The Spatial Dynamics of Japanese Sardine (Sardinops sagax) Fishing Grounds in the Northwest Pacific: A Geostatistical Approach
Simple Summary
Abstract
1. Introduction
2. Materials and Methods
2.1. Data Resources
2.2. Global Spatial Autocorrelation
2.3. Incremental Spatial Autocorrelation
2.4. Local Spatial Autocorrelation
2.5. Centre of Gravity Migration Trajectories and Standard Deviation Ellipse Analysis
2.6. Generalized Additive Model (GAM)
3. Results
3.1. Changes in Catches
3.2. Fishing Centers of Gravity and Distribution Patterns
3.3. Global Spatial Autocorrelation Analysis and General Statistics
3.4. Distribution of Coldspots and Hotspots
3.5. GAM Analysis
3.5.1. GAM Test
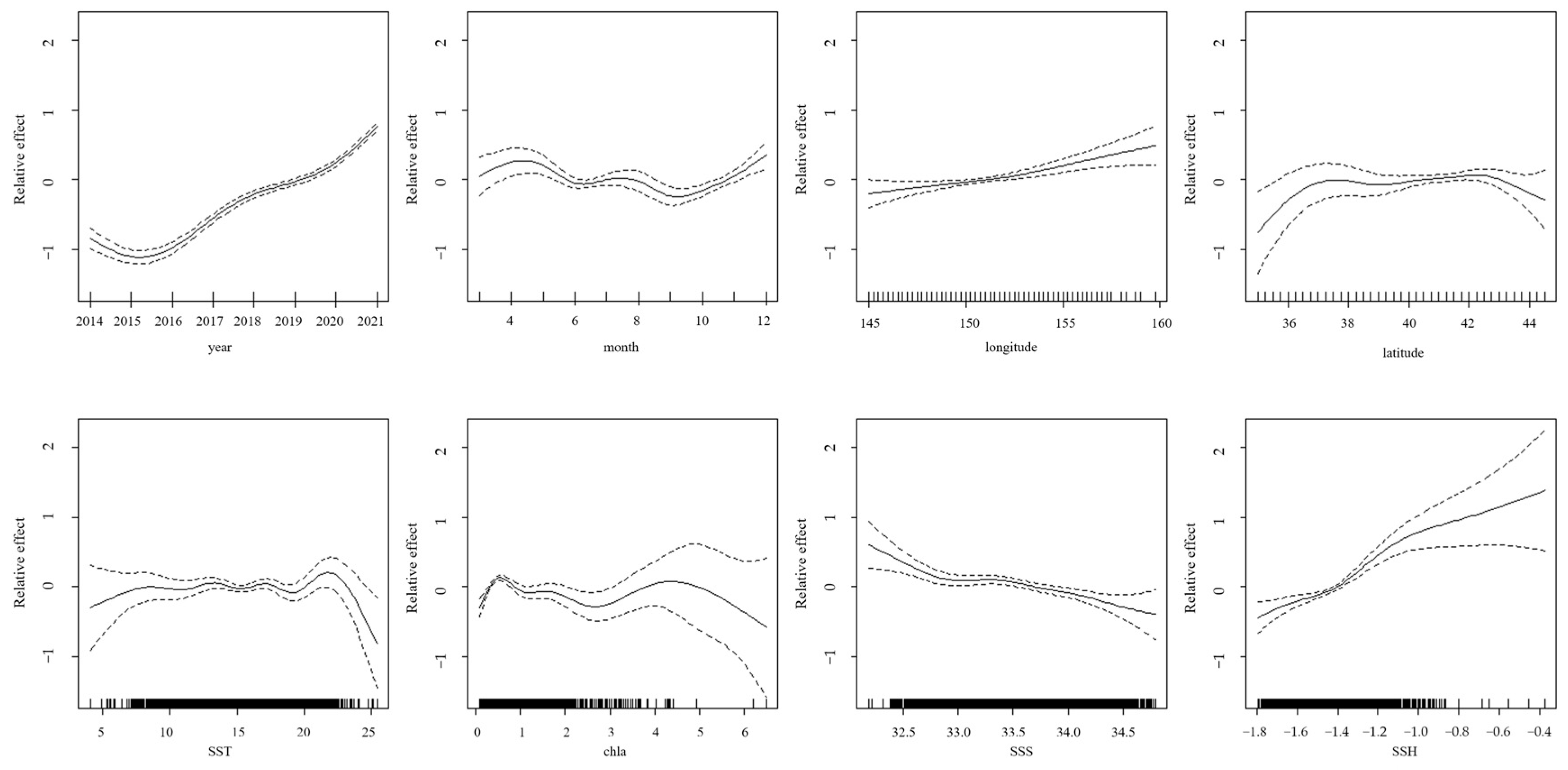
3.5.2. Distribution of CPUE Under Different Factors
4. Discussion
4.1. Geographical Distribution and Temporal Variation of Catches
4.2. Analysis of Changes in Fishing Ground
4.3. Spatial Autocorrelation Analysis
5. Conclusions
Author Contributions
Funding
Institutional Review Board Statement
Informed Consent Statement
Data Availability Statement
Acknowledgments
Conflicts of Interest
References
- Mantua, N.J.; Hare, S.R. The Pacific Decadal Oscillation. J. Oceanogr. 2002, 58, 35–44. [Google Scholar] [CrossRef]
- Sakurai, Y. An overview of the Oyashio ecosystem. Deep-Sea RES. PT. II 2007, 54, 2526–2542. [Google Scholar] [CrossRef]
- Pearcy, W.G.; Fisher, J.P.; Anma, G.; Meguro, T. Species associations of epipelagic nekton of the North Pacific Ocean, 1978–1993. Fish. Oceanogr. 2010, 5, 1–20. [Google Scholar] [CrossRef]
- Tang, F.; Yue, D.; Xiong, M.; Li, L.; Cui, X. Interpretation of Convention on the Conservation and Management of High Seas Fisheries Resources in the North Pacific Ocean and coping strategies from China oceanic fisheries. Fish. Inf. Strategy 2016, 31, 210–217. [Google Scholar] [CrossRef]
- Zhao, G.; Shi, Y.; Fan, W.; Cui, X.; Tang, F. Study on main catch composition and fishing ground change of light purse seine in Northwest Pacific. South China Fish. Sci. 2022, 18, 33–42. [Google Scholar] [CrossRef]
- Wang, L. The Composition of Nekton and Biological Characteristic of Main Dominant Species in Northwestern Pacific Ocean. Master’s Thesis, Third Insitute of Oceanography, Ministry of Natural Resources, Xiamen, China, 2017. [Google Scholar]
- Chen, D.; Zhang, M. Marine Fishes of China; China Ocean University Press: Qingdao, China, 2015. [Google Scholar]
- Ma, S.; Fu, C.; Li, J.; Sun, P.; Liu, Y.; Ye, Z.; Watanabe, Y.; Tian, Y. Non–stationary effects of multiple drivers on the dynamics of Japanese sardine (Sardinops melanostictus, Clupeidae). Fish Fish. 2023, 24, 40–55. [Google Scholar] [CrossRef]
- Furuichi, S.; Yugami, R.; Uemura, Y.; Hayashi, A.; Isu, S.; Watabe, R. Stock Assessment and Evaluation for the Pacific Stock of Japanese Sardine (Fiscal Year 2019); Marine Fisheries Stock Assessment and Evaluation for Japanese Waters (Fiscal Year 2019/2020); Fisheries Agency and Fisheries Research and Education Agency of Japan: Tokyo, Japan, 2020. [Google Scholar]
