Angiogenesis as a Survival Mechanism in Heartworm Disease: The Role of Fructose-Bisphosphate Aldolase and Actin from Dirofilaria immitis in an In Vitro Endothelial Model
Simple Summary
Abstract
1. Introduction
2. Materials and Methods
2.1. Antigens and Molecules Used
2.2. Cell Culture and Endothelial Cell Stimulation
2.3. Cell Viability and Cytotoxicity Test
2.4. Pro- and Antiangiogenic Factors’ Assays
2.5. Cellular Proliferation Assay
2.6. Cellular Migration Assays
2.7. Pseudocapillary Formation Assays
2.8. Statistical Analysis
3. Results
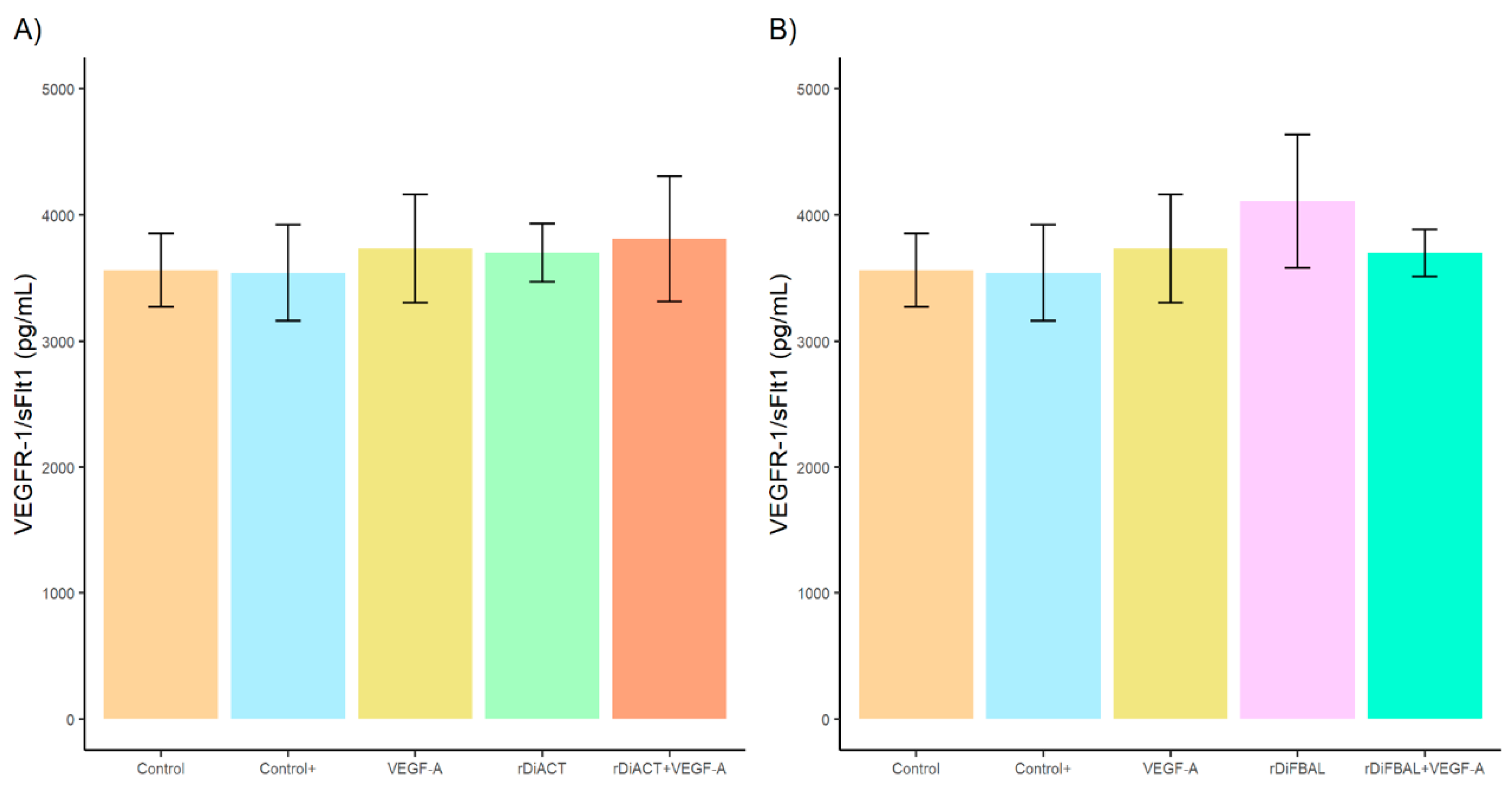
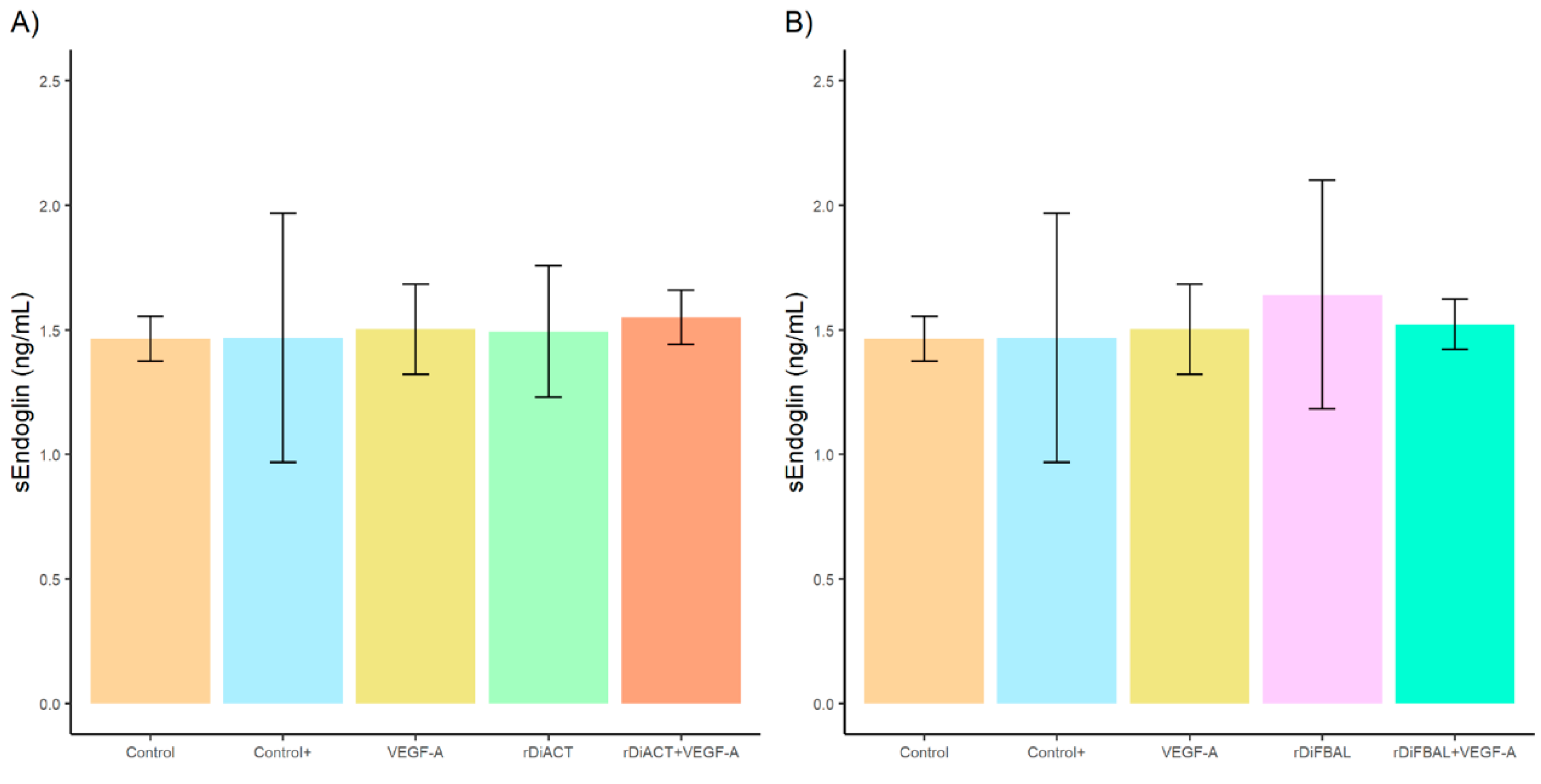
3.1. Effect of rDiACT and rDiFBAL on Cell Viability, Cytotoxicity, Angiogenic Factors, and Endoglin Production
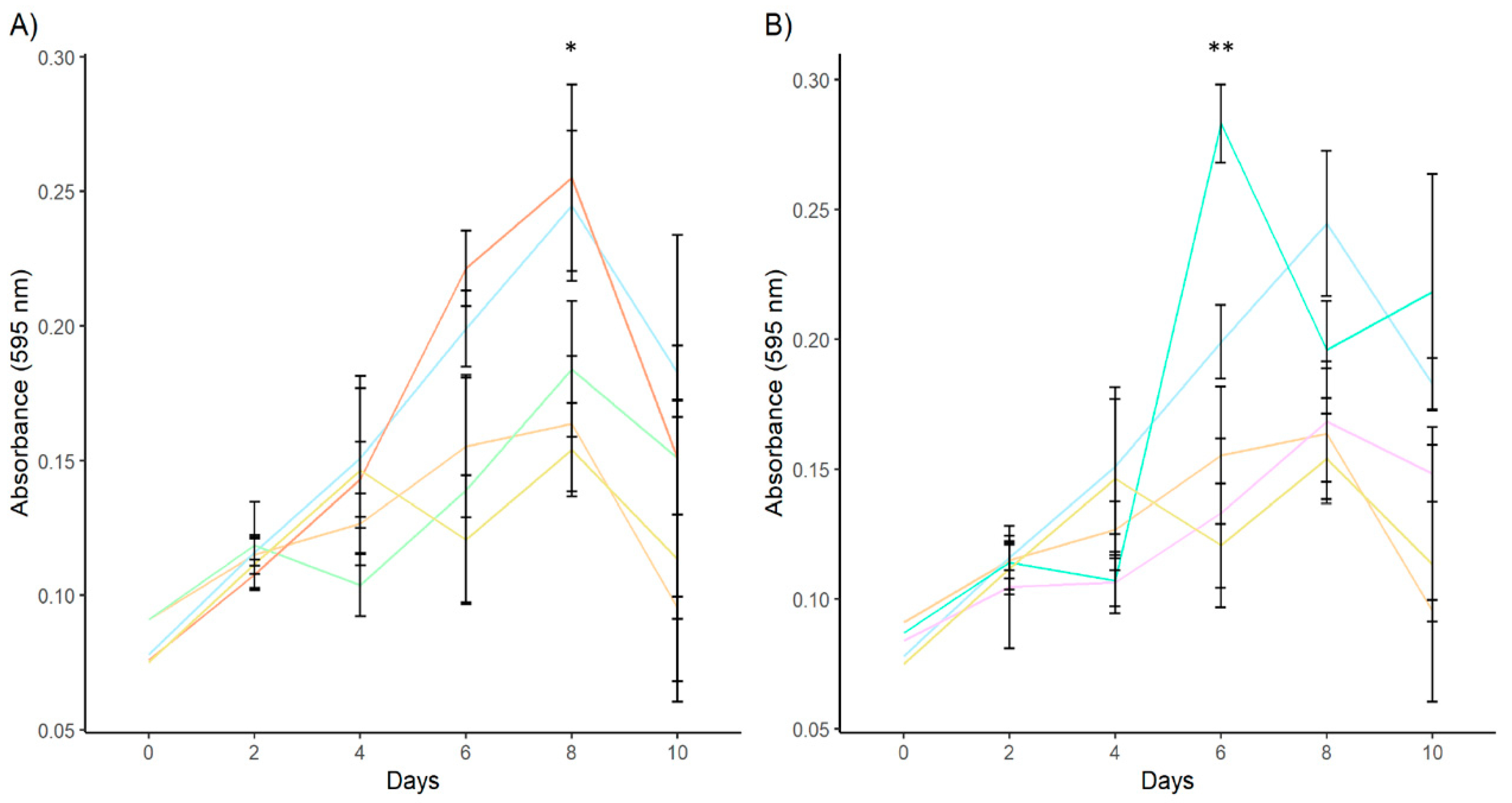
3.2. Effect of Antigens on Cell Proliferation, Cell Migration, and Pseudocapillary Formation
4. Discussion
5. Conclusions
Author Contributions
Funding
Institutional Review Board Statement
Informed Consent Statement
Data Availability Statement
Acknowledgments
Conflicts of Interest
References
- Morchón, R.; Rodríguez-Escolar, I.; Collado, M.; Pérez, P.; Balmori de la Puente, A. Dirofilariosis. In Biología y Diagnóstico de Enfermedades Parasitarias Humanas Relevantes en España; Morchón, R., Ed.; Ediciones Universidad de Salamanca: Salamanca, Spain, 2024; pp. 139–148. [Google Scholar]
- American Heartworm Society. Available online: https://www.heartwormsociety.org/veterinary-resources/american-heartworm-society-guidelines (accessed on 15 October 2024).
- Carretón, E.; Morchón, R.; Montoya-Alonso, J.A. Dirofilariosis cardiopulmonar canina. In Dirofilariosis: Pautas de Manejo Clínico; Carretón, E., Montoya-Alonso, J.A., Eds.; Editorial Multimédica: Barcelona, Spain, 2012; pp. 1–130. [Google Scholar]
