Mannan-Rich Fraction Supplementation: A Promising Nutritional Strategy for Optimizing Growth and Health of Pre-Weaning Calves
Simple Summary
Abstract
1. Introduction
2. Materials and Methods
2.1. Experiment Design and Animal Feeding
2.2. Growth Measurements
2.3. Serum Biochemical Indicators
2.4. Slaughter and Organ Index Measurement
2.5. Biochemical and Immunological Parameters in Jejunum and Colon
2.6. SCFA Concentrations
2.7. Statistical Analysis
3. Results
3.1. Growth Performance
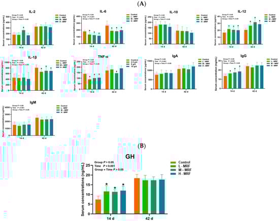
3.2. Blood Parameters
3.3. Organ Index and GIT Morphometrics
3.4. Intestinal Biochemical and Immunological Parameters
3.5. SCFA Concentrations in the Jejunum and Colon
3.6. Correlation Analysis Between SCFAs, Growth Performance and Inflammatory Factors
4. Discussion
5. Conclusions
Author Contributions
Funding
Institutional Review Board Statement
Informed Consent Statement
Data Availability Statement
Conflicts of Interest
Abbreviations
| MRF | Mannan-rich fraction |
| MOS | Mannan oligosaccharides |
| SCFA | Short-chain fatty acid |
| BW | Body weight |
| ADG | Average daily gain |
| IL-2 | Interleukin-2 |
| IL-6 | Interleukin-6 |
| IL-10 | Interleukin-10 |
| IL-12 | Interleukin-12 |
| IL-1β Interleukin-1β | Interleukin-1β |
| TNF-α Tumor Necrosis Factor-α | Tumor Necrosis Factor-α |
| GH Growth Hormone | Growth Hormone |
| IgA Immunoglobulin A | Immunoglobulin A |
| IgG Immunoglobulin G | Immunoglobulin G |
| IgM Immunoglobulin M | Immunoglobulin M |
| sIgA secretory immunoglobulin A | Secretory immunoglobulin A |
References
- Heinrichs, A.J.; Heinrichs, B.S. A prospective study of calf factors affecting first-lactation and lifetime milk production and age of cows when removed from the herd. J. Dairy Sci. 2011, 94, 336–341. [Google Scholar] [CrossRef] [PubMed]
- Smith, J.M.; Van Amburgh, M.E.; Díaz, M.C.; Lucy, M.C.; Bauman, D.E. Effect of nutrient intake on the development of the somatotropic axis and its responsiveness to GH in Holstein bull calves1. J. Anim. Sci. 2002, 80, 1528–1537. [Google Scholar] [CrossRef]
- Nonnecke, B.J.; Foote, M.R.; Smith, J.M.; Pesch, B.A.; Van Amburgh, M.E. Composition and Functional Capacity of Blood Mononuclear Leukocyte Populations from Neonatal Calves on Standard and Intensified Milk Replacer Diets. J. Dairy Sci. 2003, 86, 3592–3604. [Google Scholar] [CrossRef] [PubMed]
- Diaz, M.C.; Van Amburgh, M.E.; Smith, J.M.; Kelsey, J.M.; Hutten, E.L. Composition of Growth of Holstein Calves Fed Milk Replacer from Birth to 105-Kilogram Body Weight. J. Dairy Sci. 2001, 84, 830–842. [Google Scholar] [CrossRef]
- Mills, J.K.; Ross, D.A.; Van Amburgh, M.E. The effects of feeding medium-chain triglycerides on the growth, insulin responsiveness, and body composition of Holstein calves from birth to 85 kg of body weight. J. Dairy Sci. 2010, 93, 4262–4273. [Google Scholar] [CrossRef]
- Khan, M.A.; Weary, D.M.; von Keyserlingk, M.A.G. Invited review: Effects of milk ration on solid feed intake, weaning, and performance in dairy heifers. J. Dairy Sci. 2011, 94, 1071–1081. [Google Scholar] [CrossRef]
- Urie, N.J.; Lombard, J.E.; Shivley, C.B.; Kopral, C.A.; Adams, A.E.; Earleywine, T.J.; Olson, J.D.; Garry, F.B. Preweaned heifer management on US dairy operations: Part V. Factors associated with morbidity and mortality in preweaned dairy heifer calves. J. Dairy Sci. 2018, 101, 9229–9244. [Google Scholar] [CrossRef]
