Fatty Acids and Volatile Flavor Components of Adipose Tissue from Local Tibetan Sheep in Qinghai with Dietary Supplementation of Palm Kernel Meal (PKM)
Abstract
Simple Summary
Abstract
1. Introduction
2. Materials and Methods
2.1. Ethical Statement
2.2. Feeding Trial and Sampling
2.3. Fatty Acid Analysis
2.4. HS-GC–IMS Analysis
2.5. Identification and Quantification of Volatile Compounds
2.6. Calculations and Statistical Analysis
3. Results
3.1. FAs Profiles of Adipose Tissues
3.1.1. Effects of Three PKM Levels on the Composition and Content of FAs in Subcutaneous Fat, Tail Fat and Intermuscular Fat of Tibetan Sheep
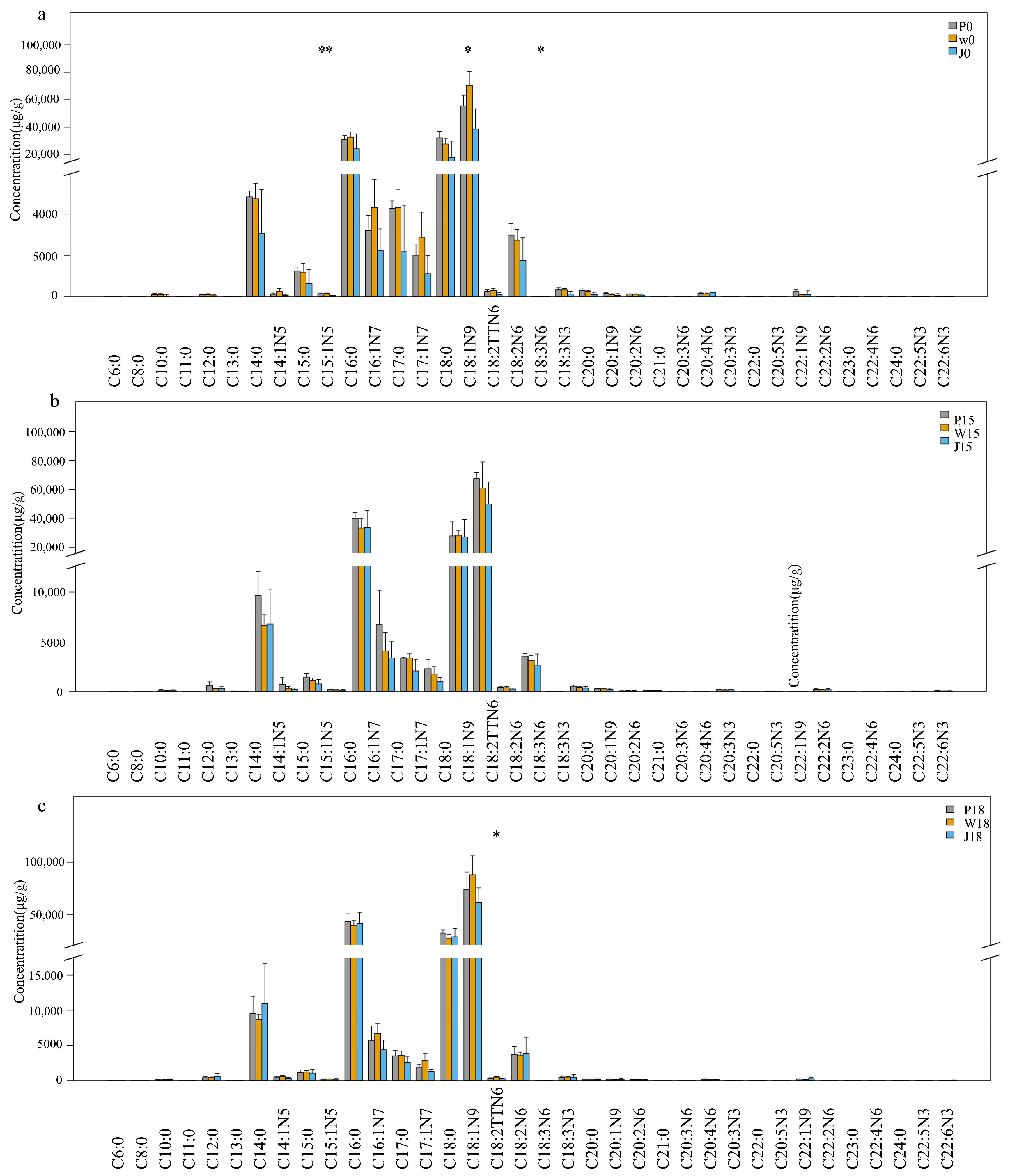
3.1.2. Differences in the Composition and Content of FAs in Different Parts of Adipose Tissue at the Same Level of PKM in Feeds
3.2. VOCs Compounds Composition and Content of Adipose Tissues
3.2.1. Effects of Three PKM Levels on the Composition and Content of FCs in Subcutaneous Fat, Tail Fat and Intermuscular Fat of Tibetan Sheep
3.2.2. Differences in the Composition and Content of FCs in Different Parts of Adipose Tissue at the Same Level of PKM in Feeds
3.2.3. Hierarchical Cluster Analysis
4. Correlation Analysis between Key Fatty Acids and Key Flavor Substances in Adipose Tissue of Tibetan Sheep
5. Discussion
6. Conclusions
Supplementary Materials
Author Contributions
Funding
Institutional Review Board Statement
Informed Consent Statement
Data Availability Statement
Acknowledgments
Conflicts of Interest
References
- Abdelraheem, N.; Li, F.; Guo, P.; Sun, Y.; Liu, Y.; Cheng, Y.; Hou, F. Oat hay as winter feed improves digestibility, nitrogen balance and energy utilization of Tibetan sheep (Ovis aries) in the Qinghai Tibetan Plateau. Livest. Sci. 2019, 230, 103854. [Google Scholar] [CrossRef]
- Zhang, X.; Han, L.; Hou, S.; Raza, S.H.A.; Wang, Z.; Yang, B.; Sun, S.; Ding, B.; Gui, L.; Simal-Gandara, J.; et al. Effects of different feeding regimes on muscle metabolism and its association with meat quality of Tibetan sheep. Food Chem. 2022, 374, 131611. [Google Scholar] [CrossRef]
- Wu, T.; Wang, P.; Zhang, Y.; Zhan, P.; Zhao, Y.; Tian, H.; He, W. Identification of muttony-related compounds in cooked mutton tallows and their flavor intensities subjected to phenolic extract from thyme (Thymus vulgaris L.). Food Chem. 2023, 427, 136666. [Google Scholar] [CrossRef] [PubMed]
- Brennand, C.P.; Lindsay, R.C. Distribution of volatile branched-chain fatty acids in various lamb tissues. Meat Sci. 1992, 31, 411–421. [Google Scholar] [CrossRef]
- Teixeira, A.; Silva, S.; Guedes, C.; Rodrigues, S. Sheep and goat meat processed products quality: A review. Foods 2020, 9, 960. [Google Scholar] [CrossRef] [PubMed]
