An Improved Bird Detection Method Using Surveillance Videos from Poyang Lake Based on YOLOv8
Simple Summary
Abstract
1. Introduction
2. Materials and Methods
2.1. Bird Dataset
2.2. YOLOv8 Detection Network
2.3. Proposed YOLOv8-Bird Detection Network
2.3.1. Improved Convolution Module
2.3.2. Improved Feature Fusion Module
2.3.3. Improvement of Detection Head
2.3.4. Improvement of Loss Function
2.4. Experimental Environment and Evaluation Metrics
2.4.1. Experimental Environment
2.4.2. Evaluation Metrics
3. Results
3.1. Module Improvement Experiment
3.2. Ablation Experiment
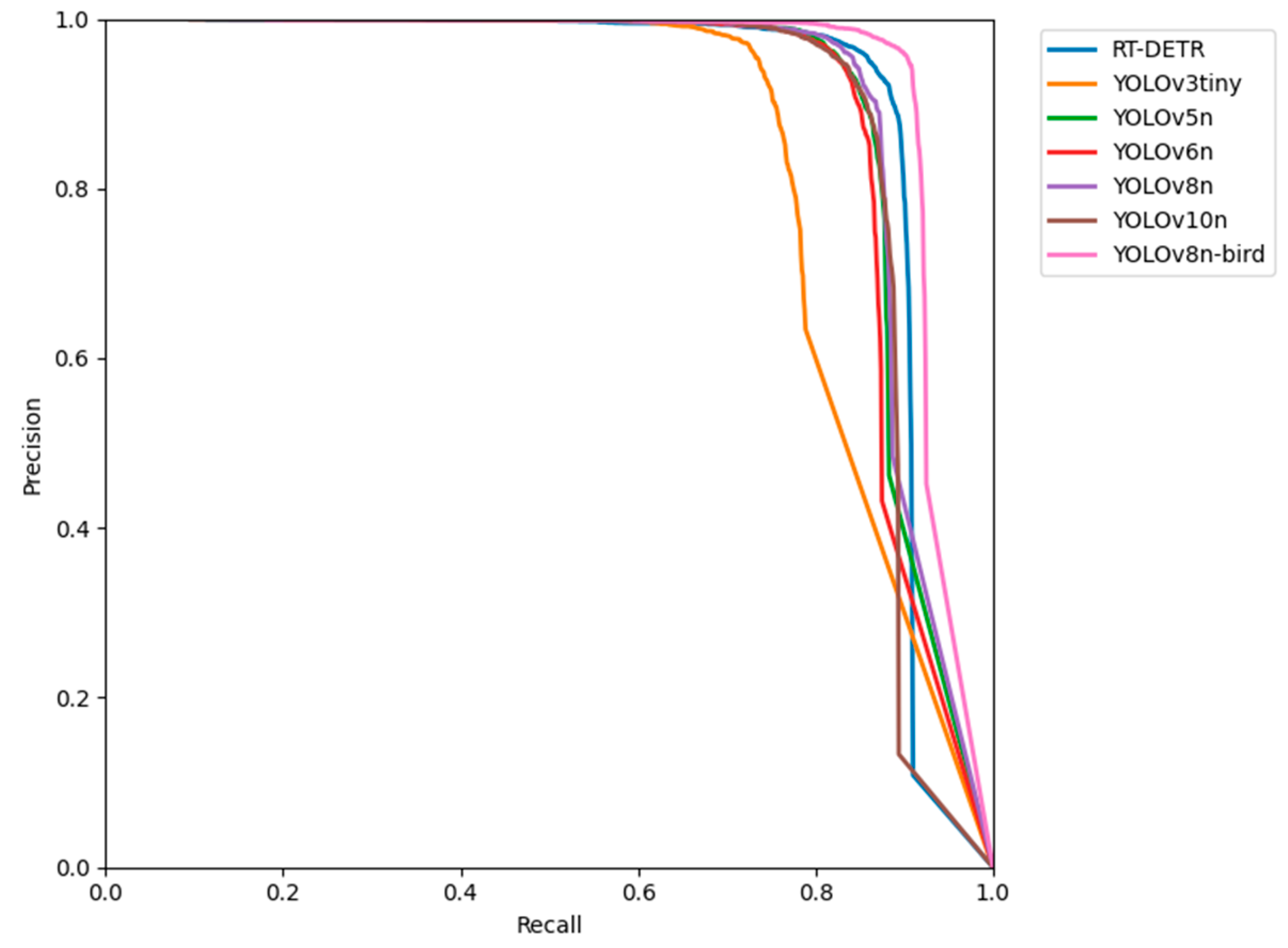
3.3. Comparison Test
3.4. Visualization
4. Discussion
5. Conclusions
Supplementary Materials
Author Contributions
Funding
Institutional Review Board Statement
Informed Consent Statement
Data Availability Statement
Conflicts of Interest
References
- Ekumah, B.; Armah, F.A.; Afrifa, E.K.A.; Aheto, D.W.; Odoi, J.O.; Afitiri, A.-R. Geospatial assessment of ecosystem health of coastal urban wetlands in Ghana. Ocean Coast. Manag. 2020, 193, 105226. [Google Scholar] [CrossRef]
- Zhu, X.; Jiao, L.; Wu, X.; Du, D.; Wu, J.; Zhang, P. Ecosystem health assessment and comparison of natural and constructed wetlands in the arid zone of northwest China. Ecol. Indic. 2023, 154, 110576. [Google Scholar] [CrossRef]
- Li, Y.; Qian, F.; Silbernagel, J.; Larson, H. Community structure, abundance variation and population trends of waterbirds in relation to water level fluctuation in Poyang Lake. J. Great Lakes Res. 2019, 45, 976–985. [Google Scholar] [CrossRef]
- Gregory, R.D.; Noble, D.G.; Field, R.; Marchant, J.H.; Raven, M.; Gibbons, D. Using birds as indicators of biodiversity. Ornis Hung. 2003, 12, 11–24. [Google Scholar]
- Bibby, C.J.; Burgess, N.D.; Hill, D.A. 4—Line Transects. In Bird Census Techniques; Bibby, C.J., Burgess, N.D., Hill, D.A., Eds.; Academic Press: Cambridge, MA, USA, 1992; pp. 66–84. [Google Scholar]
- Bibby, C.J.; Burgess, N.D.; Hill, D.A. 5—Point Counts. In Bird Census Techniques; Bibby, C.J., Burgess, N.D., Hill, D.A., Eds.; Academic Press: Cambridge, MA, USA, 1992; pp. 85–104. [Google Scholar]
- Bibby, C.J.; Burgess, N.D.; Hill, D.A. 6—Catching and Marking. In Bird Census Techniques; Bibby, C.J., Burgess, N.D., Hill, D.A., Eds.; Academic Press: Cambridge, MA, USA, 1992; pp. 105–129. [Google Scholar]
- Anand, R.; Shanthi, T.; Dinesh, C.; Karthikeyan, S.; Gowtham, M.; Veni, S. AI based Birds Sound Classification Using Convolutional Neural Networks. IOP Conf. Ser. Earth Environ. Sci. 2021, 785, 012015. [Google Scholar] [CrossRef]