- Malmuthuge, N.; Guan, L.L. Understanding the gut microbiome of dairy calves: Opportunities to improve early-life gut health. J. Dairy Sci. 2017, 100, 5996–6005. [Google Scholar] [CrossRef]
- Spring, P.; Wenk, C.; Dawson, K.A.; Newman, K.E. The effects of dietary mannaoligosaccharides on cecal parameters and the concentrations of enteric bacteria in the ceca of salmonella-challenged broiler chicks. Poult. Sci. 2000, 79, 205–211. [Google Scholar] [CrossRef]
- Hu, Q.Y.; Man, J.J.; Luo, J.; Cheng, F.; Yang, M.; Lin, G.; Wang, P. Early life supplementation with mannan-rich fraction to regulate rumen microbiota, gut health, immunity and growth performance in dairy goat kids. J. Dairy Sci. 2024, 107, 9322–9333. [Google Scholar] [CrossRef]
- Yan, S.; Shi, R.; Li, L.; Ma, S.; Zhang, H.; Ye, J.; Wang, J.; Pan, J.; Wang, Q.; Jin, X.; et al. Mannan Oligosaccharide Suppresses Lipid Accumulation and Appetite in Western-Diet-Induced Obese Mice Via Reshaping Gut Microbiome and Enhancing Short-Chain Fatty Acids Production. Mol. Nutr. Food Res. 2019, 63, 1900521. [Google Scholar] [CrossRef] [PubMed]
- McCaffrey, C.; Corrigan, A.; Moynagh, P.; Murphy, R. Effect of yeast cell wall supplementation on intestinal integrity, digestive enzyme activity and immune traits of broilers. Br. Poult. Sci. 2021, 62, 771–782. [Google Scholar] [CrossRef]
- Ghasemian, M.; Jahanian, R. Dietary mannan-oligosaccharides supplementation could affect performance, immunocompetence, serum lipid metabolites, intestinal bacterial populations, and ileal nutrient digestibility in aged laying hens. Anim. Feed Sci. Technol. 2016, 213, 81–89. [Google Scholar] [CrossRef]
- Agazzi, A.; Perricone, V.; Omodei Zorini, F.; Sandrini, S.; Mariani, E.; Jiang, X.-R.; Ferrari, A.; Crestani, M.; Nguyen, T.X.; Bontempo, V.; et al. Dietary Mannan Oligosaccharides Modulate Gut Inflammatory Response and Improve Duodenal Villi Height in Post-Weaning Piglets Improving Feed Efficiency. Animals 2020, 10, 1283. [Google Scholar] [CrossRef]
- Gao, H.; Sun, F.; Lin, G.; Guo, Y.; Zhao, J. Molecular actions of different functional oligosaccharides on intestinal integrity, immune function and microbial community in weanling pigs. Food Funct. 2022, 13, 12303–12315. [Google Scholar] [CrossRef]
- Linneen, S.K.; Mourer, G.L.; Sparks, J.D.; Jennings, J.S.; Goad, C.L.; Lalman, D.L. Effects of mannan oligosaccharide on beef-cow performance and passive immunity transfer to calves. Prof. Anim. Sci. 2014, 30, 311–317. [Google Scholar] [CrossRef]
- Saldana, D.J.; Jones, C.M.; Gehman, A.M.; Heinrichs, A.J. Effects of once- versus twice-a-day feeding of pasteurized milk supplemented with yeast-derived feed additives on growth and health in female dairy calves. J. Dairy Sci. 2019, 102, 3654–3660. [Google Scholar] [CrossRef]
- Dar, A.H.; Singh, S.K.; Rahman, J.U.; Ahmad, S.F. The effects of probiotic lactobacillus acidophilus and/or prebiotic mannan oligosaccharides on growth performance, nutrient utilization, blood metabolites, faecal bacteria, and economics of crossbred calves. Iran. J. Vet. Res. 2022, 23, 322–330. [Google Scholar] [CrossRef]
- Lazarevic, M.; Spring, P.; Shabanovic, M.; Tokic, V.; Tucker, L.A. Effect of gut active carbohydrates on plasma IgG concentrations in piglets and calves. Animal 2010, 4, 938–943. [Google Scholar] [CrossRef]
- Iji, P.A.; Saki, A.A.; Tivey, D.R. Intestinal structure and function of broiler chickens on diets supplemented with a mannan oligosaccharide. J. Sci. Food Agric. 2001, 81, 1186–1192. [Google Scholar] [CrossRef]