- Takahashi, M.; Kuroda, H.; Yoda, M.; Takegage, S.; Yasuda, T. Stock Assessment and Evaluation for Tsushima Warm Current Stock of Japanese Sardine (Fiscal Year 2019); Marine Fisheries Stock Assessment and Evaluation for Japanese Waters (Fiscal Year 2019/2020); Fisheries Agency and Fisheries Research and Education Agency of Japan: Tokyo, Japan, 2020. [Google Scholar]
- Watanabe, Y. Recruitment variability of small pelagic fish populations in the Kuroshio–Oyashio transition region of the Western North Pacific. J. Northw. Atl. Fish. Sci. 2009, 41, 197–204. [Google Scholar] [CrossRef]
- Yatsu, A. Review of population dynamics and management of small pelagic fishes around the Japanese archipelago. Fish. Sci. 2019, 85, 611–639. [Google Scholar] [CrossRef]
- Bakun, A. Wasp-waist populations and marine ecosystem dynamics: Navigating the “predator pit” topographies. Prog. Oceanogr. 2006, 68, 271–288. [Google Scholar] [CrossRef]
- Cury, P.; Bakun, A.; Crawford, R.J.; Jarre, A.; Quinones, R.A.; Shannon, L.J.; Verheye, H.M. Small pelagics in upwelling systems: Patterns of interaction and structural changes in “wasp-waist” ecosystems. ICES J. Mar. Sci. 2000, 57, 603–618. [Google Scholar] [CrossRef]
- Wang, M.; Dong, W. Development and utilization status of Sardinops melanostictus. Fish. Sci. 1992, 7, 14–16. [Google Scholar] [CrossRef]
- Kawasaki, T. Why do some pelagic fishes have wide fluctuations in the numbers? FAO Fish Rep. 1983, 1065, 291. [Google Scholar]
- Chavez, F.P.; Ryan, J.; Lluch-Cota, S.E.; Miguel, N.C. From Anchovies to Sardines and Back: Multidecadal Change in the Pacific Ocean. Science 2003, 299, 217–221. [Google Scholar] [CrossRef]
- Kawasaki, T. Recovery and collapse of the Far Eastern sardine. Fish. Oceanogr. 2010, 2, 244–253. [Google Scholar] [CrossRef]
- Lluch-Belda, D.; Crawford, R.J.M.; Kawasaki, T.; MacCall, A.D.; Parrish, R.H.; Schwartzlose, R.A.; Smith, P.E. World-wide fluctuations of sardine and anchovy stocks: The regime problem. Afr. J. Mar. Sci. 1989, 8, 195–205. [Google Scholar] [CrossRef]
- Yatsu, A.; Watanabe, T.; Ishida, M.; Sugisaki, H.; Jacobson, L.D. Environmental effects on recruitment and productivity of Japanese sardine Sardinops melanostictus and chub mackerel Scomber japonicus with recommendations for management. Fish. Oceanogr. 2005, 14, 263–278. [Google Scholar] [CrossRef]
- Suda, M.; Akamine, T.; Kishida, T. Influence of environment factors, interspecific–relationships and fishing mortality on the stock fluctuation of the Japanese sardine, Sardinops melanostictus, off the Pacific coast of Japan. Fish. Res. 2005, 76, 368–378. [Google Scholar] [CrossRef]
- Takasuka, A.; Yoneda, M.; Oozeki, Y. Density dependence in total egg production per spawner for marine fish. Fish Fish. 2019, 20, 125–137. [Google Scholar] [CrossRef]
- Takasuka, A.; Yoneda, M.; Oozeki, Y. Disentangling density–dependent effects on egg production and survival from egg to recruitment in fish. Fish Fish. 2019, 20, 870–887. [Google Scholar] [CrossRef]
