Chronic Dexamethasone Disturbs the Circadian Rhythm of Melatonin and Clock Genes in Goats
Simple Summary
Abstract
1. Introduction
2. Materials and Methods
2.1. Animals and Experimental Design
2.2. Measurement of Plasma and Colon Melatonin and Plasma Cortisol Level
2.3. Assay of Arylalkylamine N-Acetyltransferase (AANAT)
2.4. Assay of Malondialdehyde and Glutathione Content
2.5. RNA Isolation, cDNA Synthesis, and Real-Time PCR
2.6. Assay of DAO and LPS
2.7. Western Blotting Analysis
2.8. Statistical Analysis
3. Results
3.1. Effect of Chronic Dex Exposure on the Concentrations of Melatonin and Cortisol in Goats
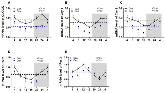
3.2. Effect of Chronic Dex Exposure on the Circadian Rhythm of Clock Genes in Plasma
3.3. Effect of Chronic Dex Exposure on the GSH and MDA in Plasma
3.4. Effect of Chronic Dex Exposure on Intestinal Barrier Function Indexes (DAO and LPS)
3.5. Effect of Chronic Exposure to Dex on CLOCK\BMAL1 and GR Protein Expression
4. Discussion
5. Conclusions
Supplementary Materials
Author Contributions
Funding
Institutional Review Board Statement
Informed Consent Statement
Data Availability Statement
Acknowledgments
Conflicts of Interest
References
- Ahmad, S.B.; Ali, A.; Bilal, M.; Rashid, S.M.; Wani, A.B.; Bhat, R.R.; Rehman, M.U. Melatonin and Health: Insights of Melatonin Action, Biological Functions, and Associated Disorders. Cell. Mol. Neurobiol. 2023, 43, 2437–2458. [Google Scholar] [CrossRef]
- Ma, N.; Zhang, J.; Reiter, R.J.; Ma, X. Melatonin mediates mucosal immune cells, microbial metabolism, and rhythm crosstalk: A therapeutic target to reduce intestinal inflammation. Med. Res. Rev. 2020, 40, 606–632. [Google Scholar] [CrossRef]
- Claustrat, B.; Leston, J. Melatonin: Physiological effects in humans. Neurochirurgie 2015, 61, 77–84. [Google Scholar] [CrossRef] [PubMed]
- Yasmin, F.; Sutradhar, S.; Das, P.; Mukherjee, S. Gut melatonin: A potent candidate in the diversified journey of melatonin research. Gen. Comp. Endocrinol. 2021, 303, 113693. [Google Scholar] [CrossRef]
- Meneses-Santos, D.; Buonfiglio, D.D.C.; Peliciari-Garcia, R.A.; Ramos-Lobo, A.M.; Souza, D.D.N.; Carpinelli, A.R.; Carvalho, C.R.O.; Sertie, R.A.L.; Andreotti, S.; Lima, F.B.; et al. Chronic treatment with dexamethasone alters clock gene expression and melatonin synthesis in rat pineal gland at night. Nat. Sci. Sleep. 2018, 10, 203–215. [Google Scholar] [CrossRef]
- Gao, T.; Wang, Z.; Cao, J.; Dong, Y.; Chen, Y. Melatonin alleviates oxidative stress in sleep deprived mice: Involvement of small intestinal mucosa injury. Int. Immunopharmacol. 2020, 78, 106041. [Google Scholar] [CrossRef] [PubMed]
- Monteleone, P.; Fuschino, A.; Nolfe, G.; Maj, M. Temporal relationship between melatonin and cortisol responses to nighttime physical stress in humans. Psychoneuroendocrinology 1992, 17, 81–86. [Google Scholar] [CrossRef] [PubMed]
- Park, Y.S.; Kim, S.H.; Park, J.W.; Kho, Y.; Seok, P.R.; Shin, J.H.; Choi, Y.J.; Jun, J.H.; Jung, H.C.; Kim, E.K. Melatonin in the colon modulates intestinal microbiota in response to stress and sleep deprivation. Intest. Res. 2020, 18, 325–336. [Google Scholar] [CrossRef] [PubMed]
