Reproductive Dynamics of Spot Tail Mantis Shrimp (Squilla mantis): Insights from the Central Mediterranean Sea
Abstract
Simple Summary
Abstract
1. Introduction
2. Materials and Methods
3. Results
3.1. Sex Ratio and Reproductive Pattern
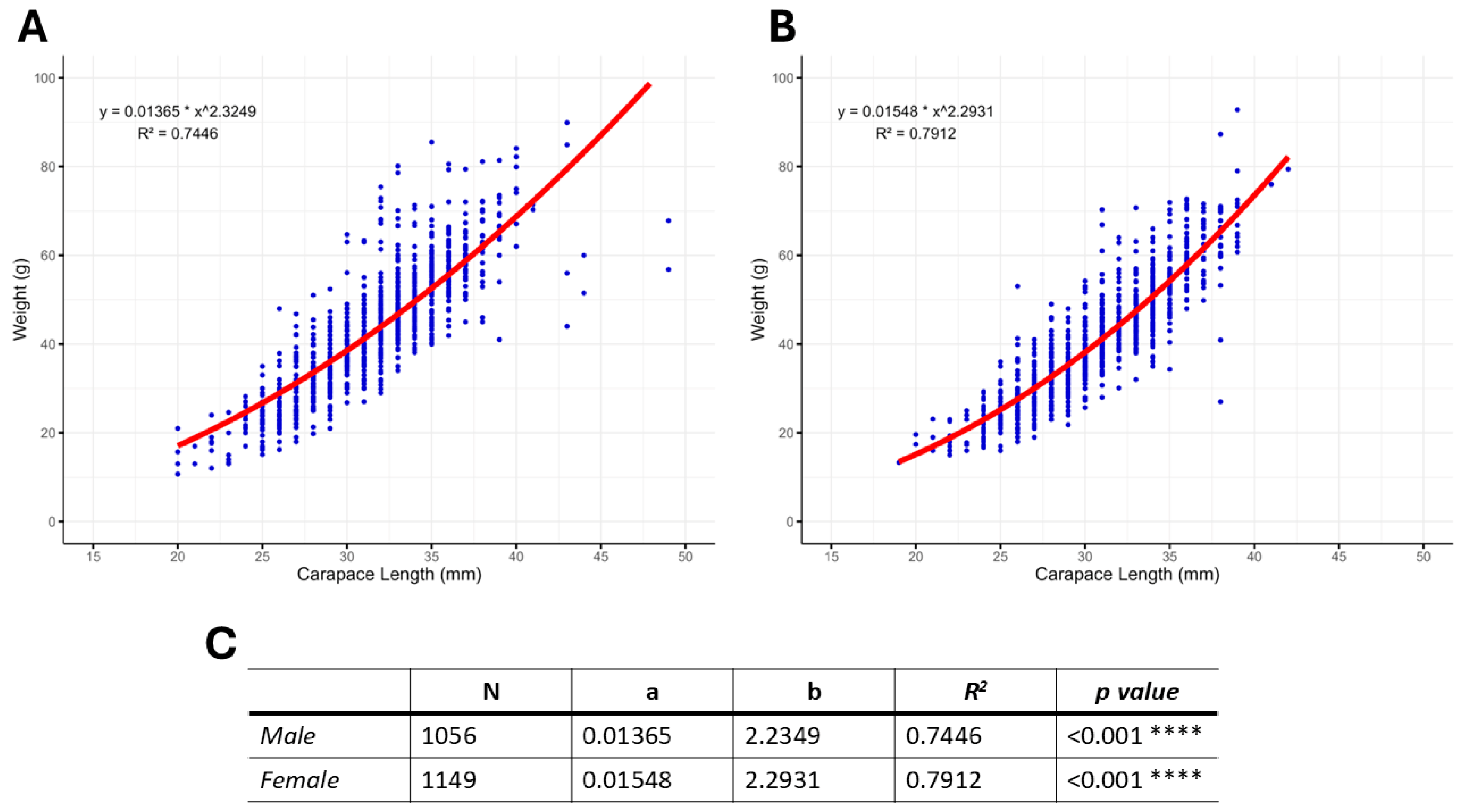
3.2. Morphometric Measurements and Biometric Relations
3.3. Histological Analysis
3.3.1. Stage I: Immature
3.3.2. Stage II: Early Maturation
3.3.3. Stage III: Maturation
3.3.4. Stage IV: Ripe
3.3.5. Stage V: Spent
3.4. Size at the First Sexual Maturity (L50)
4. Discussion
5. Conclusions
Author Contributions
Funding
Institutional Review Board Statement
Informed Consent Statement
Data Availability Statement
Acknowledgments
Conflicts of Interest
References
- Antony, P.J.; Dhanya, S.; Lyla, P.S.; Kurup, B.M.; Ajmal Khan, S. Ecological Role of Stomatopods (Mantis Shrimps) and Potential Impacts of Trawling in a Marine Ecosystem of the Southeast Coast of India. Ecol. Modell. 2010, 221, 2604–2614. [Google Scholar] [CrossRef]
- Vasconcelos, P.; Carvalho, A.N.; Piló, D.; Gaspar, M.B.; Cristo, M. First Record of the Spottail Mantis Shrimp, Squilla mantis (Stomatopoda, Squillidae), in the Ria Formosa Lagoon (Algarve Coast, Southern Portugal). Crustaceana 2017, 90, 1665–1671. [Google Scholar] [CrossRef]
- Abdelsalam, K.M. First Record of the Stomatopod Crustacean Clorida albolitura Ahyong & Naiyanetr, 2000 from the Eastern Mediterranean Coast of Egypt. Int. J. Environ. Sci. Eng. (IJESE) 2015, 5, 81–97. [Google Scholar]
- Wortham-Neal, J.L. Reproductive Morphology and Biology of Male and Female Mantis Shrimp (Stomatopoda: Squillidae). J. Crustac. Biol. 2002, 22, 728–741. [Google Scholar] [CrossRef][Green Version]
- Kim, S.E.; Kim, H.J.; Bae, H.J.; Kim, H.G.; Oh, C.W. Growth and Reproduction of the Japanese Mantis Shrimp, Oratosquilla oratoria (De Haan 1844) in the Coastal Area of Tongyeong, Korea. Ocean Sci. J. 2017, 52, 257–265. [Google Scholar] [CrossRef]