- Watkins, P.J.; Frank, D.; Singh, T.K.; Young, O.A.; Warner, R.D. Sheepmeat flavor and the effect of different feeding systems: A review. J. Agric. Food Chem. 2013, 61, 3561–3579. [Google Scholar] [CrossRef]
- Kanokruangrong, S.; Birch, J.; El-Din Ahmed Bekhit, A. Processing Effects on Meat Flavor. In Encyclopedia of Food Chemistry; Melton, L., Shahidi, F., Varelis, P., Eds.; Academic Press: Oxford, UK, 2019; pp. 302–308. [Google Scholar]
- Arshad, M.S.; Sohaib, M.; Ahmad, R.S.; Nadeem, M.T.; Imran, A.; Arshad, M.U.; Kwon, J.H.; Amjad, Z. Ruminant meat flavor influenced by different factors with special reference to fatty acids. Lipids Health Dis. 2018, 17, 223. [Google Scholar] [CrossRef] [PubMed]
- Güler, Z.; Dursun, A. Adipose tissues of fat-tailed sheep reared in highland or lowland: Fatty acids and volatile compounds. Small Rumin. Res. 2023, 222, 106956. [Google Scholar] [CrossRef]
- Peng, Y.S.; Brown, M.A.; Wu, J.P.; Liu, Z. Different oilseed supplements alter fatty acid composition of different adipose tissues of adult ewes. Meat Sci. 2010, 85, 542–549. [Google Scholar] [CrossRef]
- Castro, T.; Manso, T.; Mantecón, A.R.; Guirao, J.; Jimeno, V. Fatty acid composition and carcass characteristics of growing lambs fed diets containing palm oil supplements. Meat Sci. 2005, 69, 757–764. [Google Scholar] [CrossRef]
- Jiang, Q.; Li, C.; Yu, Y.; Xing, Y.; Xiao, D.; Zhang, B. Comparison of fatty acid profile of three adipose tissues in Ningxiang pigs. Anim. Nutr. 2018, 4, 256–259. [Google Scholar] [CrossRef]
- Del Bianco, S.; Natalello, A.; Luciano, G.; Valenti, B.; Monahan, F.; Gkarane, V.; Rapisarda, T.; Carpino, S.; Piasentier, E. Influence of dietary cardoon meal on volatile compounds and flavour in lamb meat. Meat Sci. 2020, 163, 108086. [Google Scholar] [CrossRef] [PubMed]
- Devincenzi, T.; Prunier, A.; Meteau, K.; Nabinger, C.; Prache, S. Influence of fresh alfalfa supplementation on fat skatole and indole concentration and chop odour and flavour in lambs grazing a cocksfoot pasture. Meat Sci. 2014, 98, 607–614. [Google Scholar] [CrossRef] [PubMed]
- Çaçan, E.; Kokten, K. Determining the appropriate improvement methods for the pastures of eastern Anatolia region of Turkey. Range Manag. Agrofor. 2019, 40, 26–32. [Google Scholar]
- Sangavi, S.; Sawant, P.B.; Ande, M.P.; Syamala, K.; Chadha, N.K. Dietary inclusion of non-conventional palm kernel meal enhances growth, digestive enzyme activities and carcass characteristics of juvenile rohu (Labeo rohita). Aquac. Rep. 2020, 18, 100502. [Google Scholar] [CrossRef]
- Lannuzel, C.; Smith, A.; Mary, A.L.; Della Pia, E.A.; Kabel, M.A.; de Vries, S. Improving fiber utilization from rapeseed and sunflower seed meals to substitute soybean meal in pig and chicken diets: A review. Anim. Feed. Sci. Technol. 2022, 285, 115213. [Google Scholar] [CrossRef]
