Physiological Responses and Histopathological Changes in Narrow-Clawed Crayfish (Pontastacus leptodactylus) Under Acute Thermal Stress
Simple Summary
Abstract
1. Introduction
2. Materials and Methods
2.1. Ethics Statement
2.2. Experimental Animals and Rearing Conditions
2.3. Experimental Design, and Sampling
2.4. Histopathological Examination
2.5. Analysis of Biochemistry and Antioxidant Capacity
2.6. RNA Extraction, Library Preparation, and Sequencing
2.7. De Novo Assembly, Unigene Annotation, and Enrichment Analysis
2.8. Statistical Analysis
3. Results
3.1. Survival Rate
3.2. Histological Changes in Hepatopancreas Following Acute Thermal Stress
3.3. Biochemical Parameters and Antioxidant Capacity
3.3.1. Biochemical Parameters
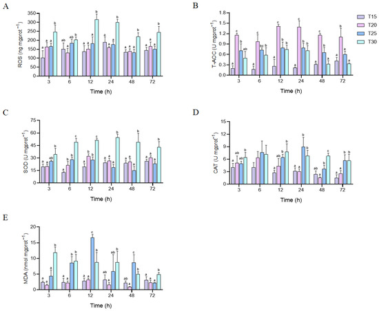
3.3.2. Antioxidant Capacity
3.4. Comparative Transcriptome Analysis
3.4.1. Quantitative Analysis of DEGs in Hepatopancreas of the Narrow-Clawed Crayfish Under Acute Thermal Stress
3.4.2. Enrichment Analysis of DEGs in Hepatopancreas of the Narrow-Clawed Crayfish Under Acute Thermal Stress
4. Discussion
4.1. How Does Thermal Stress Affect the Structure and Cellular Functions of the Hepatopancreas?
4.2. How Does Acute Thermal Stress Disrupt Energy Homeostasis and Metabolism in P. leptodactylus?
4.3. How Does the Antioxidant System Navigate the Escalating ROS Burden Under Acute Thermal Stress?
4.4. What Transcriptomic Insights Unravel the Molecular Responses to Acute Thermal Stress in P. leptodactylus?
5. Conclusions
Author Contributions
Funding
Institutional Review Board Statement
Informed Consent Statement
Data Availability Statement
Conflicts of Interest
References
- Alvanou, M.V.; Feidantsis, K.; Lattos, A.; Stoforiadi, A.; Apostolidis, A.P.; Michaelidis, B.; Giantsis, I.A. Influence of temperature on embryonic development of Pontastacus leptodactylus freshwater crayfish, and characterization of growth and osmoregulation related genes. BMC Zool. 2024, 9, 8. [Google Scholar] [CrossRef]
- Nuc, Z.; Brusotti, G.; Catenacci, L.; Grenha, A.; Pontes, J.F.; Pinto da Silva, J.; Rosa da Costa, A.M.; Moro, P.; Milanese, C.; Grisoli, P.; et al. Pontastacus leptodactylus (Eschscholtz, 1823) and Faxonius limosus (Rafinesque, 1817) as New, Alternative Sources of Chitin and Chitosan. Water 2023, 15, 3024. [Google Scholar] [CrossRef]
- Farhadi, A.; Harlıoğlu, M.M.; Gür, S.; Acısu, T.C. Optimization of the incubation time and temperature for spermatozoa extraction in freshwater crayfish Pontastacus leptodactylus (Eschscholtz, 1823). Anim. Reprod. Sci. 2018, 193, 153–157. [Google Scholar] [CrossRef] [PubMed]
- Ölçülü, A.; Kumlu, M.; Yilmaz, H.A.; EroldoĞAn, O.T. Thermal Tolerance of Turkish Crayfish (Astacus leptodactylus) Acclimated to Three Different Temperatures. J. Limnol. Freshw. Fish. Res. 2019, 5, 1–5. [Google Scholar] [CrossRef]
- Berber, S.; Acarlı, S.; Bayraklı, B.; Kale, S.; Kızılkaya, B.; Vural, P.; Acarlı, D. Monthly variation of fatty acids, lipid quality index and metal content of Pontastacus leptodactylus (Eschscholtz, 1823) in Atikhisar Dam Lake (Çanakkale, Türkiye). Environ. Sci. Pollut. Res. 2024, 31, 27014–27036. [Google Scholar] [CrossRef]
