The Impact of the Lactation Period Gut Microbiota of Two Different Beef Cattle Breeds on Spring-Born Calves
Simple Summary
Abstract
1. Introduction
2. Materials and Methods
2.1. Experimental Design and Sample Collection
2.2. Measurement of Immune Parameters
2.3. Metagenome Sequencing and Bioinformatics Analysis
2.4. Data Statistics and Analysis
3. Results
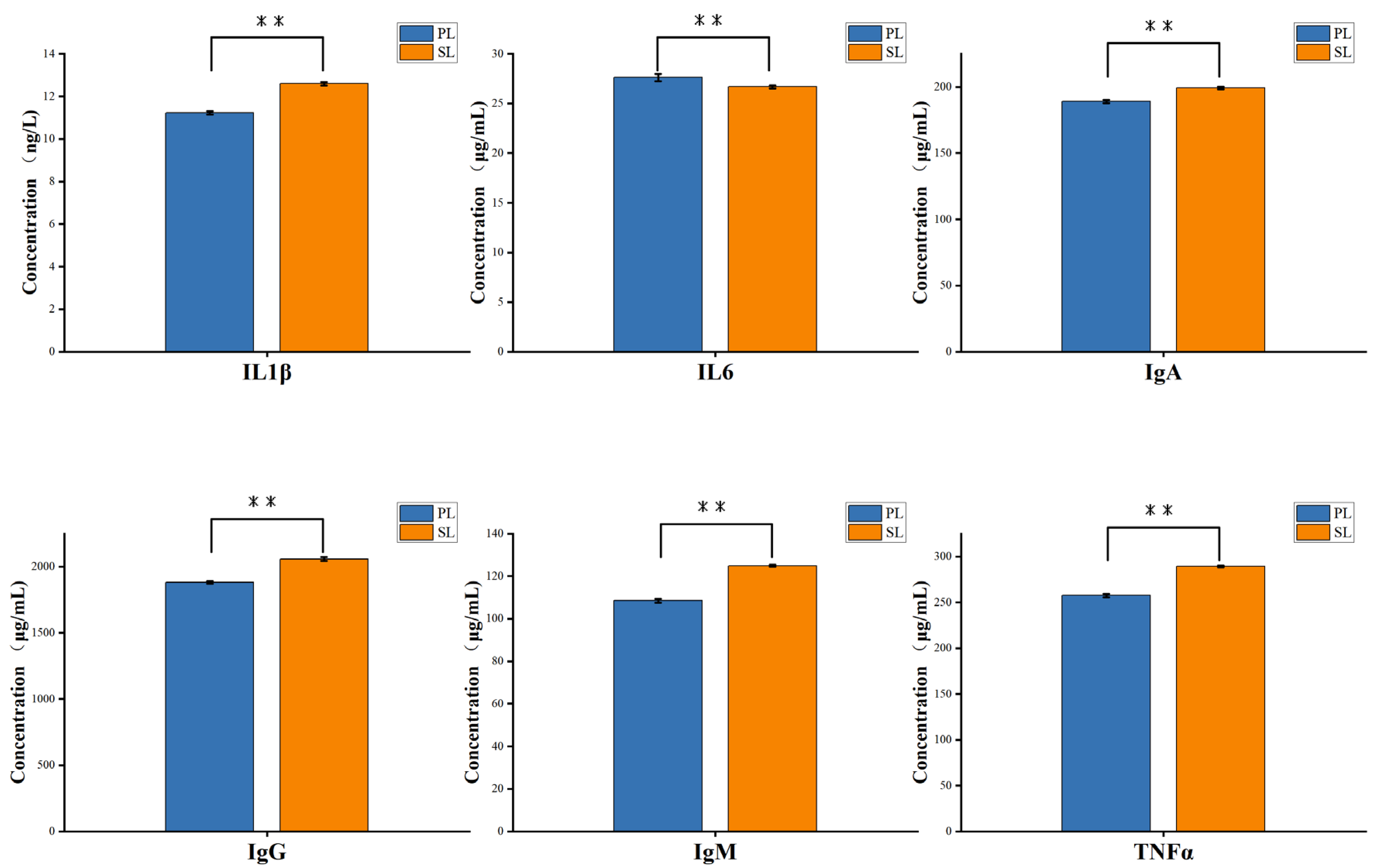
3.1. Differences in Blood Immune Parameters During Lactation Between the Two Beef Cattle Breeds
3.2. Comparison of Microbiota During Lactation Between the Two Beef Cattle Breeds
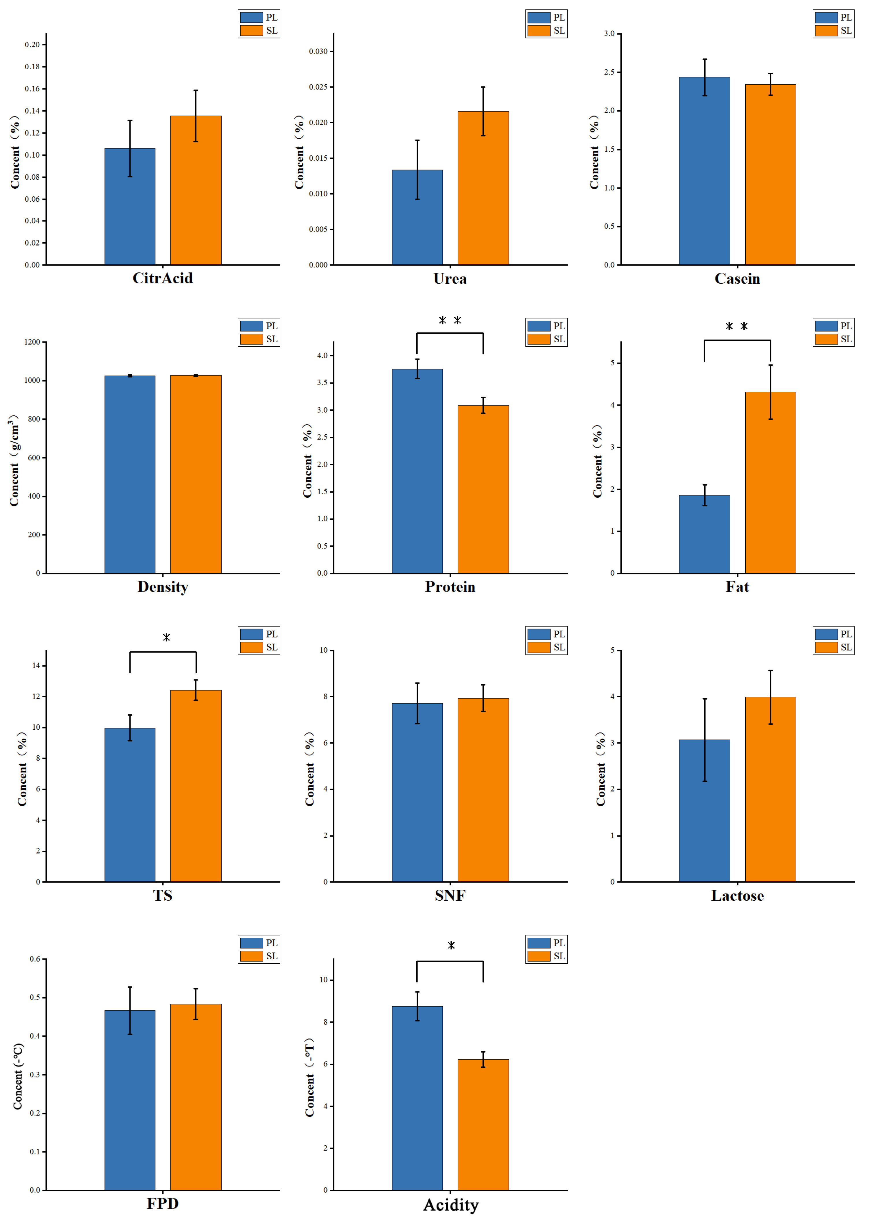
3.3. Differences in Milk Quality During Lactation Between the Two Beef Cattle Breeds
3.4. The Impact of Lactation Microbiota on Maternal Immune Status and Milk Quality
3.5. The Impact of Milk Quality During Lactation on the Pre-Weaning Growth and Development of Calves
3.6. The Relationship Between Lactating Period Microbiota and Calf Growth and Development
4. Discussion
4.1. Differences in Immune Indicators and Their Biological Significance
4.2. Comparison of the Composition and Function of Gut Microbiota
4.3. The Impact of Milk Quality on the Growth and Development of Calves
4.4. Correlation Between Gut Microbiota, Immune Indicators, and Milk Quality
4.5. Correlation Between Milk Quality and Calf Growth and Development
4.6. The Impact of the Maternal Gut Microbiota on the Growth of Calves
5. Conclusions
Supplementary Materials
Author Contributions
Funding
Institutional Review Board Statement
Informed Consent Statement
Data Availability Statement
Acknowledgments
Conflicts of Interest
References
- Pan, C.; Lei, Z.; Wang, S.; Wang, X.; Wei, D.; Cai, X.; Luoreng, Z.; Wang, L.; Ma, Y. Genome-wide identification of cyclin-dependent kinase (CDK) genes affecting adipocyte differentiation in cattle. BMC Genom. 2021, 22, 532. [Google Scholar] [CrossRef] [PubMed]
- Wang, Z.; An, X.; Yang, Y.; Zhang, L.; Jiao, T.; Zhao, S. Comprehensive analysis of the longissimus dorsi transcriptome and metabolome reveals the regulatory mechanism of different varieties of meat quality. J. Agric. Food Chem. 2023, 71, 1234–1245. [Google Scholar] [CrossRef] [PubMed]
- Xu, L.; Luo, H.; Zhang, X.; Lu, H.; Zhang, M.; Ge, J.; Zhang, T.; Yan, M.; Tan, X.; Huang, X. Factor analysis of genetic parameters for body conformation traits in dual-purpose Simmental cattle. Animals 2022, 12, 2433. [Google Scholar] [CrossRef]