- Larson, L.L.; Owen, F.G.; Albright, J.L.; Appleman, R.D.; Lamb, R.C.; Muller, L.D. Guidelines Toward More Uniformity in Measuring and Reporting Calf Experimental Data. J. Dairy Sci. 1977, 60, 989–991. [Google Scholar] [CrossRef]
- Paya, H.; Giannenas, I.; Taghizadeh, A.; Hosseinkhani, A.; Palangi, V.; Hasanpur, K.; Ayasan, T.; Montazerharzand, M.; Shirmohammadi, S.; Elmi, N. Effects of supplementary inulin on ewes milk composition and rumen fermentation parameters. J. Dairy Res. 2022, 89, 243–248. [Google Scholar] [CrossRef] [PubMed]
- Wathes, D.C.; Pollott, G.E.; Johnson, K.F.; Richardson, H.; Cooke, J.S. Heifer fertility and carry over consequences for life time production in dairy and beef cattle. Animal 2014, 8 (Suppl. 1), 91–104. [Google Scholar] [CrossRef] [PubMed]
- Martin, C.; Rusk, C. Youth livestock programs provide intangible benefits through life skill development. Anim. Front. 2021, 11, 64–71. [Google Scholar] [CrossRef]
- Laporta, J.; Lemley, C.; Chavatte-Palmer, P. Editorial: The Influences of Early Life Experiences on Future Health and Productivity. Front. Anim. Sci. 2022, 3, 962580. [Google Scholar] [CrossRef]
- Hill, S.R.; Hopkins, B.A.; Davidson, S.; Bolt, S.M.; Diaz, D.E.; Brownie, C.; Brown, T.; Huntington, G.B.; Whitlow, L.W. The addition of cottonseed hulls to the starter and supplementation of live yeast or mannanoligosaccharide in the milk for young calves. J. Dairy Sci. 2009, 92, 790–798. [Google Scholar] [CrossRef]
- Silva, J.T.d.; Bittar, C.M.M.; Ferreira, L.S. Evaluation of mannan-oligosaccharides offered in milk replacers or calf starters and their effect on performance and rumen development of dairy calves. Rev. Bras. Zootec. 2012, 41, 746–752. [Google Scholar] [CrossRef]
- Spring, P.; Wenk, C.; Connolly, A.; Kiers, A. A review of 733 published trials on Bio-Mos®, a mannan oligosaccharide, and Actigen®, a second generation mannose rich fraction, on farm and companion animals. J. Appl. Anim. Nutr. 2015, 3, e8. [Google Scholar] [CrossRef]
- Heinrichs, A.J.; Heinrichs, B.S.; Jones, C.M. Fecal and saliva IgA secretion when feeding a concentrated mannan oligosaccharide to neonatal dairy calves. Prof. Anim. Sci. 2013, 29, 457–462. [Google Scholar] [CrossRef]
- Zhang, G.; Zhao, J.B.; Dong, W.X.; Song, X.M.; Lin, G.; Li, D.F.; Zhang, S. Yeast-derived mannan-rich fraction as an alternative for zinc oxide to alleviate diarrhea incidence and improve growth performance in weaned pigs. Anim. Feed Sci. Technol. 2021, 281, 115111. [Google Scholar] [CrossRef]
- Che, T.M.; Johnson, R.W.; Kelley, K.W.; Dawson, K.A.; Moran, C.A.; Pettigrew, J.E. Effects of mannan oligosaccharide on cytokine secretions by porcine alveolar macrophages and serum cytokine concentrations in nursery pigs12. J. Anim. Sci. 2012, 90, 657–668. [Google Scholar] [CrossRef] [PubMed]
- Leal, M.C.; Casabona, J.C.; Puntel, M.; Pitossi, F.J. Interleukin-1β and tumor necrosis factor-α: Reliable targets for protective therapies in Parkinson’s Disease? Front. Cell. Neurosci. 2013, 7, 53. [Google Scholar] [CrossRef]
- Scheller, J.; Chalaris, A.; Schmidt-Arras, D.; Rose-John, S. The pro- and anti-inflammatory properties of the cytokine interleukin-6. Biochim. Biophys. Acta BBA-Mol. Cell Res. 2011, 1813, 878–888. [Google Scholar] [CrossRef]
- Ofek, I.; Beachey, E.H. Mannose binding and epithelial cell adherence of Escherichia coli. Infect. Immun. 1978, 22, 247–254. [Google Scholar] [CrossRef]
