Effect of Tannic Acid on Antioxidant Function, Immunity, and Intestinal Barrier of Broilers Co-Infected with Coccidia and Clostridium perfringens
Abstract
Simple Summary
Abstract
1. Introduction
2. Materials and Methods
2.1. Animal Care and Diet
2.2. Sample Collection
2.3. Antioxidant Indexes
2.4. RNA Isolation and Quantitative Real-Time PCR
2.5. Statistical Analysis
3. Results
3.1. Antioxidant Indexes
3.2. The mRNA Levels of Antioxidant Enzymes in the Liver
3.3. The mRNA Levels of Antioxidant Enzymes in the Jejunum
3.4. The mRNA Levels of the Antioxidant Pathway in the Liver
3.5. The mRNA Levels of the Antioxidant Pathway in the Jejunum
3.6. The mRNA Levels of the Cytokines in the Jejunum
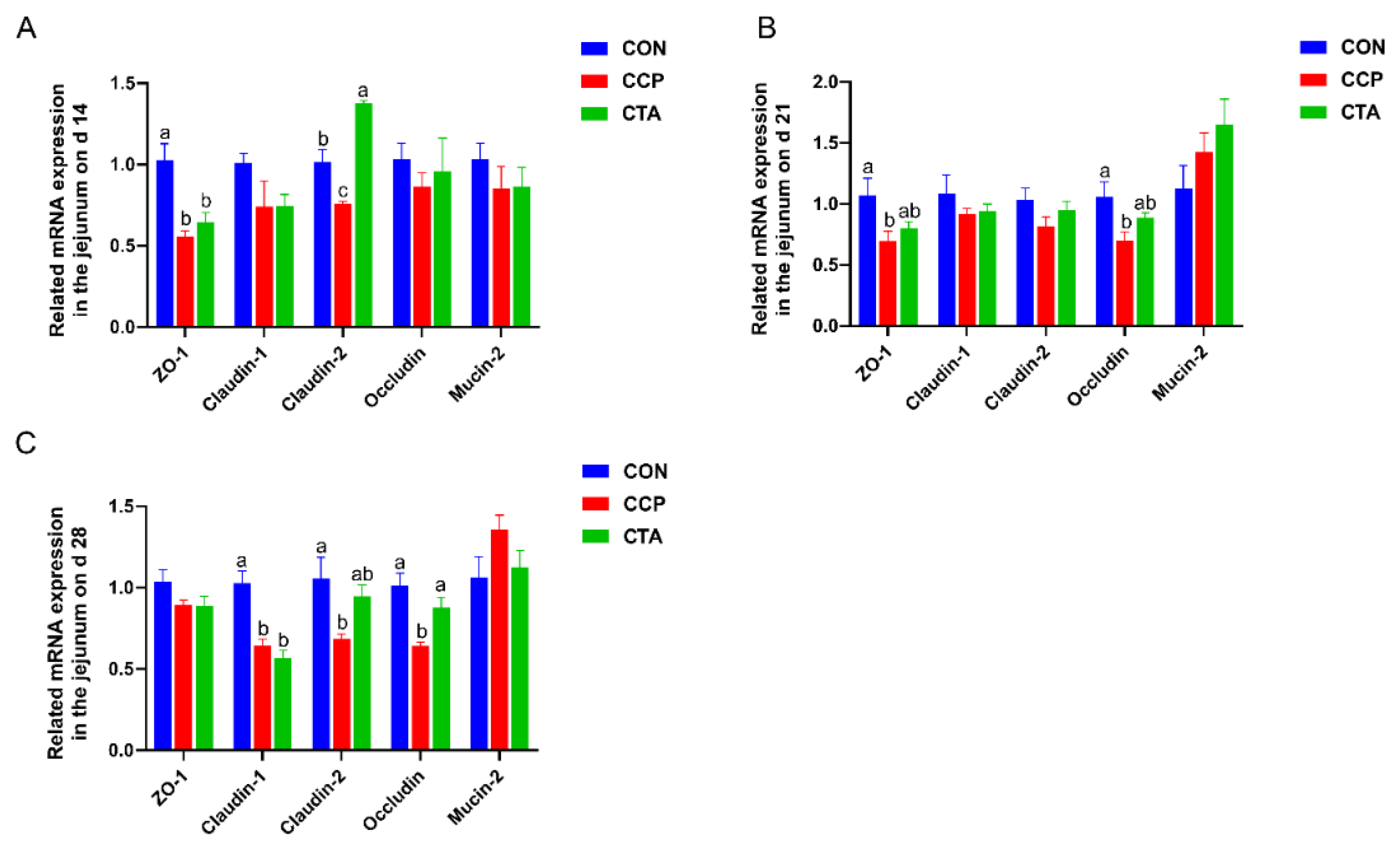
3.7. The mRNA Levels of Barrier Factors in the Jejunum
4. Discussion
5. Conclusions
Author Contributions
Funding
Institutional Review Board Statement
Informed Consent Statement
Data Availability Statement
Acknowledgments
Conflicts of Interest
Abbreviations
References
- Emami, N.K.; Dalloul, R.A. Centennial Review: Recent developments in host-pathogen interactions during necrotic enteritis in poultry. Poult. Sci. 2021, 100, 101330. [Google Scholar] [CrossRef]
- Gu, C.; Lillehoj, H.S.; Sun, Z.; Lee, Y.; Zhao, H.; Xianyu, Z.; Yan, X.; Wang, Y.; Lin, S.; Liu, L.; et al. Characterization of virulent netB+/tpeL+ Clostridium perfringens strains from necrotic enteritis-affected broiler chicken farms. Avian Dis. 2019, 63, 461–467. [Google Scholar] [CrossRef] [PubMed]
- Mehdizadeh Gohari, I.; A Navarro, M.; Li, J.; Shrestha, A.; Uzal, F.; A McClane, B. Pathogenicity, and virulence of Clostridium perfringens. Virulence 2021, 12, 723–753. [Google Scholar] [CrossRef] [PubMed]
- Yu, C.; Tong, Y.; Li, Q.; Wang, T.; Yang, Z. Trans-anethole ameliorates intestinal injury through activation of Nrf2 signaling pathway in subclinical necrotic enteritis-induced broilers. Front. Vet. Sci. 2022, 9, 877066. [Google Scholar] [CrossRef] [PubMed]
- Forman, H.J.; Zhang, H. Targeting oxidative stress in disease: Promise and limitations of antioxidant therapy. Nat. Rev. Drug Discov. 2021, 20, 689–709. [Google Scholar] [CrossRef]
- Di Tommaso, N.; Gasbarrini, A.; Ponziani, F.R. Intestinal barrier in human health and disease. Int. J. Environ. Res. Public. Health 2021, 18, 12836. [Google Scholar] [CrossRef] [PubMed]
- Jing, W.; Xiaolan, C.; Yu, C.; Feng, Q.; Haifeng, Y. Pharmacological effects and mechanisms of tannic acid. Biomed. Pharmacother. 2022, 154, 113561. [Google Scholar] [CrossRef] [PubMed]
- Baldwin, A.; Booth, B.W. Biomedical applications of tannic acid. J. Biomater. Appl. 2022, 36, 1503–1523. [Google Scholar] [CrossRef] [PubMed]
- Zhang, Z.F.; Xi, Y.; Wang, S.T.; Zheng, L.Y.; Qi, Y.; Guo, S.S.; Ding, B.Y. Effects of Chinese gallnut tannic acid on growth performance, blood parameters, antioxidative status, intestinal histomorphology, and cecal microbial shedding in broilers challenged with aflatoxin B1. J. Anim. Sci. 2022, 100, skac099. [Google Scholar] [CrossRef]
