Comparing Preferred Temperatures and Evaporative Water Loss Rates in Two Syntopic Populations of Lacertid Lizard Species
Simple Summary
Abstract
1. Introduction
2. Materials and Methods
2.1. Analyzed Species
2.2. Field Procedures
2.3. Preferred Body Temperatures
2.4. Evaporative Water Loss Rates
2.5. Statistical Analyses
3. Results
3.1. Species Morphology
3.2. Preferred Body Temperature
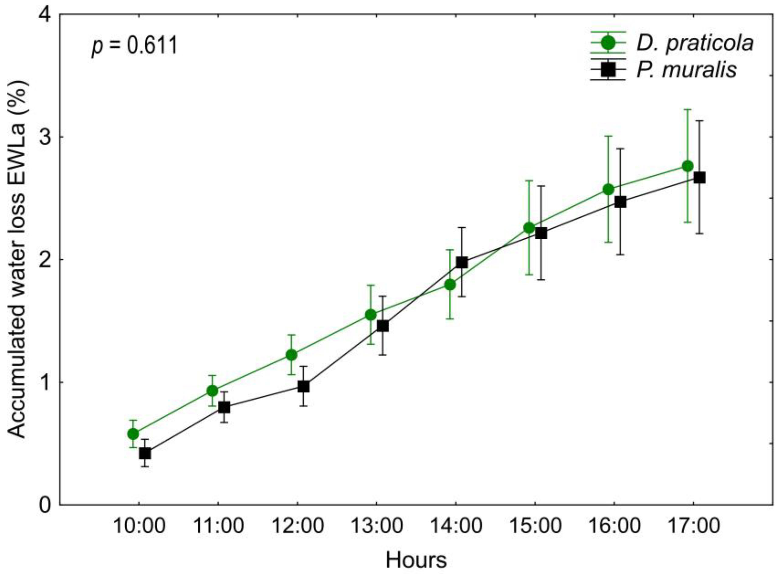
3.3. Evaporative Water Loss
4. Discussion
5. Conclusions
Author Contributions
Funding
Institutional Review Board Statement
Informed Consent Statement
Data Availability Statement
Acknowledgments
Conflicts of Interest
Appendix A
| SP | CODE | SVL | W0 | TP9 | TP10 | TP11 | TP12 | TP13 | TP14 | TP15 | TP16 | TP17 |
|---|---|---|---|---|---|---|---|---|---|---|---|---|
| DP | DP1 | 47.7 | 2.0 | 28.6 | 26.8 | 28.1 | 26.2 | 24.6 | 27.8 | 28.5 | 25.6 | 25.7 |
| DP | DP2 | 49.7 | 2.6 | 29.2 | 28.7 | 28.5 | 26.0 | 29.8 | 23.5 | 27.8 | 26.9 | 22.6 |
| DP | DP3 | 49.8 | 2.4 | 29.6 | 32.8 | 29.4 | 29.3 | 30.5 | 32.1 | 29.2 | 28.2 | 30.5 |
| DP | DP4 | 47.2 | 2.3 | 28.2 | 31.2 | 26.6 | 32.6 | 29.2 | 29.2 | 28.9 | 28.8 | 30.9 |
| DP | DP5 | 47.0 | 2.0 | 31.3 | 29.1 | 31.2 | 27.5 | 28.2 | 27.7 | 28.6 | 27.0 | 21.0 |
| DP | DP6 | 48.2 | 2.6 | 29.2 | 31.0 | 29.9 | 28.5 | 26.2 | 29.1 | 28.7 | 26.8 | 23.3 |
| DP | DP7 | 47.2 | 2.2 | 30.7 | 27.1 | 31.5 | 29.8 | 29.8 | 30.4 | 28.5 | 29.7 | 26.3 |
| DP | DP8 | 47.5 | 2.4 | 23.7 | 29.8 | 28.6 | 23.2 | 31.1 | 29.3 | 30.1 | 23.1 | 27.3 |
| DP | DP9 | 52.0 | 2.6 | 30.3 | 30.1 | 27.0 | 29.2 | 31.6 | 30.1 | 28.4 | 29.5 | 25.1 |
| DP | DP10 | 50.2 | 2.4 | 25.9 | 27.6 | 23.5 | 27.7 | 27.1 | 28.2 | 25.6 | 24.5 | 21.1 |
| PM | PM1 | 60.3 | 5.0 | 35.2 | 28.7 | 34.2 | 30.1 | 29.4 | 27.9 | 26.1 | 26.0 | 23.8 |
| PM | PM2 | 57.8 | 4.0 | 30.8 | 29.7 | 34.1 | 24.5 | 31.8 | 34.3 | 31.7 | 34.6 | 29.1 |
| PM | PM3 | 61.6 | 5.3 | 34.6 | 26.7 | 25.5 | 34.6 | 31.5 | 32.5 | 31.1 | 32.2 | 33.1 |
| PM | PM4 | 59.8 | 5.2 | 35.5 | 32.3 | 22.1 | 35.7 | 32.5 | 32.1 | 33.7 | 30.2 | 31.2 |
| PM | PM5 | 64.1 | 5.2 | 34.1 | 21.9 | 25.4 | 28.6 | 30.7 | 27.6 | 36.7 | 28.7 | 28.3 |
| PM | PM6 | 60.5 | 5.1 | 33.6 | 24.7 | 35.3 | 30.2 | 27.2 | 33.1 | 33.3 | 29.5 | 32.0 |
| PM | PM7 | 62.2 | 5.1 | 32.8 | 29.9 | 30.4 | 29.8 | 30.8 | 22.6 | 34.6 | 22.6 | 33.8 |
| PM | PM8 | 61.3 | 5.1 | 32.7 | 33.6 | 30.9 | 22.4 | 35.1 | 22.4 | 26.1 | 30.4 | 32.7 |
| PM | PM9 | 58.0 | 3.9 | 35.2 | 32.3 | 35.8 | 30.8 | 32.1 | 32.0 | 24.6 | 28.1 | 28.2 |
| PM | PM10 | 67.4 | 5.8 | 30.2 | 33.6 | 36.1 | 36.2 | 30.3 | 32.5 | 34.2 | 33.2 | 24.7 |
| SP | CODE | SVL | W0 | EWLi 9–10 | EWLi 10–11 | EWLi 11–12 | EWLi 12–13 | EWLi 13–14 | EWLi 14–15 | EWLi 15–16 | EWLi 16–17 |
|---|---|---|---|---|---|---|---|---|---|---|---|
| DP | DP1 | 47.7 | 2.0 | 0.41 | 0.51 | 0.20 | 0.20 | 0.10 | 0.51 | 0.46 | 0.05 |
| DP | DP2 | 49.7 | 2.6 | 0.55 | 0.19 | 0.16 | 0.35 | 0.51 | 0.35 | 0.19 | 0.12 |
