Most Random-Encounter-Model Density Estimates in Camera-Based Predator–Prey Studies Are Unreliable
Simple Summary
Abstract
1. Introduction
2. Materials and Methods
2.1. Predator–Prey System
2.2. Study Area
2.3. Animal Capture and Tracking
2.4. Movement Velocity Estimation
2.5. Camera-Trapping
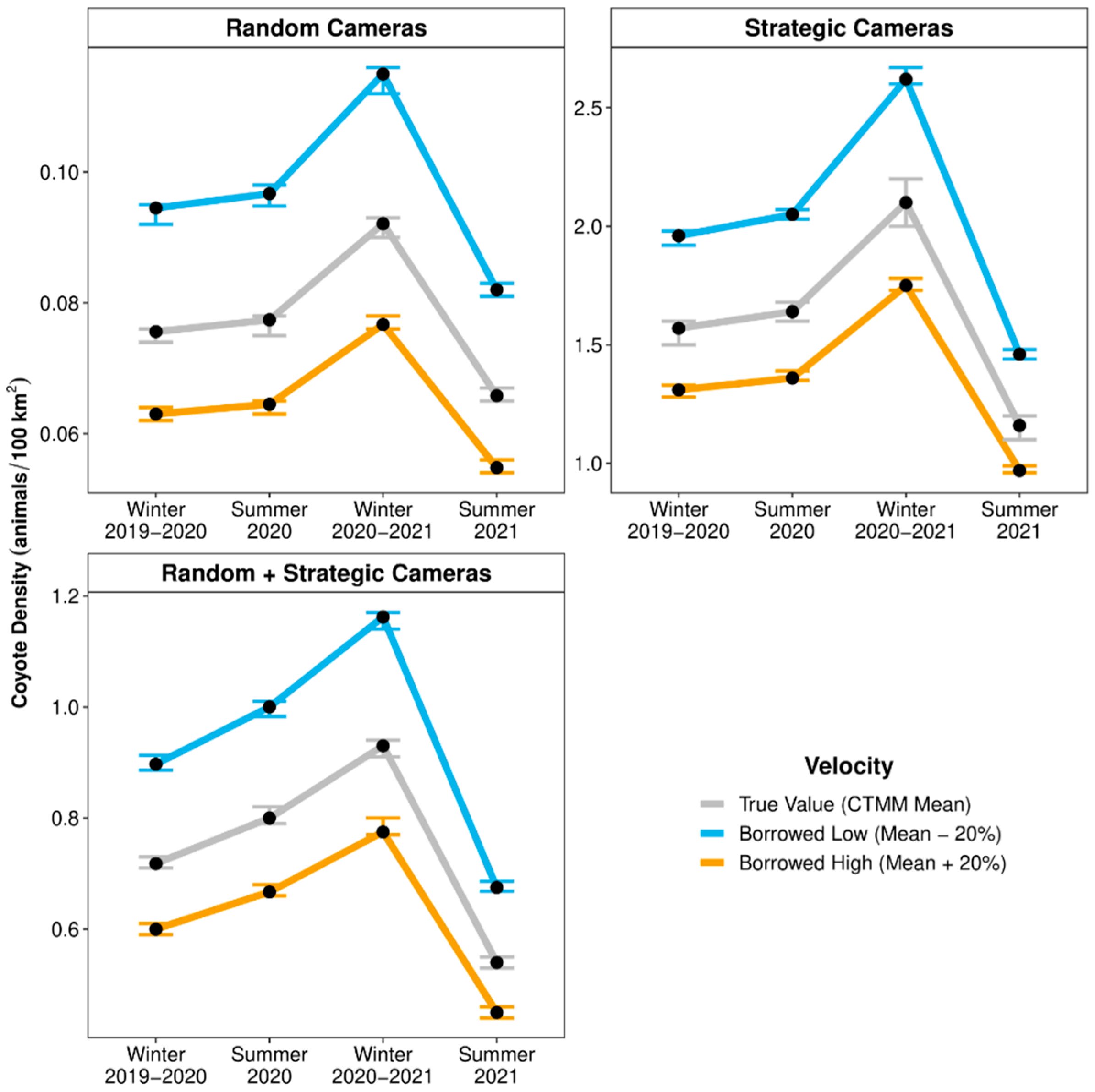
2.6. REM Density Estimation
- Baseline—Used only the detections from randomly placed cameras and the corresponding season × year-specific velocity values. This analysis represents the satisfaction of all REM assumptions.
- Strategic—Used only the detections from strategically placed cameras and the corresponding season × year-specific velocity values. This analysis represents violation of the REM assumption that animals move independently of camera-traps.
- Hybrid—Used detections from both the randomly and strategically placed cameras and the corresponding season × year-specific velocity values. This analysis represents partial violation of the REM assumption that animals move independently of camera-traps.
- Random + Borrowed—Used only the detections from randomly placed cameras but velocity values that were ±20% of the season-specific mean. This analysis represents satisfaction of the REM assumption that animals move independently of camera-traps but conveys the effect of borrowing movement velocity from a different study, time period, or species.