- Permana, S.D.H.; Saputra, G.; Arifitama, B.; Yaddarabullah; Caesarendra, W.; Rahim, R. Classification of bird sounds as an early warning method of forest fires using Convolutional Neural Network (CNN) algorithm. J. King Saud Univ. Comput. Inf. Sci. 2022, 34, 4345–4357. [Google Scholar] [CrossRef]
- Sprengel, E.; Jaggi, M.; Kilcher, Y.; Hofmann, T. Audio Based Bird Species Identification using Deep Learning Techniques. In Proceedings of the Conference and Labs of the Evaluation Forum, Évora, Portugal, 5–8 September 2016. [Google Scholar]
- Szegedy, C.; Wei, L.; Yangqing, J.; Sermanet, P.; Reed, S.; Anguelov, D.; Erhan, D.; Vanhoucke, V.; Rabinovich, A. Going deeper with convolutions. In Proceedings of the 2015 IEEE Conference on Computer Vision and Pattern Recognition (CVPR), Boston, MA, USA, 7–12 June 2015; pp. 1–9. [Google Scholar]
- Tang, Q.; Xu, L.; Zheng, B.; He, C. Transound: Hyper-head attention transformer for birds sound recognition. Ecol. Inform. 2023, 75, 102001. [Google Scholar] [CrossRef]
- Xiao, H.; Liu, D.; Chen, K.; Zhu, M. AMResNet: An automatic recognition model of bird sounds in real environment. Appl. Acoust. 2022, 201, 109121. [Google Scholar] [CrossRef]
- Chen, R.; Little, R.; Mihaylova, L.; Delahay, R.; Cox, R. Wildlife surveillance using deep learning methods. Ecol. Evol. 2019, 9, 9453–9466. [Google Scholar] [CrossRef]
- Hong, S.-J.; Han, Y.; Kim, S.-Y.; Lee, A.-Y.; Kim, G. Application of Deep-Learning Methods to Bird Detection Using Unmanned Aerial Vehicle Imagery. Sensors 2019, 19, 1651. [Google Scholar] [CrossRef]
- Song, Q.; Guan, Y.; Guo, X.; Guo, X.; Chen, Y.; Wang, H.; Ge, J.-P.; Wang, T.; Bao, L. Benchmarking wild bird detection in complex forest scenes. Ecol. Inform. 2024, 80, 102466. [Google Scholar] [CrossRef]
- Lei, J.; Gao, S.; Rasool, M.A.; Fan, R.; Jia, Y.; Lei, G. Optimized Small Waterbird Detection Method Using Surveillance Videos Based on YOLOv7. Animals 2023, 13, 1929. [Google Scholar] [CrossRef] [PubMed]
- Wu, E.; Wang, H.; Lu, H.; Zhu, W.; Jia, Y.; Wen, L.; Choi, C.-Y.; Guo, H.; Li, B.; Sun, L.; et al. Unlocking the Potential of Deep Learning for Migratory Waterbirds Monitoring Using Surveillance Video. Remote Sens. 2022, 14, 514. [Google Scholar] [CrossRef]
- Kang, M.; Ting, C.-M.; Ting, F.F.; Phan, R.C.-W. ASF-YOLO: A Novel YOLO Model with Attentional Scale Sequence Fusion for Cell Instance Segmentation. Image Vis. Comput. 2023, 147, 105057. [Google Scholar] [CrossRef]