- Fernandes, P.A.; Tamura, E.K.; D’Argenio-Garcia, L.; Muxel, S.M.; da Silveira Cruz-Machado, S.; Marcola, M.; Carvalho-Sousa, C.E.; Cecon, E.; Ferreira, Z.S.; Markus, R.P. Dual Effect of Catecholamines and Corticosterone Crosstalk on Pineal Gland Melatonin Synthesis. Neuroendocrinology 2017, 104, 126–134. [Google Scholar] [CrossRef] [PubMed]
- Lutterschmidt, D.I.; Mason, R.T. Temporally distinct effects of stress and corticosterone on diel melatonin rhythms of red-sided garter snakes (Thamnophis sirtalis). Gen. Comp. Endocrinol. 2010, 169, 11–17. [Google Scholar] [CrossRef] [PubMed]
- Yang, Y.; Han, W.; Zhang, A.; Zhao, M.; Cong, W.; Jia, Y.; Wang, D.; Zhao, R. Chronic corticosterone disrupts the circadian rhythm of CRH expression and m(6)A RNA methylation in the chicken hypothalamus. J. Anim. Sci. Biotechnol. 2022, 13, 29. [Google Scholar] [CrossRef]
- Dagnino-Subiabre, A.; Orellana, J.A.; Carmona-Fontaine, C.; Montiel, J.; Diaz-Veliz, G.; Seron-Ferre, M.; Wyneken, U.; Concha, M.L.; Aboitiz, F. Chronic stress decreases the expression of sympathetic markers in the pineal gland and increases plasma melatonin concentration in rats. J. Neurochem. 2006, 97, 1279–1287. [Google Scholar] [CrossRef] [PubMed]
- Poggiogalle, E.; Jamshed, H.; Peterson, C.M. Circadian regulation of glucose, lipid, and energy metabolism in humans. Metabolism 2018, 84, 11–27. [Google Scholar] [CrossRef] [PubMed]
- Stokes, K.; Cooke, A.; Chang, H.; Weaver, D.R.; Breault, D.T.; Karpowicz, P. The Circadian Clock Gene BMAL1 Coordinates Intestinal Regeneration. Cell. Mol. Gastroenterol. Hepatol. 2017, 4, 95–114. [Google Scholar] [CrossRef] [PubMed]
- Kyoko, O.O.; Kono, H.; Ishimaru, K.; Miyake, K.; Kubota, T.; Ogawa, H.; Okumura, K.; Shibata, S.; Nakao, A. Expressions of tight junction proteins Occludin and Claudin-1 are under the circadian control in the mouse large intestine: Implications in intestinal permeability and susceptibility to colitis. PLoS ONE 2014, 9, e98016. [Google Scholar] [CrossRef]
- Cai, L.; Hua, C.; Geng, Y.; Chen, Q.; Niu, L.; Tao, S.; Ni, Y.; Zhao, R. Chronic Dexamethasone exposure activates the TLR4-Mediated inflammation pathway and induces epithelial apoptosis in the goat colon. Biochem. Biophys. Res. Commun. 2019, 518, 7–13. [Google Scholar] [CrossRef] [PubMed]
- Sapolsky, R.M.; Armanini, M.P.; Packan, D.R.; Sutton, S.W.; Plotsky, P.M. Glucocorticoid feedback inhibition of adrenocorticotropic hormone secretagogue release. Relationship to corticosteroid receptor occupancy in various limbic sites. Neuroendocrinology 1990, 51, 328–336. [Google Scholar] [CrossRef]
- Cole, M.A.; Kim, P.J.; Kalman, B.A.; Spencer, R.L. Dexamethasone suppression of corticosteroid secretion: Evaluation of the site of action by receptor measures and functional studies. Psychoneuroendocrinology 2000, 25, 151–167. [Google Scholar] [CrossRef]
- Sezgin, G.; Ozturk, G.; Guney, S.; Sinanoglu, O.; Tuncdemir, M. Protective effect of melatonin and 1,25-dihydroxyvitamin D3 on renal ischemia-reperfusion injury in rats. Ren. Fail. 2013, 35, 374–379. [Google Scholar] [CrossRef] [PubMed]
- Zhu, D.; Ma, Y.; Ding, S.; Jiang, H.; Fang, J. Effects of Melatonin on Intestinal Microbiota and Oxidative Stress in Colitis Mice. Biomed. Res. Int. 2018, 2018, 2607679. [Google Scholar] [CrossRef]