- Xi, Y.; Chen, J.; Guo, S.; Wang, S.; Liu, Z.; Zheng, L.; Qi, Y.; Xu, P.; Li, L.; Zhang, Z.; et al. Effects of tannic acid on growth performance, relative organ weight, antioxidative status, and intestinal histomorphology in broilers exposed to aflatoxin B1. Front. Vet. Sci. 2022, 9, 1037046. [Google Scholar] [CrossRef]
- Liu, H.W.; Li, K.; Zhao, J.S.; Deng, W. Effects of chestnut tannins on intestinal morphology, barrier function, pro-inflammatory cytokine expression, microflora and antioxidant capacity in heat-stressed broilers. J Anim. Physiol. Anim. Nutr. 2018, 102, 717–726. [Google Scholar] [CrossRef]
- Guo, P.; Tong, Y.; Yang, R.; Zhang, M.; Lin, Q.; Lin, S.; Wang, C. Effects of hydrolyzed gallotannin on intestinal physical barrier, immune function, and microbiota structure of yellow-feather broilers. Poult. Sci. 2023, 102, 103010. [Google Scholar] [CrossRef]
- Cui, X.; Zhang, S.; Jiang, S.; Gou, Z.; Wang, Y. Dietary protocatechuic acid ameliorates ileal mucosal barrier injury and inflammatory response and improves intestinal microbiota composition in Yellow chickens challenged with Salmonella typhimurium. Poult. Sci. 2023, 102, 102496. [Google Scholar] [CrossRef]
- Xu, H.; Fu, J.; Luo, Y.; Li, P.; Song, B.; Lv, Z.; Guo, Y. Effects of tannic acid on the immunity and intestinal health of broiler chickens with necrotic enteritis infection. J. Anim. Sci. Biotechnol. 2023, 14, 72. [Google Scholar] [CrossRef]
- Xu, H.; Zhang, X.; Li, P.; Luo, Y.; Fu, J.; Gong, L.; Lv, Z.; Guo, Y. Effects of tannic acid supplementation on the intestinal health, immunity, and antioxidant function of broilers challenged with necrotic enteritis. Antioxidants 2023, 12, 1476. [Google Scholar] [CrossRef]
- Li, M.; Liu, P.; Xue, Y.; Liang, Y.; Shi, J.; Han, X.; Zhang, J.; Chu, X.; Chu, L. Tannic acid attenuates hepatic oxidative stress, apoptosis and inflammation by activating the Keap1-Nrf2/ARE signaling pathway in arsenic trioxide-toxicated rats. Oncol. Rep. 2020, 44, 2306–2316. [Google Scholar] [CrossRef]
- Jin, W.; Xue, Y.; Xue, Y.; Han, X.; Song, Q.; Zhang, J.; Li, Z.; Cheng, J.; Guan, S.; Sun, S.; et al. Tannic acid ameliorates arsenic trioxide-induced nephrotoxicity, contribution of NF-κB and Nrf2 pathways. Biomed. Pharmacother. 2020, 126, 110047. [Google Scholar] [CrossRef]
- Guo, S.; Xi, Y.; Xia, Y.; Wu, T.; Zhao, D.; Zhang, Z.; Ding, B. Dietary Lactobacillus fermentum and Bacillus coagulans supplementation modulates intestinal immunity and microbiota of broiler chickens challenged by Clostridium perfringens. Front. Vet. Sci. 2021, 8, 680742. [Google Scholar] [CrossRef] [PubMed]