- Estrada, R.; Romero, Y.; Figueroa, D.; Coila, P.; Hañari-Quispe, R.D.; Aliaga, M.; Galindo, W.; Alvarado, W.; Casanova, D.; Quilcate, C. Effects of Age in Fecal Microbiota and Correlations with Blood Parameters in Genetic Nucleus of Cattle. Microorganisms 2024, 12, 1331. [Google Scholar] [CrossRef] [PubMed]
- Ellis, R.J.; Bruce, K.D.; Jenkins, C.; Stothard, J.R.; Ajarova, L.; Mugisha, L.; Viney, M.E. Comparison of the distal gut microbiota from people and animals in Africa. PLoS ONE 2013, 8, e54783. [Google Scholar] [CrossRef] [PubMed]
- Liu, H.; Wang, H.H. Impact of microbiota transplant on resistome of gut microbiota in gnotobiotic piglets and human subjects. Front. Microbiol. 2020, 11, 932. [Google Scholar] [CrossRef]
- Wang, S.; Chen, L.; He, M.; Shen, J.; Li, G.; Tao, Z.; Wu, R.; Lu, L. Different rearing conditions alter gut microbiota composition and host physiology in Shaoxing ducks. Sci. Rep. 2018, 8, 7387. [Google Scholar] [CrossRef] [PubMed]
- Suárez-Martínez, C.; Santaella-Pascual, M.; Yagüe-Guirao, G.; Martínez-Graciá, C. Infant gut microbiota colonization: Influence of prenatal and postnatal factors, focusing on diet. Front. Microbiol. 2023, 14, 1236254. [Google Scholar] [CrossRef] [PubMed]
- Feng, T.; Liu, Y. Microorganisms in the reproductive system and probiotic’s regulatory effects on reproductive health. Comput. Struct. Biotechnol. J. 2022, 20, 1541–1553. [Google Scholar] [CrossRef] [PubMed]
- Sánchez-Soto, E.; Ponce-Ramos, R.; Hernández-Gutiérrez, R.; Gutiérrez-Ortega, A.; Álvarez, A.H.; Martínez-Velázquez, M.; Absalón, A.E.; Ortiz-Lazareno, P.; Limón-Flores, A.; Estrada-Chávez, C. Colostrum proinflammatory cytokines as biomarkers of bovine immune response to bovine tuberculosis (bTB). Microb. Pathog. 2017, 103, 57–64. [Google Scholar] [CrossRef] [PubMed]
- Dillon, P.; Buckley, F.; O’Connor, P.; Hegarty, D.; Rath, M. A comparison of different dairy cow breeds on a seasonal grass-based system of milk production: 1. Milk production, live weight, body condition score and DM intake. Livest. Prod. Sci. 2003, 83, 21–33. [Google Scholar] [CrossRef]
- Plaizier, J.; Mesgaran, M.D.; Derakhshani, H.; Golder, H.; Khafipour, E.; Kleen, J.; Lean, I.; Loor, J.; Penner, G.; Zebeli, Q. Enhancing gastrointestinal health in dairy cows. Animal 2018, 12, s399–s418. [Google Scholar] [CrossRef] [PubMed]
- Manoppo, J.I.C.; Nurkolis, F.; Gunawan, W.B.; Limen, G.A.; Rompies, R.; Heroanto, J.P.; Natanael, H.; Phan, S.; Tanjaya, K. Functional sterol improves breast milk quality by modulating the gut microbiota: A proposed opinion for breastfeeding mothers. Front. Nutr. 2022, 9, 1018153. [Google Scholar] [CrossRef]