- Nishikawa, H.; Yasuda, I.; Itoh, S. Impact of winter-to-spring environmental variability along the Kuroshio jet on the recruitment of Japanese sardine (Sardinops melanostictus). Fish. Oceanogr. 2011, 20, 570–582. [Google Scholar] [CrossRef]
- Shi, Y.; Zhang, X.; He, Y.; Fan, W.; Tang, F. Stock assessment using length-based bayesian evaluation method for three small pelagic species in the Northwest Pacfic Ocean. Front. Mar. Sci. 2022, 7, 775180. [Google Scholar] [CrossRef]
- Yang, C.; Han, H.; Zhang, H.; Shi, Y.; Su, B.; Jiang, P.; Xiang, D.; Sun, Y.; Li, Y. Assessment and management recommendations for the status of Japanese sardine Sardinops melanostictus population in the Northwest Pacific. Ecol. Indic. 2023, 148, 110111. [Google Scholar] [CrossRef]
- Guan, L.; Shan, X.; Jin, X.; Gorfine, H.; Yang, T.; Li, Z. Evaluating spatio–temporal dynamics of multiple fisheries-targeted populations simultaneously: A case study of the Bohai Sea ecosystem in China. Ecol. Model. 2020, 422, 108987. [Google Scholar] [CrossRef]
- Pinsky, M.L.; Worm, B.; Fogarty, M.J.; Sarmiento, J.L.; Levin, S.A. Marine Taxa Track Local Climate Velocities. Science 2013, 341, 1239–1242. [Google Scholar] [CrossRef]
- Jie, C.; Thorson, J.T.; Richards, R.A.; Yong, C. Spatio–temporal index standardization improves the stock assessment of northern shrimp in the Gulf of Maine. Can. J. Fish. Aquat. Sci. 2017, 13, 1781–1793. [Google Scholar] [CrossRef]
- Xu, B.; Zhang, H.; Tang, F.; Sui, X.; Zhang, Y.; Hou, G. Relationship between center of gravity and environmental factors of main catches of purse seine fisheries in North Pacific high seas based on GAM. South China Fish. Sci. 2020, 16, 60–70. [Google Scholar] [CrossRef]
- Wang, L.; Ma, S.; Liu, Y.; Li, J.; Liu, S.; Lin, L.; Tian, Y. Fluctuations in the abundance of chub mackerel in relation to climatic/oceanic regime shifts in the northwest Pacific Ocean since the 1970s. J. Mar. Syst. 2021, 218, 103541. [Google Scholar] [CrossRef]
- Zhao, G.; Wu, Z.; Cui, X.; Fan, W.; Shi, Y.; Xiao, G.; Tang, F. Spatial temporal patterns of chub mackerel fishing ground in the Northwest Pacific based on spatial autocorrelation model. Haiyang Xuebao 2022, 44, 22–35. [Google Scholar]
- Yang, X.; Dai, X.; Zhu, G. Geostatistical analysis of spatial heterogeneity of yellowfin tuna (Thunnus albacares) purse seine catch in the western Indian Ocean. Acta Ecol. Sin. 2012, 32, 4682–4690. [Google Scholar] [CrossRef]
- Nishida, T.; Chen, D.G. Incorporating spatial autocorrelation into the general linear model with an application to the yellowfin tuna (Thunnus albacares) longline CPUE data. Fish. Res. 2004, 70, 265–274. [Google Scholar] [CrossRef]
- Yuan, X.; Liu, Z.; Jin, Y.; Cui, X.; Zhou, W.; Cheng, J. Inter-decadal variation of spatial aggregation of Trichiurus japonicus in East China Sea based on spatial autocorrelation analysis. Chin. J. Appl. Ecol. 2017, 28, 3409–3416. [Google Scholar] [CrossRef]