- Li, P.; Liu, C.; Niu, J.; Zhang, Y.; Li, C.; Zhang, Z.; Guo, S.; Ding, B. Effects of dietary supplementation with vitamin A on antioxidant and intestinal barrier function of broilers co-Infected with coccidia and Clostridium perfringens. Animals 2022, 12, 3431. [Google Scholar] [CrossRef] [PubMed]
- Livak, K.J.; Schmittgen, T.D. Analysis of relative gene expression data using real-time quantitative PCR and the 2(-Delta Delta C(T)) Method. Methods 2001, 25, 402–408. [Google Scholar] [CrossRef] [PubMed]
- Xu, P.; Chen, Y.; Chen, J.; He, L.; Liu, C.; Guo, S.; Zhang, Z.; Ding, B. Effects of tannic acid on growth performance, antioxidant function, and intestinal morphology of broilers infected with coccidia and Clostridium perfringens. Chin. J. Anim. Nutr. 2023, 35, 7036–7048. [Google Scholar] [CrossRef]
- Demirci-Çekiç, S.; Özkan, G.; Avan, A.N.; Uzunboy, S.; Çapanoğlu, E.; Apak, R. Biomarkers of oxidative stress and antioxidant defense. J. Pharm. Biomed. Anal. 2022, 209, 114477. [Google Scholar] [CrossRef] [PubMed]
- Zhang, S.; Wang, C.; Sun, Y.; Wang, G.; Chen, H.; Li, D.; Yu, X.; Chen, G. Xylanase and fermented polysaccharide of hericium caputmedusae reduce pathogenic infection of broilers by improving antioxidant and anti-Inflammatory properties. Oxidative Med. Cell Longev. 2018, 2018, 4296985. [Google Scholar] [CrossRef] [PubMed]
- Jelic, M.D.; Mandic, A.D.; Maricic, S.M.; Srdjenovic, B.U. Oxidative stress and its role in cancer. J. Cancer Res. Ther. 2021, 17, 22–28. [Google Scholar] [CrossRef] [PubMed]
- Daneshmand, A.; Kermanshahi, H.; Mohammed, J.; Sekhavati, M.H.; Javadmanesh, A.; Ahmadian, M.; Alizadeh, M.; Razmyar, J.; Kulkarni, R.R. Intestinal changes and immune responses during Clostridium perfringens-induced necrotic enteritis in broiler chickens. Poult. Sci. 2022, 101, 101652. [Google Scholar] [CrossRef] [PubMed]
- Zhang, X.; Zhao, Q.; Ci, X.; Chen, S.; Xie, Z.; Li, H.; Zhang, H.; Chen, F.; Xie, Q. Evaluation of the efficacy of chlorogenic acid in reducing small intestine injury, oxidative stress, and inflammation in chickens challenged with Clostridium perfringens type A. Poult. Sci. 2020, 99, 6606–6618. [Google Scholar] [CrossRef]
- Wang, M.; Huang, H.; Liu, S.; Zhuang, Y.; Yang, H.; Li, Y.; Chen, S.; Wang, L.; Yin, L.; Yao, Y.; et al. Tannic acid modulates intestinal barrier functions associated with intestinal morphology, antioxidative activity, and intestinal tight junction in a diquat-induced mouse model. RSC Adv. 2019, 9, 31988–31998. [Google Scholar] [CrossRef]
- Hu, H.; Dai, S.; Li, J.; Wen, A.; Bai, X. Glutamine improves heat stress-induced oxidative damage in the broiler thigh muscle by activating the nuclear factor erythroid 2-related 2/Kelch-like ECH-associated protein 1 signaling pathway. Poult. Sci. 2020, 99, 1454–1461. [Google Scholar] [CrossRef]