- Hamdi Aydın, M.K.D. Effects of different water temperatures on the hatching tine and survival rates of the freshwater crayfish Astacus leptodactylus (Esch., 1823) eggs. Turk. J. Fish. Aquat. Sci. 2004, 4, 75–79. [Google Scholar]
- Hesni, M.A.; Shabanipour, N.; Zahmatkesh, A.; Toutouni, M.M. Effects of temperature and salinity on survival and moulting of the narrow-clawed crayfish, Astacus leptodactylus Eschscholtz, 1823 (Decapoda, Astacidea). Crustaceana 2009, 82, 1495–1507. [Google Scholar] [CrossRef]
- Kır, M.; Çınar, İ.E.; Sunar, M.C.; Topuz, M. Acclimation, thermal tolerance and aerobic metabolism of narrow-clawed crayfish, Pontastacus leptodactylus (Eschscholtz, 1823). J. Therm. Biol. 2025, 127, 104045. [Google Scholar] [CrossRef]
- Harlıoğlu, M.M. A comparison of the growth and survival of two freshwater crayfish species, Astacus leptodactylus Eschscholtz and Pacifastacus leniusculus (Dana), under different temperature and density regimes. Aquac. Int. 2009, 17, 31–43. [Google Scholar] [CrossRef]
- Gan, Y.; Wang, Y.; Yu, F.; Xiao, Q.; Luo, X.; Han, Z.; Ke, J.; You, W.; Ke, C. Genotype by environment interactions for productive traits of purebred and crossbred abalone strains under different rearing modes. Aquaculture 2023, 563, 738966. [Google Scholar] [CrossRef]
- Zhang, J.; Wang, Y.; Gan, Y.; Hong, J.; Ke, J.; You, W.; Chen, Y.; Luo, X.; Ke, C. Changes in water temperature: The effect of triploid performance in Pacific abalone (Haliotis discus hannai). Aquaculture 2024, 585, 740701. [Google Scholar] [CrossRef]
- Gao, X.; Zhang, M.; Luo, X.; You, W.; Ke, C. Transitions, challenges and trends in China’s abalone culture industry. Rev. Aquac. 2022, 15, 1274–1293. [Google Scholar] [CrossRef]
- Li, A.; Li, J.; Wang, Y.; Liu, Z.; Liu, L.; Liu, L.; Xue, S.; Zhu, L.; Mao, Y. The metabolomics provides insights into the Pacific abalone (Haliotis discus hannai) response to low temperature stress. Heliyon 2024, 10, e40921. [Google Scholar] [CrossRef] [PubMed]
- Gholamhosseini, A.; Banaee, M.; Sureda, A.; Timar, N.; Zeidi, A.; Faggio, C. Physiological response of freshwater crayfish, Astacus leptodactylus exposed to polyethylene microplastics at different temperature. Comp. Biochem. Physiol. Part C Toxicol. Pharmacol. 2023, 267, 109581. [Google Scholar] [CrossRef]
- Liu, E.; Zhao, X.; Li, C.; Wang, Y.; Li, L.; Zhu, H.; Ling, Q. Effects of acute heat stress on liver damage, apoptosis and inflammation of pikeperch (Sander lucioperca). J. Therm. Biol. 2022, 106, 103251. [Google Scholar] [CrossRef]
- Montagna, M.C. Effect of temperature on the survival and growth of freshwater prawns Macrobrachium borellii and Palaemonetes argentinus (Crustacea, Palaemonidae). Iheringia Sér. Zool. 2011, 101, 233–238. [Google Scholar] [CrossRef]
- Jones, C. The Biology and Aquaculture Potential of the Tropical Freshwater Crayfish, Cherax quadricarinatus; Queensland Department of Primary Industries: Brisbane, Australia, 1990; Volume QI90028.