| DP | DP3 | 49.8 | 2.4 | 0.58 | 0.41 | 0.33 | 0.37 | 0.08 | 0.41 | 0.41 | 0.25 |
| DP | DP4 | 47.2 | 2.3 | 0.47 | 0.34 | 0.34 | 0.21 | 0.17 | 0.26 | 0.26 | 0.30 |
| DP | DP5 | 47.0 | 2.0 | 0.46 | 0.61 | 0.71 | 0.25 | 0.10 | 0.76 | 0.51 | 0.46 |
| DP | DP6 | 48.2 | 2.6 | 0.62 | 0.27 | 0.27 | 0.12 | 0.16 | 0.39 | 0.23 | 0.12 |
| DP | DP7 | 47.2 | 2.2 | 0.73 | 0.14 | 0.60 | 0.60 | 0.32 | 0.69 | 0.23 | 0.09 |
| DP | DP8 | 47.5 | 2.4 | 0.86 | 0.33 | 0.16 | 0.41 | 0.29 | 0.70 | 0.20 | 0.20 |
| DP | DP9 | 52.0 | 2.6 | 0.27 | 0.30 | 0.08 | 0.38 | 0.42 | 0.15 | 0.23 | 0.08 |
| DP | DP10 | 50.2 | 2.4 | 0.86 | 0.41 | 0.08 | 0.41 | 0.33 | 0.45 | 0.41 | 0.25 |
| PM | PM1 | 60.3 | 5.0 | 0.60 | 0.26 | 0.04 | 0.20 | 0.40 | 0.10 | 0.36 | 0.06 |
| PM | PM2 | 57.8 | 4.0 | 0.43 | 0.55 | 0.20 | 0.45 | 0.48 | 0.27 | 0.40 | 0.30 |
| PM | PM3 | 61.6 | 5.3 | 0.32 | 0.40 | 0.38 | 0.38 | 0.09 | 0.30 | 0.27 | 0.30 |
| PM | PM4 | 59.8 | 5.2 | 0.27 | 0.41 | 0.21 | 0.99 | 0.58 | 0.50 | 0.47 | 0.31 |
| PM | PM5 | 64.1 | 5.2 | 0.23 | 0.33 | 0.25 | 0.33 | 0.25 | 0.23 | 0.06 | 0.15 |
| PM | PM6 | 60.5 | 5.1 | 0.39 | 0.43 | 0.28 | 1.10 | 0.51 | 0.57 | 0.43 | 0.10 |
| PM | PM7 | 62.2 | 5.1 | 0.51 | 0.35 | 0.06 | 0.55 | 1.14 | 0.27 | 0.22 | 0.18 |
| PM | PM8 | 61.3 | 5.1 | 0.59 | 0.41 | 0.06 | 0.33 | 0.63 | 0.04 | 0.12 | 0.33 |
| PM | PM9 | 58.0 | 3.9 | 0.56 | 0.38 | 0.08 | 0.15 | 0.72 | 0.05 | 0.10 | 0.05 |
| PM | PM10 | 67.4 | 5.8 | 0.33 | 0.21 | 0.16 | 0.45 | 0.38 | 0.03 | 0.12 | 0.21 |
| SP | CODE | SVL | W0 | EWLa 10 | EWLa 11 | EWLa 12 | EWLa 13 | EWLa 14 | EWLa 15 | EWLa 16 | EWLa 17 |
|---|---|---|---|---|---|---|---|---|---|---|---|
| DP | DP1 | 47.7 | 2.0 | 0.4 | 0.9 | 1.1 | 1.3 | 1.4 | 1.9 | 2.4 | 2.4 |
| DP | DP2 | 49.7 | 2.6 | 0.5 | 0.7 | 0.9 | 1.2 | 1.8 | 2.1 | 2.3 | 2.4 |
| DP | DP3 | 49.8 | 2.4 | 0.6 | 1.0 | 1.3 | 1.7 | 1.8 | 2.1 | 2.6 | 2.8 |
| DP | DP4 | 47.2 | 2.3 | 0.5 | 0.8 | 1.2 | 1.4 | 1.5 | 1.8 | 2.1 | 2.4 |
| DP | DP5 | 47.0 | 2.0 | 0.5 | 1.1 | 1.8 | 2.0 | 2.1 | 2.9 | 3.4 | 3.9 |
| DP | DP6 | 48.2 | 2.6 | 0.6 | 0.9 | 1.2 | 1.3 | 1.4 | 1.8 | 2.1 | 2.2 |
| DP | DP7 | 47.2 | 2.2 | 0.7 | 0.9 | 1.5 | 2.1 | 2.4 | 3.1 | 3.3 | 3.4 |
| DP | DP8 | 47.5 | 2.4 | 0.9 | 1.2 | 1.4 | 1.8 | 2.0 | 2.7 | 2.9 | 3.2 |
| DP | DP9 | 52.0 | 2.6 | 0.3 | 0.6 | 0.6 | 1.0 | 1.4 | 1.6 | 1.8 | 1.9 |
| DP | DP10 | 50.2 | 2.4 | 0.9 | 1.3 | 1.4 | 1.8 | 2.1 | 2.5 | 2.9 | 3.2 |
| PM | PM1 | 60.3 | 5.0 | 0.6 | 0.9 | 0.9 | 1.1 | 1.5 | 1.6 | 2.0 | 2.0 |
| PM | PM2 | 57.8 | 4.0 | 0.4 | 1.0 | 1.2 | 1.6 | 2.1 | 2.4 | 2.8 | 3.1 |
| PM | PM3 | 61.6 | 5.3 | 0.3 | 0.7 | 1.1 | 1.5 | 1.6 | 1.9 | 2.1 | 2.4 |
| PM | PM4 | 59.8 | 5.2 | 0.3 | 0.7 | 0.9 | 1.9 | 2.5 | 3.0 | 3.4 | 3.7 |
| PM | PM5 | 64.1 | 5.2 | 0.2 | 0.6 | 0.8 | 1.1 | 1.4 | 1.6 | 1.7 | 1.8 |
| PM | PM6 | 60.5 | 5.1 | 0.4 | 0.8 | 1.1 | 2.2 | 2.7 | 3.3 | 3.7 | 3.8 |
| PM | PM7 | 62.2 | 5.1 | 0.5 | 0.9 | 0.9 | 1.5 | 2.6 | 2.9 | 3.1 | 3.3 |
| PM | PM8 | 61.3 | 5.1 | 0.6 | 1.0 | 1.1 | 1.4 | 2.0 | 2.1 | 2.2 | 2.5 |