- Strategic + Borrowed—Used only the detections from strategically placed cameras but velocity values that were ±20% of the season-specific mean. This analysis represents violation of the REM assumption that animals move independently of camera-traps and conveys the effect of borrowing movement velocity from a different study, time period, or species.
- Hybrid + Borrowed—Used detections from both the randomly and strategically placed cameras and velocity values that were ±20% of the season-specific mean. This analysis represents partial violation of the REM assumption that animals move independently of camera-traps and conveys the effect of borrowing movement velocity from a different study, time period, or species.
2.7. Literature Review
3. Results
3.1. Animal Capture and Tracking
3.2. Movement Velocity Estimation
3.3. Camera-Trapping
3.4. REM Density Estimation
3.5. Literature Review
4. Discussion
Limitations
5. Conclusions
Supplementary Materials
Author Contributions
Funding
Institutional Review Board Statement
Informed Consent Statement
Data Availability Statement
Acknowledgments
Conflicts of Interest
Appendix A
| Models | df a | LL b | AICc | ΔAICc c | 
|---|---|---|---|---|
| No. Studies Across Time | ||||
| Poisson (Studies) ~ β0 + β1 (Year) | 2 | −29.72 | 64.44 | 0.00 | 
| Neg-Binomial (Studies) ~ β0 + β1 (Year) | 3 | −29.30 | 66.68 | 2.24 | 
| No. Density Estimates Across Time | ||||
| Neg-Binomial (Densities) ~ β0 + β1 (Year) | 3 | −56.88 | 121.78 | 0.00 | 
| Poisson (Densities) ~ β0 + β1 (Year) | 2 | −136.15 | 277.24 | 155.46 | 
| No. Density Estimates Across Time and Among Camera Placements | ||||
| Neg-Binomial (Densities) ~ β0 + β1 (Year) + β2 (Camera) + β3 (Year × Camera) | 7 | −121.46 | 259.71 | 0.00 | 
| Poisson (Densities) ~ β0 + β1 (Year) + β2 (Camera) + β3 (Year × Camera) | 6 | −335.74 | 685.53 | 425.82 | 
| No. Density Estimates Across Time and Among Velocity Sources | ||||
| Neg-Binomial (Densities) ~ β0 + β1 (Year) + β2 (Velocity) + β3 (Year × Velocity) | 5 | −95.41 | 203.18 | 0.00 | 
| Poisson(Densities) ~ β0 + β1 (Year) + β2 (Velocity) + β3 (Year × Velocity) | 4 | −188.10 | 385.72 | 182.54 | 

References
- Elton, C.; Nicholson, M. The Ten-Year Cycle in Numbers of the Lynx in Canada. J. Anim. Ecol. 1942, 11, 215–244. [Google Scholar] [CrossRef]
- Tyson, R.; Haines, S.; Hodges, K.E. Modelling the Canada Lynx and Snowshoe Hare Population Cycle: The Role of Specialist Predators. Theor. Ecol. 2010, 3, 97–111. [Google Scholar] [CrossRef]
- Lavoie, M.; Renard, A.; Larivière, S. Lynx Canadensis (Carnivora: Felidae). Mamm. Species 2019, 51, 136–154. [Google Scholar] [CrossRef]
- Rode, K.D.; Regehr, E.V.; Douglas, D.C.; Durner, G.; Derocher, A.E.; Thiemann, G.W.; Budge, S.M. Variation in the Response of an Arctic Top Predator Experiencing Habitat Loss: Feeding and Reproductive Ecology of Two Polar Bear Populations. Glob. Chang. Biol. 2014, 20, 76–88. [Google Scholar] [CrossRef] [PubMed]
- Marrotte, R.R.; Patterson, B.R.; Northrup, J.M. Harvest and Density-Dependent Predation Drive Long-Term Population Decline in a Northern Ungulate. Ecol. Appl. 2022, 32, e2629. [Google Scholar] [CrossRef] [PubMed]
- Mladenoff, D.J.; Sickley, T.A. Assessing Potential Gray Wolf Restoration in the Northeastern United States: A Spatial Prediction of Favorable Habitat and Potential Population Levels. J. Wildl. Manag. 1998, 62, 1–10. [Google Scholar] [CrossRef]
- Rominger, E.M.; Whitlaw, H.A.; Weybright, D.L.; Dunn, W.C.; Ballard, W.B. The Influence of Mountain Lion Predation on Bighorn Sheep Translocations. J. Wildl. Manag. 2004, 68, 993–999. [Google Scholar] [CrossRef]
- Stepkovitch, B.; Kingsford, R.T.; Moseby, K.E. A Comprehensive Review of Mammalian Carnivore Translocations. Mammal Rev. 2022, 52, 554–572. [Google Scholar] [CrossRef]
