Optimal Computed Tomographic Arthrography Protocol for Stifle Ligamentous Structure and Menisci in Dogs
Simple Summary
Abstract
1. Introduction
2. Materials and Methods
2.1. Preparation and General Anesthesia of the Experimental Animals
2.2. Protocols of CT
2.3. CT Anthrography
2.4. Image Analysis
2.5. Statistical Analysis
3. Results
3.1. Intraclass and Inter-Observer Correlation Coefficient
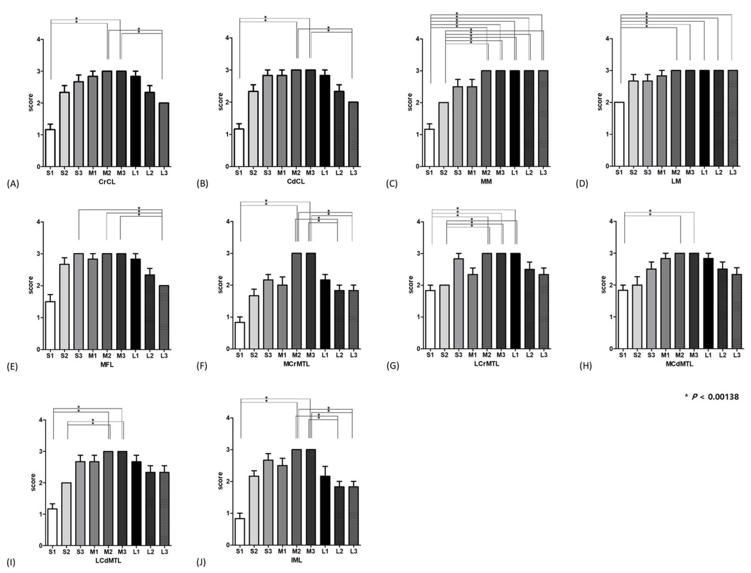
3.2. Qualitative Image Analysis of Visualization
4. Discussion
5. Conclusions
Author Contributions
Funding
Institutional Review Board Statement
Informed Consent Statement
Data Availability Statement
Conflicts of Interest
References
- Johnson, J.A.; Austin, C.; Breur, G.J. Incidence of Canine Appendicular Musculoskeletal Disorders in 16 Veterinary Teaching Hospitals from 1980 through 1989. Vet. Comp. Orthop. Traumatol. 1994, 07, 56–69. [Google Scholar] [CrossRef]
- Engdahl, K.; Hanson, J.; Bergström, A.; Bonnett, B.; Höglund, O.; Emanuelson, U. The epidemiology of stifle joint disease in an insured Swedish dog population. Vet. Rec. 2021, 189, e197. [Google Scholar] [CrossRef] [PubMed]
- Witsberger, T.H.; Villamil, J.A.; Schultz, L.G.; Hahn, A.W.; Cook, J.L. Prevalence of and risk factors for hip dysplasia and cranial cruciate ligament deficiency in dogs. J. Am. Vet. Med. Assoc. 2008, 232, 1818–1824. [Google Scholar] [CrossRef] [PubMed]
- Carobbi, B.; Ness, M.G. Preliminary study evaluating tests used to diagnose canine cranial cruciate ligament failure. J. Small Anim. Pract. 2009, 50, 224–226. [Google Scholar] [CrossRef]
- Scavelli, T.D.; Schrader, S.C.; Matthiesen, D.T.; Skorup, D.E. Partial rupture of the cranial cruciate ligament of the stifle in dogs: 25 cases (1982–1988). J. Am. Vet. Med. Assoc. 1990, 196, 1135–1138. [Google Scholar] [CrossRef] [PubMed]
- Jerram, R.M.; Walker, A.M. Cranial cruciate ligament injury in the dog: Pathophysiology, diagnosis and treatment. N. Z. Vet. J. 2003, 51, 149–158. [Google Scholar] [CrossRef]
- Won, W.W.; Lee, A.M.; Butler, J.R.; Wills, R.W.; Brinkman, E.L. Association of meniscal injury to joint space width on standard tibial plateau leveling osteotomy lateral radiographic projections of the canine stifle. Vet. Radiol. Ultrasound 2020, 61, 16–24. [Google Scholar] [CrossRef]
- Mahn, M.M.; Cook, J.L.; Cook, C.R.; Balke, M.T. Arthroscopic Verification of Ultrasonographic Diagnosis of Meniscal Pathology in Dogs. Vet. Surg. 2005, 34, 318–323. [Google Scholar] [CrossRef]
- Seong, Y.; Eom, K.; Lee, H.; Lee, J.; Park, J.; Lee, K.; Jang, K.; Oh, T.; Yoon, J. Ultrasonographic evaluation of cranial cruciate ligament rupture via dynamic intra-articular saline injection. Vet. Radiol. Ultrasound 2005, 46, 80–82. [Google Scholar] [CrossRef]
- Arnault, F.; Cauvin, E.; Viguier, E.; Kraft, E.; Sonet, J.; Carozzo, C. Diagnostic value of ultrasonography to assess stifle lesions in dogs after cranial cruciate ligament rupture: 13 cases. Vet. Comp. Orthop. Traumatol. 2009, 22, 479–485. [Google Scholar] [CrossRef]