- Du, Y.; Xu, B.; Ji, Y.; Ren, Y.; Zhang, C. Seasonal variations of spatial structure of Japanese squid (Loligo japonica) and octopus (Octopus ochellatus) in Haizhou Bay. J. Fish. China 2017, 41, 1888–1895. [Google Scholar] [CrossRef]
- Liu, Y.; Wang, X.F.; Lü, S.L.; Zeng, J.W.; Chen, G.B. Spatial autocorrelation of Priacanthus spp. resources in the northern South China Sea. J. Fish. China 2021, 45, 13. [Google Scholar] [CrossRef]
- Feng, Y.; Yang, M.; Chen, X. Anlyzing spatial aggregation of Ommastrephes bartramii in the Northwest Pacific Ocean based on Voronoi diagram and spatial autocorrelation. Acta Oceanol. Sin. 2014, 36, 74–84. [Google Scholar] [CrossRef]
- Petitgas, P. Geostatistics in fisheries survey design and stock assessment: Models, variances and applications. Fish Fish. 2001, 2, 231–249. [Google Scholar] [CrossRef]
- Cruz, F.S.; Ernst, B.; Arata, J.A.; Parada, C. Spatial and temporal dynamics of the Antarctic krill fishery in fishing hotspots in the Bransfield Strait and South Shetland Islands. Fish. Res. 2018, 208, 157–166. [Google Scholar] [CrossRef]
- Steves, C. Trends in the Alaskan bottom–trawl fishery from 1993 to 2015: A GIS-based spatiotemporal analysis. GI-Forum 2019, 1, 87–104. [Google Scholar] [CrossRef]
- Du, Y.; Xu, B.; Xue, Y.; Ren, Y.; Zhang, C. Analysis of temporal and spatial heterogeneity of Japanese squid (Loliolus japonica) in Haizhou Bay and adjacent waters. J. Fish. Sci. China 2017, 24, 558–565. [Google Scholar] [CrossRef]
- Li, M.; Xu, B.; Xue, Y.; Zhang, C.; Ren, Y.; Wang, J. Spatial distribution characteristics and seasonal variation of Oratosquilla oratoria in the southern coastal waters of Shandong Province. J. Fish. China 2019, 43, 1749–1758. [Google Scholar] [CrossRef]
- Tian, S.; Chen, Y.; Chen, X.; Xu, L.; Dai, X. Impacts of spatial scales of fisheries and environmental data on catch per unit effort standardization. Mar. Freshw. Res. 2009, 60, 1273–1284. [Google Scholar] [CrossRef]
- Shi, Y.; Kang, B.; Fan, W.; Xu, L.; Zhang, S.; Cui, X.; Dai, Y. Spatio–temporal variations in the potential habitat distribution of pacific sardine (Sardinops sagax) in the Northwest Pacific Ocean. Fishes 2023, 8, 86. [Google Scholar] [CrossRef]
- Feng, Y.; Chen, X.; Yang, M.; Huo, D.; Zhu, G. An exploratory spatial data analysis-based investigation of the hot spots and variability of Ommastrephes bartramii fishery resources in the northwestern Pacific Ocean. Acta Ecol. Sin. 2014, 34, 1841–1850. [Google Scholar] [CrossRef]
- Ren, P.; Wu, T.; Zhou, J. Analysis of spatial distribution pattern and evolutionary characteristics of cultivated lands based on spatial autocorrelation model and GIS platform—A case study of Longquanyi District, Chengdu, China. Chin. J. Eco-Agric. 2016, 24, 325–334. [Google Scholar] [CrossRef]
- Ping, J.L.; Green, C.J.; Zartman, R.E.; Bronson, K.F. Exploring spatial dependence of cotton yield using global and local autocorrelation statistics. Field Crop. Res. 2004, 89, 219–236. [Google Scholar] [CrossRef]