- Reinecker, H.C.; Steffen, M.; Doehn, C.; Petersen, J.; Pflüger, I.; Voss, A.; Raedler, A. Proinflammatory cytokines in intestinal mucosa. Immunol. Res. 1991, 10, 247–248. [Google Scholar] [CrossRef] [PubMed]
- Dinarello, C.A. A clinical perspective of IL-1beta as the gatekeeper of inflammation. Eur. J. Immunol. 2011, 41, 1203–1217. [Google Scholar] [CrossRef]
- Liu, J.B.; Cao, S.C.; Liu, J.; Xie, Y.N.; Zhang, H.F. Effect of probiotics and xylo-oligosaccharide supplementation on nutrient digestibility, intestinal health and noxious gas emission in weanling pigs. Asian-Australas J. Anim. Sci. 2018, 31, 1660–1669. [Google Scholar] [CrossRef]
- Pan, L.; Farouk, M.; Qin, G.; Zhao, Y.; Bao, N. The Influences of Soybean Agglutinin and Functional Oligosaccharides on the Intestinal Tract of Monogastric Animals. Int. J. Mol. Sci. 2018, 19, 554. [Google Scholar] [CrossRef]
- Chacher, M.F.A.; Kamran, Z.; Ahsan, U.; Ahmad, S.; Koutoulis, K.C.; Qutab Ud Din, H.G.; Cengiz, Ö. Use of mannan oligosaccharide in broiler diets: An overview of underlying mechanisms. World’s Poult. Sci. J. 2019, 73, 831–844. [Google Scholar] [CrossRef]
- Round, J.L.; Mazmanian, S.K. The gut microbiota shapes intestinal immune responses during health and disease. Nat. Rev. Immunol. 2009, 9, 313–323. [Google Scholar] [CrossRef]
- Shouse, A.N.; LaPorte, K.M.; Malek, T.R. Interleukin-2 signaling in the regulation of T cell biology in autoimmunity and cancer. Immunity 2024, 57, 414–428. [Google Scholar] [CrossRef] [PubMed]
- Saraiva, M.; O’Garra, A. The regulation of IL-10 production by immune cells. Nat. Rev. Immunol. 2010, 10, 170–181. [Google Scholar] [CrossRef]
- Saraiva, M.; Vieira, P.; O’Garra, A. Biology and therapeutic potential of interleukin-10. J. Exp. Med. 2020, 217, e20190418. [Google Scholar] [CrossRef]
- Mowat, A.M.; Agace, W.W. Regional specialization within the intestinal immune system. Nat. Rev. Immunol. 2014, 14, 667–685. [Google Scholar] [CrossRef]
- Topping, D.L.; Clifton, P.M. Short-chain fatty acids and human colonic function: Roles of resistant starch and nonstarch polysaccharides. Physiol. Rev. 2001, 81, 1031–1064. [Google Scholar] [CrossRef]
- Carretta, M.D.; Quiroga, J.; Lopez, R.; Hidalgo, M.A.; Burgos, R.A. Participation of Short-Chain Fatty Acids and Their Receptors in Gut Inflammation and Colon Cancer. Front. Physiol. 2021, 12, 662739. [Google Scholar] [CrossRef]
- Kelly, C.J.; Zheng, L.; Campbell, E.L.; Saeedi, B.; Scholz, C.C.; Bayless, A.J.; Wilson, K.E.; Glover, L.E.; Kominsky, D.J.; Magnuson, A.; et al. Crosstalk between Microbiota-Derived Short-Chain Fatty Acids and Intestinal Epithelial HIF Augments Tissue Barrier Function. Cell Host Microbe 2015, 17, 662–671. [Google Scholar] [CrossRef] [PubMed]
- Yang, Y.; Iji, P.A.; Choct, M. Effects of Different Dietary Levels of Mannanoligosaccharide on Growth Performance and Gut Development of Broiler Chickens. Asian-Australas J. Anim. Sci. 2007, 20, 1084–1091. [Google Scholar] [CrossRef]
- Hu, C.; Xu, B.; Wang, X.; Wan, W.H.; Lu, J.; Kong, D.; Jin, Y.; You, W.; Sun, H.; Mu, X.; et al. Gut microbiota-derived short-chain fatty acids regulate group 3 innate lymphoid cells in HCC. Hepatology 2023, 77, 48–64. [Google Scholar] [CrossRef]
- Sakata, T.; Tamate, H. Rumen epithelial cell proliferation accelerated by rapid increase in intraruminal butyrate. J. Dairy Sci. 1978, 61, 1109–1113. [Google Scholar] [CrossRef]