- European Society of Dirofilariosis and Angiostrongylosis. Available online: https://www.esda.vet/index.php/guidelines (accessed on 15 October 2024).
- Venco, L.; Genchi, C.; Simón, F. La filariosis cardiopulmonar (Dirofilaria immitis) en el perro. In La Filariosis en las Especies Domésticas y en el Hombre; Merial Laboratorios: Barcelona, Spain, 2011; pp. 19–60. [Google Scholar]
- Hormaeche, M.; Carretón, E.; González-Miguel, J.; Gussoni, S.; Montoya-Alonso, J.A.; Simón, F.; Morchón, R. Proteomic analysis of the urine of Dirofilaria immitis infected dogs. Vet. Parasitol. 2014, 203, 241–246. [Google Scholar] [CrossRef] [PubMed]
- Paes-de-Almeida, E.C.; Ferreira, A.M.; Labarthe, N.V.; Caldas, M.L.; McCall, J.W. Kidney ultrastructural lesions in dogs experimentally infected with Dirofilaria immitis (Leidy, 1856). Vet. Parasitol. 2003, 113, 157–168. [Google Scholar] [CrossRef] [PubMed]
- McCall, J.W.; Genchi, C.; Kramer, L.H.; Guerrero, J.; Venco, L. Heartworm disease in animals and humans. Adv. Parasitol. 2008, 66, 193–285. [Google Scholar] [PubMed]
- Mupanomunda, M.; Williams, J.F.; Mackenzie, C.D.; Kaiser, L. Dirofilaria immitis: Heartworm infection alters pulmonary artery endothelial cell behavior. J. Appl. Physiol. 1997, 82, 389–398. [Google Scholar] [CrossRef]
- Simón, F.; Siles-Lucas, M.; Morchón, R.; González-Miguel, J.; Mellado, I.; Carretón, E.; Montoya-Alonso, J.A. Human and animal dirofilariasis: The emergence of a zoonotic mosaic. Clin. Microiol. Rev. 2012, 25, 507–544. [Google Scholar] [CrossRef]
- Venco, L.; Vezzoni, A. Heartworm (Dirofilaria immitis) disease in dogs and cats. In Heartworm Infection in Humans and Animals; Simón, F., Genchi, C., Eds.; Ediciones Universidad de Salamanca: Salamanca, Spain, 2021; pp. 161–177. [Google Scholar]