- Feng, Y.; Chen, X.; Liu, Y. Detection of spatial hot spots and variation for the neon flying squid Ommastrephes Bartramii resources in the northwest Pacific Ocean. J. Oceanol. Limnol. 2017, 35, 921–935. [Google Scholar] [CrossRef]
- Mitchell, A. The ESRI Guide to GIS Analysis (Volume 2); ESRI Press: Redlands, CA, USA, 2005. [Google Scholar]
- Chen, D. Spatial Landscape Pattern Optimization Based on the Stability Model and MCR Model of Dongfang. Master’s Thesis, Central South University of Forestry and Technology, Changsha, China, 2016. [Google Scholar]
- Chen, L.; Song, G.; Zou, C.; Zhou, H.; Zhang, X. Zoning of protected cultivated land based on improved local indicators of spatial association. Resour. Sci. 2016, 38, 1871–1882. [Google Scholar] [CrossRef]
- Ji, B.; Zhou, T.; Yuan, F.; Zhang, D.; Liu, L.; Liu, G. A method for identifying geochemical anomalies based on spatial autocorrelation. Sci. Surv. Mapp. 2017, 42, 24–27. [Google Scholar] [CrossRef]
- Getis, A.; Ord, J.K. The analysis of spatial association by use of distance statistics. Geogr. Anal. 1992, 24, 189–206. [Google Scholar] [CrossRef]
- Zank, B.; Bagstad, K.; Voigt, B.; Villa, F. Modeling the effects of urban expansion on natural capital stocks and ecosystem service flows: A case study in the Puget Sound, Washington, USA. Landsc. Urban Plan. 2016, 149, 31–42. [Google Scholar] [CrossRef]
- Lefever, D.W. Measuring geographic concentration by means of the standard deviational ellipse. Am. J. Sociol. 1926, 32, 88–94. [Google Scholar] [CrossRef]
- Nishikawa, H. Relationship between recruitment of Japanese sardine (Sardinops melanostictus) and environment of larval habitat in the low: Tock period (1995–2010). Fish. Oceanogr. 2018, 28, 131–142. [Google Scholar] [CrossRef]
- Cai, Y.; Huang, Z.; Li, J.; Xu, Y.; Sun, M.; Chen, Z.; Liu, W. Stock distribution of a new record species Nemipterus mesoprion in offshore northern South China Sea. South China Fish. Sci. 2020, 16, 1–11. [Google Scholar] [CrossRef]
- Dormann, C.G.; Elith, J.; Bacher, S.; Lautenback, S. Collinearity: A review of methods to deal with it and a simulation study evaluating their performance. Ecography 2013, 36, 27–46. [Google Scholar] [CrossRef]
- Planque, B.; Bellier, E.; Lazure, P. Modelling potential spawning habitat of sardine (Sardina pilchardus) and anchovy (Engraulis encrasicolus) in the Bay of Biscay. Fish. Oceanogr. 2007, 16, 16–30. [Google Scholar] [CrossRef]
- Fang, J.T.; Zhang, J.; Feng, X.; Chen, Z.Z. Relationship between Sthenoteuthis oualaniensis fishing ground and marine environmental factors in Nansha area. J. Shanghai Ocean Univ. 2019, 28, 419–426. [Google Scholar] [CrossRef]
- Song, Y.; Wang, T.; Xiong, M.; Yang, S.; Zhang, H.; Ying, J.; Shi, Y.; Zhao, G.; Zhang, X.; Liu, X.; et al. Analysis of the Distribution Characteristics of Jellyfish and Environmental Factors in the Seawater Intake Area of the Haiyang Nuclear Power Plant in China. Biology 2024, 13, 433. [Google Scholar] [CrossRef]