- Hamer, H.M.; Jonkers, D.; Venema, K.; Vanhoutvin, S.; Troost, F.J.; Brummer, R.J. Review article: The role of butyrate on colonic function. Aliment. Pharmacol. Ther. 2008, 27, 104–119. [Google Scholar] [CrossRef] [PubMed]
- Bakshi, J.; Mishra, K.P. Sodium butyrate prevents lipopolysaccharide induced inflammation and restores the expression of tight junction protein in human epithelial Caco-2 cells. Cell. Immunol. 2025, 408, 104912. [Google Scholar] [CrossRef] [PubMed]
- Roediger, W.E. The starved colon--diminished mucosal nutrition, diminished absorption, and colitis. Dis. Colon Rectum 1990, 33, 858–862. [Google Scholar] [CrossRef]
- Segain, J.P. Butyrate inhibits inflammatory responses through NFkappa B inhibition: Implications for Crohn’s disease. Gut 2000, 47, 397–403. [Google Scholar] [CrossRef]
- Gorka, P.; Kowalski, Z.M.; Zabielski, R.; Guilloteau, P. Invited review: Use of butyrate to promote gastrointestinal tract development in calves. J. Dairy Sci. 2018, 101, 4785–4800. [Google Scholar] [CrossRef]
- Koch, C.; Gerbert, C.; Frieten, D.; Dusel, G.; Eder, K.; Zitnan, R.; Hammon, H.M. Effects of ad libitum milk replacer feeding and butyrate supplementation on the epithelial growth and development of the gastrointestinal tract in Holstein calves. J. Dairy Sci. 2019, 102, 8513–8526. [Google Scholar] [CrossRef]
- Guilloteau, P.; Zabielski, R.; David, J.C.; Blum, J.W.; Morisset, J.A.; Biernat, M.; Wolinski, J.; Laubitz, D.; Hamon, Y. Sodium-butyrate as a growth promoter in milk replacer formula for young calves. J. Dairy Sci. 2009, 92, 1038–1049. [Google Scholar] [CrossRef]
- Hill, T.M.; Aldrich, J.M.; Schlotterbeck, R.L.; Bateman, H.G. Amino Acids, Fatty Acids, and Fat Sources for Calf Milk Replacers. Prof. Anim. Sci. 2007, 23, 401–408. [Google Scholar] [CrossRef]
- Mishra, D.; Richard, J.E.; Maric, I.; Porteiro, B.; Haring, M.; Kooijman, S.; Musovic, S.; Eerola, K.; Lopez-Ferreras, L.; Peris, E.; et al. Parabrachial Interleukin-6 Reduces Body Weight and Food Intake and Increases Thermogenesis to Regulate Energy Metabolism. Cell Rep. 2019, 26, 3011–3026 e3015. [Google Scholar] [CrossRef]
- Zhang, C.; Peng, Y.; Mu, C.; Zhu, W. Ileum terminal antibiotic infusion affects jejunal and colonic specific microbial population and immune status in growing pigs. J. Anim. Sci. Biotechnol. 2018, 9, 51. [Google Scholar] [CrossRef]
- Short, W.D.; Rae, M.; Lu, T.; Padon, B.; Prajapati, T.J.; Faruk, F.; Olutoye, O.O., 2nd; Yu, L.; Bollyky, P.; Keswani, S.G.; et al. Endogenous Interleukin-10 Contributes to Wound Healing and Regulates Tissue Repair. J. Surg. Res. 2023, 285, 26–34. [Google Scholar] [CrossRef] [PubMed]
- Vinolo, M.A.R.; Rodrigues, H.G.; Nachbar, R.T.; Curi, R. Regulation of Inflammation by Short Chain Fatty Acids. Nutrients 2011, 3, 858–876. [Google Scholar] [CrossRef] [PubMed]





| Item | Starter 1 |
|---|---|
| Dry Matter | 88.3 |
| Crude Protein, %DM | 20.45 |
| Ether Extract, %DM | 3.35 |
| Starch, %DM | 21.74 |
| NDF, %DM | 20.16 |
| ADF, %DM | 9.86 |
| Ash, %DM | 7.63 |
| Ca, %DM | 0.85 |
| P, %DM | 0.57 |
| Mg, %DM | 0.21 |
| Treatment | SEM | Gender | SEM | p-Value | |||||||||||
|---|---|---|---|---|---|---|---|---|---|---|---|---|---|---|---|
| Item | Control | L-MRF | M-MRF | H-MRF | Male | Female | T | W | G | T × W | T × G | W × G | T × W × G | ||
| BW, kg | |||||||||||||||