- Yang, M.; Zou, Y.; Wu, Z.; Li, S.; Cao, Z. Colostrum quality affects immune system establishment and intestinal development of neonatal calves. J. Dairy Sci. 2015, 98, 7153–7163. [Google Scholar] [CrossRef] [PubMed]
- Diddeniya, G.; Ghaffari, M.H.; Hernandez-Sanabria, E.; Malmuthuge, N. Invited Review: Impact of Maternal Health and Nutrition on the Microbiome and Immune Development of Neonatal Calves. J. Dairy Sci. 2024, 107, 7504–7519. [Google Scholar] [CrossRef] [PubMed]
- Hu, G.-G.; Liu, J.; Wang, Y.-H.; Yang, Z.-N.; Shao, H.-B. Applications of plant protein in the dairy industry. Foods 2022, 11, 1067. [Google Scholar] [CrossRef] [PubMed]
- Coker, M.O.; Laue, H.E.; Hoen, A.G.; Hilliard, M.; Dade, E.; Li, Z.; Palys, T.; Morrison, H.G.; Baker, E.; Karagas, M.R. Infant feeding alters the longitudinal impact of birth mode on the development of the gut microbiota in the first year of life. Front. Microbiol. 2021, 12, 642197. [Google Scholar] [CrossRef] [PubMed]
- Chen, S.; Zhou, Y.; Chen, Y.; Gu, J. Fastp: An ultra-fast all-in-one FASTQ preprocessor. Bioinformatics 2018, 34, i884–i890. [Google Scholar] [CrossRef] [PubMed]
- Langmead, B.; Salzberg, S.L. Fast gapped-read alignment with Bowtie 2. Nat. Methods 2012, 9, 357–359. [Google Scholar] [CrossRef] [PubMed]
- Li, D.; Liu, C.-M.; Luo, R.; Sadakane, K.; Lam, T.-W. MEGAHIT: An ultra-fast single-node solution for large and complex metagenomics assembly via succinct de Bruijn graph. Bioinformatics 2015, 31, 1674–1676. [Google Scholar] [CrossRef] [PubMed]
- Yang, L.-A.; Chang, Y.-J.; Chen, S.-H.; Lin, C.-Y.; Ho, J.-M. SQUAT: A Sequencing Quality Assessment Tool for data quality assessments of genome assemblies. BMC Genom. 2019, 19, 238. [Google Scholar] [CrossRef] [PubMed]
- Steinegger, M.; Söding, J. MMseqs2 enables sensitive protein sequence searching for the analysis of massive data sets. Nat. Biotechnol. 2017, 35, 1026–1028. [Google Scholar] [CrossRef] [PubMed]
- Cantarel, B.L.; Coutinho, P.M.; Rancurel, C.; Bernard, T.; Lombard, V.; Henrissat, B. The Carbohydrate-Active EnZymes database (CAZy): An expert resource for glycogenomics. Nucleic Acids Res. 2009, 37, D233–D238. [Google Scholar] [CrossRef] [PubMed]
- Deng, Y.; Li, J.; Wu, S.; Zhu, Y.; Chen, Y.; He, F. Integrated nr database in protein annotation system and its localization. Comput. Eng 2006, 32, 71–72. [Google Scholar]