- Ma, Y.; Han, L.; Raza, S.H.A.; Gui, L.; Zhang, X.; Hou, S.; Sun, S.; Yuan, Z.; Wang, Z.; Yang, B.; et al. Exploring the effects of palm kernel meal feeding on the meat quality and rumen microorganisms of Qinghai Tibetan sheep. Food Sci. Nutr. 2023, 11, 3516–3534. [Google Scholar] [CrossRef] [PubMed]
- Flores, M. Chapter 13—The eating quality of meat: III—Flavor. In Lawrie’s Meat Science, 9th ed.; Toldrá, F., Ed.; Woodhead Publishing: Cambridge, UK, 2023; pp. 421–455. [Google Scholar]
- Ma, Y.; Han, L.; Zhang, S.; Zhang, X.; Hou, S.; Gui, L.; Sun, S.; Yuan, Z.; Wang, Z.; Yang, B. Insight into the differences of meat quality between Qinghai white Tibetan sheep and black Tibetan sheep from the perspective of metabolomics and rumen microbiota. Food Chem. X 2023, 19, 100843. [Google Scholar] [CrossRef]
- Banskalieva, V.; Sahlu, T.; Goetsch, A.L. Fatty acid composition of goat muscles and fat depots: A review. Small Rumin. Res. 2000, 37, 255–268. [Google Scholar] [CrossRef]
- Yu, J.; Yang, H.M.; Lai, Y.Y.; Wan, X.L.; Wang, Z.Y. The body fat distribution and fatty acid composition of muscles and adipose tissues in geese. Poult. Sci. 2020, 99, 4634–4641. [Google Scholar] [CrossRef]
- McAfee, A.J.; McSorley, E.M.; Cuskelly, G.J.; Moss, B.W.; Wallace, J.M.W.; Bonham, M.P.; Fearon, A.M. Red meat consumption: An overview of the risks and benefits. Meat Sci. 2010, 84, 1–13. [Google Scholar] [CrossRef] [PubMed]
- Tejeda, J.F.; Hernández-Matamoros, A.; González, E. Characteristics, lipogenic enzyme activity, and fatty acid composition of muscles in the Iberian pig: Effects of protein restriction and free-range feeding. Livest. Sci. 2023, 267, 105142. [Google Scholar] [CrossRef]
- Dalle Zotte, A.; Singh, Y.; Gerencsér, Z.; Matics, Z.; Szendrő, Z.; Cappellozza, S.; Cullere, M. Feeding silkworm (Bombyx mori L.) oil to growing rabbits improves the fatty acid composition of meat, liver and perirenal fat. Meat Sci. 2022, 193, 108944. [Google Scholar] [CrossRef] [PubMed]
- Kim, J.S.; Ingale, S.L.; Lee, S.H.; Choi, Y.H.; Kim, E.H.; Lee, D.C.; Kim, Y.H.; Chae, B.J. Impact of dietary fat sources and feeding level on adipose tissue fatty acids composition and lipid metabolism related gene expression in finisher pigs. Anim. Feed. Sci. Technol. 2014, 196, 60–67. [Google Scholar] [CrossRef]
- Burdock, G.A.; Carabin, I.G. Safety assessment of myristic acid as a food ingredient. Food Chem. Toxicol. 2007, 45, 517–529. [Google Scholar] [CrossRef] [PubMed]
- Gutiérrez-García, A.G.; Contreras, C.M.; Díaz-Marte, C. Myristic acid in amniotic fluid produces appetitive responses in human newborns. Early Hum. Dev. 2017, 115, 32–37. [Google Scholar] [CrossRef]