- Nie, H.; Pang, H.; Ma, M.; Zheng, R. A Lightweight Remote Sensing Small Target Image Detection Algorithm Based on Improved YOLOv8. Sensors 2024, 24, 2952. [Google Scholar] [CrossRef]
- Zhang, H.; Zhang, S. Shape-IoU: More Accurate Metric considering Bounding Box Shape and Scale. arXiv 2023, arXiv:2312.17663. [Google Scholar]
- Zhang, H.; Xu, C.; Zhang, S. Inner-IoU: More effective intersection over union loss with auxiliary bounding box. arXiv 2023, arXiv:2311.02877. [Google Scholar]
- Wah, C.; Branson, S.; Welinder, P.; Perona, P.; Belongie, S. The Caltech-Ucsd Birds-200-2011 Dataset; California Institute of Techlogy: Pasadena, CA, USA, 2011. [Google Scholar]
- Horn, G.V.; Branson, S.; Farrell, R.; Haber, S.; Barry, J.; Ipeirotis, P.; Perona, P.; Belongie, S. Building a bird recognition app and large scale dataset with citizen scientists: The fine print in fine-grained dataset collection. In Proceedings of the 2015 IEEE Conference on Computer Vision and Pattern Recognition (CVPR), Boston, MA, USA, 7–12 June 2015; pp. 595–604. [Google Scholar]
- Wu, X.; Sahoo, D.; Hoi, S.C.H. Recent advances in deep learning for object detection. Neurocomputing 2020, 396, 39–64. [Google Scholar] [CrossRef]
- Girshick, R.; Donahue, J.; Darrell, T.; Malik, J. Rich Feature Hierarchies for Accurate Object Detection and Semantic Segmentation. In Proceedings of the 2014 IEEE Conference on Computer Vision and Pattern Recognition, Columbus, OH, USA, 23–28 June 2014; pp. 580–587. [Google Scholar]
- Ren, S.; He, K.; He, K.; Girshick, R.; Sun, J. Faster R-CNN: Towards Real-Time Object Detection with Region Proposal Networks. IEEE Trans. Pattern Anal. Mach. Intell. 2016, 39, 1137–1149. [Google Scholar] [CrossRef]
- He, K.; Gkioxari, G.; Dollár, P.; Girshick, R. Mask R-CNN. In Proceedings of the 2017 IEEE International Conference on Computer Vision (ICCV), Venice, Italy, 22–29 October 2017; pp. 2980–2988. [Google Scholar]
- Cai, Z.; Vasconcelos, N. Cascade R-CNN: Delving Into High Quality Object Detection. In Proceedings of the 2018 IEEE/CVF Conference on Computer Vision and Pattern Recognition, Salt Lake City, UT, USA, 18–22 June 2018; pp. 6154–6162. [Google Scholar]
- Redmon, J.; Divvala, S.K.; Girshick, R.B.; Farhadi, A. You Only Look Once: Unified, Real-Time Object Detection. In Proceedings of the 2016 IEEE Conference on Computer Vision and Pattern Recognition (CVPR), Las Vegas, NV, USA, 27–30 June 2016; pp. 779–788. [Google Scholar]