- Kanehisa, M.; Goto, S.; Kawashima, S.; Okuno, Y.; Hattori, M. The KEGG resource for deciphering the genome. Nucleic Acids Res. 2004, 32, D277–D280. [Google Scholar] [CrossRef]
- Moore, A.; Beidler, J.; Hong, M.Y. Resveratrol and depression in animal models: A systematic review of the biological mechanisms. Molecules 2018, 23, 2197. [Google Scholar] [CrossRef] [PubMed]
- Tanaka, T.; Narazaki, M.; Kishimoto, T. IL-6 in Inflammation, Immunity, and Disease. Cold Spring Harb. Perspect. Biol. 2014, 6, a016295. [Google Scholar] [CrossRef] [PubMed]
- Verhoef, P.A.; Kannan, S.; Sturgill, J.L.; Tucker, E.W.; Morris, P.E.; Miller, A.C.; Sexton, T.R.; Koyner, J.L.; Hejal, R.; Brakenridge, S.C. Severe acute respiratory syndrome–associated coronavirus 2 infection and organ dysfunction in the ICU: Opportunities for translational research. Crit. Care Explor. 2021, 3, e0374. [Google Scholar] [CrossRef] [PubMed]
- Wang, Q.; Zhang, Y.; Zheng, N.; Guo, L.; Song, X.; Zhao, S.; Wang, J. Biological system responses of dairy cows to aflatoxin B1 exposure revealed with metabolomic changes in multiple biofluids. Toxins 2019, 11, 77. [Google Scholar] [CrossRef] [PubMed]
- Wang, S.; Bai, M.; Xu, K.; Shao, Y.; Yang, Z.; Xiong, X.; Huang, R.; Li, Y.; Liu, H. Effects of coated cysteamine on oxidative stress and inflammation in weaned pigs. Animals 2021, 11, 2217. [Google Scholar] [CrossRef]
- Kuriakose, A.; Chirmule, N.; Nair, P. Immunogenicity of biotherapeutics: Causes and association with posttranslational modifications. J. Immunol. Res. 2016, 2016, 1298473. [Google Scholar] [CrossRef] [PubMed]
- Mekonnen, Y.T.; Savini, F.; Indio, V.; Seguino, A.; Giacometti, F.; Serraino, A.; Candela, M.; De Cesare, A. Systematic review on microbiome-related nutritional interventions interfering with the colonization of foodborne pathogens in broiler gut to prevent contamination of poultry meat. Poult. Sci. 2024, 103607. [Google Scholar] [CrossRef] [PubMed]
- Elolimy, A.; Alharthi, A.; Zeineldin, M.; Parys, C.; Loor, J.J. Residual feed intake divergence during the preweaning period is associated with unique hindgut microbiome and metabolome profiles in neonatal Holstein heifer calves. J. Anim. Sci. Biotechnol. 2020, 11, 13. [Google Scholar] [CrossRef] [PubMed]
- Li, F.; Li, C.; Chen, Y.; Liu, J.; Guan, L.L. Host genetics influence the rumen microbiota and heritable rumen microbial features associate with feed efficiency in cattle. Microbiome 2019, 7. [Google Scholar] [CrossRef] [PubMed]