- Maynou, F.; Abelló, P.; Sartor, P. A Review of the Fisheries Biology of the Mantis Shrimp, Squilla mantis (L., 1758) (Stomatopoda, Squillidae) in the Mediterranean. Crustaceana 2004, 77, 1081–1099. [Google Scholar] [CrossRef]
- Abelló, P.; Sardá, F. Some Observations on the Biology and Fishery of Squilla mantis L. in the Catalan area (NW Mediterranean). In Biology of Stomatopods; Ferrero, E.A., Ed.; Mucchi: Modena, Italy, 1989; pp. 229–239. [Google Scholar]
- Abelló, P.; Carbonell, A.; Torres, P. Biogeography of Epibenthic Crustaceans on the Shelfand Upper Slope off the Iberian Peninsula Mediterranean Coasts: Implications for the Establishment of Natural Management Areas. Sci. Mar. 2002, 66, 183–198. [Google Scholar] [CrossRef]
- Atkinson, R.J.A.; Froglia, C. Burrow Structures and Eco-Ethology of Burrowing Fauna in the Adriatic Sea. In Impact of Trawl Fishing on Benthic Communities; ICRAM 2000; Istituto Centrale per la Ricerca Scientifica e Tecnologica Applicata al Mare: Rome, Italy, 1999; pp. 79–94. [Google Scholar]
- Atkinson, R.J.A.; Froglia, C.; Arneri, E.; Antolini, B. Observations on the Burrows and Burrowing Behaviour of Brachynotus gemmellari and on the Burrows of Several Other Species Occurring on Squilla Grounds off Ancona, Central Adriatic. Sci. Mar. 1998, 62, 91–100. [Google Scholar]
- Ragonese, S.; Morara, U.; Canal, E.; Pagliarino, E.; Bianchini, M.L. Abundance and Biological Traits of the Spottail Mantis Shrimp, Squilla mantis (L., 1758) (Crustacea: Stomatopoda), Off the Southern Coast of Sicily. Cah. Biol. Mar. 2012, 53, 485–493. [Google Scholar]
- Froglia, C. Growth and Behaviour of Squilla mantis (mantis shrimp) in the Adriatic Sea. EU Study DG XIV/MED/93/016. Final Report. 1996. Available online: https://www.sealifebase.se/references/FBRefSummary.php?id=80209 (accessed on 20 June 2024).