- Barlina, R.; Dewandari, K.T.; Mulyawanti, I.; Herawan, T. Chapter 30—Chemistry and composition of coconut oil and its biological activities. In Multiple Biological Activities of Unconventional Seed Oils; Mariod, A.A., Ed.; Academic Press: Oxford, UK, 2022; pp. 383–395. [Google Scholar]
- Bai, H.; Zhang, M.; Zhao, Y.; Wang, R.; Zhang, G.; Lambo, M.T.; Zhang, Y.; Li, Y.; Wang, L. Altering the ratio of palmitic, stearic, and oleic acids in dietary fat affects nutrient digestibility, plasma metabolites, growth performance, carcass, meat quality, and lipid metabolism gene expression of Angus bulls. Meat Sci. 2023, 199, 109138. [Google Scholar] [CrossRef] [PubMed]
- Frutos, P.; Hervás, G.; Natalello, A.; Luciano, G.; Fondevila, M.; Priolo, A.; Toral, P.G. Ability of tannins to modulate ruminal lipid metabolism and milk and meat fatty acid profiles. Anim. Feed. Sci. Technol. 2020, 269, 114623. [Google Scholar] [CrossRef]
- Piao, M.Y.; Yong, H.I.; Lee, H.J.; Fassah, D.M.; Kim, H.J.; Jo, C.; Baik, M. Comparison of fatty acid profiles and volatile compounds among quality grades and their association with carcass characteristics in longissimus dorsi and semimembranosus muscles of Korean cattle steer. Livest. Sci. 2017, 198, 147–156. [Google Scholar] [CrossRef]
- Sales-Campos, H.; Reis de Souza, P.; Crema Peghini, B.; Santana da Silva, J.; Ribeiro Cardoso, C. An overview of the modulatory effects of oleic acid in health and disease. Mini Rev. Med. Chem. 2013, 13, 201–210. [Google Scholar]
- Kerth, C. Flavor development in beef, pork, lamb and goat meat. In Encyclopedia of Meat Sciences, 3rd ed.; Dikeman, M., Ed.; Elsevier: Oxford, UK, 2024; pp. 723–740. [Google Scholar]
- Urlić, M.A.-O.; Urlić, I.; Urlić, H.; Mašek, T.; Benzon, B.; Vitlov Uljević, M.; Vukojević, K.; Filipović, N.A.-O. Effects of Different n6/n3 PUFAs Dietary Ratio on Cardiac Diabetic Neuropathy. Nutrients 2020, 12, 2761. [Google Scholar] [CrossRef] [PubMed]
- Harbige, L.S. Fatty acids, the immune response, and autoimmunity: A question of n-6 essentiality and the balance between n-6 and n-3. Lipids 2003, 38, 323–341. [Google Scholar] [CrossRef] [PubMed]
- Lian, F.; Cheng, J.-H.; Sun, D.-W. Insight into the effect of microwave treatment on fat loss, fatty acid composition and microstructure of pork subcutaneous back fat. LWT 2023, 187, 115297. [Google Scholar] [CrossRef]
- Mottram, D.S. Flavour formation in meat and meat products: A review. Food Chem. 1998, 62, 415–424. [Google Scholar] [CrossRef]
- Benítez, R.; Núñez, Y.; Fernández, A.; Isabel, B.; Fernández, A.I.; Rodríguez, C.; Barragán, C.; Martín- Palomino, P.; López-Bote, C.; Silió, L.; et al. Effects of dietary fat saturation on fatty acid composition and gene transcription in different tissues of Iberian pigs. Meat Sci. 2015, 102, 59–68. [Google Scholar] [CrossRef] [PubMed]