- Smith, J.A.; Suraci, J.P.; Hunter, J.S.; Gaynor, K.M.; Keller, C.B.; Palmer, M.S.; Atkins, J.L.; Castañeda, I.; Cherry, M.J.; Garvey, P.M.; et al. Zooming in on Mechanistic Predator–Prey Ecology: Integrating Camera Traps with Experimental Methods to Reveal the Drivers of Ecological Interactions. J. Anim. Ecol. 2020, 89, 1997–2012. [Google Scholar] [CrossRef]
- Ariyanto, A.C.; Wang, T.; Skidmore, A.K.; Wibisono, H.T.; Widodo, F.A.; Firdaus, A.Y.; Wiharisno, Y.; Koliq, N.; Murdyatmaka, W. Range-Wide Camera Traps Reveal Potential Prey Species for Javan Leopards. Glob. Ecol. Conserv. 2024, 53, e03020. [Google Scholar] [CrossRef]
- Long, R.A.; MacKay, P.; Zielinski, W.J.; Ray, J.C. Noninvasive Survey Methods for Carnivores; Island Press: Washington, DC, USA, 2008. [Google Scholar]
- O’Connell, A.F.; Nichols, J.D.; Karanth, K.U. Camera Traps in Ecology: Methods and Analyses; Springer: New York, NY, USA, 2011. [Google Scholar]
- Burton, A.C.; Neilson, E.; Moreira, D.; Ladle, A.; Steenweg, R.; Fisher, J.T.; Bayne, E.; Boutin, S. Wildlife Camera Trapping: A Review and Recommendations for Linking Surveys to Ecological Processes. J. Appl. Ecol. 2015, 52, 675–685. [Google Scholar] [CrossRef]
- Delisle, Z.J.; Flaherty, E.A.; Nobbe, M.R.; Wzientek, C.M.; Swihart, R.K. Next-Generation Camera Trapping: Systematic Review of Historic Trends Suggests Keys to Expanded Research Applications in Ecology and Conservation. Front. Ecol. Evol. 2021, 9, 617996. [Google Scholar] [CrossRef]
- Kucera, T.E.; Barrett, R.H. A History of Camera Trapping. In Camera traps in Animal Ecology: Methods and Analyses; Springer: New York, NY, USA, 2011; pp. 9–26. [Google Scholar]
- Buckland, S.T.; Borchers, D.L.; Marques, T.A.; Fewster, R.M. Wildlife Population Assessment: Changing Priorities Driven by Technological Advances. J. Stat. Theory Pract. 2023, 17, 20. [Google Scholar] [CrossRef]
- Tobler, M.W.; Powell, G.V.N. Estimating Jaguar Densities with Camera Traps: Problems with Current Designs and Recommendations for Future Studies. Biol. Conserv. 2013, 159, 109–118. [Google Scholar] [CrossRef]
- Efford, M.G.; Dawson, D.K.; Robbins, C.S. DENSITY: Software for analysing capture-recapture data from passive detector arrays. Anim. Biodivers. Conserv. 2007, 27, 217–228. [Google Scholar] [CrossRef]
- Royle, J.A.; Chandler, R.B.; Sollmann, R.; Gardner, B. Spatial Capture-Recapture; Academic Press: Waltham, MA, USA, 2014. [Google Scholar]
- Amstrup, S.C.; MacDonald, T.L.; Manly, B.F.J. Handbook of Capture-Recapture Analysis; Princeton University Press: Princeton, NJ, USA, 2006. [Google Scholar]
- Oliveira-Santos, L.G.R.; Zucco, C.A.; Antunes, P.C.; Crawshaw, P.G. Is It Possible to Individually Identify Mammals with No Natural Markings Using Camera-Traps? A Controlled Case-Study with Lowland Tapirs. Mamm. Biol. 2010, 75, 375–378. [Google Scholar] [CrossRef]
- Güthlin, D.; Storch, I.; Küchenhoff, H. Is It Possible to Individually Identify Red Foxes from Photographs? Wildl. Soc. Bull. 2014, 38, 205–210. [Google Scholar] [CrossRef]
- Alexander, P.D.; Gese, E.M. Identifying Individual Cougars (Puma concolor) in Remote Camera Images—Implications for Population Estimates. Wildl. Res. 2018, 45, 274–281. [Google Scholar] [CrossRef]
- McClintock, B.T.; White, G.C. From NOREMARK to MARK: Software for Estimating Demographic Parameters Using Mark–Resight Methodology. J. Ornithol. 2012, 152, 641–650. [Google Scholar] [CrossRef]
- Chandler, R.B.; Royle, J.A. Spatially Explicit Models for Inference about Density in Unmarked or Partially Marked Populations. Ann. Appl. Stat. 2013, 7, 936–954. [Google Scholar] [CrossRef]
- Sollmann, R.; Gardner, B.; Parsons, A.W.; Stocking, J.J.; McClintock, B.T.; Simons, T.R.; Pollock, K.H.; O’Connell, A.F. A Spatial Mark–Resight Model Augmented with Telemetry Data. Ecology 2013, 94, 553–559. [Google Scholar] [CrossRef] [PubMed]