- Han, Y.; Xu, X.; Wang, J.; Cai, H.; Li, D.; Zhang, H.; Yang, P.; Meng, K. Dietary Bacillus licheniformis shapes the foregut microbiota, improving nutrient digestibility and intestinal health in broiler chickens. Front. Microbiol. 2023, 14, 1113072. [Google Scholar] [CrossRef]
- Carrillo Heredero, A.M.; Sabbioni, A.; Asti, V.; Ablondi, M.; Summer, A.; Bertini, S. Fecal microbiota characterization of an Italian local horse breed. Front. Vet. Sci. 2024, 11, 1236476. [Google Scholar] [CrossRef] [PubMed]
- Dunière, L.; Esparteiro, D.; Lebbaoui, Y.; Ruiz, P.; Bernard, M.; Thomas, A.; Durand, D.; Forano, E.; Chaucheyras-Durand, F. Changes in digestive microbiota, rumen fermentations and oxidative stress around parturition are alleviated by live yeast feed supplementation to gestating ewes. J. Fungi 2021, 7, 447. [Google Scholar] [CrossRef] [PubMed]
- Li, W.; Zhou, Z.; Li, H.; Wang, S.; Ren, L.; Hu, J.; Liu, Q.; Wu, C.; Tang, C.; Hu, F. Successional changes of microbial communities and host-microbiota interactions contribute to dietary adaptation in allodiploid hybrid fish. Microb. Ecol. 2023, 85, 1190–1201. [Google Scholar] [CrossRef] [PubMed]
- Mu, R.; Li, S.; Zhang, Y.; Li, Y.; Zhu, Y.; Zhao, F.; Si, H.; Li, Z. Microbiota and Metabolite Profiles in the Feces of Juvenile Sika Deer (Cervus nippon) from Birth to Weaning. Animals 2024, 14, 432. [Google Scholar] [CrossRef]
- Shi, J.; Lei, Y.; Wu, J.; Li, Z.; Zhang, X.; Jia, L.; Wang, Y.; Ma, Y.; Zhang, K.; Cheng, Q. Antimicrobial peptides act on the rumen microbiome and metabolome affecting the performance of castrated bulls. J. Anim. Sci. Biotechnol. 2023, 14, 31. [Google Scholar] [CrossRef] [PubMed]
- Bhattacharya, A.; Bhattacharya, A. Effect of Soil Water Deficit on Nitrogen Metabolism in Plants: A Review. In Soil Water Deficit and Physiological Issues in Plants; Springer: Singapore, 2021; pp. 193–285. [Google Scholar]
- Sepúlveda, M.G.C. Production of Recombinant Carbohydrate-Binding Modules in Pichia Pastoris and Their Application in the Modification of Paper Fibers. Master’s Thesis, Universidade do Minho (Portugal), Braga, Portugal, 2014. [Google Scholar]
- Gibeaut, D.M. Nucleotide sugars and glycosyltransferases for synthesis of cell wall matrix polysaccharides. Plant Physiol. Biochem. 2000, 38, 69–80. [Google Scholar] [CrossRef]
- Colas, C.; Venturi, E.; Saget, M.; Métivier, L.; Briant, E.; Dupont, M.; Georget, D.; Daudon, M.; Ramé, C.; Elleboudt, F. Multiparameter growth-performance monitoring of Holstein dairy heifers fed on moderate-or high-energy feeding plans from birth to puberty. PLoS ONE 2024, 19, e0314015. [Google Scholar] [CrossRef]