- Krafft, B.A.; Skaret, G.; Knutsen, T. An Antarctic krill (Euphausia superba) hotspot: Population characteristics, abundance and vertical structure explored from a krill fishing vessel. Polar Biol. 2015, 38, 1687–1700. [Google Scholar] [CrossRef]
- Xinjun, C. Fisheries Forecasting; Ocean Press: Beijing, China, 2016. [Google Scholar]
- Itoh, S.; Tsutsumi, E.; Masunaga, E.; Sakamoto, T.T.; Ishikawa, K.; Yanagimoto, D.; Hoshiba, Y.; Kaneko, H.; Hasegawa, D.; Tanaka, K.; et al. Seasonal cycle of the confluence of the Tsugaru Warm, Oyashio, and Kuroshio currents east of Japan. J. Geophys. Res. Ocean. 2022, 127, e2022JC018556. [Google Scholar] [CrossRef]
- Ge, X. Construction and Comparison of Fishing Ground Forecast Model of Chub Mackerel (Scomber japonicus) in Pacific Northwest. Master’s Thesis, Shanghai Ocean University, Shanghai, China, 2022. [Google Scholar]
- Han, H.; Yang, C.; Jiang, B.; Shang, C.; Sun, Y.; Zhao, X.; Xiang, D.; Zhang, H.; Shi, Y. Construction of chub mackerel (Scomber japonicus) fishing ground prediction model in the northwestern Pacific Ocean based on deep learning and marine environmental variables. Mar. Pollut. Bull. 2023, 193, 115158. [Google Scholar] [CrossRef]
- Kamimura, Y.; Taga, M.; Yukami, R.; Watanabe, C.; Furuichi, S. Intra- and inter-specific density dependence of body condition, growth, and habitat temperature in chub mackerel (Scomber japonicus). ICES J. Mar. Sci. 2021, 78, 3254–3264. [Google Scholar] [CrossRef]
- Kishida, T.; Matsuda, H. Statistical analyses of intra- and inter-specific density effects on recruitment of chub mackerel and sardine in Japan. Fish. Oceanogr. 1993, 2, 278–287. [Google Scholar] [CrossRef]
- Suda, M.; Watanabe, C.; Akamine, T. Two-species population dynamics model for Japanese sardine Sardinops melanostictus and chub mackerel Scomber japonicus off the Pacific coast of Japan. Fish. Res. 2008, 94, 18–25. [Google Scholar] [CrossRef]
- Wei, G.; Chen, X.; Li, G. Interannual variation and forecasting of Ommastrephes bartramii migration gravity in the Northwest Pacific Ocean. J. Shanghai Ocean Univ. 2018, 27, 573–583. [Google Scholar] [CrossRef]
- Velikanov, A.Y. Pacific sardine (Sardinops melanostictus) migrations to the shores of Sakhalin Island in the 20th–early 21st centuries. J. Ichthyol. 2016, 56, 715–727a. [Google Scholar] [CrossRef]
- Petatán-Ramírez, D.; Ojeda-Ruiz, M.Á.; Sánchez-Velasco, L.; Rivas, D.; Reyes-Bonilla, H.; Cruz-Piñón, G.; Morzaria-Luna, H.N.; Cisneros-Montemayor, A.M.; Cheung, W.W.L.; Salvadeo, C. Potential changes in the distribution of suitable habitat for Pacific sardine (Sardinops sagax) under climate change scenarios. Deep-Sea Res. Part II 2019, 169–170, 104632. [Google Scholar] [CrossRef]
- Yang, C.; Zhang, H.; Han, H.; Zhao, G.; Shi, Y.; Xu, B.; Jiang, P.; Yan, Y.; Ge, Y. Spatio-temporal distribution of Sardinops sagax in the North Pacific: Optimal environmental characteristics. Prog. Fish. Sci. 2023, 44, 99–110. [Google Scholar] [CrossRef]