- Whittington, J.; Hebblewhite, M.; Chandler, R.B. Generalized Spatial Mark–Resight Models with an Application to Grizzly Bears. J. Appl. Ecol. 2018, 55, 157–168. [Google Scholar] [CrossRef]
- Carbone, C.; Christie, S.; Conforti, K.; Coulson, T.; Franklin, N.; Ginsberg, J.R.; Griffiths, M.; Holden, J.; Kawanishi, K.; Kinnaird, M.; et al. The Use of Photographic Rates to Estimate Densities of Tigers and Other Cryptic Mammals. Anim. Conserv. Forum 2001, 4, 75–79. [Google Scholar] [CrossRef]
- Rovero, F.; Marshall, A.R. Camera Trapping Photographic Rate as an Index of Density in Forest Ungulates. J. Appl. Ecol. 2009, 46, 1011–1017. [Google Scholar] [CrossRef]
- Sollmann, R.; Mohamed, A.; Samejima, H.; Wilting, A. Risky Business or Simple Solution—Relative Abundance Indices from Camera-Trapping. Biol. Conserv. 2013, 159, 405–412. [Google Scholar] [CrossRef]
- Kellner, K.F.; Swihart, R.K. Accounting for Imperfect Detection in Ecology: A Quantitative Review. PLoS ONE 2014, 9, e111436. [Google Scholar] [CrossRef]
- Gilbert, N.A.; Clare, J.D.J.; Stenglein, J.L.; Zuckerberg, B. Abundance Estimation of Unmarked Animals Based on Camera-Trap Data. Conserv. Biol. 2021, 35, 88–100. [Google Scholar] [CrossRef]
- Twining, J.P.; McFarlane, C.; O’Meara, D.; O’Reilly, C.; Reyne, M.; Montgomery, W.I.; Helyar, S.; Tosh, D.G.; Augustine, B.C. A Comparison of Density Estimation Methods for Monitoring Marked and Unmarked Animal Populations. Ecosphere 2022, 13, e4165. [Google Scholar] [CrossRef]
- Li, Z.; Du, M.; Zhu, Y.; Wang, D.; Li, Z.; Wang, T. A Practical Guide for Estimating the Density of Unmarked Populations Using Camera Traps. Biodivers. Sci. 2023, 31, 22422. [Google Scholar] [CrossRef]
- Palencia, P.; Rowcliffe, J.M.; Vicente, J.; Acevedo, P. Assessing the Camera Trap Methodologies Used to Estimate Density of Unmarked Populations. J. Appl. Ecol. 2021, 58, 1583–1592. [Google Scholar] [CrossRef]
- Rowcliffe, J.M.; Field, J.; Turvey, S.T.; Carbone, C. Estimating Animal Density Using Camera Traps without the Need for Individual Recognition. J. Appl. Ecol. 2008, 45, 1228–1236. [Google Scholar] [CrossRef]
- Rowcliffe, J.M.; Kays, R.; Carbone, C.; Jansen, P.A. Clarifying Assumptions behind the Estimation of Animal Density from Camera Trap Rates. J. Wildl. Manag. 2013, 77, 876. [Google Scholar] [CrossRef]
- Cusack, J.J.; Swanson, A.; Coulson, T.; Packer, C.; Carbone, C.; Dickman, A.J.; Kosmala, M.; Lintott, C.; Rowcliffe, J.M. Applying a Random Encounter Model to Estimate Lion Density from Camera Traps in Serengeti National Park, Tanzania. J. Wildl. Manag. 2015, 79, 1014–1021. [Google Scholar] [CrossRef] [PubMed]
- Garrote, G.; de Ayala, R.P.; Álvarez, A.; Martín, J.M.; Ruiz, M.; de Lillo, S.; Simón, M.A. Improving the Random Encounter Model Method to Estimate Carnivore Densities Using Data Generated by Conventional Camera-Trap Design. Oryx 2021, 55, 99–104. [Google Scholar] [CrossRef]
- Di Bitetti, M.S.; Paviolo, A.; De Angelo, C. Camera Trap Photographic Rates on Roads vs. off Roads: Location Does Matter. Mastozool. Neotropical 2014, 21, 37–46. [Google Scholar]
- Hofmeester, T.R.; Thorsen, N.H.; Cromsigt, J.P.G.M.; Kindberg, J.; Andrén, H.; Linnell, J.D.C.; Odden, J. Effects of Camera-Trap Placement and Number on Detection of Members of a Mammalian Assemblage. Ecosphere 2021, 12, e03662. [Google Scholar] [CrossRef]
- Soofi, M.; Ghoddousi, A.; Hamidi, A.K.; Ghasemi, B.; Egli, L.; Voinopol-Sassu, A.J.; Kiabi, B.H.; Balkenhol, N.; Khorozyan, I.; Waltert, M. Precision and Reliability of Indirect Population Assessments for the Caspian Red Deer Cervus elaphus Maral. Wildl. Biol. 2017, 2017, 1–8. [Google Scholar] [CrossRef]
- Mengüllüoğlu, D.; Ambarlı, H.; Berger, A.; Hofer, H. Foraging Ecology of Eurasian Lynx Populations in Southwest Asia: Conservation Implications for a Diet Specialist. Ecol. Evol. 2018, 8, 9451–9463. [Google Scholar] [CrossRef]