- Vila, Y.; Sobrino, I.; Jiménez, M.P. Fishery and Life History of Spot-Tail Mantis Shrimp, Squilla mantis (Crustacea: Stomatopoda), in the Gulf of Cadiz (Eastern Central Atlantic). Sci. Mar. 2013, 77, 137–148. [Google Scholar] [CrossRef]
- Bastari, A.; Micheli, F.; Ferretti, F.; Pusceddu, A.; Cerrano, C. Large Marine Protected Areas (LMPAs) in the Mediterranean Sea: The Opportunity of the Adriatic Sea. Mar. Policy 2016, 68, 165–177. [Google Scholar] [CrossRef]
- Akinwunmi, M.F.; Bello-Olusoji, O.A.; Egwu, H.E. Bionomics of Squilla mantis (Linnaeus, 1758) from Makoko Area of the Lagos Lagoon, Nigeria. Adv. Food Sci. 2021, 43, 81–91. [Google Scholar]
- Kennouche, H.; Kacimi, A. Growth Estimation and Length–Weight Relationships of Spottail Mantis Shrimp (Squilla mantis, Linneaus 1758) in the Algiers Region (South-West of Mediterranean Sea). Appl. Ecol. Environ. Res. 2021, 19, 5083–5101. [Google Scholar] [CrossRef]
- Mili, S.; Bouriga, N.; Missaoui, H.; Jarboui, O. Morphometric, Reproductive Parameters and Seasonal Variations in Fatty Acid Composition of the Mantis Shrimp Squilla mantis (Crustacea: Stomatopoda) in the Gulf of Gabes (Tunisia). J. Life Sci. 2011, 5, 1058–1071. [Google Scholar]
- Mili, S.; Bouriga, N.; Ennouri, R.; Jarboui, O.; Missaoui, H. Food and Biochemical Composition of the Spot-Tail Mantis Shrimp Squilla mantis Caught in Three Tunisian Gulfs: Tunis, Hammamet and Gabes. Cah. Biol. Mar. 2013, 54, 271–280. [Google Scholar]
- Froglia, C.; Giannini, S. Field observations on dielrhythms in catchability and feeding of Squilla mantis (L.) (Crustacea, Stomatopoda) in the Adriatic Sea. In Biology of Stomatopods; Ferrero, E.A., Ed.; Selected Symposia and Monographs U.Z.I.; Mucchi Editore: Modena, Italy, 1989. [Google Scholar]
- Mili, S.; Ennouri, R.; Jarboui, O.; Missaoui, H. Distribution and Abundance of the Mantis Shrimp Squilla mantis (Crustacea: Stomatopoda) in Tunisian Waters: Gulfs of Tunis, Hammamet and Gabes. Greener J. Life Sci. 2013, 1, 1–13. [Google Scholar] [CrossRef]
- Kampouris, T.E.; Kouroupakis, E.; Lazaridou, M.; Batjakas, I.E. Length-Weight Relationships of Squilla mantis (Linnaeus, 1758) (Crustacea, Stomatopoda, Squillidae) from Thermaikos Gulf, North-West Aegean Sea, Greece. Int. J. Fish. Aquat. Stud. 2018, 6, 241–246. [Google Scholar]
- Giovanardi, C.; Piccinetti-Manfrin, G. Summary of biological parameters of Squilla mantis L. in the Adriatic Sea. FAO Fish. Rep. 1984, 290, 131–134. [Google Scholar]
- Resolution GFCM/33/2009/2 on the Establishment of Geographical Subareas in the GFCM Area of Application, amendingResolution GFCM/31/2007/2. The General Fisheries Commission for the Mediterranean. 2009. Available online: http://www.fao.org/gfcm/data/maps/gsas/es/ (accessed on 20 June 2024).