- Wang, W.-N.; Wang, A.-L.; Liu, Y.; Xiu, J.; Liu, Z.-B.; Sun, R.-Y. Effects of temperature on growth, adenosine phosphates, ATPase and cellular defense response of juvenile shrimp Macrobrachium nipponense. Aquaculture 2006, 256, 624–630. [Google Scholar] [CrossRef]
- Madeira, C.; Leal, M.C.; Diniz, M.S.; Cabral, H.N.; Vinagre, C. Thermal stress and energy metabolism in two circumtropical decapod crustaceans: Responses to acute temperature events. Mar. Environ. Res. 2018, 141, 148–158. [Google Scholar] [CrossRef]
- Guo, K.; Ruan, G.; Fan, W.; Wang, Q.; Fang, L.; Luo, J.; Liu, Y. Immune response to acute heat stress in the intestine of the red swamp crayfish, Procambarus clarkii. Fish Shellfish Immunol. 2020, 100, 146–151. [Google Scholar] [CrossRef]
- Luo, L.; Huang, J.-H.; Liu, D.-L.; Jiang, S.-G.; Zhou, F.-L.; Jiang, S.; Yang, Q.-B.; Li, Y.-D.; Li, T.; Tan, L.-Q.; et al. Comparative transcriptome analysis of differentially expressed genes and pathways in Procambarus clarkii (Louisiana crawfish) at different acute temperature stress. Genomics 2022, 114, 110415. [Google Scholar] [CrossRef]
- Ma, S.; Lv, Y.; Hou, L.; Jia, Z.; Lin, S.; Wang, S.; He, X.; Hou, J. Effect of acute temperature stress on energy metabolism, immune performance and gut microbiome of largemouth bass (Micropterus salmoides). Aquac. Fish. 2023, 10, 260–270. [Google Scholar] [CrossRef]
- Islam, M.J.; Kunzmann, A.; Slater, M.J. Responses of aquaculture fish to climate change-induced extreme temperatures: A review. J. World Aquac. Soc. 2022, 53, 314–366. [Google Scholar] [CrossRef]
- Iftikar, F.I.; Hickey, A.J.R. Do Mitochondria Limit Hot Fish Hearts? Understanding the Role of Mitochondrial Function with Heat Stress in Notolabrus celidotus. PLoS ONE 2013, 8, e64120. [Google Scholar] [CrossRef] [PubMed]
- Pascual, C.; Gaxiola, G.; Rosas, C. Blood metabolites and hemocyanin of the white shrimp, Litopenaeus vannamei: The effect of culture conditions and a comparison with other crustacean species. Mar. Biol. 2003, 142, 735–745. [Google Scholar] [CrossRef]
- Li, X.; Han, T.; Zheng, S.; Wu, G. Nutrition and Functions of Amino Acids in Aquatic Crustaceans. In Amino Acids in Nutrition and Health: Amino Acids in the Nutrition of Companion, Zoo and Farm Animals; Wu, G., Ed.; Springer International Publishing: Cham, Switzerland, 2021; Volume 1285, pp. 169–198. [Google Scholar]
- Javed, M.; Usmani, N. Stress response of biomolecules (carbohydrate, protein and lipid profiles) in fish Channa punctatus inhabiting river polluted by Thermal Power Plant effluent. Saudi J. Biol. Sci. 2015, 22, 237–242. [Google Scholar] [CrossRef]
- Qiang, J.; Tao, Y.-F.; He, J.; Bao, J.-W.; Li, H.-X.; Shi, W.-b.; Xu, P.; Sun, Y.-L. Influences of dietary lipid and temperature on growth, fat deposition and lipoprotein lipase expression in darkbarbel catfish (Pelteobagrus vachellii). J. Therm. Biol. 2017, 69, 191–198. [Google Scholar] [CrossRef]
- Jia, Y.; Chen, X.; Wang, Z.; Meng, Z.; Huang, B.; Guan, C. Physiological response of juvenile turbot (Scophthalmus maximus. L) during hyperthermal stress. Aquaculture 2020, 529, 735645. [Google Scholar] [CrossRef]
- Zheng, J.; Cao, J.; Mao, Y.; Su, Y.; Wang, J. Effects of thermal stress on oxidative stress and antioxidant response, heat shock proteins expression profiles and histological changes in Marsupenaeus japonicus. Ecol. Indic. 2019, 101, 780–791. [Google Scholar] [CrossRef]