- Rowcliffe, J.M.; Jansen, P.A.; Kays, R.; Kranstauber, B.; Carbone, C. Wildlife Speed Cameras: Measuring Animal Travel Speed and Day Range Using Camera Traps. Remote Sens. Ecol. Conserv. 2016, 2, 84–94. [Google Scholar] [CrossRef]
- Palencia, P.; Vicente, J.; Barroso, P.; Barasona, J.á.; Soriguer, R.C.; Acevedo, P. Estimating Day Range from Camera-Trap Data: The Animals’ Behaviour as a Key Parameter. J. Zool. 2019, 309, 182–190. [Google Scholar] [CrossRef]
- Noonan, M.J.; Fleming, C.H.; Akre, T.S.; Drescher-Lehman, J.; Gurarie, E.; Harrison, A.-L.; Kays, R.; Calabrese, J.M. Scale-Insensitive Estimation of Speed and Distance Traveled from Animal Tracking Data. Mov. Ecol. 2019, 7, 35. [Google Scholar] [CrossRef] [PubMed]
- Henrich, M.; Hartig, F.; Dormann, C.F.; Kühl, H.S.; Peters, W.; Franke, F.; Peterka, T.; Šustr, P.; Heurich, M. Deer Behavior Affects Density Estimates with Camera Traps, but Is Outweighed by Spatial Variability. Front. Ecol. Evol. 2022, 10, 881502. [Google Scholar] [CrossRef]
- Marcon, A.; Bongi, P.; Battocchio, D.; Apollonio, M. REM: Performance on a High-Density Fallow Deer (Dama dama) Population. Mammal Res. 2020, 65, 835–841. [Google Scholar] [CrossRef]
- Askerov, E.; Trepet, S.A.; Eskina, T.G.; Bibina, K.V.; Narkevich, A.I.; Pkhitikov, A.B.; Zazanashvili, N.; Akhmadova, K. Estimation of the Population Densities of Species Prey or Competitor to the Leopard (Panthera pardus) in Hyrcan National Park, Azerbaijan. Biol. Bull. 2022, 49, 953–960. [Google Scholar] [CrossRef]
- Thompson, J.J.; Morato, R.G.; Niebuhr, B.B.; Alegre, V.B.; Oshima, J.E.F.; de Barros, A.E.; Paviolo, A.; de la Torre, J.A.; Lima, F.; McBride, R.T.; et al. Environmental and Anthropogenic Factors Synergistically Affect Space Use of Jaguars. Curr. Biol. 2021, 31, 3457–3466.e4. [Google Scholar] [CrossRef]
- Santini, G.; Abolaffio, M.; Ossi, F.; Franzetti, B.; Cagnacci, F.; Focardi, S. Population Assessment without Individual Identification Using Camera-Traps: A Comparison of Four Methods. Basic Appl. Ecol. 2022, 61, 68–81. [Google Scholar] [CrossRef]
- Palencia, P.; Acevedo, P.; Hofmeester, T.R.; Sereno-Cadierno, J.; Vicente, J. Inter-Population Variability in Movement Parameters: Practical Implications for Population Density Estimation. J. Wildl. Manag. 2023, 87, e22473. [Google Scholar] [CrossRef]
- Suraci, J.P.; Smith, J.A.; Chamaillé-Jammes, S.; Gaynor, K.M.; Jones, M.; Luttbeg, B.; Ritchie, E.G.; Sheriff, M.J.; Sih, A. Beyond Spatial Overlap: Harnessing New Technologies to Resolve the Complexities of Predator–Prey Interactions. Oikos 2022, 2022, e09004. [Google Scholar] [CrossRef]
- Bekoff, M. Canis Latrans. Mamm. Species 1977, 79, 1–9. [Google Scholar] [CrossRef]
- Hody, J.W.; Kays, R. Mapping the Expansion of Coyotes (Canis latrans) across North and Central America. ZooKeys 2018, 759, 81–97. [Google Scholar] [CrossRef]
- Elbroch, L.M.; Kusler, A. Are Pumas Subordinate Carnivores, and Does It Matter? PeerJ 2018, 6, e4293. [Google Scholar] [CrossRef] [PubMed]
- Colborn, A.S.; Kuntze, C.C.; Gadsden, G.I.; Harris, N.C. Spatial Variation in Diet–Microbe Associations across Populations of a Generalist North American Carnivore. J. Anim. Ecol. 2020, 89, 1952–1960. [Google Scholar] [CrossRef] [PubMed]
- Jensen, A.J.; Marneweck, C.J.; Kilgo, J.C.; Jachowski, D.S. Coyote Diet in North America: Geographic and Ecological Patterns during Range Expansion. Mammal Rev. 2022, 52, 480–496. [Google Scholar] [CrossRef]
- Hayward, M.W.; Mitchell, C.D.; Kamler, J.F.; Rippon, P.; Heit, D.R.; Nams, V.; Montgomery, R.A. Diet Selection in the Coyote Canis Latrans. J. Mammal. 2023, 104, 1338–1352. [Google Scholar] [CrossRef]
- Cypher, B.L.; Kelly, E.C.; Westall, T.L.; Job, C.L.V.H. Coyote Diet Patterns in the Mojave Desert: Implications for Threatened Desert Tortoises. Pac. Conserv. Biol. 2018, 24, 44–54. [Google Scholar] [CrossRef]