- Angelini, M.S.; Angelini, S.; Martinelli, M.; Santojanni, A.; Colella, S. Biological Evidence of the Presence of Different Subpopulations of Norway Lobster (Nephrops norvegicus) in the Adriatic Sea (Central Mediterranean Sea). Fish. Res. 2020, 221, 105365. [Google Scholar] [CrossRef]
- Hala, E.; Bakiu, R. Adriatic Sea Fishery Product Safety and Prospectives in Relation to Climate Change. Fishes 2024, 9, 160. [Google Scholar] [CrossRef]
- Scanu, M.; Froglia, C.; Grati, F.; Bolognini, L. Estimate of Growth Parameters of Penaeus kerathurus (Forskäl, 1775) (Crustacea, Penaeidae) in the Northern Adriatic Sea. Animals 2024, 14, 1068. [Google Scholar] [CrossRef]
- FAO-GFCM. Fishery and Aquaculture Statistics. In GFCM Capture Production 1970–2021 (FishStatJ); FAO Fisheries and Aquaculture Division [online]: Rome, Italy, 2023; Available online: www.fao.org/fishery/en/statistics/software/fishstatj (accessed on 20 June 2024).
- Goodstine, S.L.; Zheng, T.; Holford, T.R.; Ward, B.A.; Carter, D.; Owens, P.H.; Mayne, S.T. Dietary (n-3)/(n-6) Fatty Acid Ratio: Possible Relationship to Premenopausal but Not Postmenopausal Breast Cancer Risk in U.S. Women. J. Nutr. 2003, 133, 1409–1414. [Google Scholar] [CrossRef]
- Marchioli, R. Treatment with N-3 Polyunsaturated Fatty Acids after Myocardial Infarction: Results of GISSI-Prevenzione Trial. Eur. Hear. J. Suppl. 2001, 3, D85–D97. [Google Scholar] [CrossRef][Green Version]
- Sidhu, K.S. Health Benefits and Potential Risks Related to Consumption of Fish or Fish Oil. Regul. Toxicol. Pharmacol. 2003, 38, 336–344. [Google Scholar] [CrossRef] [PubMed]
- Murua, H.; Saborido-Rey, F. Female Reproductive Strategies of Marine Fish Species of the North Atlantic. J. Northw. Atl. Fish. Sci. 2003, 33, 23–31. [Google Scholar] [CrossRef]
- Colella, S.; Donato, F.; Panfili, M. Reproductive Parameters and Sexual Maturity of Squilla mantis L., 1758 (Crustacea: Stomatopoda) in the North-Central Adriatic Sea (GSA 17). Biol. Mar. Mediterr. 2016, 23, 258–259. [Google Scholar]
- Froese, R. Cube law, condition factor and weight–length relationships: History, meta-analysis and recommendations. J. Appl. Ichthyol. 2006, 22, 241–253. [Google Scholar] [CrossRef]
- Bolognini, L.; Donato, F.; Lucchetti, A.; Olivotto, I.; Truzzi, C.; Randazzo, B.; Antonucci, M.; Illuminati, S.; Grati, F. A Multidisciplinary Approach to Study the Reproductive Biology of Wild Prawns. Sci. Rep. 2017, 7, 16781. [Google Scholar] [CrossRef]
- Pearse, A.G.E. Histochemistry: Theoretical and Applied, 4th ed.; Churchill Livingstone: Edinburgh, Scotland; London, UK; Melbourne, Australia; New York, NY, USA, 1985; Volume 2. [Google Scholar]
- ICES. Report of the Workshop on crustaceans (Aristeus antennatus, Aristaeomorpha foliacea, Parapenaeus longirostris, Nephrops norvegicus) maturity stages (WKMSC). In Proceedings of the ICES CM 2009/ACOM:46, Messina, Italy, 19–23 October 2009; p. 77. [Google Scholar]