- Qiu, J.; Wang, W.-N.; Wang, L.-j.; Liu, Y.-F.; Wang, A.-L. Oxidative stress, DNA damage and osmolality in the Pacific white shrimp, Litopenaeus vannamei exposed to acute low temperature stress. Comp. Biochem. Physiol. Part C Toxicol. Pharmacol. 2011, 154, 36–41. [Google Scholar] [CrossRef]
- Dragun, Z.; Filipović Marijić, V.; Krasnići, N.; Ramani, S.; Valić, D.; Rebok, K.; Kostov, V.; Jordanova, M.; Erk, M. Malondialdehyde concentrations in the intestine and gills of Vardar chub (Squalius vardarensis Karaman) as indicator of lipid peroxidation. Environ. Sci. Pollut. Res. 2017, 24, 16917–16926. [Google Scholar] [CrossRef]
- Yu, B.P. Cellular defenses against damage from reactive oxygen species. Physiol. Rev. 1994, 74, 139–162. [Google Scholar] [CrossRef] [PubMed]
- Bao, S.; Wang, W.; Deng, Z.; Zhou, R.; Zeng, S.; Hou, D.; He, J.; Huang, Z. Changes of bacterial communities and bile acid metabolism reveal the potential “intestine-hepatopancreas axis” in shrimp. Sci. Total Environ. 2024, 938, 173384. [Google Scholar] [CrossRef] [PubMed]
- Zhang, R.; Shi, X.; Liu, Z.; Sun, J.; Sun, T.; Lei, M. Histological, Physiological and Transcriptomic Analysis Reveal the Acute Alkalinity Stress of the Gill and Hepatopancreas of Litopenaeus vannamei. Mar. Biotechnol. 2023, 25, 588–602. [Google Scholar] [CrossRef] [PubMed]
- Rashid, E.; Hussain, S.M.; Ali, S.; Sarker, P.K.; Nasir, S.; Al-Anazi, K.M.; Nazish, N. New Insights into the Effects of Polystyrene Microplastics on Freshwater Fish, Labeo rohita: Assessment on Histopathology, Mineral Composition, Bioaccumulation and Antioxidant Activity. Water Air Soil Pollut. 2024, 236, 6. [Google Scholar] [CrossRef]
- Xiao, X.; Han, D.; Zhu, X.; Yang, Y.; Xie, S.; Huang, Y. Effect of dietary cornstarch levels on growth performance, enzyme activity and hepatopancreas histology of juvenile red swamp crayfish, Procambarus clarkii (Girard). Aquaculture 2014, 426–427, 112–119. [Google Scholar] [CrossRef]
- Zhang, Y.; Li, Z.; Kholodkevich, S.; Sharov, A.; Feng, Y.; Ren, N.; Sun, K. Cadmium-induced oxidative stress, histopathology, and transcriptome changes in the hepatopancreas of freshwater crayfish (Procambarus clarkii). Sci. Total Environ. 2019, 666, 944–955. [Google Scholar] [CrossRef]
- Love, M.I.; Huber, W.; Anders, S. Moderated estimation of fold change and dispersion for RNA-seq data with DESeq2. Genome Biol. 2014, 15, 550. [Google Scholar] [CrossRef]
- Zhang, M.; Hu, J.; Zhu, J.; Wang, Y.; Zhang, Y.; Li, Y.; Xu, S.; Yan, X.; Zhang, D. Transcriptome, antioxidant enzymes and histological analysis reveal molecular mechanisms responsive to long-term cold stress in silver pomfret (Pampus argenteus). Fish Shellfish Immunol. 2022, 121, 351–361. [Google Scholar] [CrossRef]
- Zhao, H.; Ke, H.; Zhang, L.; Zhao, Z.; Lai, J.; Zhou, J.; Huang, Z.; Li, H.; Du, J.; Li, Q. Integrated analysis about the effects of heat stress on physiological responses and energy metabolism in Gymnocypris chilianensis. Sci. Total Environ. 2022, 806, 151252. [Google Scholar] [CrossRef]
- Vogt, G. Cytopathology and immune response in the hepatopancreas of decapod crustaceans. Dis. Aquat. Org. 2020, 138, 41–88. [Google Scholar] [CrossRef]
- Ruan, G.; Li, S.; He, N.; Fang, L.; Wang, Q. Short-term adaptability to non-hyperthermal stress: Antioxidant, immune and gut microbial responses in the red swamp crayfish, Procambarus clarkii. Aquaculture 2022, 560, 738497. [Google Scholar] [CrossRef]