- Cheunge, W.W.L.; Watson, R.; Pauly, D. Signature of ocean warming in global fisheries catch. Nat. Lett. 2013, 497, 365–368. [Google Scholar] [CrossRef]
- Sakamoto, T.; Takahashi, M.; Chung, M.T.; Rykaczewski, R.R.; Komatsu, K.; Shirai, K.; Ishimura, T.; Higuchi, T. Contrasting life-history responses to climate variability in eastern and western North Pacific sardine populations. Nat Commun 2022, 13, 5298. [Google Scholar] [CrossRef]
- Ba, K.; Thiaw, M.; Lazar, N.; Sarr, A.; Brochier, T.; Ndiaye, I.; Faye, A.; Sadio, O.; Panfili, J.; Thiaw, O.T.; et al. Resilience of key biological parameters of the Senegalese flat sardine in the context of overfishing and climate change. PLoS ONE 2016, 11, e0156143. [Google Scholar] [CrossRef]
- Diankha, O.; Ba, A.; Brehmer, P.; Brochier, T.; Sow, B.A.; Thiaw, M.; Gaye, A.T.; Ngom, F.; Demarcq, H. Contrasted optimal environmental windows for both sardinella species in senegalese waters. Fish. Oceanogr. 2018, 27, 351–365. [Google Scholar] [CrossRef]
- Okunishi, T.; Yamanaka, Y.; Ito, S. A simulation model for Japanese sardine (Sardinops melanostictus) migrations in the western North Pacific. Ecol. Model. 2009, 220, 462–479. [Google Scholar] [CrossRef]
- Nishikawa, H.; Yasuda, I. Japanese sardine (Sardinops melanostictus) mortality in relation to the winter mixed layer depth in the Kuroshio Extension region. Fish. Oceanogr. 2010, 17, 411–420. [Google Scholar] [CrossRef]
- Guoqing, Z. Study on Fishery Biology and Fishing Ground Changes of Chub Mackerel (Scomber japonicus) in the High Seas of the Northwest Pacific. Ph.D. Thesis, Shanghai Ocean University, Shanghai, China, 2022. [Google Scholar]
- Wang, W.; Shao, Q.; Xue, Y.; Zhang, T. On the relationship between the resources of Ommastrephes Bartramia and marine environment in the Northwest Pacific ocean based on GIS. Geo-Inf. Sci. 2003, 1, 39–44. [Google Scholar] [CrossRef]
- Yang, X.; Dai, X.; Tian, S.; Zhu, G. Hot spot analysis and spatial heterogeneity of skipjack tuna (Katsuwonus pelamis) purse seine resources in the western and central Pacific Ocean. Acta Ecol. Sin. 2014, 34, 3771–3778. [Google Scholar] [CrossRef][Green Version]












| Year | Rotation | Major Axis | Short Axis | Oblateness |
|---|---|---|---|---|
| 2014 | 52.70 | 4.63 | 1.09 | 4.26 |
| 2015 | 61.02 | 1.86 | 0.56 | 3.14 |
| 2016 | 64.30 | 2.89 | 1.06 | 2.73 |
| 2017 | 58.98 | 4.82 | 1.02 | 4.69 |
| 2018 | 56.42 | 2.88 | 0.68 | 4.26 |
| 2019 | 52.89 | 3.00 | 0.48 | 6.20 |
| 2020 | 61.25 | 2.84 | 0.47 | 6.02 |
| 2021 | 64.79 | 2.90 | 0.74 | 3.89 |
| Year | Mean | SD | Skewness | Kurtosis |
|---|---|---|---|---|
| 2014 | 3.01 | 3.57 | 2.75 | 8.72 |
| 2015 | 3.72 | 4.04 | 6.15 | 64.34 |
| 2016 | 2.81 | 4.04 | 10.38 | 181.64 |
| 2017 | 5.59 | 6.1 | 2.74 | 10.86 |
| 2018 | 7.67 | 8.35 | 3.255 | 13.953 |
| 2019 | 6.82 | 5.62 | 2.12 | 9.55 |
| 2020 | 10.99 | 11.19 | 1.98 | 6.33 |
| 2021 | 15.34 | 14.26 | 2.08 | 5.84 |