- Redmon, J.; Farhadi, A. YOLO9000: Better, Faster, Stronger. In Proceedings of the 2017 IEEE Conference on Computer Vision and Pattern Recognition (CVPR), Honolulu, HI, USA, 21–26 July 2017; pp. 6517–6525. [Google Scholar]
- Redmon, J.; Farhadi, A. YOLOv3: An Incremental Improvement. arXiv 2018, arXiv:1804.02767. [Google Scholar]
- Wang, A.; Chen, H.; Liu, L.; Chen, K.; Lin, Z.; Han, J.; Ding, G. YOLOv10: Real-Time End-to-End Object Detection. arXiv 2024, arXiv:2405.14458. [Google Scholar]
- Liu, W.; Anguelov, D.; Erhan, D.; Szegedy, C.; Reed, S.E.; Fu, C.-Y.; Berg, A.C. SSD: Single Shot MultiBox Detector. In Proceedings of the European Conference on Computer Vision, Santiago, Chile, 7–13 December 2015. [Google Scholar]
- Duan, K.; Bai, S.; Xie, L.; Qi, H.; Huang, Q.; Tian, Q. CenterNet: Keypoint Triplets for Object Detection. In Proceedings of the 2019 IEEE/CVF International Conference on Computer Vision (ICCV), Seoul, Republic of Korea, 27 October–2 November 2019; pp. 6568–6577. [Google Scholar]
- Zhang, X.; Liu, C.; Yang, D.; Song, T.; Ye, Y.; Li, K.; Song, Y. RFAConv: Innovating Spatial Attention and Standard Convolutional Operation. arXiv 2023, arXiv:2304.03198. [Google Scholar]
- Liu, W.; Lu, H.; Fu, H.; Cao, Z. Learning to Upsample by Learning to Sample. In Proceedings of the 2023 IEEE/CVF International Conference on Computer Vision (ICCV), Paris, France, 1–6 October 2023; pp. 6004–6014. [Google Scholar]
- Tian, Z.; Shen, C.; Chen, H.; He, T. FCOS: Fully Convolutional One-Stage Object Detection. In Proceedings of the 2019 IEEE/CVF International Conference on Computer Vision (ICCV), Seoul, Republic of Korea, 27 October–2 November 2019; pp. 9626–9635. [Google Scholar]
- Chen, Z.; He, Z.; Lu, Z.-m. DEA-Net: Single Image Dehazing Based on Detail-Enhanced Convolution and Content-Guided Attention. IEEE Trans. Image Process. 2023, 33, 1002–1015. [Google Scholar] [CrossRef] [PubMed]
- Zheng, Z.; Wang, P.; Ren, D.; Liu, W.; Ye, R.; Hu, Q.; Zuo, W. Enhancing Geometric Factors in Model Learning and Inference for Object Detection and Instance Segmentation. IEEE Trans. Cybern. 2022, 52, 8574–8586. [Google Scholar] [CrossRef]
- Zhang, X.; Song, Y.; Song, T.; Yang, D.; Ye, Y.; Zhou, J.; Zhang, L. AKConv: Convolutional Kernel with Arbitrary Sampled Shapes and Arbitrary Number of Parameters. Available online: https://dblp.org/rec/journals/corr/abs-2311-11587.html (accessed on 18 November 2024).