- Vogt, G. Functional cytology of the hepatopancreas of decapod crustaceans. J. Morphol. 2019, 280, 1405–1444. [Google Scholar] [CrossRef] [PubMed]
- Chen, K.; Li, E.; Li, T.; Xu, C.; Wang, X.; Lin, H.; Qin, J.G.; Chen, L. Transcriptome and Molecular Pathway Analysis of the Hepatopancreas in the Pacific White Shrimp Litopenaeus vannamei under Chronic Low-Salinity Stress. PLoS ONE 2015, 10, e0131503. [Google Scholar] [CrossRef] [PubMed]
- Yang, Y.; Tian, J.; Du, X.; Huang, Y.; Li, Y.; Huang, Y.; Jiang, Q.; Zhao, Y. Effects of temperature on the growth parameters, hepatopancreas structures, antioxidant ability, and non-specific immunity of the crayfish, Cherax destructor. Aquac. Int. 2023, 31, 349–365. [Google Scholar] [CrossRef]
- Wu, X.; Fan, Y.; Feng, J.; Ma, K.; Li, J. Transcriptomic, histological and biochemical analyses of Macrobrachium nipponense response to acute heat stress. Aquac. Fish. 2023, 10, 27–38. [Google Scholar] [CrossRef]
- Li, E.; Chen, L.; Zeng, C.; Yu, N.; Xiong, Z.; Chen, X.; Qin, J.G. Comparison of digestive and antioxidant enzymes activities, haemolymph oxyhemocyanin contents and hepatopancreas histology of white shrimp, Litopenaeus vannamei, at various salinities. Aquaculture 2008, 274, 80–86. [Google Scholar] [CrossRef]
- Li, S.; Lin, Y.; He, N.; Fang, L.; Wang, Q.; Ruan, G. Antioxidation, immunity and hepatopancreatic histology of red swamp crayfish (Procambarus clarkii) subjected to low-temperature aerial exposure stress and re-immersion. Comp. Biochem. Physiol. Part A Mol. Integr. Physiol. 2023, 282, 111441. [Google Scholar] [CrossRef]
- Liang, H.; Xu, H.; Ge, X.; Zhu, J.; Ren, M.; Mi, H. Water temperature affects the protein requirements, growth performance, and nutritional metabolism of grass carp (Ctenopharyngodon idella) juveniles. Aquac. Rep. 2022, 25, 101267. [Google Scholar] [CrossRef]
- Zhao, H.; Zhao, Z.; Liu, C.; Zhou, J.; Huang, Z.; Duan, Y.; Zhang, L.; Ke, H.; Du, J.; Mou, C.; et al. An integrated analysis of transcriptome and metabolome to reveal the effects of temperature stress on energy metabolism and physiological responses in Schizothorax wangchiachii muscles. Aquaculture 2024, 591, 741103. [Google Scholar] [CrossRef]
- Wu, D.; Liu, Z.; Yu, P.; Huang, Y.; Cai, M.; Zhang, M.; Zhao, Y. Cold stress regulates lipid metabolism via AMPK signalling in Cherax quadricarinatus. J. Therm. Biol. 2020, 92, 102693. [Google Scholar] [CrossRef]
- Shi, G.-C.; Dong, X.-H.; Chen, G.; Tan, B.-P.; Yang, Q.-H.; Chi, S.-Y.; Liu, H.-Y. Physiological responses and HSP70 mRNA expression of GIFT strain of Nile tilapia (reochromis niloticus) under cold stress. Aquac. Res. 2015, 46, 658–668. [Google Scholar] [CrossRef]
- Roychowdhury, P.; Aftabuddin, M.; Pati, M.K. Thermal stress altered growth performance and metabolism and induced anaemia and liver disorder in Labeo rohita. Aquac. Res. 2020, 51, 1406–1414. [Google Scholar] [CrossRef]
- Zhang, W.; Dan, Z.; Zheng, J.; Du, J.; Liu, Y.; Zhao, Z.; Gong, Y.; Mai, K.; Ai, Q. Optimal dietary lipid levels alleviated adverse effects of high temperature on growth, lipid metabolism, antioxidant and immune responses in juvenile turbot (Scophthalmus maximus L.). Comp. Biochem. Physiol. Part B Biochem. Mol. Biol. 2024, 272, 110962. [Google Scholar] [CrossRef]
- Jin, S.-R.; Wang, L.; Li, X.-X.; Wen, B.; Gao, J.-Z.; Chen, Z.-Z. Integrating antioxidant responses and oxidative stress of ornamental discus (Symphysodon spp.) to decreased temperatures: Evidence for species-specific thermal resistance. Aquaculture 2021, 535, 736375. [Google Scholar] [CrossRef]