- Zueva, T.; Morchón, R.; Carretón, E.; Montoya-Alonso, J.A.; Santana, A.; Bargues, M.D.; MasComa, S.; Rodríguez-Barbero, A.; Simón, F. Angiogenic response in an in vitro model of dog microvascular endothelial cells stimulated with antigenic extracts from Dirofilaria immitis adult worms. Parasites Vectors 2019, 12, 315. [Google Scholar] [CrossRef]
- Clauss, M. Molecular biology of the VEGF and the VEGF receptor family. Semin. Thromb. Hemost. 2000, 26, 561–569. [Google Scholar] [CrossRef]
- Larrivée, B.; Karsan, A. Signaling pathways induced by vascular endothelial growth factor (review). Intern. J. Mol. Med. 2000, 5, 447–456. [Google Scholar] [CrossRef]
- Núñez-Gómez, E.; Pericacho, M.; Ollauri-Ibáñez, C.; Bernabéu, C.; López-Novoa, J.M. The role of endoglin in post-ischemic revascularization. Angiogenesis 2017, 20, 1–24. [Google Scholar] [CrossRef]
- Peach, C.J.; Mignone, V.W.; Arruda, M.A.; Alcobia, D.C.; Hill, S.J.; Kilpatrick, L.E.; Woolard, J. Molecular Pharmacology of VEGF-A Isoforms: Binding and Signalling at VEGFR2. Intern. J. Mol. Sci. 2018, 19, 1264. [Google Scholar] [CrossRef]
- Liu, Y.; Wu, H.; Sang, Y.; Chong, W.; Shang, L.; Li, L. Research progress of exosomes in the angiogenesis of digestive system tumour. Discov. Oncol. 2024, 15, 33. [Google Scholar] [CrossRef] [PubMed]
- Malekan, M.; Haass, N.K.; Rokni, G.R.; Gholizadeh, N.; Ebrahimzadeh, M.A.; Kazeminejad, A. VEGF/VEGFR axis and its signaling in melanoma: Current knowledge toward therapeutic targeting agents and future perspectives. Life Sci. 2024, 345, 122563. [Google Scholar] [CrossRef] [PubMed]
- Shibuya, M. Vascular endothelial growth factor and its receptor system: Physiological functions in angiogenesis and pathological roles in various diseases. J. Biochem. 2013, 153, 13–19. [Google Scholar] [CrossRef] [PubMed]