| PM | PM9 | 58.0 | 3.9 | 0.6 | 0.9 | 1.0 | 1.2 | 1.9 | 1.9 | 2.0 | 2.1 |
| PM | PM10 | 67.4 | 5.8 | 0.3 | 0.5 | 0.7 | 1.1 | 1.5 | 1.6 | 1.7 | 1.9 |
References
- Huey, R.B. Temperature, physiology, and the ecology of reptiles. In Biology of the Reptilia, Physiology C, Physiological Ecology; Gans, C., Pough, H.F., Eds.; Academic Press: London, UK, 1982; pp. 25–91. [Google Scholar]
- Adolph, S.C.; Porter, W.P. Temperature, activity and lizard life histories. Am. Nat. 1993, 142, 273–295. [Google Scholar] [CrossRef] [PubMed]
- Angilletta, M.J., Jr. Thermal Adaptation: A Theoretical and Empirical Synthesis; Oxford University Press: Oxford, UK, 2009. [Google Scholar]
- Daltry, J.C.; Ross, T.; Thorpe, R.S.; Wüster, W. Evidence that humidity influences snake activity patterns: A field study of the Malayan pit viper Calloselasma rhodostoma. Ecography 1998, 21, 25–34. [Google Scholar] [CrossRef]
- Carneiro, D.; García-Muñoz, E.; Žagar, A.; Pafilis, P.; Carretero, M.A. Is ecophysiology congruent with the present-day relictual distribution of a lizard group? Evidence from preferred temperatures and water loss rates. Herpetol. J. 2017, 27, 47–56. [Google Scholar]
- Kearney, M.R.; Munns, S.L.; Moore, D.; Malishev, M.; Bull, C.M. Field tests of a general ectotherm niche model show how water can limit lizard activity and distribution. Ecol. Monogr. 2018, 88, 672–693. [Google Scholar] [CrossRef]
- Garcia-Porta, J.; Irisarri, I.; Kirchner, M.; Rodríguez, A.; Kirchhof, S.; Brown, J.L.; MacLeod, A.; Turner, A.P.; Ahmadzadeh, F.; Albaladejo, G.; et al. Environmental temperatures shape thermal physiology as well as diversification and genome-wide substitution rates in lizards. Nat. Commun. 2019, 10, 1–12. [Google Scholar] [CrossRef]
- Díaz, J.A.; Cabezas-Díaz, S. Seasonal variation in the contribution of different behavioural mechanisms to lizard thermoregulation. Funct. Ecol. 2004, 18, 867–875. [Google Scholar] [CrossRef]
- Ortega, Z.; Pérez-Mellado, V. Seasonal patterns of body temperature and microhabitat selection in a lacertid lizard. Acta Oecol. 2016, 77, 201–206. [Google Scholar] [CrossRef]
- Black, I.R.G.; Berman, J.M.; Cadena, V.; Tattersall, G.J. Behavioral thermoregulation in lizards: Strategies for achieving preferred temperature. In Behavior of Lizards: Evolutionary and Mechanistic Perspectives; Bels, V.L., Russell, A.P., Eds.; CRC Press: London, UK, 2019; pp. 13–46. [Google Scholar]
- Mautz, W.J. Patterns of evaporative water loss. In Biology of the Reptilia, Physiology C, Physiological Ecology; Gans, C., Pough, H.F., Eds.; Academic Press: London, UK, 1982; Volume 12, pp. 443–481. [Google Scholar]
- Pirtle, E.I.; Tracy, C.R.; Kearney, M.R. Hydroregulation: A neglected behavioral response of lizards to climate change. In Behavior of Lizards: Evolutionary and Mechanistic Perspectives; Bels, V.L., Russell, A.P., Eds.; CRC Press: London, UK, 2019; pp. 343–374. [Google Scholar]