- Monziols, M.; Bonneau, M.; Davenel, A.; Kouba, M. Comparison of the lipid content and fatty acid composition of intermuscular and subcutaneous adipose tissues in pig carcasses. Meat Sci. 2007, 76, 54–60. [Google Scholar] [CrossRef] [PubMed]
- Frank, D. Measuring meat flavour. In Encyclopedia of Meat Sciences, 3rd ed.; Dikeman, M., Ed.; Elsevier: Oxford, UK, 2024; pp. 101–107. [Google Scholar]
- Calkins, C.R.; Hodgen, J.M. A fresh look at meat flavor. Meat Sci. 2007, 77, 63–80. [Google Scholar] [CrossRef] [PubMed]
- Zhu, C.Z.; Zhao, J.L.; Tian, W.; Liu, Y.X.; Li, M.Y.; Zhao, G.M. Contribution of Histidine and Lysine to the Generation of Volatile Compounds in Jinhua Ham Exposed to Ripening Conditions Via Maillard Reaction. J. Food Sci. 2018, 83, 46–52. [Google Scholar] [CrossRef]
- Li, W.; Chen, Y.P.; Blank, I.; Li, F.; Li, C.; Liu, Y. GC × GC-ToF-MS and GC-IMS based volatile profile characterization of the Chinese dry-cured hams from different regions. Food Res. Int. 2021, 142, 110222. [Google Scholar] [CrossRef]
- Li, F.; Feng, X.; Zhang, D.; Li, C.; Xu, X.; Zhou, G.; Liu, Y. Physical properties, compositions and volatile profiles of Chinese dry-cured hams from different regions. J. Food Meas. Charact. 2020, 14, 492–504. [Google Scholar] [CrossRef]
- Shi, Y.; Li, X.; Huang, A. A metabolomics-based approach investigates volatile flavor formation and characteristic compounds of the Dahe black pig dry-cured ham. Meat Sci. 2019, 158, 107904. [Google Scholar] [CrossRef] [PubMed]
- Zhang, K.; Zhang, T.-T.; Guo, R.-R.; Ye, Q.; Zhao, H.-L.; Huang, X.-H. The regulation of key flavor of traditional fermented food by microbial metabolism: A review. Food Chem. X 2023, 19, 100871. [Google Scholar] [CrossRef] [PubMed]
- Huang, Q.; Dong, K.; Wang, Q.; Huang, X.; Wang, G.; An, F.; Luo, Z.; Luo, P. Changes in volatile flavor of yak meat during oxidation based on multi-omics. Food Chem. 2022, 371, 131103. [Google Scholar] [CrossRef] [PubMed]
- Mikš-Krajnik, M.; Yoon, Y.-J.; Yuk, H.-G. Detection of volatile organic compounds as markers of chicken breast spoilage using HS-SPME-GC/MS-FASST. Food Sci. Biotechnol. 2015, 24, 361–372. [Google Scholar] [CrossRef]
- Poomani, M.S.; Mariappan, I.; Muthan, K.; Subramanian, V. A thermotolerant yeast from cow’s rumen utilize lignocellulosic biomass from wheat straw for xylanase production and fermentation to ethanol. Biocatal. Agric. Biotechnol. 2023, 50, 102741. [Google Scholar] [CrossRef]
- Bala, A.; Singh, B. Cellulolytic and xylanolytic enzymes of thermophiles for the production of renewable biofuels. Renew. Energy 2019, 136, 1231–1244. [Google Scholar] [CrossRef]
- Jang, J.C.; Kim, K.H.; Kim, D.H.; Jang, S.K.; Hong, J.S.; Heo, P.S.; Kim, Y.Y. Effects of increasing levels of palm kernel meal containing β-mannanase to growing-finishing pig diets on growth performance, nutrient digestibility, and pork quality. Livest. Sci. 2020, 238, 104041. [Google Scholar] [CrossRef]