- López-Novoa, J.M.; Bernabeu, C. The physiological role of endoglin in the cardiovascular system. Am. J. Physiol. Heart Circ. Physiol. 2010, 299, H959–H974. [Google Scholar] [CrossRef]
- Rossi, E.; Bernabeu, C. Novel vascular roles of human endoglin in pathophysiology. J. Thromb. Haemost. 2023, 21, 2327–2338. [Google Scholar] [CrossRef]
- Machado, C.D.C.; Alarcón-Torrecillas, C.; Pericacho, M.; Rodríguez-Escolar, I.; Carretón, E.; Montoya-Alonso, J.A.; Morchón, R. Involvement of the excretory/secretory and surface-associated antigens of Dirofilaria immitis adult worms in the angiogenic response in an in-vitro endothelial cell model. Vet. Parasitol. 2023, 318, 109939. [Google Scholar] [CrossRef]
- Pérez-Rodríguez, M.D.P.; Alarcón-Torrecillas, C.; Pericacho, M.; Rodríguez-Escolar, I.; Carretón, E.; Morchón, R. Effect of somatic antigens of Dirofilaria repens adult worms on angiogenesis, cell proliferation and migration and pseudo-capillary formation in human endothelial cells. Parasites Vectors 2023, 16, 105. [Google Scholar] [CrossRef]
- Collado-Cuadrado, M.; Alarcón-Torrecillas, C.; Rodríguez-Escolar, I.; Balmori-de la Puente, A.; Infante González-Mohino, E.; Pericacho, M.; Morchón, R. Wolbachia Promotes an Anti-Angiogenic Response Using an In Vitro Model of Vascular Endothelial Cells in Relation to Heartworm Disease. Pathogens 2024, 13, 603. [Google Scholar] [CrossRef]
- Zueva, T.; Morchón, R.; Carretón, E.; Ollauri-Ibáñez, C.; Pericacho, M.; Rodríguez-Barbero, A.; Simón, F. Angiogenesis in cardiopulmonary dirofilariosis: Does the Wolbachia surface protein have a pro- or anti-angiogenic effect? J. Helminthol. 2020, 94, e162. [Google Scholar] [CrossRef]
- Simón, F.; Morchón, R.; Rodríguez-Barbero, A.; López-Belmonte, J.; Grandi, G.; Genchi, C. Dirofilaria immitis and Wolbachia-derived antigens: Its effect on endothelial mammal cells. Vet. Parasitol. 2008, 158, 223–231. [Google Scholar] [CrossRef]