- McFadden, D. Conditional Logit Analysis of Qualitative Choice Behavior. In Frontiers in Econometrics; Zarembka, P., Ed.; Academic Press: Cambridge, MA, USA, 1973; pp. 105–142. [Google Scholar]
- Louviere, J.J.; Hensher, D.A.; Swait, J.D.; Adamowicz, W. Stated Choice Methods: Analysis and Applications; Cambridge University Press: Cambridge, UK, 2000. [Google Scholar]
- Morgan, M.J. Understanding Biology to Improve Advice for Fisheries Management. ICES J. Mar. Sci. 2018, 75, 923–931. [Google Scholar] [CrossRef]
- Erdoǧan Saǧlam, N.; Demir Saǧlam, Y.; Saǧlam, C. A Study on Some Population Parameters of Mantis Shrimp (Squilla mantis L., 1758) in Izmir Bay (Aegean Sea). J. Mar. Biol. Assoc. 2018, 98, 721–726. [Google Scholar] [CrossRef]
- Abelló, P.; Martín, P. Fishery Dynamics of the Mantis Shrimp Squilla mantis (Crustacea: Stomatopoda) Population off the Ebro Delta (Northwestern Mediterranean). Fish. Res. 1993, 16, 131–145. [Google Scholar] [CrossRef]
- Piccinetti, C.; Piccinetti-Manfrin, G. Osservazioni su alcuni aspetti della biologia di Squilla mantis L. Pubbl. Staz. Zool. Napoli. 1970, 38, 119–124. [Google Scholar]
- Do Chi, T. Biométrie de la reproduction de Squilla mantis (L.) (Crustacé Stomatopode) dans le golfe d’Aigues-Mortes (Méditerranée nordoccidentale). Pubbl. Staz. Zool. Napoli. 1975, 39 (Suppl. S1), 114–139. [Google Scholar]
- Carbonara, P.; Casciaro, L.; Gaudio, P.; Palmisano, M.; Zupa, W.; Spedicato, M.T. Reproductive Cycle and Length at First Maturity of Squilla mantis in the Central-Western Mediterranean. In Proceedings of the 44° Congresso della Società Italiana di Biologia Marina, Rome, Italy, 14–16 May 2013; pp. 131–132. [Google Scholar]
- García-Pacheco, M.; Bruzón, M.A. Gametogenic cycle in female of mantis shrimp, Squilla mantis (Crustacea: Stomatopoda) in the Gulf of Cadiz, (SW, Spain). In Proceedings of the Aquaculture Europe, Krakow, Poland, 15–18 September 2008. [Google Scholar]
- Wardiatno, Y.; Mashar, A. Biological Information on the Mantis Shrimp, Harpiosquilla raphidea (Fabricius 1798) (Stomatopoda, Crustacea) in Indonesia with a Highlight of Its Reproductive Aspects. J. Trop. Biol. Conserv. 2010, 7, 65–73. [Google Scholar]
- Totti, C.; Romagnoli, T.; Accoroni, S.; Coluccelli, A.; Pellegrini, M.; Campanelli, A.; Grilli, F.; Marini, M. Phytoplankton Communities in the Northwestern Adriatic Sea: Interdecadal Variability over a 30-years period (1988-2016) and Relationships with Meteoclimatic Drivers. J. Mar. Syst. 2019, 193, 137–153. [Google Scholar] [CrossRef]
- Vitale, F.; Svedäng, H.; Cardinale, M. Histological Analysis Invalidates Macroscopically Determined Maturity Ogives of the Kattegat Cod (Gadus morhua) and Suggests New Proxies for Estimating Maturity Status of Individual Fish. ICES J. Mar. Sci. 2006, 63, 485–492. [Google Scholar] [CrossRef]