- Kholif, A.E.; Gouda, G.A.; Olafadehan, O.A.; Sallam, S.M.; Anele, U.Y. Chapter 3—Acidifiers and Organic Acids in Livestock Nutrition and Health; Elsevier: Amsterdam, The Netherlands, 2025. [Google Scholar]
- Ravikanth Reddy, P.; Yasaswini, D.; Reddy, P.P.R.; Hyder, I.; Kumar, D.S. Feed Additives for Calves: A Brief Insight on Their Classification and Applications. In Feed Additives and Supplements for Ruminants; Springer: Singapore, 2024; pp. 301–335. [Google Scholar]
- Drackley, J.K. Calf nutrition from birth to breeding. Vet. Clin. N. Am. Food Anim. Pract. 2008, 24, 55–86. [Google Scholar] [CrossRef] [PubMed]
- Khan, M.; Lee, H.; Lee, W.; Kim, H.; Ki, K.; Hur, T.; Suh, G.; Kang, S.; Choi, Y. Structural growth, rumen development, and metabolic and immune responses of Holstein male calves fed milk through step-down and conventional methods. J. Dairy Sci. 2007, 90, 3376–3387. [Google Scholar] [CrossRef] [PubMed]
- Teng, Y.; Zhao, D.; Yan, C.; Ren, X.; Wang, A.; Xia, X. Pasteurized Akkermansia muciniphila improves immunity and relieves other toxic effects in 5-fluorouracil treated BALB/c mice. Food Biosci. 2024, 59, 103918. [Google Scholar] [CrossRef]
- Hardy, H.; Harris, J.; Lyon, E.; Beal, J.; Foey, A.D. Probiotics, prebiotics and immunomodulation of gut mucosal defences: Homeostasis and immunopathology. Nutrients 2013, 5, 1869–1912. [Google Scholar] [CrossRef] [PubMed]
- Shen, H.; Xu, Z.; Shen, Z.; Lu, Z. The regulation of ruminal short-chain fatty acids on the functions of rumen barriers. Front. Physiol. 2019, 10, 1305. [Google Scholar] [CrossRef] [PubMed]
- Ma, J.; Piao, X.; Mahfuz, S.; Long, S.; Wang, J. The interaction among gut microbes, the intestinal barrier and short chain fatty acids. Anim. Nutr. 2022, 9, 159–174. [Google Scholar] [CrossRef]
- Yu, Y.; Fu, R.; Jin, C.; Gao, H.; Han, L.; Fu, B.; Qi, M.; Li, Q.; Suo, Z.; Leng, J. Regulation of Milk Fat Synthesis: Key Genes and Microbial Functions. Microorganisms 2024, 12, 2302. [Google Scholar] [CrossRef]
- Huang, Q.; Xiao, Y.; Sun, P. Rumen–mammary gland axis and bacterial extracellular vesicles: Exploring a new perspective on heat stress in dairy cows. Anim. Nutr. 2024, 19, 70–75. [Google Scholar] [CrossRef] [PubMed]
- Flint, H.J.; Duncan, S.H.; Scott, K.P.; Louis, P. Links between diet, gut microbiota composition and gut metabolism. Proc. Nutr. Soc. 2015, 74, 13–22. [Google Scholar] [CrossRef]