- Clark, F.W. Influence of Jackrabbit Density on Coyote Population Change. J. Wildl. Manag. 1972, 36, 343–356. [Google Scholar] [CrossRef]
- Wagner, F.H.; Stoddart, L.C. Influence of Coyote Predation on Black-Tailed Jackrabbit Populations in Utah. J. Wildl. Manag. 1972, 36, 329–342. [Google Scholar] [CrossRef]
- Bartel, R.A.; Knowlton, F.F.; Stoddart, L.C. Long-Term Patterns in Mammalian Abundance in Northern Portions of the Great Basin. J. Mammal. 2008, 89, 1170–1183. [Google Scholar] [CrossRef]
- Simes, M.T.; Longshore, K.M.; Nussear, K.E.; Beatty, G.L.; Brown, D.E.; Esque, T.C. Black-Tailed and White-Tailed Jackrabbits in the American West: History, Ecology, Ecological Significance, and Survey Methods. West. North Am. Nat. 2015, 75, 491–519. [Google Scholar] [CrossRef]
- Sun, Z.; An, Q.; Li, Y.; Gao, X.; Wang, H. Epidemiological Characterization and Risk Assessment of Rabbit Haemorrhagic Disease Virus 2 (RHDV2/b/GI.2) in the World. Vet. Res. 2024, 55, 38. [Google Scholar] [CrossRef]
- Esque, T.C.; Nussear, K.E.; Drake, K.K.; Walde, A.D.; Berry, K.H.; Averill-Murray, R.C.; Woodman, A.P.; Boarman, W.I.; Medica, P.A.; Mack, J.; et al. Effects of Subsidized Predators, Resource Variability, and Human Population Density on Desert Tortoise Populations in the Mojave Desert, USA. Endanger. Species Res. 2010, 12, 167–177. [Google Scholar] [CrossRef]
- RECON Environmental. Clark County (Nevada) Multiple Species Habitat Conservation Plan. In Final Clark County Multiple Species Habitat Conservation Plan and Environmental Impact Statement for Issuance of a Permit to Allow Incidental Take of 79 Species in Clark County, Nevada; Clark County Department of Comprehensive Planning: Clark County, NV, USA, 2000. [Google Scholar]
- United States Environmental Protection Agency. Ecoregions of the Southwest (Arizona, California, Nevada); National Health and Ecological Effects Research Laboratory: Corvallis, OR, USA, 2016. [Google Scholar]
- Western Regional Climate Center. Boulder City, Nevada (261071): Monthly Climate Summary. 2024. Available online: https://wrcc.dri.edu/cgi-bin/cliMAIN.pl?nv1071 (accessed on 23 February 2024).
- Pettigrew, P.; Sigouin, D.; St-Laurent, M.-H. Testing the Precision and Sensitivity of Density Estimates Obtained with a Camera-Trap Method Revealed Limitations and Opportunities. Ecol. Evol. 2021, 11, 7879–7889. [Google Scholar] [CrossRef] [PubMed]
- Sikes, R.S.; the Animal Care and Use Committee of the American Society of Mammalogists. 2016 Guidelines of the American Society of Mammalogists for the Use of Wild Mammals in Research and Education. J. Mammal. 2016, 97, 663–688. [Google Scholar] [CrossRef] [PubMed]
- Kreeger, T.J.; Arnemo, J. Handbook of Wildlife Chemical Immobilization, 5th ed.; Terry J. Kreeger: Wheatland, CA, USA, 2018. [Google Scholar]
- Gipson, P.S.; Ballard, W.B.; Nowak, R.M.; Mech, L.D. Accuracy and Precision of Estimating Age of Gray Wolves by Tooth Wear. J. Wildl. Manag. 2000, 64, 752–758. [Google Scholar] [CrossRef]
- Fleming, C.H.; Calabrese, J.M.; Mueller, T.; Olson, K.A.; Leimgruber, P.; Fagan, W.F. Non-Markovian Maximum Likelihood Estimation of Autocorrelated Movement Processes. Methods Ecol. Evol. 2014, 5, 462–472. [Google Scholar] [CrossRef]
- Fleming, C.H.; Calabrese, J.M.; Mueller, T.; Olson, K.A.; Leimgruber, P.; Fagan, W.F. From Fine-Scale Foraging to Home Ranges: A Semivariance Approach to Identifying Movement Modes across Spatiotemporal Scales. Am. Nat. 2014, 183, E154–E167. [Google Scholar] [CrossRef]
- Calabrese, J.M.; Fleming, C.H.; Gurarie, E. Ctmm: An r Package for Analyzing Animal Relocation Data as a Continuous-Time Stochastic Process. Methods Ecol. Evol. 2016, 7, 1124–1132. [Google Scholar] [CrossRef]
- R Core Team. R: A Language and Environment for Statistical Computing. 2024. Available online: https://www.R-project.org/ (accessed on 10 January 2024).