- Carbonara, P.; Porcu, C.; Donnaloia, M.; Pesci, P.; Sion, L.; Spedicato, M.T.; Zupa, W.; Vitale, F.; Follesa, M.C. The Spawning Strategy of European Hake (Merluccius merluccius, L. 1758) across the Western and Central Mediterranean Sea. Fish. Res. 2019, 219, 105333. [Google Scholar] [CrossRef]
- Marisaldi, L.; Basili, D.; Candelma, M.; Sesani, V.; Pignalosa, P.; Gioacchini, G.; Carnevali, O. Maturity Assignment Based on Histology-Validated Macroscopic Criteria: Tackling the Stock Decline of the Mediterranean Swordfish (Xiphias gladius). Aquat. Conserv. Mar. Freshw. Ecosyst. 2020, 30, 303–314. [Google Scholar] [CrossRef]
- Mili, S.; Ennouri, R.; Jarboui, O.; Missaoui, H. Etude des parametres microscopiques de la biologie de reproduction chez la squille Squilla mantis des eaux tunisiennes. Bull. Inst. Natl. Sci. Technol. Salammbô 2014, 41, 3–16. [Google Scholar]
- Kodama, K.; Shimizu, T.; Yamakawa, T.; Aoki, I. Reproductive Biology of the Female Japanese Mantis Shrimp Oratosquilla oratoria (Stomatopoda) in Relation to Changes in the Seasonal Pattern of Larval Occurrence in Tokyo Bay, Japan. Fish. Sci. 2004, 70, 734–745. [Google Scholar] [CrossRef]
- Ren, Y.; Wang, W.; Liu, Z.; Luo, M.; Fu, Y.; Zhang, F.; Ma, C.; Zhao, M.; Chen, W.; Jiang, K.; et al. Insight of vitellogenesis patterns: A comparative analysis of the differences between the primary and secondary vitellogenesis period in the ovary, hepatopancreas, and muscle of mud crab, Scylla paramamosain. Front. Genet. 2022, 13, 965070. [Google Scholar] [CrossRef] [PubMed]
- Josileen, J. Morphometrics and Length-Weight Relationship in the Blue Swimmer Crab, Portunus pelagicus (Linnaeus, 1758) (Decapoda, Brachyura) from the Mandapam Coast, India. Crustaceana 2011, 84, 1665–1681. [Google Scholar] [CrossRef]
- Radhakrishnan, E.V.; Thangaraja, R.; Vijayakumaran, M. Ontogenetic Changes in Morphometry of the Spiny Lobster, Panulirus homarus (Linnaeus, 1758) from Southern Indian Coast. J. Mar. Biol. Assoc. India 2015, 57, 5–13. [Google Scholar] [CrossRef]
- Martínez-Calderón, R.; Lozano-Álvarez, E.; Briones-Fourzán, P. Morphometric Relationships and Seasonal Variation in Size, Weight, and a Condition Index of Post-Settlement Stages of the Caribbean Spiny Lobster. PeerJ 2018, 6, e5297. [Google Scholar] [CrossRef]
- Kapiris, K.; Tsionki, I.; Borbar, L.; Kavadas, S. Preliminary biological data of Squilla mantis (Linnaeus, 1758) (Crustaceans, Stomatopoda) in Maliakos Gulf. In Proceedings of the 11th Panhellenic Symposium of Oceanography and Fisheries, Mytilene, Greece, 13–17 May 2015. [Google Scholar]











| LENGTH CLASS | N° of Individuals | N° of Females | N° of Males | Sex Ratio (Females/Males + Females) | χ2 | p Value |
|---|---|---|---|---|---|---|
| 20 mm | 6 | 2 | 4 | 0.333 | 0.667 | 0.4142 |
| 21 mm | 5 | 3 | 2 | 0.60 | 0.2 | 0.6547 |
| 22 mm | 16 | 10 | 6 | 0.625 | 1 | 0.3173 |
| 23 mm | 13 | 6 | 7 | 0.461 | 0.077 | 0.7815 |
| 24 mm | 48 | 33 | 15 | 0.687 | 6.75 | 0.0093 |