- Dupoué, A.; Stahlschmidt, Z.R.; Michaud, B.; Lourdais, O. Physiological state influences evaporative water loss and microclimate preference in the snake Vipera aspis. Physiol. Behav. 2015, 144, 82–89. [Google Scholar] [CrossRef]
- Rozen-Rechels, D.; Dupoué, A.; Lourdais, O.; Chamaillé-Jammes, S.; Meylan, S.; Clobert, J.; Le Galliard, J.F. When water interacts with temperature: Ecological and evolutionary implications of thermo-hydroregulation in terrestrial ectotherms. Ecol. Evol. 2019, 9, 10029–10043. [Google Scholar] [CrossRef]
- Sannolo, M.; Carretero, M.A. Dehydration constrains thermoregulation and space use in lizards. PLoS ONE 2019, 14, 1–17. [Google Scholar] [CrossRef]
- Hertz, P.E.; Huey, R.B.; Stevenson, R.D. Evaluating temperature regulation by field-active ectotherms: The fallacy of the inappropriate question. Am. Nat. 1993, 142, 796–818. [Google Scholar] [CrossRef] [PubMed]
- Bauwens, D.; Garland, T.J.; Castilla, A.M.; Van Damme, R. Evolution of sprint speed in lacertid lizards: Morphological, physiological and behavioral covariation. Evolution 1995, 49, 848–863. [Google Scholar] [PubMed]
- Castilla, A.M.; Van Damme, R.; Bauwens, D. Field body temperatures, mechanisms of thermoregulation and evolution of thermal characteristics in lacertid lizards. Nat. Croat. 1999, 8, 253–274. [Google Scholar]
- Gvoždík, L.; Castilla, A.M. A comparative study of preferred body temperatures and critical thermal tolerance limits among populations of Zootoca vivipara (Squamata: Lacertidae) along an altitudinal gradient. J. Herpetol. 2001, 35, 486–492. [Google Scholar] [CrossRef]
- Carretero, M.A.; Roig, J.M.; Llorente, G.A. Variation in preferred body temperature in an oviparous population of Lacerta (Zootoca) vivipara. Herpetol. J. 2005, 15, 51–55. [Google Scholar]
- Díaz, J.A.; Iraeta, P.; Monasterio, C. Seasonality provokes a shift of thermal preferences in a temperate lizard, but altitude does not. J. Therm. Biol. 2006, 31, 237–242. [Google Scholar] [CrossRef]
- Clusella-Trullas, S.; Chown, S.L. Lizard thermal trait variation at multiple scales: A review. J. Comp. Physiol. B 2014, 184, 5–21. [Google Scholar] [CrossRef]
- Le Galliard, J.F.; Rozen-Rechels, D.; Lecomte, A.; Demay, C.; Dupoue, A.; Meylan, S. Short-term changes in air humidity and water availability weakly constrain thermoregulation in a dry-skinned ectotherm. PLoS ONE 2021, 16, 1–17. [Google Scholar] [CrossRef]
- Osojnik, N.; Žagar, A.; Carretero, M.A.; García-Muñoz, E.; Vrezec, A. Ecophysiological dissimilarities of two sympatric lizards. Herpetologica 2013, 69, 445–454. [Google Scholar] [CrossRef]
- Ferreira, C.C.; Santos, X.; Carretero, M.A. Does ecophysiology mediate reptile responses to fire regimes? Evidence from Iberian lizards. PeerJ 2016, 4, e2107. [Google Scholar] [CrossRef]
- Sannolo, M.; Civantos, E.; Martín, J.; Carretero, M.A. Variation in field body temperature and total evaporative water loss along an environmental gradient in a diurnal ectotherm. J. Zool. 2020, 310, 221–231. [Google Scholar] [CrossRef]