- Wang, Q.; Dong, K.; Wu, Y.; An, F.; Luo, Z.; Huang, Q.; Wei, S. Exploring the formation mechanism of off-flavor of irradiated yak meat based on metabolomics. Food Chem. X 2022, 16, 100494. [Google Scholar] [CrossRef] [PubMed]
- Wang, Y.; Chen, Q.; Xiang, H.; Sun-Waterhouse, D.; Chen, S.; Zhao, Y.; Li, L.; Wu, Y. Insights into microbiota community dynamics and flavor development mechanism during golden pomfret (Trachinotus ovatus) fermentation based on single-molecule real-time sequencing and molecular networking analysis. Food Sci. Hum. Wellness 2024, 13, 101–114. [Google Scholar] [CrossRef]
- Watkins, P.J.; Jaborek, J.R.; Teng, F.; Day, L.; Castada, H.Z.; Baringer, S.; Wick, M. Branched chain fatty acids in the flavour of sheep and goat milk and meat: A review. Small Rumin. Res. 2021, 200, 106398. [Google Scholar] [CrossRef]
- Landaud, S.; Helinck, S.; Bonnarme, P. Formation of volatile sulfur compounds and metabolism of methionine and other sulfur compounds in fermented food. Appl. Microbiol. Biotechnol. 2008, 77, 1191–1205. [Google Scholar] [CrossRef] [PubMed]
- Chen, X.; Li, Y.; Huo, J.; Ma, T. Changes of flavor components of Changle midge son shrimp in fermentation process. J. Food Saf. Qual. 2017, 8, 1227–1232. [Google Scholar]








| Raw Material Composition/% | ZL-0 | ZL-15 | ZL-18 |
|---|---|---|---|
| Maize | 65.5 | 54.20 | 51.80 |
| Soybean meal | 8.00 | 5.00 | 5.00 |
| Rapeseed meal | 16.00 | 15.00 | 15.00 |
| Cottonseed meal | 4.00 | 4.30 | 3.70 |
| PKM | 0.00 | 15.00 | 18.00 |
| Common salt | 0.50 | 0.50 | 0.50 |
| Mountain flour | 1.00 | 1.00 | 1.00 |
| premix | 5.00 | 5.00 | 5.00 |
| Nutritional Level/% | |||
| Crude protein | 15.15 | 15.12 | 15.13 |
| Crude fat | 2.70 | 3.42 | 3.58 |
| NDF | 3.83 | 5.78 | 6.16 |
| Lysine | 0.66 | 0.63 | 0.63 |
| Methionine | 0.26 | 0.28 | 0.28 |
| Calcium | 0.54 | 0.52 | 0.51 |
| Phosphorus | 0.43 | 0.38 | 0.36 |
| FA Composition | FA Composition | ||
|---|---|---|---|
| C10:0 | 1261.82 ± 173.44 | C18:3N3 | 3.39 ± 0.20 |
| C11:0 | 17.46 ± 0.67 | C20:0 | 51.01 ± 2.05 |
| C12:0 | 9787.25 ± 162.37 | C20:1N9 | 54.41 ± 1.30 |
| C13:0 | 24.87 ± 0.76 | C20:5N3 | 7.03 ± 0.19 |
| C14:0 | 5041.93 ± 98.38 | C22:1N9 | 31.1 ± 4.91 |
| C15:0 | 6.11 ± 0.25 | C22:2N6 | 6.83 ± 1.02 |
| C15:1N5 | 11.11 ± 0.34 | C22:4N6 | 12.89 ± 3.70 |
| C16:0 | 4021.43 ± 102.70 | C23:0 | 7.53 ± 0.21 |
| C16:1N7 | 8.92 ± 0.09 | C24:0 | 32.99 ± 0.58 |
| C17:0 | 9.13 ± 0.25 | C6:0 | 4.1 ± 1.84 |
| C17:1N7 | 4.08 ± 0.08 | C8:0 | 646.9 ± 384.59 |
| C18:0 | 1202.19 ± 48.25 | MUFA | 6434.71 ± 89.54 |
| C18:1N9 | 6310.75 ± 91.79 | PUFA | 1174.6 ± 34.22 |
| C18:1TN9 | 12.79 ± 0.16 | SFA | 22,116.38 ± 289.32 |