- Gnudi, G.; Bertoni, G. Echographic examination of the stifle joint affected by cranial cruciate ligament rupture in the dog. Vet. Radiol. Ultrasound 2001, 42, 266–270. [Google Scholar] [CrossRef]
- Van der Vekens, E.; de Bakker, E.; Bogaerts, E.; Broeckx, B.J.G.; Ducatelle, R.; Kromhout, K.; Saunders, J.H. High-frequency ultrasound, computed tomography and computed tomography arthrography of the cranial cruciate ligament, menisci and cranial meniscotibial ligaments in 10 radiographically normal canine cadaver stifles. BMC Vet. Res. 2019, 15, 146. [Google Scholar] [CrossRef]
- Samii, V.F.; Dyce, J. Computed tomographic arthrography of the normal canine stifle. Vet. Radiol. Ultrasound 2004, 45, 402–406. [Google Scholar] [CrossRef] [PubMed]
- Han, S.; Cheon, H.; Cho, H.; Kim, J.; Kang, J.H.; Yang, M.P.; Lee, Y.; Lee, H.; Chang, D. Evaluation of partial cranial cruciate ligament rupture with positive contrast computed tomographic arthrography in dogs. J. Vet. Sci. 2008, 9, 395–400. [Google Scholar] [CrossRef] [PubMed]
- Knudsen, L.; Østergaard, E.; Jensen, J.J.; Miles, J.E.; Buelund, L.E. Diagnosis of medial meniscal lesions in the canine stifle using multidetector computed tomographic positive-contrast arthrography. Vet. Surg. 2023, 53, 75–83. [Google Scholar] [CrossRef] [PubMed]
- Samii, V.F.; Dyce, J.; Pozzi, A.; Drost, W.T.; Mattoon, J.S.; Green, E.M.; Kowaleski, M.P.; Lehman, A.M. Computed tomographic arthrography of the stifle for detection of cranial and caudal cruciate ligament and meniscal tears in dogs. Vet. Radiol. Ultrasound 2009, 50, 144–150. [Google Scholar] [CrossRef]
- Tivers, M.S.; Mahoney, P.; Corr, S.A. Canine stifle positive contrast computed tomography arthrography for assessment of caudal horn meniscal injury: A cadaver study. Vet. Surg. 2008, 37, 269–277. [Google Scholar] [CrossRef] [PubMed]
- Tivers, M.S.; Mahoney, P.N.; Baines, E.A.; Corr, S.A. Diagnostic accuracy of positive contrast computed tomography arthrography for the detection of injuries to the medial meniscus in dogs with naturally occurring cranial cruciate ligament insufficiency. J. Small Anim. Pract. 2009, 50, 324–332. [Google Scholar] [CrossRef]
- Banfield, C.M.; Morrison, W.B. Magnetic resonance arthrography of the canine stifle joint: Technique and applications in eleven military dogs. Vet. Radiol. Ultrasound 2000, 41, 200–213. [Google Scholar] [CrossRef]
- Blond, L.; Thrall, D.E.; Roe, S.C.; Chailleux, N.; Robertson, I.D. Diagnostic accuracy of magnetic resonance imaging for meniscal tears in dogs affected with naturally occuring cranial cruciate ligament rupture. Vet. Radiol. Ultrasound 2008, 49, 425–431. [Google Scholar] [CrossRef]
- Martig, S.; Konar, M.; Schmökel, H.G.; Rytz, U.; Spreng, D.; Scheidegger, J.; Höhl, B.; Kircher, P.R.; Boisclair, J.; Lang, J. Low-field Mri and arthroscopy of meniscal lesions in ten dogs with experimentally induced cranial cruciate ligament insufficiency. Vet. Radiol. Ultrasound 2006, 47, 515–522. [Google Scholar] [CrossRef]
- Ralphs, S.C.; Whitney, W.O. Arthroscopic evaluation of menisci in dogs with cranial cruciate ligament injuries: 100 cases (1999–2000). J. Am. Vet. Med. Assoc. 2002, 221, 1601–1604. [Google Scholar] [CrossRef]