- S’khifa, A.; Koziel, G.; Vences, M.; Carretero, M.A.; Slimani, T. Ecophysiology of a lacertid community in the high Moroccan mountains suggests conservation guidelines. J. Therm. Biol. 2020, 94, 102743. [Google Scholar] [CrossRef] [PubMed]
- Sinervo, B.; Méndez-de-la-Cruz, F.; Miles, D.B.; Heulin, B.; Bastiaans, E.; Cruz, M.V.S.; Lara-Resendiz, R.; Martínez-Méndez, N.; Calderón-Espinosa, M.L.; Meza-Lázaro, R.N.; et al. Erosion of lizard diversity by climate change and altered thermal niches. Science 2010, 328, 894–899. [Google Scholar] [CrossRef] [PubMed]
- Huey, R.B.; Kearney, M.R.; Krockenberger, A.; Holtum, J.A.M.; Jess, M.; Williams, S.E. Predicting organismal vulnerability to climate warming: Roles of behaviour, physiology and adaptation. Philos. Trans. R. Soc. B 2012, 367, 1665–1679. [Google Scholar] [CrossRef]
- Biber, M.F.; Voskamp, A.; Hof, C. Potential effects of future climate change on global reptile distributions and diversity. Glob. Ecol. Biogeogr. 2023, 32, 519–534. [Google Scholar] [CrossRef]
- Plasman, M.; Gonzalez-Voyer, A.; Bautista, A.; Díaz D La Vega-Pérez, A.H. Flexibility in thermal requirements: A comparative analysis of the wide-spread lizard genus Sceloporus. Integr. Zool. 2024, 1–17. [Google Scholar] [CrossRef]
- Obregón, R.L.; Scolaro, J.A.; Ibargüengoytía, N.R.; Medina, M. Thermal biology and locomotor performance in Phymaturus calcogaster: Are Patagonian lizards vulnerable to climate change? Integr. Zool. 2021, 16, 53–66. [Google Scholar] [CrossRef]
- Araújo, M.B.; Thuiller, W.; Pearson, R.G. Climate warming and the decline of amphibians and reptiles in Europe. J. Biogeogr. 2006, 33, 1712–1728. [Google Scholar] [CrossRef]
- Le Galliard, J.-F.; Massot, M.; Baron, J.-P.; Clobert, J. Ecological effects of climate change on European reptiles. In Wildlife Conservtion in a Changing Climate; Brodie, J.F., Post, E.S., Doak, D.F., Eds.; University of Chicago Press: Chicago, IL, USA, 2012; pp. 179–203. [Google Scholar]
- Kearney, M.R.; Simpson, S.J.; Raubenheimer, D.; Kooijman, S.A.L.M. Balancing heat, water and nutrients under environmental change: A thermodynamic niche framework. Funct. Ecol. 2013, 27, 950–966. [Google Scholar] [CrossRef]
- Urban, M.C.; Bocedi, G.; Hendry, A.P.; Mihoub, J.-B.; Pe’er, G.; Singer, A.; Bridle, J.R.; Crozier, L.G.; De Meester, L.; Godsoe, W.; et al. Improving the forecast for biodiversity under climate change. Science 2016, 353, aad8466. [Google Scholar] [CrossRef]
- Huang, S.P.; Kearley, R.E.; Hung, K.W.; Porter, W.P. Evaporative water loss simulation improves models’ prediction of habitat suitability for a high-elevation forest skink. Oecologia 2020, 192, 657–669. [Google Scholar] [CrossRef] [PubMed]
- Anderson, R.O.; White, C.R.; Chapple, D.G.; Kearney, M.R. A Hierarchical approach to understanding physiological associations with climate. Glob. Ecol. Biogeogr. 2022, 31, 332–346. [Google Scholar] [CrossRef]