- Liu, H.; Li, X.; Shi, S.; Zhou, Y.; Zhang, K.; Wang, Y.; Zhao, J. Chlorogenic acid improves growth performance and intestinal health through autophagy-mediated nuclear factor erythroid 2-related factor 2 pathway in oxidatively stressed broilers induced by dexamethasone. Poult. Sci. 2022, 101, 102036. [Google Scholar] [CrossRef]
- Flohe, L.; Günzler, W.A.; Schock, H.H. Glutathione peroxidase: A selenoenzyme. FEBS Lett. 1973, 32, 132–134. [Google Scholar] [CrossRef]
- Takahashi, K.; Avissar, N.; Whitin, J.; Cohen, H. Purification and characterization of human plasma glutathione peroxidase: A selenoglycoprotein distinct from the known cellular enzyme. Arch. Biochem. Biophys. 1987, 256, 677–686. [Google Scholar] [CrossRef]
- Brigelius-Flohé, R.; Maiorino, M. Glutathione peroxidases. Biochim. Biophys. Acta. 2013, 1830, 3289–3303. [Google Scholar] [CrossRef]
- Handy, D.E.; Loscalzo, J. The role of glutathione peroxidase-1 in health and disease. Free Radic. Biol. Med. 2022, 188, 146–161. [Google Scholar] [CrossRef]
- He, F.; Antonucci, L.; Karin, M. NRF2 as a regulator of cell metabolism and inflammation in cancer. Carcinogenesis. 2020, 41, 405–416. [Google Scholar] [CrossRef] [PubMed]
- Liu, S.; Pi, J.; Zhang, Q. Signal amplification in the KEAP1-NRF2-ARE antioxidant response pathway. Redox Biol. 2022, 54, 102389. [Google Scholar] [CrossRef] [PubMed]
- Wei, X.; Luo, C.; He, Y.; Huang, H.; Ran, F.; Liao, W.; Tan, P.; Fan, S.; Cheng, Y.; Zhang, D.; et al. Hepatoprotective effects of different extracts from triphala against CCl4-Induced acute liver injury in mice. Front. Pharmacol. 2021, 12, 664607. [Google Scholar] [CrossRef] [PubMed]
- Kizir, D.; Karaman, M.; Ceylan, H. Tannic acid may ameliorate doxorubicin-induced changes in oxidative stress parameters in rat spleen. Naunyn Schmiedebergs Arch. Pharmacol. 2023, 396, 3605–3613. [Google Scholar] [CrossRef] [PubMed]
- Wang, Z.; Guo, L.; Ding, X.; Li, F.; Xu, H.; Li, S.; Wang, X.; Li, K.; Yue, X. Supplementation of chestnut tannins in diets can improve meat quality and antioxidative capability in Hu lambs. Meat Sci. 2023, 206, 109342. [Google Scholar] [CrossRef]
- Broom, L.J.; Kogut, M.H. Gut immunity: Its development and reasons and opportunities for modulation in monogastric production animals. Anim. Health Res. Rev. 2018, 19, 46–52. [Google Scholar] [CrossRef] [PubMed]
- Kolehmainen, M.; Mykkänen, O.; Kirjavainen, P.V.; Leppänen, T.; Moilanen, E.; Adriaens, M.; Laaksonen, D.E.; Hallikainen, M.; Puupponen-Pimiä, R.; Pulkkinen, L.; et al. Bilberries reduce low-grade inflammation in individuals with features of metabolic syndrome. Mol. Nutr. Food Res. 2012, 56, 1501–1510. [Google Scholar] [CrossRef]
- Fasina, Y.O.; Lillehoj, H.S. Characterization of intestinal immune response to Clostridium perfringens infection in broiler chickens. Poult. Sci. 2019, 98, 188–198. [Google Scholar] [CrossRef]