- Zhuang, Y.; Liu, S.; Gao, D.; Xu, Y.; Jiang, W.; Hou, G.; Li, S.; Zhao, X.; Chen, T.; Li, S. Maternal gastrointestinal microbiome shapes gut microbial function and resistome of newborns in a cow-to-calf model. Microbiome 2024, 12, 216. [Google Scholar] [CrossRef] [PubMed]
- Chen, W.; Mi, J.; Lv, N.; Gao, J.; Cheng, J.; Wu, R.; Ma, J.; Lan, T.; Liao, X. Lactation stage-dependency of the sow milk microbiota. Front. Microbiol. 2018, 9, 945. [Google Scholar] [CrossRef]
- Zhang, J.; Li, F.; Na, R.; Bai, X.; Ma, Y.; Yang, Y.; Ma, Y.; Wang, X. The Effect of Replacing Whole-Plant Corn Silage with Daylily on the Growth Performance, Slaughtering Performance, Muscle Amino Acid Composition, and Blood Composition of Tan Sheep. Animals 2023, 13, 3493. [Google Scholar] [CrossRef]
- Sharma, M.; Shelly, M. Significance of Protein Metabolism and Other Factors in Milk Production in Dairy Animals. In Proceedings of the Souvenir for 4th National Conference, Jabalpur, India, 1–3 March 2024. [Google Scholar]
- Ravindran, V.; Kornegay, E. Acidification of weaner pig diets: A review. J. Sci. Food Agric. 1993, 62, 313–322. [Google Scholar] [CrossRef]
- Parker, B.J.; Wearsch, P.A.; Veloo, A.C.; Rodriguez-Palacios, A. The genus Alistipes: Gut bacteria with emerging implications to inflammation, cancer, and mental health. Front. Immunol. 2020, 11, 906. [Google Scholar] [CrossRef]
- Blaak, E.; Canfora, E.; Theis, S.; Frost, G.; Groen, A.; Mithieux, G.; Nauta, A.; Scott, K.; Stahl, B.; Van Harsselaar, J. Short chain fatty acids in human gut and metabolic health. Benef. Microbes 2020, 11, 411–455. [Google Scholar] [CrossRef] [PubMed]
- Tan, J.; McKenzie, C.; Potamitis, M.; Thorburn, A.N.; Mackay, C.R.; Macia, L. The role of short-chain fatty acids in health and disease. Adv. Immunol. 2014, 121, 91–119. [Google Scholar]
- Flint, H.J.; Scott, K.P.; Duncan, S.H.; Louis, P.; Forano, E. Microbial degradation of complex carbohydrates in the gut. Gut Microbes 2012, 3, 289–306. [Google Scholar] [CrossRef]
- Liu, J.; Ahmad, A.A.; Yang, C.; Zhang, J.; Zheng, J.; Liang, Z.; Wang, F.; Zhai, H.; Qin, S.; Yang, F. Modulations in gastrointestinal microbiota during postpartum period fulfill energy requirements and maintain health of lactating Tibetan cattle. Front. Microbiol. 2024, 15, 1369173. [Google Scholar] [CrossRef] [PubMed]
- Liu, K.; Zhang, Y.; Yu, Z.; Xu, Q.; Zheng, N.; Zhao, S.; Huang, G.; Wang, J. Ruminal microbiota–host interaction and its effect on nutrient metabolism. Anim. Nutr. 2021, 7, 49–55. [Google Scholar] [CrossRef]