- Fleming, C.H.; Sheldon, D.; Fagan, W.F.; Leimgruber, P.; Mueller, T.; Nandintsetseg, D.; Noonan, M.J.; Olson, K.A.; Setyawan, E.; Sianipar, A.; et al. Correcting for Missing and Irregular Data in Home-Range Estimation. Ecol. Appl. 2018, 28, 1003–1010. [Google Scholar] [CrossRef]
- Marcus Rowcliffe, J.; Carbone, C.; Kays, R.; Kranstauber, B.; Jansen, P.A. Bias in Estimating Animal Travel Distance: The Effect of Sampling Frequency. Methods Ecol. Evol. 2012, 3, 653–662. [Google Scholar] [CrossRef]
- Gurarie, E.; Fleming, C.H.; Fagan, W.F.; Laidre, K.L.; Hernández-Pliego, J.; Ovaskainen, O. Correlated Velocity Models as a Fundamental Unit of Animal Movement: Synthesis and Applications. Mov. Ecol. 2017, 5, 13. [Google Scholar] [CrossRef]
- Burnham, K.P.; Anderson, D.R.; Huyvaert, K.P. AIC Model Selection and Multimodel Inference in Behavioral Ecology: Some Background, Observations, and Comparisons. Behav. Ecol. Sociobiol. 2011, 65, 23–35. [Google Scholar] [CrossRef]
- Harris, G.; Thompson, R.; Childs, J.L.; Sanderson, J.G. Automatic Storage and Analysis of Camera Trap Data. Bull. Ecol. Soc. Am. 2010, 91, 352–360. [Google Scholar] [CrossRef]
- Sanderson, J.G.; Harris, G. Automatic Camera Trap Data Organisation, Storage and Analysis without Entering Data by Hand Using a Keyboard. In Camera Trapping: Wildlife Management and Research; CSIRO Publishing: Collingwood, Australia, 2014; pp. 283–290. [Google Scholar]
- Jensen, P.O.; Wirsing, A.J.; Thornton, D.H. Using Camera Traps to Estimate Density of Snowshoe Hare (Lepus americanus): A Keystone Boreal Forest Herbivore. J. Mammal. 2022, 103, 693–710. [Google Scholar] [CrossRef]
- Melovski, D.; Krofel, M.; Avukatov, V.; Fležar, U.; Gonev, A.; Hočevar, L.; Ivanov, G.; Leschinski, L.; Pavlov, A.; Stojanov, A.; et al. Diverging Ecological Traits between the Balkan Lynx and Neighbouring Populations as a Basis for Planning Its Genetic Rescue. Mamm. Biol. 2022, 102, 1697–1708. [Google Scholar] [CrossRef]
- St-Pierre, F.; Drapeau, P.; St-Laurent, M.-H. Stairway to Heaven or Highway to Hell? How Characteristics of Forest Roads Shape Their Use by Large Mammals in the Boreal Forest. For. Ecol. Manag. 2022, 510, 120108. [Google Scholar] [CrossRef]
- Caravaggi, A. remBoot: An R Package for Random Encounter Modelling. J. Open Source Softw. 2017, 2, 176. [Google Scholar] [CrossRef]
- Chalmers, R.P.; Adkins, M.C. Writing Effective and Reliable Monte Carlo Simulations with the SimDesign Package. Quant. Methods Psychol. 2020, 16, 248–280. [Google Scholar] [CrossRef]
- International Union for Conservation of Nature and Natural Resources (IUCN). The IUCN Red List of Threatened Species, Version 2022-2; IUCN, Global Species Programme Red List Unit: Cambridge, UK, 2023. [Google Scholar]
- Brooks, M.E.; Kristensen, K.; van Benthem, K.J.; Magnusson, A.; Berg, C.W.; Nielsen, A.; Skaug, H.J.; Machler, M.; Bolker, B.M. glmmTMB Balances Speed and Flexibility among Packages for Zero-Inflated Generalized Linear Mixed Modeling. R J. 2017, 9, 378–400. [Google Scholar] [CrossRef]
- Lüdecke, D. Ggeffects: Tidy Data Frames of Marginal Effects from Regression Models. J. Open Source Softw. 2018, 3, 772. [Google Scholar] [CrossRef]
- Lenth, R.V. Emmeans: Estimated Marginal Means, Aka Least-Squares Means 2022; R Project for Statistical Computing: Vienna, Austria, 2022. [Google Scholar]
- Chauvenet, A.L.M.; Gill, R.M.A.; Smith, G.C.; Ward, A.I.; Massei, G. Quantifying the Bias in Density Estimated from Distance Sampling and Camera Trapping of Unmarked Individuals. Ecol. Model. 2017, 350, 79–86. [Google Scholar] [CrossRef]