| d 7 | 47.96 b | 48.23 ab | 50.30 a | 47.16 b | 0.537 | 51.35 | 45.84 | 0.445 | 0.038 | <0.001 | |||||
| d 14 | 53.36 | 53.40 | 55.60 | 53.10 | 0.558 | 56.76 | 51.32 | 0.525 | 0.158 | <0.001 | |||||
| d 21 | 61.00 | 60.57 | 63.70 | 60.77 | 0.692 | 65.00 | 58.45 | 0.753 | 0.134 | <0.001 | |||||
| d 28 | 67.63 b | 68.17 b | 71.43 a | 67.73 b | 0.676 | 72.57 | 65.39 | 0.658 | 0.014 | <0.001 | |||||
| d 42 | 79.93 | 80.63 | 84.06 | 80.43 | 0.762 | 85.10 | 77.90 | 0.836 | 0.056 | <0.001 | |||||
| Overall | 61.98 b | 62.20 b | 65.02 a | 61.84 b | 0.602 | 66.16 | 59.78 | 0.425 | 0.027 | <0.001 | <0.001 | 0.466 | 0.134 | 0.034 | 0.387 |
| ADG, kg/d | |||||||||||||||
| d 1–7 | 0.82 | 0.83 | 0.91 | 0.93 | 0.035 | 0.92 | 0.84 | 0.043 | 0.480 | 0.221 | |||||
| d 8–14 | 0.77 | 0.74 | 0.76 | 0.85 | 0.037 | 0.77 | 0.78 | 0.517 | 0.774 | 0.889 | |||||
| d 15–21 | 1.09 | 1.02 | 1.16 | 1.09 | 0.057 | 1.17 | 1.01 | 0.078 | 0.902 | 0.160 | |||||
| d 22–28 | 0.95 | 1.08 | 1.10 | 0.99 | 0.040 | 1.08 | 0.99 | 0.055 | 0.452 | 0.254 | |||||
| d 29–42 | 0.88 | 0.89 | 0.90 | 0.91 | 0.020 | 0.90 | 0.89 | 0.028 | 0.954 | 0.968 | |||||
| Overall | 0.90 | 0.91 | 0.97 | 0.96 | 0.050 | 0.97 | 0.90 | 0.035 | 0.186 | 0.003 | 0.068 | 0.495 | 0.095 | 0.108 | 0.087 |
| Starter Intake, g/d | |||||||||||||||
| d 1–7 | 4.49 | 6.89 | 5.96 | 3.13 | 3.345 | 5.77 | 4.54 | 0.837 | 0.653 | 0.607 | |||||
| d 8–14 | 14.75 | 15.17 | 15.24 | 13.04 | 7.376 | 19.56 | 10.17 | 2.200 | 0.989 | 0.076 | |||||
| d 15–21 | 11.73 | 18.53 | 17.33 | 16.85 | 5.742 | 16.09 | 16.13 | 2.714 | 0.634 | 0.993 | |||||
| d 22–28 | 19.40 | 34.80 | 31.14 | 16.35 | 11.291 | 23.31 | 27.27 | 5.688 | 0.310 | 0.628 | |||||
| d 29–35 | 41.75 | 62.16 | 55.52 | 41.64 | 15.630 | 39.79 | 59.44 | 5.964 | 0.425 | 0.078 | |||||
| d 36–42 | 62.10 | 101.19 | 68.92 | 78.10 | 23.257 | 60.26 | 92.73 | 8.598 | 0.337 | 0.053 | |||||
| Overall | 25.71 | 39.79 | 32.35 | 28.19 | 5.286 | 27.47 | 49.97 | 3.738 | 0.252 | <0.001 | 0.166 | 0.348 | 0.470 | 0.016 | 0.727 |
| Total DMI, kg/d | |||||||||||||||
| d 1–7 | 1.02 | 1.03 | 1.03 | 1.02 | 0.001 | 1.02 | 1.02 | 0.001 | 0.480 | 0.423 | |||||
| d 8–14 | 1.22 | 1.22 | 1.22 | 1.22 | 0.002 | 1.22 | 1.21 | 0.002 | 0.969 | 0.074 | |||||
| d 15–21 | 1.39 | 1.40 | 1.40 | 1.40 | 0.002 | 1.39 | 1.39 | 0.003 | 0.474 | 0.801 | |||||
| d 22–28 | 1.41 | 1.44 | 1.43 | 1.42 | 0.004 | 1.42 | 1.42 | 0.005 | 0.264 | 0.655 | |||||
| d 29–42 | 1.46 | 1.50 | 1.47 | 1.48 | 0.008 | 1.49 | 1.49 | 0.008 | 0.324 | 0.045 | |||||
| Overall | 1.30 | 1.32 | 1.31 | 1.31 | 0.006 | 1.31 | 1.31 | 0.004 | 0.188 | <0.001 | 0.305 | 0.249 | 0.552 | 0.013 | 0.660 |
| FE | |||||||||||||||
| d 1–7 | 0.81 | 0.81 | 0.89 | 0.91 | 0.342 | 0.90 | 0.82 | 0.042 | 0.464 | 0.221 | |||||
| d 8–14 | 0.63 | 0.60 | 0.62 | 0.69 | 0.305 | 0.63 | 0.64 | 0.042 | 0.768 | 0.832 | |||||
| d 15–21 | 0.78 | 0.73 | 0.83 | 0.78 | 0.408 | 0.84 | 0.73 | 0.055 | 0.890 | 0.156 | |||||
| d 22–28 | 0.66 | 0.76 | 0.77 | 0.70 | 0.028 | 0.76 | 0.69 | 0.039 | 0.528 | 0.229 | |||||
| d 29–42 | 0.60 | 0.59 | 0.62 | 0.61 | 0.134 | 0.61 | 0.60 | 0.017 | 0.912 | 0.637 | |||||
| Overall | 0.70 | 0.70 | 0.74 | 0.74 | 0.038 | 0.75 | 0.70 | 0.027 | 0.147 | <0.001 | 0.010 | 0.470 | 0.097 | 0.732 | 0.052 |
| Diarrhea Rate, % | |||||||||||||||
| d 1–7 | 25.72 ab | 25.72 ab | 11.43 b | 35.24 a | 8.275 | 19.39 | 29.01 | 3.833 | 0.021 | 0.141 | |||||
| d 8–14 | 8.57 | 5.71 | 6.66 | 12.38 | 5.518 | 8.16 | 8.48 | 2.692 | 0.228 | 0.950 | |||||