- Bridle, J.R.; Vines, T.H. Limits to evolution at range margins: When and why does adaptation fail? Trends. Ecol. Evol. 2007, 22, 140–147. [Google Scholar] [CrossRef] [PubMed]
- Sexton, J.P.; McIntyre, P.J.; Angert, A.L.; Rice, K.J. Evolution and ecology of species range limits. Annu. Rev. Ecol. Evol. Syst. 2009, 40, 415–436. [Google Scholar] [CrossRef]
- Ćorović, J.; Crnobrnja-Isailović, J. Aspects of thermal ecology of the meadow lizard (Darevskia praticola). Amphibia-Reptilia 2018, 39, 229–238. [Google Scholar] [CrossRef]
- Galoyan, E.; Bolshakova, A.; Abrahamyan, M.; Petrosyan, R.; Komarova, V.; Spangenberg, V.; Arakelyan, M. Natural history of Valentin’s rock lizard (Darevskia valentini) in Armenia. Zool. Res. 2019, 40, 277–292. [Google Scholar] [CrossRef]
- Nikolaev, O.D.; Belova, D.A.; Novikov, B.A.; Simis, I.B.; Petrosyan, R.K.; Arakelyan, M.S.; Komarova, V.A.; Galoyan, E.A. Peculiarities of thermal biology in two parthenogenetic rock lizard species, Darevskia armeniaca and Darevskia unisexualis, and one bisexual species, Darevskia valentini (Lacertidae, Squamata). Biol. Bull. 2022, 49, 1037–1045. [Google Scholar] [CrossRef]
- Grbac, I.; Bauwens, D. Constraints on temperature regulation in two sympatric Podarcis lizards during autumn. Copeia 2001, 2001, 178–186. [Google Scholar] [CrossRef]
- Carretero, M.A. Measuring body temperatures in small lacertids: Infrared vs. contact thermometers. Basic Appl. Herpetol. 2012, 26, 99–105. [Google Scholar] [CrossRef]
- Žagar, A.; Carretero, M.A.; Osojnik, N.; Sillero, N.; Vrezec, A. A place in the sun: Interspecific interference affects thermoregulation in coexisting lizards. Behav. Ecol. Sociobiol. 2015, 69, 1127–1137. [Google Scholar] [CrossRef]
- Sagonas, K.; Kapsalas, G.; Valakos, E.; Pafilis, P. Living in sympatry: The effect of habitat partitioning on the thermoregulation of three Mediterranean lizards. J. Therm. Biol. 2017, 65, 130–137. [Google Scholar] [CrossRef] [PubMed]
- Trochet, A.; Dupoué, A.; Souchet, J.; Bertrand, R.; Deluen, M.; Murarasu, S.; Calvez, O.; Martinez-Silvestre, A.; Verdaguer-Foz, I.; Darnet, E.; et al. Variation of preferred body temperatures along an altitudinal gradient: A multi-species study. J. Therm. Biol. 2018, 77, 38–44. [Google Scholar] [CrossRef] [PubMed]
- Carneiro, D.; García-Muñoz, E.; Kaliontzopoulou, A.; Llorente, G.A.; Carretero, M.A. Comparing ecophysiological traits in two Podarcis wall lizards with overlapping ranges. Salamandra 2015, 51, 335–344. [Google Scholar]
- Böhme, W.; Pérez-Mellado, V.; Cheylan, M.; Nettmann, H.K.; Krecsák, L.; Sterijovski, B.; Schmidt, B.; Lymberakis, P.; Podloucky, R.; Sindaco, R.; et al. Podarcis muralis. The IUCN Red List of Threatened Species 2009: E.T61550A12514105. Available online: https://www.iucnredlist.org/species/61550/12514105 (accessed on 11 November 2024).