| 25 mm | 82 | 50 | 32 | 0.609 | 3.951 | 0.0468 |
| 26 mm | 115 | 71 | 44 | 0.617 | 6.339 | 0.0118 |
| 27 mm | 163 | 107 | 56 | 0.656 | 15.957 | <0.001 |
| 28 mm | 174 | 108 | 66 | 0.621 | 10.138 | 0.0014 |
| 29 mm | 201 | 112 | 89 | 0.557 | 2.632 | 0.1047 |
| 30 mm | 193 | 110 | 83 | 0.570 | 3.777 | 0.052 |
| 31 mm | 207 | 110 | 97 | 0.531 | 0.816 | 0.366 |
| 32 mm | 200 | 87 | 113 | 0.435 | 3.38 | 0.066 |
| 33 mm | 180 | 75 | 105 | 0.417 | 5.0 | 0.025 |
| 34 mm | 200 | 92 | 108 | 0.460 | 1.28 | 0.258 |
| 35 mm | 143 | 66 | 77 | 0.462 | 0.846 | 0.358 |
| 36 mm | 95 | 41 | 54 | 0.432 | 1.779 | 0.182 |
| 37 mm | 68 | 28 | 40 | 0.412 | 2.118 | 0.146 |
| 38 mm | 49 | 23 | 26 | 0.469 | 0.184 | 0.668 |
| 39 mm | 27 | 11 | 15 | 0.407 | 0.926 | 0.336 |
| TOTAL | 2185 | 1145 | 1040 | 0.524 | 5.046 | 0.02469 |
| Maturity Stage | Macroscopic Feature |
|---|---|
| 1-Immature | Filamentous and hyaline ovaries; sixth to eighth sternites appear hyaline |
| 2-Early maturation | Narrow yellow ovaries; sixth to eighth sternites appear whitish |
| 3-Maturation | Yellow ovaries, extending up to half of abdomen width, not visible through the cuticle on the ventral side of telson; sixth to eighth sternites appear white |
| 4-Ripe | Yellow ovaries, extending over half of abdominal width, visible through cuticle on the ventral side of telson; sixth to eighth sternites appear milky white |
| 5-Spent | Filamentous hyaline ovaries with evident brown dots (chromatophores), sometimes still yellow or with a few yellow dots. In this case, the ovaries appear flaccid and shrunken. Sith to eighth sternites appear hyaline or still white. |
| GSI | January | February | March | April | May | June | July | September | October | November | December |
|---|---|---|---|---|---|---|---|---|---|---|---|
| January | 0.7907 | 0.9658 | 0.0029 | 0.9283 | 0.0220 | <0.0001 | <0.0001 | <0.0001 | <0.0001 | 0.2331 | |
| February | 0.7907 | 0.9999 | 0.06599 | 1.0000 | 0.0006 | <0.0001 | <0.0001 | <0.0001 | <0.0001 | 0.0035 | |
| March | 0.9658 | 0.9999 | 0.2873 | 0.9999 | 0.0019 | <0.0001 | <0.0001 | <0.0001 | <0.0001 | 0.0144 | |
| April | 0.0029 | 0.06599 | 0.2873 | 0.7183 | <0.0001 | <0.0001 | <0.0001 | <0.0001 | <0.0001 | <0.0001 | |
| May | 0.9283 | 1.0000 | 0.9999 | 0.7183 | 0.0020 | <0.0001 | <0.0001 | <0.0001 | <0.0001 | 0.0204 | |
| June | 0.0220 | 0.0006 | 0.9999 | <0.0001 | 0.0020 | 0.9988 | 0.9979 | 0.9999 | 1.0000 | 0.7759 | |
| July | <0.0001 | <0.0001 | <0.0001 | <0.0001 | <0.0001 | 0.9988 | 0.1423 | 0.4762 | 0.9041 | 0.8353 | |
| September | <0.0001 | <0.0001 | <0.0001 | <0.0001 | <0.0001 | 0.9979 | 0.1423 | 0.9999 | 0.9612 | 0.0037 | |
| October | <0.0001 | <0.0001 | <0.0001 | <0.0001 | <0.0001 | 0.9999 | 0.4762 | 0.9999 | 0.9996 | 0.0249 | |
| November | <0.0001 | <0.0001 | <0.0001 | <0.0001 | <0.0001 | 1.0000 | 0.9041 | 0.9612 | 0.9996 | 0.1251 | |
| December | 0.2331 | 0.0035 | 0.0144 | <0.0001 | 0.0204 | 0.7759 | 0.8353 | 0.0037 | 0.0249 | 0.1251 | |