- Tian, Y.; Zhang, D. Biological Clock and Inflammatory Bowel Disease Review: From the Standpoint of the Intestinal Barrier. Gastroenterol. Res. Pract. 2022, 2022, 2939921. [Google Scholar] [CrossRef] [PubMed]
- Scott, E.M.; Carter, A.M.; Grant, P.J. Association between polymorphisms in the Clock gene, obesity and the metabolic syndrome in man. Int. J. Obes. 2008, 32, 658–662. [Google Scholar] [CrossRef] [PubMed]
- Shimba, S.; Ogawa, T.; Hitosugi, S.; Ichihashi, Y.; Nakadaira, Y.; Kobayashi, M.; Tezuka, M.; Kosuge, Y.; Ishige, K.; Ito, Y.; et al. Deficient of a clock gene, brain and muscle Arnt-like protein-1 (BMAL1), induces dyslipidemia and ectopic fat formation. PLoS ONE 2011, 6, e25231. [Google Scholar] [CrossRef] [PubMed]
- Martin, R.A.; Viggars, M.R.; Esser, K.A. Metabolism and exercise: The skeletal muscle clock takes centre stage. Nat. Rev. Endocrinol. 2023, 19, 272–284. [Google Scholar] [CrossRef] [PubMed]
- Yamazaki, S.; Numano, R.; Abe, M.; Hida, A.; Takahashi, R.; Ueda, M.; Block, G.D.; Sakaki, Y.; Menaker, M.; Tei, H. Resetting central and peripheral circadian oscillators in transgenic rats. Science 2000, 288, 682–685. [Google Scholar] [CrossRef]
- Teboul, M.; Barrat-Petit, M.A.; Li, X.M.; Claustrat, B.; Formento, J.L.; Delaunay, F.; Levi, F.; Milano, G. Atypical patterns of circadian clock gene expression in human peripheral blood mononuclear cells. J. Mol. Med. 2005, 83, 693–699. [Google Scholar] [CrossRef] [PubMed]
- Ohmori, K.; Nishikawa, S.; Oku, K.; Oida, K.; Amagai, Y.; Kajiwara, N.; Jung, K.; Matsuda, A.; Tanaka, A.; Matsuda, H. Circadian rhythms and the effect of glucocorticoids on expression of the clock gene period1 in canine peripheral blood mononuclear cells. Vet. J. 2013, 196, 402–407. [Google Scholar] [CrossRef] [PubMed]
- Baumann, A.; Gonnenwein, S.; Bischoff, S.C.; Sherman, H.; Chapnik, N.; Froy, O.; Lorentz, A. The circadian clock is functional in eosinophils and mast cells. Immunology 2013, 140, 465–474. [Google Scholar] [CrossRef]
- Bellet, M.M.; Sassone-Corsi, P. Mammalian circadian clock and metabolism—The epigenetic link. J. Cell Sci. 2010, 123, 3837–3848. [Google Scholar] [CrossRef]
- Gachon, F.; Nagoshi, E.; Brown, S.A.; Ripperger, J.; Schibler, U. The mammalian circadian timing system: From gene expression to physiology. Chromosoma 2004, 113, 103–112. [Google Scholar] [CrossRef] [PubMed]
- Nicoll, J.X.; Fry, A.C.; Mosier, E.M. Sex-based differences in resting MAPK, androgen, and glucocorticoid receptor phosphorylation in human skeletal muscle. Steroids 2019, 141, 23–29. [Google Scholar] [CrossRef] [PubMed]
- Cuffe, J.S.M.; Saif, Z.; Perkins, A.V.; Moritz, K.M.; Clifton, V.L. Dexamethasone and sex regulate placental glucocorticoid receptor isoforms in mice. J. Endocrinol. 2017, 234, 89–100. [Google Scholar] [CrossRef] [PubMed]
- Eachus, H.; Oberski, L.; Paveley, J.; Bacila, I.; Ashton, J.P.; Esposito, U.; Seifuddin, F.; Pirooznia, M.; Elhaik, E.; Placzek, M.; et al. Glucocorticoid receptor regulates protein chaperone, circadian clock and affective disorder genes in the zebrafish brain. Dis. Model. Mech. 2023, 16, dmm050141. [Google Scholar] [CrossRef] [PubMed]
