerland. This article is an open access article distributed under the terms and conditions of the Creative Commons Attribution (CC BY) license (https://creativecommons.org/licenses/by/4.0/).
Share and Cite
Deng, L.; Yao, Y.; Li, H.; Lu, Q.; Wu, R. Effects of Antimicrobial Peptides on the Growth Performance of Squabs Were Investigated Based on Microbiomics and Non-Targeted Metabolomics. Animals 2025, 15, 3099. https://doi.org/10.3390/ani15213099
Deng L, Yao Y, Li H, Lu Q, Wu R. Effects of Antimicrobial Peptides on the Growth Performance of Squabs Were Investigated Based on Microbiomics and Non-Targeted Metabolomics. Animals. 2025; 15(21):3099. https://doi.org/10.3390/ani15213099
Chicago/Turabian StyleDeng, Lihuan, Yingying Yao, Haiying Li, Qingqing Lu, and Run Wu. 2025. "Effects of Antimicrobial Peptides on the Growth Performance of Squabs Were Investigated Based on Microbiomics and Non-Targeted Metabolomics" Animals 15, no. 21: 3099. https://doi.org/10.3390/ani15213099
APA StyleDeng, L., Yao, Y., Li, H., Lu, Q., & Wu, R. (2025). Effects of Antimicrobial Peptides on the Growth Performance of Squabs Were Investigated Based on Microbiomics and Non-Targeted Metabolomics. Animals, 15(21), 3099. https://doi.org/10.3390/ani15213099