- Fontoura, A.; Javaid, A.; De La Maza-Escolà, V.S.; Salandy, N.; Fubini, S.; Grilli, E.; McFadden, J. Heat stress develops with increased total-tract gut permeability, and dietary organic acid and pure botanical supplementation partly restores lactation performance in Holstein dairy cows. J. Dairy Sci. 2022, 105, 7842–7860. [Google Scholar] [CrossRef]
- Martin, M.G.; Cordero-Llarena, J.F.; Voy, B.H.; McLean, K.J.; Myer, P.R. The Rumen and Gastrointestinal Microbial Environment and Its Association with Feed Efficiency and Pregnancy in Female Beef Cattle. Appl. Microbiol. 2024, 4, 1422–1433. [Google Scholar] [CrossRef]
- Wang, Z. Discovery and Characterization of Glycoside-Transporters from Uncultured Bacteria. Ph.D. Thesis, INSA de Toulouse, Toulouse, France, 2020. [Google Scholar]






Disclaimer/Publisher’s Note: The statements, opinions and data contained in all publications are solely those of the individual author(s) and contributor(s) and not of MDPI and/or the editor(s). MDPI and/or the editor(s) disclaim responsibility for any injury to people or property resulting from any ideas, methods, instructions or products referred to in the content. |
© 2025 by the authors. Licensee MDPI, Basel, Switzerland. This article is an open access article distributed under the terms and conditions of the Creative Commons Attribution (CC BY) license (https://creativecommons.org/licenses/by/4.0/).
Share and Cite
Chen, C.; Sha, Y.; Zhang, X.; Lu, P.; Gao, J.; Jiao, T.; Zhao, S. The Impact of the Lactation Period Gut Microbiota of Two Different Beef Cattle Breeds on Spring-Born Calves. Animals 2025, 15, 197. https://doi.org/10.3390/ani15020197
Chen C, Sha Y, Zhang X, Lu P, Gao J, Jiao T, Zhao S. The Impact of the Lactation Period Gut Microbiota of Two Different Beef Cattle Breeds on Spring-Born Calves. Animals. 2025; 15(2):197. https://doi.org/10.3390/ani15020197
Chicago/Turabian StyleChen, Changbo, Yuzhu Sha, Xiaoqiang Zhang, Pingle Lu, Jianyuan Gao, Ting Jiao, and Shengguo Zhao. 2025. "The Impact of the Lactation Period Gut Microbiota of Two Different Beef Cattle Breeds on Spring-Born Calves" Animals 15, no. 2: 197. https://doi.org/10.3390/ani15020197
APA StyleChen, C., Sha, Y., Zhang, X., Lu, P., Gao, J., Jiao, T., & Zhao, S. (2025). The Impact of the Lactation Period Gut Microbiota of Two Different Beef Cattle Breeds on Spring-Born Calves. Animals, 15(2), 197. https://doi.org/10.3390/ani15020197