| K Fulton | |||||||||||
| January | 0.9993 | 0.0100 | 0.9989 | 0.0122 | 1.0000 | 0.5076 | 0.9042 | 0.9953 | 0.9999 | 1.0000 | |
| February | 0.9993 | 0.0011 | 1.0000 | 0.1256 | 0.9999 | 0.1268 | 0.9997 | 1.0000 | 1.0000 | 0.9949 | |
| March | 0.0100 | 0.0011 | 0.0011 | <0.0001 | 0.4173 | 0.7931 | 0.0001 | 0.0010 | 0.0022 | 0.0589 | |
| April | 0.9989 | 1.0000 | 0.0011 | 0.1474 | 0.9999 | 0.1204 | 0.9998 | 1.0000 | 0.9999 | 0.9930 | |
| May | 0.0122 | 0.1256 | <0.0001 | 0.1474 | 0.3860 | <0.0001 | 0.4936 | 0.2451 | 0.0650 | 0.0112 | |
| June | 1.0000 | 0.9999 | 0.4173 | 0.9999 | 0.3860 | 0.9719 | 0.9986 | 0.9999 | 1.0000 | 1.0000 | |
| July | 0.5076 | 0.1268 | 0.7931 | 0.1204 | <0.0001 | 0.9719 | 0.0171 | 0.0989 | 0.2049 | 0.8431 | |
| September | 0.9042 | 0.9997 | 0.0001 | 0.9998 | 0.4936 | 0.9986 | 0.0171 | 0.9999 | 0.9963 | 0.8367 | |
| October | 0.9953 | 1.0000 | 0.0010 | 1.0000 | 0.2450 | 0.9999 | 0.0989 | 0.9999 | 0.9999 | 0.9819 | |
| November | 0.9999 | 1.0000 | 0.0022 | 0.9999 | 0.0650 | 1.0000 | 0.2049 | 0.9963 | 0.9999 | 0.9993 | |
| December | 1.0000 | 0.9949 | 0.0589 | 0.9930 | <0.0001 | 1.0000 | 0.8431 | 0.8367 | 0.9819 | 0.9993 | |
Disclaimer/Publisher’s Note: The statements, opinions and data contained in all publications are solely those of the individual author(s) and contributor(s) and not of MDPI and/or the editor(s). MDPI and/or the editor(s) disclaim responsibility for any injury to people or property resulting from any ideas, methods, instructions or products referred to in the content. |
© 2024 by the authors. Licensee MDPI, Basel, Switzerland. This article is an open access article distributed under the terms and conditions of the Creative Commons Attribution (CC BY) license (https://creativecommons.org/licenses/by/4.0/).
Share and Cite
Colella, S.; Mascoli, A.; Donato, F.; Panfili, M.; Santojanni, A.; Gioacchini, G. Reproductive Dynamics of Spot Tail Mantis Shrimp (Squilla mantis): Insights from the Central Mediterranean Sea. Animals 2024, 14, 2503. https://doi.org/10.3390/ani14172503
Colella S, Mascoli A, Donato F, Panfili M, Santojanni A, Gioacchini G. Reproductive Dynamics of Spot Tail Mantis Shrimp (Squilla mantis): Insights from the Central Mediterranean Sea. Animals. 2024; 14(17):2503. https://doi.org/10.3390/ani14172503
Chicago/Turabian StyleColella, Sabrina, Alessia Mascoli, Fortunata Donato, Monica Panfili, Alberto Santojanni, and Giorgia Gioacchini. 2024. "Reproductive Dynamics of Spot Tail Mantis Shrimp (Squilla mantis): Insights from the Central Mediterranean Sea" Animals 14, no. 17: 2503. https://doi.org/10.3390/ani14172503
APA StyleColella, S., Mascoli, A., Donato, F., Panfili, M., Santojanni, A., & Gioacchini, G. (2024). Reproductive Dynamics of Spot Tail Mantis Shrimp (Squilla mantis): Insights from the Central Mediterranean Sea. Animals, 14(17), 2503. https://doi.org/10.3390/ani14172503