- González-Miguel, J.; Morchón, R.; Mellado, I.; Carretón, E.; Montoya-Alonso, J.A.; Simón, F. Excretory/secretory antigens from Dirofilaria immitis adult worms interact with the host fibrinolytic system involving the vascular endothelium. Mol. Biochem. Parasitol. 2012, 181, 134–140. [Google Scholar] [CrossRef] [PubMed]
- González-Miguel, J.; Morchón, R.; Carretón, E.; Montoya-Alonso, J.A.; Simón, F. Surface associated antigens of Dirofilaria immitis adult worms activate the host fibrinolytic system. Vet. Parasitol. 2013, 196, 235–240. [Google Scholar] [CrossRef] [PubMed]
- González-Miguel, J.; Morchón, R.; Siles-Lucas, M.; Simón, F. Fibrinolysis and proliferative endarteritis: Two related processes in chronic infections? The model of the blood-borne pathogen Dirofilaria immitis. PLoS ONE 2015, 10, e0124445. [Google Scholar] [CrossRef] [PubMed]
- Bennuru, S.; Semnani, R.; Meng, Z.; Ribeiro, J.M.; Veenstra, T.D.; Nutman, T.B. Brugia malayi excreted/secreted proteins at the host/parasite interface: Stage- and gender-specific proteomic profiling. PLoS Negl. Trop. Dis. 2009, 3, e410. [Google Scholar] [CrossRef]
- Morchón, R.; Rodríguez-Barbero, A.; Velasco, S.; López-Belmonte, J.; Simón, F. Vascular endothelial cell activation by adult Dirofilaria immitis antigens. Parasit. Int. 2008, 57, 441–446. [Google Scholar] [CrossRef]
- González-Miguel, J.; Larrazabal, C.; Loa-Mesón, D.; Siles-Lucas, M.; Simón, F.; Morchón, R. Glyceraldehyde 3-phosphate dehydrogenase and galectin from Dirofilaria immitis participate in heartworm disease endarteritis via plasminogen/plasmin system. Vet. Parasitol. 2016, 223, 96–101. [Google Scholar] [CrossRef]