- Li, C.; Zhou, A.; Yao, A. Omni-Dimensional Dynamic Convolution. arXiv 2022, arXiv:2209.07947. [Google Scholar]
- Chen, Y.; Dai, X.; Liu, M.; Chen, D.; Yuan, L.; Liu, Z. Dynamic Convolution: Attention Over Convolution Kernels. In Proceedings of the 2020 IEEE/CVF Conference on Computer Vision and Pattern Recognition (CVPR), Seattle, WA, USA, 13–19 June 2020; pp. 11027–11036. [Google Scholar]
- Selvaraju, R.R.; Cogswell, M.; Das, A.; Vedantam, R.; Parikh, D.; Batra, D. Grad-CAM: Visual Explanations from Deep Networks via Gradient-Based Localization. In Proceedings of the 2017 IEEE International Conference on Computer Vision (ICCV), Venice, Italy, 22–29 October 2017; pp. 618–626. [Google Scholar]
- Zou, R.; Liu, J.; Pan, H.; Tang, D.; Zhou, R. An Improved Instance Segmentation Method for Fast Assessment of Damaged Buildings Based on Post-Earthquake UAV Images. Sensors 2024, 24, 4371. [Google Scholar] [CrossRef]
- Shanliang, L.; Yunlong, L.; Jingyi, Q.; Renbiao, W. Airport UAV and birds detection based on deformable DETR. J. Phys. Conf. Ser. 2022, 2253, 012024. [Google Scholar] [CrossRef]
- Orange, J.P.; Bielefeld, R.R.; Cox, W.A.; Sylvia, A.L. Impacts of Drone Flight Altitude on Behaviors and Species Identification of Marsh Birds in Florida. Drones 2023, 7, 584. [Google Scholar] [CrossRef]
- Kumbhojkar, S.; Mahabal, A.; Rakholia, S.; Yosef, R. Avian and Mammalian Diversity and Abundance in Jhalana Reserve Forest, Jaipur, India. Animals 2024, 14, 2939. [Google Scholar] [CrossRef]
- Xiang, W.; Song, Z.; Zhang, G.; Wu, X. Birds Detection in Natural Scenes Based on Improved Faster RCNN. Appl. Sci. 2022, 12, 6094. [Google Scholar] [CrossRef]
- Said Hamed Alzadjali, N.; Balasubaramainan, S.; Savarimuthu, C.; Rances, E.O. A Deep Learning Framework for Real-Time Bird Detection and Its Implications for Reducing Bird Strike Incidents. Sensors 2024, 24, 5455. [Google Scholar] [CrossRef] [PubMed]
- Chalmers, C.; Fergus, P.; Wich, S.; Longmore, S.N.; Walsh, N.D.; Stephens, P.A.; Sutherland, C.; Matthews, N.; Mudde, J.; Nuseibeh, A. Removing Human Bottlenecks in Bird Classification Using Camera Trap Images and Deep Learning. Remote Sens. 2023, 15, 2638. [Google Scholar] [CrossRef]
- Vaswani, A.; Shazeer, N.M.; Parmar, N.; Uszkoreit, J.; Jones, L.; Gomez, A.N.; Kaiser, L.; Polosukhin, I. Attention is All you Need. In Proceedings of the 31th International Conference on Neural Information Processing Systems, Long Beach, CA, USA, 4–9 December 2017. [Google Scholar]
- Dosovitskiy, A.; Beyer, L.; Kolesnikov, A.; Weissenborn, D.; Zhai, X.; Unterthiner, T.; Dehghani, M.; Minderer, M.; Heigold, G.; Gelly, S.; et al. An Image is Worth 16x16 Words: Transformers for Image Recognition at Scale. arXiv 2020, arXiv:2010.11929. [Google Scholar]
- Liu, W.; Ren, G.; Yu, R.; Guo, S.; Zhu, J.; Zhang, L. Image-Adaptive YOLO for Object Detection in Adverse Weather Conditions. In Proceedings of the AAAI Conference on Artificial Intelligence, Virtually, 2–9 February 2021. [Google Scholar]
- Krichen, M. Generative Adversarial Networks. In Proceedings of the 2023 14th International Conference on Computing Communication and Networking Technologies (ICCCNT), Delhi, India, 6–8 July 2023; pp. 1–7. [Google Scholar]
- Cubuk, E.D.; Zoph, B.; Mané, D.; Vasudevan, V.; Le, Q.V. AutoAugment: Learning Augmentation Policies from Data. arXiv 2018, arXiv:1805.09501. [Google Scholar]