- Mekonnen, E.; Deng, Y.; Sun, Y.; Wang, L.; Fu, J.; Luo, M.; Dong, Z.; Zhu, W. Effects of temperature on growth performance, gonad development, immunity, and antioxidant response of hybrid red tilapia (Oreochromis niloticus ♂ × Oreochromis aureus ♀). Aquac. Int. 2025, 33, 265. [Google Scholar] [CrossRef]
- Xing, Z.; Gao, L.; Liu, R.; Yang, Q.; Li, Q.; Wang, L.; Song, L. The oxidative stress of the Pacific oyster Crassostrea gigas under high-temperature stress. Aquaculture 2023, 577, 739998. [Google Scholar] [CrossRef]
- Yu, K.; Shi, C.; Ye, Y.; Li, R.; Mu, C.; Ren, Z.; Wang, C. The effects of overwintering temperature on the survival of female adult mud crab, Scylla paramamosain, under recirculating aquaculture systems as examined by histological analysis of the hepatopancreas and expression of apoptosis-related genes. Aquaculture 2023, 565, 739080. [Google Scholar] [CrossRef]
- Han, J.; Lee, J.-S.; Park, J.C.; Hagiwara, A.; Lee, K.-W.; Lee, J.-S. Effects of temperature changes on life parameters, oxidative stress, and antioxidant defense system in the monogonont marine rotifer Brachionus plicatilis. Mar. Pollut. Bull. 2020, 155, 111062. [Google Scholar] [CrossRef]
- Jiang, S.; Zhou, F.-L.; Yang, Q.-B.; Huang, J.-H.; Yang, L.-S.; Jiang, S.-G. Impact of Temperature Stress on Oxygen and Energy Metabolism in the Hepatopancreas of the Black Tiger Shrimp, Penaeus monodon (Crustacea: Decapoda: Penaeidae). Pak. J. Zool. 2018, 51, 141–148. [Google Scholar] [CrossRef]
- Ding, Y.; Sha, W.; Sun, Y.; Cheng, Y. Effects of acute low-temperature stress on respiratory metabolism, antioxidants, and metabolomics of red swamp crayfish, Procambarus clarkii. Comp. Biochem. Physiol. Part B Biochem. Mol. Biol. 2025, 278, 111095. [Google Scholar] [CrossRef]
- Xu, Z.; Regenstein, J.M.; Xie, D.; Lu, W.; Ren, X.; Yuan, J.; Mao, L. The oxidative stress and antioxidant responses of Litopenaeus vannamei to low temperature and air exposure. Fish Shellfish Immunol. 2018, 72, 564–571. [Google Scholar] [CrossRef] [PubMed]
- Liu, Z.-M.; Zhu, X.-L.; Lu, J.; Cai, W.-J.; Ye, Y.-P.; Lv, Y.-P. Effect of high temperature stress on heat shock protein expression and antioxidant enzyme activity of two morphs of the mud crab Scylla paramamosain. Comp. Biochem. Physiol. Part A Mol. Integr. Physiol. 2018, 223, 10–17. [Google Scholar] [CrossRef] [PubMed]
- Cui, Y.; Liu, B.; Xie, J.; Xu, P.; Habte-Tsion, H.M.; Zhang, Y. Effect of heat stress and recovery on viability, oxidative damage, and heat shock protein expression in hepatic cells of grass carp (Ctenopharyngodon idellus). Fish Physiol. Biochem. 2014, 40, 721–729. [Google Scholar] [CrossRef] [PubMed]
- Kksal, G. Astacus leptodactylus in Europe. In Freshwater Crayfish: Biology, Management and Exploitation; Holdich, D.M., Lowery, R.S., Eds.; Croom Helm: London, UK, 1988; pp. 365–400. [Google Scholar]
- Sirikharin, R.; Söderhäll, I.; Söderhäll, K. Characterization of a cold-active transglutaminase from a crayfish, Pacifastacus leniusculus. Fish Shellfish Immunol. 2018, 80, 546–549. [Google Scholar] [CrossRef]
- Zhu, H.; Zhang, X.; Zhang, X.; Yuan, J.; Sha, Z.; Li, F. Comparative transcriptome analyses reveal the acute heat stress response of a cool-temperate shrimp Fenneropenaeus chinensis. J. Therm. Biol. 2025, 129, 104087. [Google Scholar] [CrossRef]