| d 15–21 | 19.04 | 9.52 | 16.19 | 24.76 | 6.514 | 14.79 | 19.64 | 3.072 | 0.222 | 0.395 | |||||
| d 22–28 | 15.24 | 13.33 | 8.57 | 11.42 | 5.302 | 14.28 | 10.26 | 2.420 | 0.530 | 0.247 | |||||
| d 29–35 | 5.71 | 5.71 | 0.95 | 2.85 | 3.158 | 4.59 | 3.12 | 1.239 | 0.374 | 0.904 | |||||
| d 36–42 | 2.86 | 3.81 | 5.71 | 1.91 | 2.846 | 3.57 | 3.57 | 1.399 | 0.645 | 0.848 | |||||
| Overall | 12.86 a | 10.64 ab | 8.25 b | 14.76 a | 2.293 | 10.80 | 12.35 | 1.621 | 0.046 | <0.001 | 0.339 | 0.009 | 0.259 | 0.049 | 0.731 |
| Treatment | SEM | Gender | SEM | p-Value | |||||||||||
|---|---|---|---|---|---|---|---|---|---|---|---|---|---|---|---|
| Item | Control | L-MRF | M-MRF | H-MRF | Male | Female | T | W | G | T × W | T × G | W × G | T × W × G | ||
| Withers Height, cm | |||||||||||||||
| d 7 | 81.40 | 82.73 | 83.40 | 82.40 | 0.363 | 85.53 | 81.56 | 0.408 | 0.229 | 0.005 | |||||
| d 14 | 83.40 | 84.27 | 85.13 | 84.67 | 0.323 | 85.64 | 83.25 | 0.339 | 0.170 | <0.001 | |||||
| d 21 | 84.27 | 83.87 | 85.07 | 84.33 | 0.301 | 85.10 | 83.75 | 0.406 | 0.531 | 0.026 | |||||
| d 28 | 85.80 | 87.53 | 87.07 | 86.60 | 0.341 | 87.75 | 85.87 | 0.432 | 0.264 | 0.006 | |||||
| d 42 | 88.47 | 88.53 | 88.40 | 89.93 | 0.418 | 90.28 | 87.56 | 0.533 | 0.475 | <0.001 | |||||
| Overall | 84.67 b | 85.38 ab | 85.81 a | 85.59 a | 0.416 | 86.46 | 84.40 | 0.294 | 0.365 | <0.001 | <0.001 | 0.231 | 0.489 | 0.603 | 0.790 |
| Body Length, cm | |||||||||||||||
| d 7 | 70.60 | 71.73 | 72.13 | 70.73 | 0.301 | 72.00 | 70.69 | 0.371 | 0.178 | 0.029 | |||||
| d 14 | 73.73 c | 75.27 b | 76.73 a | 74.80 c | 0.276 | 76.03 | 74.34 | 0.331 | <0.001 | <0.001 | |||||
| d 21 | 74.60 ab | 75.33 ab | 76.00 a | 73.53 b | 0.363 | 75.68 | 74.16 | 0.449 | 0.049 | 0.025 | |||||
| d 28 | 78.93 b | 80.53 ab | 82.40 a | 80.40 b | 0.382 | 81.71 | 79.56 | 0.448 | 0.008 | 0.002 | |||||
| d 42 | 85.00 | 85.87 | 86.67 | 85.27 | 0.465 | 87.11 | 84.47 | 0.527 | 0.538 | 0.004 | |||||
| Overall | 76.57 c | 77.75 b | 78.79 a | 76.95 c | 0.421 | 78.51 | 76.64 | 0.298 | <0.001 | <0.001 | <0.001 | 0.968 | 0.637 | 0.120 | 0.906 |
| Heart Girth, cm | |||||||||||||||
| d 7 | 88.93 | 89.47 | 89.33 | 89.00 | 0.339 | 90.32 | 88.19 | 0.343 | 0.886 | 0.001 | |||||
| d 14 | 91.07 | 91.33 | 90.67 | 90.07 | 0.319 | 92.07 | 89.66 | 0.369 | 0.437 | <0.001 | |||||
| d 21 | 94.60 | 93.33 | 94.20 | 93.93 | 0.352 | 95.21 | 92.97 | 0.402 | 0.627 | 0.001 | |||||
| d 28 | 94.53 | 95.73 | 96.87 | 95.27 | 0.372 | 97.07 | 94.31 | 0.398 | 0.081 | <0.001 | |||||
| d 42 | 101.73 | 102.40 | 102.20 | 101.73 | 0.488 | 103.53 | 100.68 | 0.55 | 0.937 | 0.003 | |||||
| Overall | 94.17 | 94.45 | 94.65 | 94.00 | 0.440 | 95.64 | 93.16 | 0.311 | 0.759 | <0.001 | <0.001 | 0.854 | 0.293 | 0.407 | 0.089 |
| Abdominal Girth, cm | |||||||||||||||
| d 7 | 95.20 | 96.13 | 97.60 | 95.67 | 0.450 | 98.07 | 94.47 | 0.491 | 0.161 | <0.001 | |||||
| d 14 | 98.60 | 97.80 | 98.73 | 98.47 | 0.436 | 99.64 | 97.31 | 0.447 | 0.869 | 0.009 | |||||
| d 21 | 101.33 | 100.87 | 102.00 | 102.13 | 0.576 | 103.43 | 99.97 | 0.653 | 0.850 | 0.003 | |||||
| d 28 | 101.00 | 102.73 | 102.93 | 101.47 | 0.531 | 103.96 | 100.34 | 0.673 | 0.434 | <0.001 | |||||
| d 42 | 107.60 | 109.60 | 109.00 | 110.93 | 0.637 | 110.93 | 107.84 | 0.857 | 0.245 | 0.014 | |||||
| Overall | 100.75 | 101.43 | 102.05 | 101.73 | 0.636 | 103.21 | 99.99 | 0.450 | 0.530 | <0.001 | <0.001 | 0.190 | 0.729 | 0.923 | 0.816 |
| Treatment | ||||