| Variable | Year | Month | Longitude | Latitude | SST | Chl–a | SSS | SSH |
|---|---|---|---|---|---|---|---|---|
| VIF value | 3.337 | 1.654 | 3.179 | 3.183 | 1.782 | 1.484 | 4.788 | 4.998 |
| GAM | R2 | AIC | Explanation Rate (%) |
|---|---|---|---|
| log(CPUE + 1)~s(year) | 0.361 | 6989.464 | 36.1 |
| log(CPUE + 1)~s(year) + s(month) | 0.373 | 6929.975 | 37.6 |
| log(CPUE + 1)~s(year) + s(month) + s(longitude) | 0.378 | 6904.907 | 38.1 |
| log(CPUE + 1)~s(year) + s(month) + s(longitude) + s(latitude) | 0.379 | 6901.542 | 38.2 |
| log(CPUE + 1)~s(year) + s(month) + s(longitude) + s(latitude) + s(SST) | 0.384 | 6885.366 | 38.8 |
| log(CPUE + 1)~s(year) + s(month) + s(longitude) + s(latitude) + s(SST) + s(chl–a) | 0.395 | 6833.707 | 40 |
| log(CPUE + 1)~s(year) + s(month) + s(longitude) + s(latitude) + s(SST) + s(chl–a) + s(SSS) | 0.396 | 6830.116 | 40.3 |
| log(CPUE + 1)~s(year) + s(month) + s(longitude) + s(latitude) + s(SST) + s(chl–a) + s(SSS) + s(SSH) | 0.408 | 6773.745 | 41.6 |
| Parameter | df | F | p Value |
|---|---|---|---|
| Year | 4 | 476.3 | 2 × 10−16 |
| Month | 3.926 | 5.807 | 9.35 × 10−5 |
| Longitude | 3.987 | 35.8 | 2 × 10−16 |
| Latitude | 1.907 | 28.51 | 2 × 10−16 |
| SST | 3.924 | 8.005 | 1.36 × 10−5 |
| chl–a | 3.992 | 6.25 | 2 × 10−16 |
| SSS | 3.424 | 14.49 | 2 × 10−16 |
| SSH | 3.982 | 119.6 | 2 × 10−16 |
Disclaimer/Publisher’s Note: The statements, opinions and data contained in all publications are solely those of the individual author(s) and contributor(s) and not of MDPI and/or the editor(s). MDPI and/or the editor(s) disclaim responsibility for any injury to people or property resulting from any ideas, methods, instructions or products referred to in the content. |
© 2025 by the authors. Licensee MDPI, Basel, Switzerland. This article is an open access article distributed under the terms and conditions of the Creative Commons Attribution (CC BY) license (https://creativecommons.org/licenses/by/4.0/).
Share and Cite
Tang, Y.; Gong, Y.; Zhang, H.; Zhao, G.; Tang, F. The Spatial Dynamics of Japanese Sardine (Sardinops sagax) Fishing Grounds in the Northwest Pacific: A Geostatistical Approach. Animals 2025, 15, 1597. https://doi.org/10.3390/ani15111597
Tang Y, Gong Y, Zhang H, Zhao G, Tang F. The Spatial Dynamics of Japanese Sardine (Sardinops sagax) Fishing Grounds in the Northwest Pacific: A Geostatistical Approach. Animals. 2025; 15(11):1597. https://doi.org/10.3390/ani15111597
Chicago/Turabian StyleTang, Yongzheng, Yuanting Gong, Heng Zhang, Guoqing Zhao, and Fenghua Tang. 2025. "The Spatial Dynamics of Japanese Sardine (Sardinops sagax) Fishing Grounds in the Northwest Pacific: A Geostatistical Approach" Animals 15, no. 11: 1597. https://doi.org/10.3390/ani15111597
APA StyleTang, Y., Gong, Y., Zhang, H., Zhao, G., & Tang, F. (2025). The Spatial Dynamics of Japanese Sardine (Sardinops sagax) Fishing Grounds in the Northwest Pacific: A Geostatistical Approach. Animals, 15(11), 1597. https://doi.org/10.3390/ani15111597