- Pozzi, A.; Hildreth, B.E., 3rd; Rajala-Schultz, P.J. Comparison of arthroscopy and arthrotomy for diagnosis of medial meniscal pathology: An ex vivo study. Vet. Surg. 2008, 37, 749–755. [Google Scholar] [CrossRef]
- Hoelzler, M.G.; Millis, D.L.; Francis, D.A.; Weigel, J.P. Results of arthroscopic versus open arthrotomy for surgical management of cranial cruciate ligament deficiency in dogs. Vet. Surg. 2004, 33, 146–153. [Google Scholar] [CrossRef] [PubMed]
- Vande Berg, B.C.; Lecouvet, F.E.; Poilvache, P.; Maldague, B.; Malghem, J. Spiral CT arthrography of the knee: Technique and value in the assessment of internal derangement of the knee. Eur. Radiol. 2002, 12, 1800–1810. [Google Scholar] [CrossRef]
- Ahn, S.J.; Hong, S.H.; Chai, J.W.; Choi, J.Y.; Yoo, H.J.; Kim, S.H.; Kang, H.S. Comparison of Image Quality of Shoulder CT Arthrography Conducted Using 120 kVp and 140 kVp Protocols. Korean J. Radiol. 2014, 15, 739–745. [Google Scholar] [CrossRef] [PubMed]
- Goldman, L.W. Principles of CT: Radiation dose and image quality. J. Nucl. Med. Technol. 2007, 35, 213–225. [Google Scholar] [CrossRef]
- Martínez-Martínez, A.; García-Espinosa, J.; Ruiz-Santiago, F.; Guzmán-Álvarez, L.; Castellano-García, M.M. Comparison of ultrasound and fluoroscopic guidance for injection in CT arthrography and MR arthrography of the hip. Radiologia 2016, 58, 454–459. [Google Scholar] [CrossRef]
- An, C.; Chun, Y.M.; Kim, S.; Lee, Y.H.; Yun, M.J.; Suh, J.S.; Song, H.T. Dual-energy computed tomography arthrography of the shoulder joint using virtual monochromatic spectral imaging: Optimal dose of contrast agent and monochromatic energy level. Korean J. Radiol. 2014, 15, 746–756. [Google Scholar] [CrossRef]
- Gendler, A.; Keuler, N.S.; Schaefer, S.L. Computed tomographic arthrography of the normal canine elbow. Vet. Radiol. Ultrasound 2015, 56, 144–152. [Google Scholar] [CrossRef] [PubMed]
- Reis Silva, H.; Uosyte, R.; Clements, D.N.; Bergkvist, G.T.; Schwarz, T. Computed tomography and positive contrast computed tomographic arthrography of the canine shoulder: Normal anatomy and effects of limb position on visibility of soft tissue structures. Vet. Radiol. Ultrasound 2013, 54, 470–477. [Google Scholar] [CrossRef] [PubMed]
- Saukko, A.E.A.; Honkanen, J.T.J.; Xu, W.; Väänänen, S.P.; Jurvelin, J.S.; Lehto, V.; Töyräs, J. Dual Contrast CT Method Enables Diagnostics of Cartilage Injuries and Degeneration Using a Single CT Image. Ann. Biomed. Eng. 2017, 45, 2857–2866. [Google Scholar] [CrossRef] [PubMed]
- Choi, J.Y.; Kang, H.S.; Hong, S.H.; Lee, J.W.; Kim, N.R.; Jun, W.S.; Moon, S.G.; Choi, J.A. Optimization of the Contrast Mixture Ratio for Simultaneous Direct MR and CT Arthrography: An in Vitro Study. Korean J. Radiol. 2008, 9, 520–525. [Google Scholar] [CrossRef] [PubMed]
- Bryceland, J.K.; Powell, A.J.; Nunn, T. Knee Menisci: Structure, Function, and Management of Pathology. Cartilage 2017, 8, 99–104. [Google Scholar] [CrossRef]
- Hottinger, H.A.; DeCamp, C.E.; Olivier, N.B.; Hauptman, J.G.; Soutas-Little, R.W. Noninvasive kinematic analysis of the walk in healthy large-breed dogs. Am. J. Vet. Res. 1996, 57, 381–388. [Google Scholar] [CrossRef]