- Carretón, E.; Cerón, J.J.; Martínez-Subiela, S.; Tvarijonaviciute, A.; Caro-Vadillo, A.; Montoya-Alonso, J.A. Acute phase proteins and markers of oxidative stress to assess the severity of the pulmonary hypertension in heartworm-infected dogs. Parasites Vectors 2017, 10 (Suppl. S2), 477. [Google Scholar] [CrossRef]
- Morchón, R.; González-Miguel, J.; Mellado, I.; Velasco, S.; Rodríguez-Barbero, A.; Simón, F. Adult Dirofilaria immitis excretory/secretory antigens upregulate the production of prostaglandin E2 and downregulate monocyte transmigration in an “in vitro” model of vascular endothelial cell cultures. Vet. Parasitol. 2010, 170, 331–335. [Google Scholar] [CrossRef]
- González-Miguel, J.; Siles-Lucas, M.; Kartashev, V.; Morchón, R.; Simón, F. Plasmin in Parasitic Chronic Infections: Friend or Foe? Trends Parasitol. 2016, 32, 325–335. [Google Scholar] [CrossRef]
- Carmeliet, P. Angiogenesis in life, disease and medicine. Nature 2005, 438, 932–936. [Google Scholar] [CrossRef]
- Dennis, R.D.; Schubert, U.; Bauer, C. Angiogenesis and parasitic helminth-associated neovascularization. Parasitology 2011, 138, 426–439. [Google Scholar] [CrossRef]
- Mebius, M.M.; van Genderen, P.J.; Urbanus, R.T.; Tielens, A.G.; de Groot, P.G.; van Hellemond, J.J. Interference with the host haemostatic system by schistosomes. PLoS Pathog. 2013, 9, e1003781. [Google Scholar] [CrossRef]








Disclaimer/Publisher’s Note: The statements, opinions and data contained in all publications are solely those of the individual author(s) and contributor(s) and not of MDPI and/or the editor(s). MDPI and/or the editor(s) disclaim responsibility for any injury to people or property resulting from any ideas, methods, instructions or products referred to in the content. |