- Tang, Y.; Zhang, X.; Wang, Y.; Guo, Y.; Zhu, P.; Li, G.; Zhang, J.; Ma, Q.; Zhao, L. Dietary ellagic acid ameliorated Clostridium perfringens-induced subclinical necrotic enteritis in broilers via regulating inflammation and cecal microbiota. J. Anim. Sci. Biotechnol. 2022, 13, 47. [Google Scholar] [CrossRef]
- Jing, C.; Niu, J.; Liu, Y.; Jiao, N.; Huang, L.; Jiang, S.; Yan, L.; Yang, W.; Li, Y. Tannic acid extracted from galla chinensis supplementation in the diet improves intestinal development through suppressing inflammatory responses via blockage of NF-κB in broiler chickens. Animals 2022, 12, 2397. [Google Scholar] [CrossRef]
- Liu, S.; Wang, K.; Lin, S.; Zhang, Z.; Cheng, M.; Hu, S.; Hu, H.; Xiang, J.; Chen, F.; Li, G.; et al. Comparison of the effects between tannins extracted from different natural plants on growth performance, antioxidant capacity, immunity, and intestinal flora of broiler chickens. Antioxidants 2023, 12, 441. [Google Scholar] [CrossRef]
- Song, X.; Chen, Y.; Chen, X.; Zhao, X.; Zou, Y.; Li, L.; Zhou, X.; Li, M.; Zhang, D.; Ye, G.; et al. Exosomes from tannic acid-stimulated macrophages accelerate wound healing through miR-221-3p mediated fibroblasts migration by targeting CDKN1b. Int. J. Biol. Macromol. 2023, 244, 125088. [Google Scholar] [CrossRef] [PubMed]
- Liao, P.; Liao, M.; Li, L.; Tan, B.; Yin, Y. Effect of deoxynivalenol on apoptosis, barrier function, and expression levels of genes involved in nutrient transport, mitochondrial biogenesis and function in IPEC-J2 cells. Toxicol Res 2017, 6, 866–877. [Google Scholar] [CrossRef] [PubMed]
- Wu, Y.; Zhen, W.; Geng, Y.; Wang, Z.; Guo, Y. Pretreatment with probiotic Enterococcus faecium NCIMB 11181 ameliorates necrotic enteritis-induced intestinal barrier injury in broiler chickens. Sci. Rep. 2019, 9, 10256. [Google Scholar] [CrossRef]
- Ma, J.; Wang, P.; Liu, Y.; Zhao, L.; Li, Z.; Xue, Y. Krüppel-like factor 4 regulates blood-tumor barrier permeability via ZO-1, occludin and claudin-5. J. Cell. Physiol. 2014, 229, 916–926. [Google Scholar] [CrossRef] [PubMed]
- Qiu, K.; Li, C.L.; Wang, J.; Qi, G.H.; Gao, J.; Zhang, H.J.; Wu, S.G. Effects of dietary supplementation with Bacillus subtilis, as an alternative to antibiotics, on growth performance, serum immunity, and intestinal health in broiler chickens. Front. Nutr. 2021, 8, 786878. [Google Scholar] [CrossRef] [PubMed]
- Rajasekaran, S.A.; Barwe, S.P.; Gopal, J.; Ryazantsev, S.; Schneeberger, E.E.; Rajasekaran, A.K. Na-K-ATPase regulates tight junction permeability through occludin phosphorylation in pancreatic epithelial cells. Am. J. Physiol. Gastrointest. Liver Physiol. 2007, 292, G124–G133. [Google Scholar] [CrossRef] [PubMed]
- Xu, X.; Yang, S.; Olajide, J.S.; Qu, Z.; Gong, Z.; Wang, J.; Zhang, Y.; Wang, H.; Xiong, L.; Zhang, K.; et al. Clostridium butyricum supplement can ameliorate the intestinal barrier roles in broiler chickens experimentally infected with Clostridium perfringens. Front. Physiol. 2021, 12, 737481. [Google Scholar] [CrossRef]