- He, J.; Ye, Q.; Pan, S.; Guo, Y.; Chu, Z.; Gao, Y.; Dai, X.; Zhao, S.; Zhao, B.; Ruan, Q. Transcriptional dynamic changes in energy metabolism, protein synthesis and cell cycle regulation reveal the biological adaptation mechanisms of juvenile Acrossocheilus wenchowensis under acute temperature changes. Ecotoxicol. Environ. Saf. 2024, 283, 116835. [Google Scholar] [CrossRef]
- Zou, Y.; Cao, P.; Bao, Z.; Xu, Y.; Xu, Z.; Guo, H. Histological, physiological and transcriptomic analysis in hepatopancreas of Procambarus clarkii under heat stress. Ecotoxicol. Environ. Saf. 2025, 289, 117459. [Google Scholar] [CrossRef]
- Zheng, X.; Xu, D.; Sun, L.; Qin, X.; Zhang, Y. Inflammation and apoptosis pathways mediated the stress response of Litopenaeus vannamei to acute cold and air exposure during waterless live transportation: Based on ultrastructure and transcriptome. Fish Shellfish Immunol. 2022, 131, 391–400. [Google Scholar] [CrossRef]
- Gao, C.; Nie, H. Exploring the Heat-Responsive miRNAs and their Target Gene Regulation in Ruditapes philippinarum Under Acute Heat Stress. Mar. Biotechnol. 2024, 26, 810–826. [Google Scholar] [CrossRef]
- Yin, X.; Wei, W.; Zhuang, X.; Li, Z.; Liu, C.; Ou, M.; Dong, W.; Wang, F.; Huang, L.; Liao, M.; et al. Determining the function of LvSmad3 on Litopenaeus vannamei in response to acute low temperature stress. Dev. Comp. Immunol. 2021, 125, 104209. [Google Scholar] [CrossRef]
- Khan, A.; Dou, J.; Wang, Y.; Jiang, X.; Khan, M.Z.; Luo, H.; Usman, T.; Zhu, H. Evaluation of heat stress effects on cellular and transcriptional adaptation of bovine granulosa cells. J. Anim. Sci. Biotechnol. 2020, 11, 25. [Google Scholar] [CrossRef]








Disclaimer/Publisher’s Note: The statements, opinions and data contained in all publications are solely those of the individual author(s) and contributor(s) and not of MDPI and/or the editor(s). MDPI and/or the editor(s) disclaim responsibility for any injury to people or property resulting from any ideas, methods, instructions or products referred to in the content. |
© 2025 by the authors. Licensee MDPI, Basel, Switzerland. This article is an open access article distributed under the terms and conditions of the Creative Commons Attribution (CC BY) license (https://creativecommons.org/licenses/by/4.0/).
Share and Cite
Zhu, X.; Li, B.; Liu, Y.; Chen, S.; Ye, Y.; Li, R.; Song, W.; Mu, C.; Wang, C.; Shi, C. Physiological Responses and Histopathological Changes in Narrow-Clawed Crayfish (Pontastacus leptodactylus) Under Acute Thermal Stress. Animals 2025, 15, 1837. https://doi.org/10.3390/ani15131837
Zhu X, Li B, Liu Y, Chen S, Ye Y, Li R, Song W, Mu C, Wang C, Shi C. Physiological Responses and Histopathological Changes in Narrow-Clawed Crayfish (Pontastacus leptodactylus) Under Acute Thermal Stress. Animals. 2025; 15(13):1837. https://doi.org/10.3390/ani15131837
Chicago/Turabian StyleZhu, Xia, Bin Li, Yuzhen Liu, Shujian Chen, Yangfang Ye, Ronghua Li, Weiwei Song, Changkao Mu, Chunlin Wang, and Ce Shi. 2025. "Physiological Responses and Histopathological Changes in Narrow-Clawed Crayfish (Pontastacus leptodactylus) Under Acute Thermal Stress" Animals 15, no. 13: 1837. https://doi.org/10.3390/ani15131837
APA StyleZhu, X., Li, B., Liu, Y., Chen, S., Ye, Y., Li, R., Song, W., Mu, C., Wang, C., & Shi, C. (2025). Physiological Responses and Histopathological Changes in Narrow-Clawed Crayfish (Pontastacus leptodactylus) Under Acute Thermal Stress. Animals, 15(13), 1837. https://doi.org/10.3390/ani15131837