© 2024 by the authors. Licensee MDPI, Basel, Switzerland. This article is an open access article distributed under the terms and conditions of the Creative Commons Attribution (CC BY) license (https://creativecommons.org/licenses/by/4.0/).
Share and Cite
Collado-Cuadrado, M.; Alarcón-Torrecillas, C.; Balmori-de la Puente, A.; Rodríguez-Escolar, I.; Infante González-Mohino, E.; Pericacho, M.; Morchón, R. Angiogenesis as a Survival Mechanism in Heartworm Disease: The Role of Fructose-Bisphosphate Aldolase and Actin from Dirofilaria immitis in an In Vitro Endothelial Model. Animals 2024, 14, 3371. https://doi.org/10.3390/ani14233371
Collado-Cuadrado M, Alarcón-Torrecillas C, Balmori-de la Puente A, Rodríguez-Escolar I, Infante González-Mohino E, Pericacho M, Morchón R. Angiogenesis as a Survival Mechanism in Heartworm Disease: The Role of Fructose-Bisphosphate Aldolase and Actin from Dirofilaria immitis in an In Vitro Endothelial Model. Animals. 2024; 14(23):3371. https://doi.org/10.3390/ani14233371
Chicago/Turabian StyleCollado-Cuadrado, Manuel, Claudia Alarcón-Torrecillas, Alfonso Balmori-de la Puente, Iván Rodríguez-Escolar, Elena Infante González-Mohino, Miguel Pericacho, and Rodrigo Morchón. 2024. "Angiogenesis as a Survival Mechanism in Heartworm Disease: The Role of Fructose-Bisphosphate Aldolase and Actin from Dirofilaria immitis in an In Vitro Endothelial Model" Animals 14, no. 23: 3371. https://doi.org/10.3390/ani14233371
APA StyleCollado-Cuadrado, M., Alarcón-Torrecillas, C., Balmori-de la Puente, A., Rodríguez-Escolar, I., Infante González-Mohino, E., Pericacho, M., & Morchón, R. (2024). Angiogenesis as a Survival Mechanism in Heartworm Disease: The Role of Fructose-Bisphosphate Aldolase and Actin from Dirofilaria immitis in an In Vitro Endothelial Model. Animals, 14(23), 3371. https://doi.org/10.3390/ani14233371