- Li, P.; Zheng, L.; Qi, Y.; Liu, Z.; Du, E.; Wei, J.; Zhang, Z.; Guo, S.; Ding, B. Dietary Lactobacillus fermentum and Lactobacillus paracasei improve the intestinal health of broilers challenged with coccidia and Clostridium perfringens. Front. Vet. Sci. 2022, 9, 1025677. [Google Scholar] [CrossRef] [PubMed]
- Li, X.; Sun, R.; Liu, Q.; Gong, Y.; Ou, Y.; Qi, Q.; Xie, Y.; Wang, X.; Hu, C.; Jiang, S.; et al. Effects of dietary supplementation with dandelion tannins or soybean isoflavones on growth performance, antioxidant function, intestinal morphology, and microbiota composition in Wenchang chickens. Front. Vet. Sci. 2023, 9, 1073659. [Google Scholar] [CrossRef]
- Yu, J.; Song, Y.; Yu, B.; He, J.; Zheng, P.; Mao, X.; Huang, Z.; Luo, Y.; Luo, J.; Yan, H.; et al. Tannic acid prevents post-weaning diarrhea by improving intestinal barrier integrity and function in weaned piglets. J. Anim. Sci. Biotechnol. 2020, 11, 87. [Google Scholar] [CrossRef]
- Landete, J.M. Ellagitannins, ellagic acid and their derived metabolites: A review about source, metabolism, functions and health. Food Res. Int. 2011, 44, 1150–1160. [Google Scholar] [CrossRef]
- Fraga-Corral, M.; Otero, P.; Cassani, L.; Echave, J.; Garcia-Oliveira, P.; Carpena, M.; Chamorro, F.; Lourenço-Lopes, C.; Prieto, M.A.; Simal-Gandara, J. Traditional Applications of Tannin Rich Extracts Supported by Scientific Data: Chemical Composition, Bioavailability and Bioaccessibility. Foods 2021, 10, 251. [Google Scholar] [CrossRef]
- Kawabata, K.; Yoshioka, Y.; Terao, J. Role of Intestinal Microbiota in the Bioavailability and Physiological Functions of Dietary Polyphenols. Molecules 2019, 24, 370. [Google Scholar] [CrossRef] [PubMed]
- Hidayat, C.; Irawan, A.; Jayanegara, A.; Sholikin, M.M.; Prihambodo, T.R.; Yanza, Y.R.; Wina, E.; Sadarman, S.; Krisnan, R.; Isbandi, I. Effect of dietary tannins on the performance, lymphoid organ weight, and amino acid ileal digestibility of broiler chickens: A meta-analysis. Vet. World. 2021, 14, 1405–1411. [Google Scholar] [CrossRef]
- Qin, L.S.; Zhao, H.P.; Zhao, Y.L.; Ma, Z.J.; Zeng, L.N.; Zhang, Y.M.; Zhang, P.; Yan, D.; Bai, Z.F.; Li, Y.; et al. Protection and bidirectional effect of rhubarb anthraquinone and tannins for rats’ liver. Zhongguo Zhong Xi Yi Jie He Za Zhi 2014, 34, 698–703. (In Chinese) [Google Scholar]






| Items | 1 to 14 Days | 15 to 28 Days |
|---|---|---|
| Ingredients | ||
| Corn | 10.00 | 10.00 |
| Wheat | 55.42 | 58.90 |
| Soybean meal | 23.50 | 19.37 |
| Fish meal | 5.00 | 5.00 |
| Soybean oil | 2.50 | 3.80 |
| CaHPO4 | 1.05 | 0.75 |
| Limestone | 1.00 | 0.80 |
| NaCl | 0.35 | 0.35 |
| L-lysine•HCl | 0.35 | 0.25 |
| DL-methionine | 0.20 | 0.15 |
| D-threonine | 0.15 | 0.15 |