| C18:2N6 | 1137.45 ± 36.91 | N-3 | 11.21 ± 0.22 |
| C18:2TTN6 | 2.04 ± 0.21 | N-6 | 1163.4 ± 34.12 |
| Item FAs | Diet 1 | SEM | p-Value | ||
|---|---|---|---|---|---|
| 0% | 15% | 18% | |||
| subcutaneous fat | P0 | P15 | P18 | ||
| SFA | 7439.14 ± 547.83 | 8312.96 ± 735.55 | 9139.31 ± 897.07 | 604.77 | 0.080 |
| MUFA | 6137.44 ± 848.52 | 7749.43 ± 940.27 | 8298.47 ± 1853.62 | 1058.30 | 0.186 |
| PUFA | 401.36 ± 78.44 | 496.05 ± 37.33 | 495.01 ± 139.11 | 77.31 | 0.425 |
| N-3 | 40.78 ± 10.20 | 63.79 ± 10.21 | 54.66 ± 18.54 | 11.07 | 0.193 |
| N-6 | 360.58 ± 68.61 | 432.26 ± 27.18 | 440.35 ± 120.62 | 66.66 | 0.467 |
| N-6/N-3 | 8.93 ± 0.72 a | 6.85 ± 0.66 b | 8.17 ± 0.52 ab | 0.53 | 0.021 |
| tail fat | W0 | W15 | W18 | ||
| SFA | 7115.19 ± 260.12 | 7320.24 ± 987.87 | 8206.38 ± 565.59 | 550.44 | 0.190 |
| MUFA | 7844.32 ± 1184.21 | 6740.95 ± 2078.44 | 9867.08 ± 1991.05 | 1467.16 | 0.178 |
| PUFA | 375.24 ± 74.34 | 427.97 ± 71.88 | 509.22 ± 41.35 | 52.50 | 0.108 |
| N-3 | 39.34 ± 8.35 b | 49.28 ± 7.71 ab | 59.26 ± 4.14 a | 5.70 | 0.036 |
| N-6 | 335.90 ± 66.03 | 378.69 ± 64.81 | 449.96 ± 37.33 | 47.03 | 0.125 |
| N-6/N-3 | 8.56 ± 0.22 a | 7.69 ± 0.51 b | 7.59 ± 0.18 b | 0.28 | 0.023 |
| intermuscular fat | J0 | J15 | J18 | ||
| SFA | 4819.11 ± 2797.93 | 7074.86 ± 2809.28 | 8639.12 ± 2471.87 | 2225.72 | 0.298 |
| MUFA | 4223.10 ± 1703.64 | 5463.27 ± 1774.92 | 6859.68 ± 1572.00 | 1376.30 | 0.239 |
| PUFA | 238.87 ± 134.95 | 357.97 ± 148.53 | 498.72 ± 283.26 | 163.64 | 0.348 |
| N3 | 17.93 ± 14.32 | 40.37 ± 20.96 | 55.05 ± 36.94 | 21.13 | 0.284 |
| N6 | 220.94 ± 120.75 | 317.60 ± 127.59 | 443.67 ± 246.45 | 142.67 | 0.358 |
| N6/N3 | 14.30 ± 4.66 | 8.48 ± 1.78 | 9.12 ± 2.61 | 2.66 | 0.132 |
| Item FAs | Adipose Tissue | SEM | p-Value | ||
|---|---|---|---|---|---|
| Subcutaneous Fat | Tail Fat | Intermuscular Fat | |||
| 0% PKM | P0 | W0 | J0 | ||
| SFA | 7439.14 ± 547.83 | 7115.19 ± 260.12 | 4819.11 ± 2797.93 | 1349.59 | 0.188 |
| MUFA | 6137.44 ± 848.52 ab | 7844.32 ± 1184.21 a | 4223.10 ± 1703.64 b | 1056.70 | 0.039 |
| PUFA | 401.36 ± 78.44 | 375.24 ± 74.34 | 238.87 ± 134.95 | 81.50 | 0.182 |
| N-3 | 40.78 ± 10.20 | 39.34 ± 8.35 | 17.93 ± 14.32 | 9.18 | 0.083 |
| N-6 | 360.58 ± 68.61 | 335.90 ± 66.03 | 220.94 ± 120.75 | 72.49 | 0.202 |
| N-6/N-3 | 8.93 ± 0.72 | 8.56 ± 0.22 | 14.30 ± 4.66 | 2.23 | 0.073 |
| 15% PKM | P15 | W15 | J15 | ||
| SFA | 8312.96 ± 735.55 | 7320.24 ± 987.87 | 7074.86 ± 2809.28 | 1481.04 | 0.692 |
| MUFA | 7749.43 ± 940.27 | 6740.95 ± 2078.44 | 5463.27 ± 1774.92 | 1362.54 | 0.314 |
| PUFA | 496.05 ± 37.33 | 427.97 ± 71.88 | 357.97 ± 148.53 | 79.75 | 0.297 |
| N-3 | 63.79 ± 10.21 | 49.28 ± 7.71 | 40.37 ± 20.96 | 11.58 | 0.205 |
| N-6 | 432.26 ± 27.18 | 378.69 ± 64.81 | 317.60 ± 127.59 | 68.67 | 0.318 |