- von Gall, C.; Weaver, D.R.; Moek, J.; Jilg, A.; Stehle, J.H.; Korf, H.W. Melatonin plays a crucial role in the regulation of rhythmic clock gene expression in the mouse pars tuberalis. Ann. N. Y. Acad. Sci. 2005, 1040, 508–511. [Google Scholar] [CrossRef] [PubMed]





| Target Genes | Primer Sequences 5′–3′ | Source |
|---|---|---|
| PER1 | F: CTCTTCCTGCACTGCCTCTT | XM_018042917.1 |
| R: TGATGATGTCTTTCTTGGCAC | ||
| PER2 | F: AGCGTCAGGATGACCTACCA | XM_018064614.1 |
| R: GTCCTCTGGCCTCACAGTTT | ||
| CLOCK | F: TTCGACAGGACTGGAAACCT | XR_001917237.1 |
| R: CTTCCATCTGTCATGATTGCTC | ||
| CRY1 | F: TCCGCTGCGTCTACATCCT | NM 001129735.1 |
| R: CAAAAATCGCCACCTGTTGA | ||
| CRY2 | F: CAGGAAGGTGAAGCGGAACA | NM 001129736 |
| R:TAAAAGAACTCTCGCCACAGAAGTT | ||
| DAPDH | F: GGGTCATCATCTCTGCACCT | HM043737.1 |
| R: GGTCATAAGTCCCTCCACGA |
| Index | Group | Melatonin | Cortisol |
|---|---|---|---|
| Mesor | Con | 0.34 ± 0.01 | 6.77 ± 0.82 |
| Dex | 0.25 ± 0.02 * | 2.95 ± 0.62 ** | |
| Amplitude | Con | 0.11 ± 0.02 | ND |
| Dex | 0.03 ± 0.03 ** | 0.02 ± 0.01 | |
| Acrophase, h | Con | ND | 0.99 ± 0.32 |
| Dex | 3.5 ± 0.17 | ND |
| Index | Group | Clock | Cry1 | Cry2 | Per2 | Per3 |
|---|---|---|---|---|---|---|
| Mesor | Con | 0.89 ± 0.04 | 0.77 ± 0.03 | 0.78 ± 0.27 | 0.61 ± 0.02 | 1.09 ± 0.76 |
| Dex | 0.57 ± 0.02 * | 0.49 ± 0.04 * | 0.52 ± 0.18 * | 0.40 ± 0.03 * | 0.91 ± 0.52 | |
| Amplitude | Con | 0.21 ± 0.02 | 0.22 ± 0.04 | 0.21 ± 0.12 | 0.30 ± 0.06 | ND |
| Dex | 0.15 ± 0.03 | 0.24 ± 0.03 | 0.27 ± 0.09 | 0.27 ± 0.04 | ND | |
| Acrophase, h | Con | ND | 3.26 ± 1.32 | 5.65 ± 0.68 | 2.52 ± 0.58 | ND |
| Dex | 2.4 ± 1.31 | 2.99 ± 0.98 | 3.91 ± 0.51 * | 4.40 ± 0.65 * | 2.81 ± 1.23 |
Disclaimer/Publisher’s Note: The statements, opinions and data contained in all publications are solely those of the individual author(s) and contributor(s) and not of MDPI and/or the editor(s). MDPI and/or the editor(s) disclaim responsibility for any injury to people or property resulting from any ideas, methods, instructions or products referred to in the content. |
© 2025 by the authors. Licensee MDPI, Basel, Switzerland. This article is an open access article distributed under the terms and conditions of the Creative Commons Attribution (CC BY) license (https://creativecommons.org/licenses/by/4.0/).
Share and Cite
Cai, L.; Chen, Q.; Hua, C.; Niu, L.; Kong, Q.; Wu, L.; Ni, Y. Chronic Dexamethasone Disturbs the Circadian Rhythm of Melatonin and Clock Genes in Goats. Animals 2025, 15, 115. https://doi.org/10.3390/ani15010115
Cai L, Chen Q, Hua C, Niu L, Kong Q, Wu L, Ni Y. Chronic Dexamethasone Disturbs the Circadian Rhythm of Melatonin and Clock Genes in Goats. Animals. 2025; 15(1):115. https://doi.org/10.3390/ani15010115
Chicago/Turabian StyleCai, Liuping, Qu Chen, Canfeng Hua, Liqiong Niu, Qijun Kong, Lei Wu, and Yingdong Ni. 2025. "Chronic Dexamethasone Disturbs the Circadian Rhythm of Melatonin and Clock Genes in Goats" Animals 15, no. 1: 115. https://doi.org/10.3390/ani15010115
APA StyleCai, L., Chen, Q., Hua, C., Niu, L., Kong, Q., Wu, L., & Ni, Y. (2025). Chronic Dexamethasone Disturbs the Circadian Rhythm of Melatonin and Clock Genes in Goats. Animals, 15(1), 115. https://doi.org/10.3390/ani15010115