- Sillero, N.; Campos, J.; Bonardi, A.; Corti, C.; Creemers, R.; Crochet, P.-A.; Crnobrnja Isailović, J.; Denoël, M.; Ficetola, G.F.; Gonçalves, J.; et al. Updated distribution and biogeography of amphibians and reptiles of Europe. Amphibia-Reptilia 2014, 35, 1–31. [Google Scholar] [CrossRef]
- Agasyan, A.; Avci, A.; Tuniyev, B.; Crnobrnja-Isailović, J.; Lymberakis, P.; Andrén, C.; Cogalniceanu, D.; Wilkinson, J.; Ananjeva, N.; Üzüm, N.; et al. Darevskia praticola. The IUCN Red List of Threatened Species 2009: E.T157245A5058913. Available online: https://www.iucnredlist.org/species/157245/5058913 (accessed on 11 November 2024).
- Ćorović, J.; Popović, M.; Cogălniceanu, D.; Carretero, M.A.; Crnobrnja-Isailović, J. Distribution of the meadow lizard in Europe and its realized ecological niche model. J. Nat. Hist. 2018, 52, 1909–1925. [Google Scholar] [CrossRef]
- Arnold, E.N. Field Guide of Reptiles and Amphibians of Britain and Europe, 2nd ed.; Collins: London, UK, 2004; pp. 145–147. [Google Scholar]
- Speybroeck, J.; Beukema, W.; Bok, B.; Van Der Voort, J. Field Guide to the Amphibians and Reptiles of Britain and Europe; Bloomsbury Publishing: London, UK, 2016; pp. 265–268. [Google Scholar]
- Strijbosch, H.; Helmer, W.; Scholte, P.T. Distribution and ecology of lizards in the Greek province of Evros. Amphibia-Reptilia 1989, 10, 151–174. [Google Scholar] [CrossRef]
- Gherghel, I.; Strugariu, A.; Sahlean, T.; Stefanescu, A. New Romanian distribution record for Darevskia praticola pontica (LANTZ & CYRÉN, 1919) at its north-western range limit. Herpetozoa 2011, 23, 91–93. [Google Scholar]
- Stojanov, A.J.; Tzankov, N.; Naumov, B.; Nöllert, A. Die Amphibien Und Reptilien Bulgariens; Edition Chimaira: Frankfurt, 2011. [Google Scholar]
- Gaceu, O.; Josan, I. Note on the occurrence of Darevskia pontica (Reptilia) north of the Mureş river, in Metaliferi mountains, Western Romania. North. West. J. Zool. 2013, 9, 450–452. [Google Scholar]
- Covaciu-Marcov, S.-D.; Cicort-Lucaciu, A.-Ş.; Gaceu, O.; Sas, I.; Ferenţi, S.; Bogdan, H.V. The herpetofauna of the south-western part of Mehedinţi county, Romania. North West J. Zool. 2009, 5, 142–164. [Google Scholar]
- Arnold, E.N. Resource partition among lacertid lizards in southern Europe. J. Zool. 1987, 1, 739–782. [Google Scholar] [CrossRef]
- Darevsky, I.S. Lacerta praticola Eversmann, 1834. In Atlas of Amphibians and Reptiles in Europe; Gasc, J.P., Ed.; Museum National D’Histoire Naturelle: Paris, France, 1997; pp. 254–255. [Google Scholar]
- Veríssimo, C.V.; Carretero, M.A. Preferred temperatures of Podarcis vaucheri from Morocco: Intraspecific variation and interspecific comparisons. Amphibia-Reptilia 2009, 30, 17–23. [Google Scholar] [CrossRef]
- StatSoft, Inc. STATISTICA (Data Analysis Software System), Version 12. Available online: www.statsoft.com (accessed on 25 September 2023).
- Kapsalas, G.; Gavriilidi, I.; Adamopoulou, C.; Foufopoulos, J.; Pafilis, P. Effective thermoregulation in a newly established population of Podarcis siculus in Greece: A possible advantage for a successful invader. Acta. Herpetol. 2016, 11, 111–118. [Google Scholar] [CrossRef]
- Ćorović, J. (Institute for Biological Research “Siniša Stanković” National Institute of the Republic of Serbia, University of Belgrade, Belgrade, Serbia); Crnobrnja-Isailović, J. (Institute for Biological Research “Siniša Stanković” National Institute of the Republic of Serbia, University of Belgrade, Belgrade, Serbia). Personal communication, 2018.