- Huang, S.-W.; Lin, C.-T.; Chen, S.-P.; Wu, Y.-Y.; Hsu, P.-H.; Lai, S.-H. AugGAN: Cross Domain Adaptation with GAN-Based Data Augmentation. In Proceedings of the European Conference on Computer Vision, Munich, Germany, 8–14 September 2018. [Google Scholar]
- Sung Cheol, P.; Min Kyu, P.; Moon Gi, K. Super-resolution image reconstruction: A technical overview. IEEE Signal Process. Mag. 2003, 20, 21–36. [Google Scholar] [CrossRef]










| Convolution Module | Precision (%) | Recall (%) | mAP@0.5/% | mAP@0.5:0.95/% |
|---|---|---|---|---|
| Receptive-Field Attention Convolution | 94.2 | 87.5 | 93.2 | 69.0 |
| Alterable Kernel Convolution | 92.6 | 85.0 | 91.6 | 64.0 |
| Omni-Dimensional Dynamic Convolution | 93.2 | 85.7 | 92.3 | 65.8 |
| Dynamic Convolution | 94.1 | 86.9 | 92.9 | 68.1 |
| Improvement Section * | Precision (%) | Recall (%) | mAP@0.5 (%) | mAP@0.5:0.95 (%) | |
|---|---|---|---|---|---|
| A | B | ||||
| × | × | 94.5 | 87.1 | 92.8 | 67.7 |
| √ | × | 93.9 | 88.6 | 94.1 | 69.0 |
| × | √ | 94.4 | 86.8 | 93.0 | 68.0 |
| √ | √ | 94.3 | 88.9 | 94.3 | 69.0 |
| Improvement Section * | mAP@0.5 (%) | mAP@0.5:0.95 (%) | Parameters (×106) | GFLOPs (×106) | |||
|---|---|---|---|---|---|---|---|
| A | B | C | D | ||||
| × | × | × | × | 92.8 | 67.9 | 3.1 | 8.1 |
| √ | × | × | × | 93.2 | 69.0 | 3.1 | 8.6 |
| × | √ | × | × | 94.3 | 69.0 | 2.5 | 12.0 |
| × | × | √ | × | 92.7 | 67.6 | 2.3 | 6.5 |
| × | × | × | √ | 92.9 | 68.1 | 3.1 | 8.1 |
| √ | √ | × | × | 94.6 | 70.6 | 2.6 | 12.6 |
| √ | √ | √ | × | 94.8 | 70.4 | 2.2 | 12.1 |
| √ | √ | √ | √ | 94.9 | 70.5 | 2.2 | 12.1 |
| Model | Precision (%) | Recall (%) | mAP@0.5 (%) | mAP@0.5:0.95 (%) | FPS (f/s) |
|---|---|---|---|---|---|
| RT-DETR * | 93.4 | 87.8 | 92.6 | 66.9 | 42 |
| YOLOv3tiny | 93.0 | 78.9 | 87.1 | 61.2 | 172 |
| YOLOv5n | 94.0 | 86.2 | 92.5 | 67.0 | 122 |
| YOLOv6n | 93.3 | 85.3 | 91.4 | 65.7 | 126 |
| YOLOv8n | 94.3 | 86.8 | 92.8 | 67.9 | 118 |
| YOLOv10n | 93.6 | 85.7 | 92.0 | 65.8 | 83 |
| YOLOv8n-bird | 94.7 | 89.9 | 94.9 | 70.5 | 88 |
Disclaimer/Publisher’s Note: The statements, opinions and data contained in all publications are solely those of the individual author(s) and contributor(s) and not of MDPI and/or the editor(s). MDPI and/or the editor(s) disclaim responsibility for any injury to people or property resulting from any ideas, methods, instructions or products referred to in the content. |
© 2024 by the authors. Licensee MDPI, Basel, Switzerland. This article is an open access article distributed under the terms and conditions of the Creative Commons Attribution (CC BY) license (https://creativecommons.org/licenses/by/4.0/).
Share and Cite
Ma, J.; Guo, J.; Zheng, X.; Fang, C. An Improved Bird Detection Method Using Surveillance Videos from Poyang Lake Based on YOLOv8. Animals 2024, 14, 3353. https://doi.org/10.3390/ani14233353
Ma J, Guo J, Zheng X, Fang C. An Improved Bird Detection Method Using Surveillance Videos from Poyang Lake Based on YOLOv8. Animals. 2024; 14(23):3353. https://doi.org/10.3390/ani14233353
Chicago/Turabian StyleMa, Jianchao, Jiayuan Guo, Xiaolong Zheng, and Chaoyang Fang. 2024. "An Improved Bird Detection Method Using Surveillance Videos from Poyang Lake Based on YOLOv8" Animals 14, no. 23: 3353. https://doi.org/10.3390/ani14233353
APA StyleMa, J., Guo, J., Zheng, X., & Fang, C. (2024). An Improved Bird Detection Method Using Surveillance Videos from Poyang Lake Based on YOLOv8. Animals, 14(23), 3353. https://doi.org/10.3390/ani14233353