| Choline chloride | 0.25 | 0.25 |
| Premix a | 0.23 | 0.23 |
| Total | 100.00 | 100.00 |
| Nutrient levels b | ||
| ME/(MJ/kg) | 12.55 | 12.95 |
| Crude protein | 21.53 | 20.14 |
| Ca | 0.96 | 0.86 |
| Non-phytate phosphorus | 0.45 | 0.40 |
| Digestible lysine | 1.25 | 1.05 |
| Digestible methionine | 0.53 | 0.46 |
| Digestible threonine | 0.81 | 0.76 |
| Digestible tryptophan | 0.23 | 0.22 |
| Gene | Primer Sequence (5′ to 3′) | Product Length | NCBI Number |
|---|---|---|---|
| β-actin | F-ACTCTGGTGATGGTGTTAC | 497 | NM 205518.2 |
| R-GGCTGTGATCTCCTTCTG | |||
| Nrf-2 | F-ATCACCTCTTCTGCACCGAA | 229 | NM 205117.2 |
| R-GCTTTCTCCCGCTCTTTCTG | |||
| Keap1 | F-CAACTTCGCCGAGCAGA | 179 | KU 321503179 |
| R-CGTGGAACACCTCCGACT | |||
| GST | F-AGAGTCGAAGCCTGATGCAC | 220 | NM_001001777.2 |
| R-CACTCCGCTTATCAGCAAACA | |||
| HO-1 | F-ACGAGTTCAAGCTGGTCACG | 244 | NM_205344.2 |
| R-GGATGCTTCTTGCCAACGAC | |||
| NQO1 | F-TCGCCGAGCAGAAGAAGATTGAAG | 191 | NM_001277621.1 |
| R-GGTGGTGAGTGACAGCATGGC | |||
| GSH-px1 | F-GACCAACCCGCAGTACATCA | 204 | NM_001277853.3 |
| R-GAGGTGCGGGCTTTCCTTTA | |||
| GSH-px3 | F-AAGTGCCAGGTGAACGGGAAGG | 204 | NM 001163232.3 |
| R-AGGGCTGTAGCGGCGGAAAG | |||
| SOD | F-GGTGCTCACTTTAATCCTG | 109 | NM 205064.2 |
| R-CTACTTCTGCCACTCCTCC | |||
| CAT | F-GGTTCGGTGGGGTTGTCTTT | 213 | NM_001031215.2 |
| R-CACCAGTGGTCAAGGCATCT | |||
| iNOS | F-CCTGGAGGTCCTGGAAGAGT | 82 | NM_204961.2 |
| R-CCTGGGTTTCAGAAGTGGC | |||
| TNF-α | F-GAGCGTTGACTTGGCTGTC | 64 | NM_204267.2 |
| R-AAGCAACAACCAGCTATGCAC | |||
| IFN-γ | F-AGCTGACGGTGGACCTATTATT | 259 | Y07922.1 |
| R-GGCTTTGCGCTGGATTC | |||
| IL-1β | F-ACTGGGCATCAAGGGCTA | 131 | NM_204524.2 |
| R-GGTAGAAGATGAAGCGGGTC | |||
| IL-8 | F-GCAAGGTAGGACGCTGGTAA | 107 | NM_205498.2 |
| R-GCGTCAGCTTCACATCTTGA | |||
| TGF-β4 | F-CGGGACGGATGAGAAGAAC | 258 | M31160.1 |
| R-CGGCCCACGTAGTAAATGAT | |||
| ZO-1 | F-CTTCAGGTGTTTCTCTTCCTCCTC | 131 | XM_413773.4 |
| R-CTGTGGTTTCATGGCTGGATC | |||
| Claudin-1 | F-CATACTCCTGGGTCTGGTTGGT | 100 | AY750897.1 |
| R-GACAGCCATCCGCATCTTCT | |||
| Claudin-2 | F-CAACTGGAAGATCAGCTCCT | 119 | NM_001277622.1 |
| R-TGTAGATGTCGCACTGAGTG | |||
| Occludin | F-ACGGCAGCACCTACCTCAA | 123 | D21837.1 |
| R-GGGCGAAGAAGCAGATGAG | |||
| Mucin-2 | F-TTCATGATGCCTGCTCTTGTG | 93 | XM_421035.2 |
| R-CCTGAGCCTTGGTACATTCTTGT |
| Item | CON | CCP | CTA | p-Value |
|---|---|---|---|---|
| Day 14 | ||||
| GSH-Px(U/mg prot) | 21.97 ± 4.40 b | 16.90 ± 4.45 c | 26.96 ± 2.03 a | <0.001 |
| T-SOD (U/mg prot) | 192.04 ± 19.56 | 181.88 ± 13.81 | 180.72 ± 28.72 | 0.322 |
| CAT (U/mg prot) | 1.31 ± 0.12 a | 0.82 ± 0.23 c | 1.13 ± 0.10 b | <0.001 |
| H2O2 (mmol/g prot) | 1.88 ± 0.22 b | 3.03 ± 0.29 a | 2.01 ± 0.40 b | <0.001 |
| MDA (nmol/mg prot) | 7.15 ± 1.42 b | 10.52 ± 1.11 a | 9.37 ± 3.06 a | <0.001 |
| T-AOC (mmol/g prot) | 0.11 ± 0.01 | 0.10 ± 0.01 | 0.10 ± 0.01 | 0.052 |