|---|---|---|---|---|
| Control | MRF | SEM | p-Value | |
| Jejunum | ||||
| Concentration | ||||
| Acetate (mmol/L) | 5.37 | 19.74 | 5.087 | 0.034 |
| Propionate (mmol/L) | 2.04 | 5.11 | 1.775 | 0.120 |
| Isobutyrate (mmol/L) | 0.21 | 0.33 | 0.187 | 0.526 |
| Butyrate (mmol/L) | 0.84 | 1.88 | 0.712 | 0.177 |
| Isovalerate (mmol/L) | 0.80 | 0.82 | 0.261 | 0.926 |
| Valerate (mmol/L) | 0.17 | 0.36 | 0.280 | 0.524 |
| A/P 2 | 5.06 | 2.87 | 1.249 | 0.443 |
| Total SCFA 3 | 9.45 | 28.26 | 7.782 | 0.051 |
| Proportion | ||||
| Acetate, % | 63.66 | 70.36 | 5.741 | 0.282 |
| Propionate, % | 16.75 | 17.99 | 4.034 | 0.768 |
| Isobutyrate, % | 2.07 | 0.91 | 0.322 | 0.005 |
| Butyrate, % | 6.87 | 6.72 | 2.416 | 0.951 |
| Isovalerate, % | 9.50 | 3.30 | 1.998 | 0.011 |
| Valerate, % | 1.12 | 0.70 | 0.814 | 0.623 |
| Colon | ||||
| Concentration | ||||
| Acetate (mmol/L) | 60.75 | 67.19 | 13.491 | 0.643 |
| Propionate (mmol/L) | 10.48 | 13.61 | 2.787 | 0.288 |
| Isobutyrate (mmol/L) | 0.42 | 0.41 | 0.153 | 0.933 |
| Butyrate (mmol/L) | 4.43 | 6.37 | 0.658 | 0.029 |
| Isovalerate (mmol/L) | 0.91 | 1.33 | 0.300 | 0.184 |
| Valerate (mmol/L) | 0.23 | 0.71 | 0.379 | 0.262 |
| A/P 2 | 6.02 | 5.16 | 0.887 | 0.352 |
| Total SCFA 3 | 77.23 | 89.64 | 16.242 | 0.463 |
| Proportion | ||||
| Acetate, % | 77.76 | 74.68 | 2.758 | 0.290 |
| Propionate, % | 13.62 | 15.37 | 2.040 | 0.412 |
| Isobutyrate, % | 0.62 | 0.45 | 0.190 | 0.379 |
| Butyrate, % | 6.32 | 7.31 | 0.999 | 0.344 |
| Isovalerate, % | 1.32 | 1.56 | 0.377 | 0.536 |
| Valerate, % | 0.34 | 0.62 | 0.302 | 0.381 |
Disclaimer/Publisher’s Note: The statements, opinions and data contained in all publications are solely those of the individual author(s) and contributor(s) and not of MDPI and/or the editor(s). MDPI and/or the editor(s) disclaim responsibility for any injury to people or property resulting from any ideas, methods, instructions or products referred to in the content. |
© 2025 by the authors. Licensee MDPI, Basel, Switzerland. This article is an open access article distributed under the terms and conditions of the Creative Commons Attribution (CC BY) license (https://creativecommons.org/licenses/by/4.0/).
Share and Cite
Guo, S.; Feng, Y.; Yang, J.; Zhao, H.; Ma, J.; Zhang, Y.; Sun, M.; Li, Y.; Lin, G.; Lin, P.; et al. Mannan-Rich Fraction Supplementation: A Promising Nutritional Strategy for Optimizing Growth and Health of Pre-Weaning Calves. Animals 2025, 15, 1684. https://doi.org/10.3390/ani15121684
Guo S, Feng Y, Yang J, Zhao H, Ma J, Zhang Y, Sun M, Li Y, Lin G, Lin P, et al. Mannan-Rich Fraction Supplementation: A Promising Nutritional Strategy for Optimizing Growth and Health of Pre-Weaning Calves. Animals. 2025; 15(12):1684. https://doi.org/10.3390/ani15121684
Chicago/Turabian StyleGuo, Shanshan, Yanfei Feng, Jianhao Yang, Haomiao Zhao, Jiajun Ma, Yuan Zhang, Mengkun Sun, Yifan Li, Gang Lin, Pengfei Lin, and et al. 2025. "Mannan-Rich Fraction Supplementation: A Promising Nutritional Strategy for Optimizing Growth and Health of Pre-Weaning Calves" Animals 15, no. 12: 1684. https://doi.org/10.3390/ani15121684
APA StyleGuo, S., Feng, Y., Yang, J., Zhao, H., Ma, J., Zhang, Y., Sun, M., Li, Y., Lin, G., Lin, P., Wang, A., & Jin, Y. (2025). Mannan-Rich Fraction Supplementation: A Promising Nutritional Strategy for Optimizing Growth and Health of Pre-Weaning Calves. Animals, 15(12), 1684. https://doi.org/10.3390/ani15121684