- Dmiel, R. Skin resistance to evaporative water loss in reptiles: A physiological adaptive mechanism to environmental stress or a phyletically dictated trait? Isr. J. Zool. 2001, 47, 56–67. [Google Scholar] [CrossRef]
- Mathews, C.G.; Amlaner, C.J. Eye states and postures of the western fence lizard (Sceloporus occidentalis), with special reference to asynchronous eye closure and behavioral sleep. J. Herpetol. 2000, 34, 472–475. [Google Scholar] [CrossRef]
- Žagar, A.; Carretero, M.A.; de Groot, M. Time changes everything: A multispecies analyses of temporal patterns in evaporative water loss. Oecologia 2022, 198, 905–915. [Google Scholar] [CrossRef]
- Gates, D.M. Introduction. In Biophysical Ecology, 1st ed.; Reichle, D.E., Ed.; Springer: New York, NY, USA, 1980; pp. 1–12. [Google Scholar]
- Ortega, Z.; Mencía, A.; Pérez-Mellado, V. Wind constraints on the thermoregulation of high mountain lizards. Int. J. Biometeorol. 2017, 61, 565–573. [Google Scholar] [CrossRef]
- Bodineau, T.; Chabaud, C.; Decencière, B.; Agostini, S.; Lourdais, O.; Meylan, S.; Le Galliard, J.F. Microhabitat humidity rather than food availability drives thermo-hydroregulation responses to drought in a lizard. Oikos 2024, 2024, e10535. [Google Scholar] [CrossRef]
- Renaud, V.; Innes, J.L.; Dobbertin, M.; Rebetez, M. Comparison between open-site and below canopy climatic conditions in Switzerland for different types of forests over 10 years (1998–2007). Theor. Appl. Climatol. 2011, 105, 119–127. [Google Scholar] [CrossRef]
- Gaudio, N.; Gendre, X.; Saudreau, M.; Seigner, V.; Balandier, P. Impact of tree canopy on thermal and radiative microclimates in a mixed temperate forest: A new statistical method to analyse hourly temporal dynamics. Agric. For. Meteoro. 2017, 237, 71–79. [Google Scholar] [CrossRef]
- Maiorano, L.; Amori, G.; Capula, M.; Falcucci, A.; Masi, M.; Montemaggiori, A.; Pottier, J.; Psomas, A.; Rondinini, C.; Russo, D.; et al. Threats from climate change to terrestrial vertebrate hotspots in Europe. PLoS ONE 2013, 8, e74989. [Google Scholar] [CrossRef]




| Species | N | W0 (g) | SVL (mm) | Tp (°C) | EWLt (%) |
|---|---|---|---|---|---|
| D. praticola | 10 | 2.35 ± 0.24 (1.97–2.64) | 48.65 ± 1.70 (46.98–52.02) | 28.1 ± 1.4 (21.0–32.8) | 2.76 ± 0.62 (1.86–3.86) |
| P. muralis | 10 | 4.95 ± 0.57 (3.91–5.79) | 61.30 ± 2.85 (57.82–67.40) | 30.6 ± 1.1 (21.9–36.7) | 2.67 ± 0.75 (1.84–3.83) |
| Year | N | Tp (°C) | Tset (°C) |
|---|---|---|---|
| 2014 | 19 | 22.1–35.4 | 27.8–31.4 |
| 2018 | 21 | 22.8–35.3 | 27.7–31.4 |
| 2019 | 10 | 21.0–32.8 | 26.9–29.4 |
Disclaimer/Publisher’s Note: The statements, opinions and data contained in all publications are solely those of the individual author(s) and contributor(s) and not of MDPI and/or the editor(s). MDPI and/or the editor(s) disclaim responsibility for any injury to people or property resulting from any ideas, methods, instructions or products referred to in the content. |
© 2024 by the authors. Licensee MDPI, Basel, Switzerland. This article is an open access article distributed under the terms and conditions of the Creative Commons Attribution (CC BY) license (https://creativecommons.org/licenses/by/4.0/).
Share and Cite
Ćorović, J.; Ćosić, N.; Crnobrnja-Isailović, J. Comparing Preferred Temperatures and Evaporative Water Loss Rates in Two Syntopic Populations of Lacertid Lizard Species. Animals 2024, 14, 3642. https://doi.org/10.3390/ani14243642
Ćorović J, Ćosić N, Crnobrnja-Isailović J. Comparing Preferred Temperatures and Evaporative Water Loss Rates in Two Syntopic Populations of Lacertid Lizard Species. Animals. 2024; 14(24):3642. https://doi.org/10.3390/ani14243642
Chicago/Turabian StyleĆorović, Jelena, Nada Ćosić, and Jelka Crnobrnja-Isailović. 2024. "Comparing Preferred Temperatures and Evaporative Water Loss Rates in Two Syntopic Populations of Lacertid Lizard Species" Animals 14, no. 24: 3642. https://doi.org/10.3390/ani14243642
APA StyleĆorović, J., Ćosić, N., & Crnobrnja-Isailović, J. (2024). Comparing Preferred Temperatures and Evaporative Water Loss Rates in Two Syntopic Populations of Lacertid Lizard Species. Animals, 14(24), 3642. https://doi.org/10.3390/ani14243642