- Morin, D.J.; Boulanger, J.; Bischof, R.; Lee, D.C.; Ngoprasert, D.; Fuller, A.K.; McLellan, B.; Steinmetz, R.; Sharma, S.; Garshelis, D.; et al. Comparison of Methods for Estimating Density and Population Trends for Low-Density Asian Bears. Glob. Ecol. Conserv. 2022, 35, e02058. [Google Scholar] [CrossRef]
- Palencia, P.; Barroso, P.; Vicente, J.; Hofmeester, T.R.; Ferreres, J.; Acevedo, P. Random Encounter Model Is a Reliable Method for Estimating Population Density of Multiple Species Using Camera Traps. Remote Sens. Ecol. Conserv. 2022, 8, 670–682. [Google Scholar] [CrossRef]
- Dolapchiev, N.P.; Zlatanova, D.P.; Popova, E.D.; Petrov, P.R.; Doykin, N.A. Apostatic or Anti-Apostatic? Prey Selection of Wolf Canis lupus L. (Mammalia: Canidae) in the Osogova Mountain, Bulgaria. Acta Zool. Bulg. 2022, 74, 235–244. [Google Scholar]
- Mitchell, M.S.; Hebblewhite, M. Carnivore Habitat Ecology: Integrating Theory and Application. In Carnivore Ecology and Conservation: A Handbook of Techniques; Oxford University Press: New York, NY, USA, 2012. [Google Scholar]
- Pereira, P.; Alves da Silva, A.; Alves, J.; Matos, M.; Fonseca, C. Coexistence of Carnivores in a Heterogeneous Landscape: Habitat Selection and Ecological Niches. Ecol. Res. 2012, 27, 745–753. [Google Scholar] [CrossRef]
- Hayward, M.W.; Boitani, L.; Burrows, N.D.; Funston, P.J.; Karanth, K.U.; MacKenzie, D.I.; Pollock, K.H.; Yarnell, R.W. Ecologists Need Robust Survey Designs, Sampling and Analytical Methods. J. Appl. Ecol. 2015, 52, 286–290. [Google Scholar] [CrossRef]






| Coyote Detections | Jackrabbit Detections | |||
|---|---|---|---|---|
| Season × Year | Random | Strategic | Random | Strategic | 
| Winter 2019–2020 | 30 | 470 | 3214 | 6621 | 
| Summer 2020 | 22 | 402 | 898 | 5277 | 
| Winter 2020–2021 | 27 | 441 | 742 | 1729 | 
| Summer 2021 | 22 | 296 | 395 | 564 | 
| Disclaimer/Publisher’s Note: The statements, opinions and data contained in all publications are solely those of the individual author(s) and contributor(s) and not of MDPI and/or the editor(s). MDPI and/or the editor(s) disclaim responsibility for any injury to people or property resulting from any ideas, methods, instructions or products referred to in the content. | 
© 2024 by the authors. Licensee MDPI, Basel, Switzerland. This article is an open access article distributed under the terms and conditions of the Creative Commons Attribution (CC BY) license (https://creativecommons.org/licenses/by/4.0/).
Share and Cite
Murphy, S.M.; Nolan, B.S.; Chen, F.C.; Longshore, K.M.; Simes, M.T.; Berry, G.A.; Esque, T.C. Most Random-Encounter-Model Density Estimates in Camera-Based Predator–Prey Studies Are Unreliable. Animals 2024, 14, 3361. https://doi.org/10.3390/ani14233361
Murphy SM, Nolan BS, Chen FC, Longshore KM, Simes MT, Berry GA, Esque TC. Most Random-Encounter-Model Density Estimates in Camera-Based Predator–Prey Studies Are Unreliable. Animals. 2024; 14(23):3361. https://doi.org/10.3390/ani14233361
Chicago/Turabian StyleMurphy, Sean M., Benjamin S. Nolan, Felicia C. Chen, Kathleen M. Longshore, Matthew T. Simes, Gabrielle A. Berry, and Todd C. Esque. 2024. "Most Random-Encounter-Model Density Estimates in Camera-Based Predator–Prey Studies Are Unreliable" Animals 14, no. 23: 3361. https://doi.org/10.3390/ani14233361
APA StyleMurphy, S. M., Nolan, B. S., Chen, F. C., Longshore, K. M., Simes, M. T., Berry, G. A., & Esque, T. C. (2024). Most Random-Encounter-Model Density Estimates in Camera-Based Predator–Prey Studies Are Unreliable. Animals, 14(23), 3361. https://doi.org/10.3390/ani14233361
 
        


 
       