| Group | Concentration of Contrast Medium (mgI/mL) | Injection Volume (mL/kg) |
|---|---|---|
| S1 | 50 | 0.2 |
| S2 | 50 | 0.3 |
| S3 | 50 | 0.4 |
| M1 | 100 | 0.2 |
| M2 | 100 | 0.3 |
| M3 | 100 | 0.4 |
| L1 | 150 | 0.2 |
| L2 | 150 | 0.3 |
| L3 | 150 | 0.4 |
| Score | Findings |
|---|---|
| 0 | The structure was not visible |
| 1 | The structure was poorly visualized but detectable, identified by its location and filling defect, not by margins or shape |
| 2 | The structure was visualized based on its location, shape, and filling defect, but the margins were not clearly defined due to underfilling or artifacts. |
| 3 | The structure was well visualized and clearly delineated, characterized by its location, shape, filling defect, and margins. |
| Variables | Intra-Observer Agreement | Inter-Observer Agreement |
|---|---|---|
| CrCL | 0.702 (0.577 to 0.827) | 0.707 (0.614 to 0.800) |
| CdCL | 0.681 (0.557 to 0.805) | 0.746 (0.653 to 0.838) |
| MM | 0.680 (0.566 to 0.794) | 0.650 (0.563 to 0.737) |
| LM | 0.639 (0.501 to 0.777) | 0.684 (0.589 to 0.779) |
| MFL | 0.621 (0.499 to 0.744) | 0.574 (0.484 to 0.663) |
| MCrMTL | 0.434 (0.326 to 0.542) | 0.450 (0.372 to 0.528) |
| LCrMTL | 0.524 (0.415 to 0.634) | 0.458 (0.377 to 0.539) |
| MCdMTL | 0.536 (0.422 to 0.651) | 0.537 (0.454 to 0.619) |
| LCdMTL | 0.597 (0.483 to 0.711) | 0.547 (0.465 to 0.629) |
| IML | 0.544 (0.439 to 0.650) | 0.515 (0.439 to 0.592) |
Disclaimer/Publisher’s Note: The statements, opinions and data contained in all publications are solely those of the individual author(s) and contributor(s) and not of MDPI and/or the editor(s). MDPI and/or the editor(s) disclaim responsibility for any injury to people or property resulting from any ideas, methods, instructions or products referred to in the content. |
© 2024 by the authors. Licensee MDPI, Basel, Switzerland. This article is an open access article distributed under the terms and conditions of the Creative Commons Attribution (CC BY) license (https://creativecommons.org/licenses/by/4.0/).
Share and Cite
Yoon, J.; Hwang, G.; An, S.; Kim, Y.J.; Hwang, T.S.; Lee, H.C. Optimal Computed Tomographic Arthrography Protocol for Stifle Ligamentous Structure and Menisci in Dogs. Animals 2024, 14, 3334. https://doi.org/10.3390/ani14223334
Yoon J, Hwang G, An S, Kim YJ, Hwang TS, Lee HC. Optimal Computed Tomographic Arthrography Protocol for Stifle Ligamentous Structure and Menisci in Dogs. Animals. 2024; 14(22):3334. https://doi.org/10.3390/ani14223334
Chicago/Turabian StyleYoon, Jiwon, Gunha Hwang, Soyon An, Young Joo Kim, Tae Sung Hwang, and Hee Chun Lee. 2024. "Optimal Computed Tomographic Arthrography Protocol for Stifle Ligamentous Structure and Menisci in Dogs" Animals 14, no. 22: 3334. https://doi.org/10.3390/ani14223334
APA StyleYoon, J., Hwang, G., An, S., Kim, Y. J., Hwang, T. S., & Lee, H. C. (2024). Optimal Computed Tomographic Arthrography Protocol for Stifle Ligamentous Structure and Menisci in Dogs. Animals, 14(22), 3334. https://doi.org/10.3390/ani14223334