| Day 21 | ||||
| GSH-Px (U/mg prot) | 28.82 ± 3.75 b | 24.12 ± 2.17 c | 31.18 ± 2.76 a | <0.001 |
| T-SOD (U/mg prot) | 178.16 ± 12.25 ab | 167.95 ± 11.94 b | 184.79 ± 18.14 a | 0.013 |
| CAT (U/mg prot) | 2.27 ± 0.39 | 2.30 ± 0.32 | 2.37 ± 0.35 | 0.747 |
| H2O2 (mmol/g prot) | 6.16 ± 0.50 b | 7.62 ± 1.94 a | 5.38 ± 1.35 b | 0.001 |
| MDA (nmol/mg prot) | 6.09 ± 0.91 b | 7.03 ± 1.39 a | 5.83 ± 1.14 b | 0.024 |
| T-AOC (mmol/g prot) | 0.15 ± 0.01 | 0.15 ± 0.02 | 0.16 ± 0.02 | 0.084 |
| Day 28 | ||||
| GSH-Px (U/mg prot) | 68.42 ± 9.34 | 63.18 ± 9.80 | 64.33 ± 13.58 | 0.428 |
| T-SOD (U/mg prot) | 364.21 ± 21.01 a | 313.83 ± 32.65 c | 339.47 ± 28.04 b | <0.001 |
| CAT (U/mg prot) | 6.32 ± 0.99 a | 5.07 ± 0.38 b | 5.85 ± 0.81 a | <0.001 |
| H2O2 (mmol/g prot) | 2.58 ± 0.60 | 3.08 ± 0.76 | 2.64 ± 0.50 | 0.086 |
| MDA (nmol/mg prot) | 5.85 ± 1.63 | 7.58 ± 1.56 | 7.12 ± 1.56 | 0.076 |
| T-AOC (mmol/g prot) | 0.17 ± 0.05 a | 0.12 ± 0.01 b | 0.17 ± 0.06 a | 0.028 |
Disclaimer/Publisher’s Note: The statements, opinions and data contained in all publications are solely those of the individual author(s) and contributor(s) and not of MDPI and/or the editor(s). MDPI and/or the editor(s) disclaim responsibility for any injury to people or property resulting from any ideas, methods, instructions or products referred to in the content. |
© 2024 by the authors. Licensee MDPI, Basel, Switzerland. This article is an open access article distributed under the terms and conditions of the Creative Commons Attribution (CC BY) license (https://creativecommons.org/licenses/by/4.0/).
Share and Cite
Zhang, Z.; Xu, P.; Liu, C.; Chen, J.; Ren, B.; Du, E.; Guo, S.; Li, P.; Li, L.; Ding, B. Effect of Tannic Acid on Antioxidant Function, Immunity, and Intestinal Barrier of Broilers Co-Infected with Coccidia and Clostridium perfringens. Animals 2024, 14, 955. https://doi.org/10.3390/ani14060955
Zhang Z, Xu P, Liu C, Chen J, Ren B, Du E, Guo S, Li P, Li L, Ding B. Effect of Tannic Acid on Antioxidant Function, Immunity, and Intestinal Barrier of Broilers Co-Infected with Coccidia and Clostridium perfringens. Animals. 2024; 14(6):955. https://doi.org/10.3390/ani14060955
Chicago/Turabian StyleZhang, Zhengfan, Pengtao Xu, Chengao Liu, Jing Chen, Bingbing Ren, Encun Du, Shuangshuang Guo, Peng Li, Lanlan Li, and Binying Ding. 2024. "Effect of Tannic Acid on Antioxidant Function, Immunity, and Intestinal Barrier of Broilers Co-Infected with Coccidia and Clostridium perfringens" Animals 14, no. 6: 955. https://doi.org/10.3390/ani14060955
APA StyleZhang, Z., Xu, P., Liu, C., Chen, J., Ren, B., Du, E., Guo, S., Li, P., Li, L., & Ding, B. (2024). Effect of Tannic Acid on Antioxidant Function, Immunity, and Intestinal Barrier of Broilers Co-Infected with Coccidia and Clostridium perfringens. Animals, 14(6), 955. https://doi.org/10.3390/ani14060955