| N-6/N-3 | 6.85 ± 0.66 | 7.69 ± 0.51 | 8.48 ± 1.78 | 0.93 | 0.290 |
| 18% PKM | P18 | W18 | J18 | ||
| SFA | 9139.31 ± 897.07 | 8206.38 ± 565.59 | 8639.12 ± 2471.87 | 1267.96 | 0.771 |
| MUFA | 8298.47 ± 1853.62 | 9867.08 ± 1991.05 | 6859.68 ± 1572.00 | 1481.09 | 0.208 |
| PUFA | 495.01 ± 139.11 | 509.22 ± 41.35 | 498.72 ± 283.26 | 150.04 | 0.995 |
| N-3 | 54.66 ± 18.54 | 59.26 ± 4.14 | 55.05 ± 36.94 | 19.58 | 0.967 |
| N-6 | 440.35 ± 120.62 | 449.96 ± 37.33 | 443.67 ± 246.45 | 130.54 | 0.997 |
| N-6/N-3 | 8.17 ± 0.52 | 7.59 ± 0.18 | 9.12 ± 2.61 | 1.26 | 0.512 |
| FCs | Subcutaneous Fat | p-Value | Tail Fat | p-Value | Intermuscular Fat | p-Value | ||||||
|---|---|---|---|---|---|---|---|---|---|---|---|---|
| P0 | P15 | P18 | W0 | W15 | W18 | J0 | J15 | J18 | ||||
| (E)-2-Pentenal | 0.34 ± 0.11 b | 0.96 ± 0.15 a | 1.42 ± 0.37 a | 0.004 | 1.75 ± 0. 1 a | 1.15 ± 0.1 b | 0.82 ± 0.04 c | 0.000 | 0.54 ± 0.08 a | 0.31 ± 0.06 b | 0.34 ± 0.02 b | 0.005 |
| 1-hexanal | 0.27 ± 0.05 | 0.30 ± 0.03 | 0.33 ± 0.01 | 0.255 | 0.28 ± 0.04 a | 0.24 ± 0.04 ab | 0.16 ± 0.02 b | 0.015 | 0.29 ± 0.03 b | 0.21 ± 0.03 b | 0.72 ± 0.08 a | 0.000 |
| 1-Hydroxy-2-propanone | 0.16 ± 0.06 b | 0.19 ± 0.04 ab | 0.33 ± 0.08 a | 0.034 | 0.15 ± 0.08 b | 0.18 ± 0.07 b | 0.6 ± 0.03 a | 0.000 | 0.7 ± 0.07 a | 0.17 ± 0.07 c | 0.42 ± 0.11 b | 0.001 |
| 1-Pentanol dimer | 0.03 ± 0.02 | 0.04 ± 0.00 | 0.04 ± 0.01 | 0.695 | 0.03 ± 0.02 | 0.04 ± 0.02 | 0.01 ± 0.01 | 0.181 | 0.04 ± 0 | 0.03 ± 0.01 | 0.04 ± 0.01 | 0.300 |
| 1-Pentanol monomer | 0.14 ± 0.05 | 0.18 ± 0.00 | 0.15 ± 0.02 | 0.345 | 0.14 ± 0.05 | 0.14 ± 0.05 | 0.17 ± 0.04 | 0.689 | 0.32 ± 0.05 b | 0.13 ± 0.03 c | 0.75 ± 0.08 a | 0.000 |
| 1-Penten-3-ol | 0.65 ± 0.03 b | 0.89 ± 0.07 a | 0.74 ± 0.03 b | 0.003 | 0.65 ± 0.03 a | 0.66 ± 0.01 a | 0.55 ± 0.03 b | 0.003 | 0.59 ± 0.02 b | 0.55 ± 0.04 b | 0.83 ± 0.04 a | 0.000 |
| 1-Propanol dimer | 0.52 ± 0.00 a | 0.24 ± 0.02 c | 0.31 ± 0.03 b | 0.000 | 0.71 ± 0.26 | 0.37 ± 0.03 | 0.5 ± 0.01 | 0.092 | 3.68 ± 0.62 a | 0.75 ± 0.03 b | 0.96 ± 0.13 b | 0.000 |
| 1-Propanol monomer | 2.63 ± 0.03 a | 1.42 ± 0.15 c | 1.79 ± 0.19 b | 0.000 | 3.08 ± 0.57 a | 2.27 ± 0.14 ab | 2.12 ± 0.02 b | 0.028 | 6.09 ± 0.49 a | 2.99 ± 0.08 b | 3.32 ± 0.26 b | 0.000 |
| 2,3-Butanedione | 0.51 ± 0.07 b | 0.49 ± 0.05 b | 2.59 ± 0.85 a | 0.003 | 0.42 ± 0.04 c | 0.57 ± 0.08 b | 2.00 ± 0.01 a | 0.000 | 2.80 ± 0.66 a | 1.16 ± 0.02 b | 2.47 ± 0.49 a | 0.012 |
| 2,5-Dimethylpyrazine | 0.14 ± 0.06 b | 0.21 ± 0.04 b | 0.41 ± 0.10 a | 0.008 | 0.12 ± 0.04 b | 0.15 ± 0.07 b | 0.56 ± 0.02 a | 0.000 | 0.64 ± 0.02 a | 0.21 ± 0.07 b | 0.51 ± 0.10 a | 0.001 |
| 2-Butanone dimer | 0.50 ± 0.01 | 0.49 ± 0.11 | 0.55 ± 0.04 | 0.547 | 0.47 ± 0.04 b | 0.48 ± 0.03 b | 1.78 ± 0.01 a | 0.000 | 0.96 ± 0.07 b | 1.04 ± 0.10 b | 1.24 ± 0.06 a | 0.012 |
| 2-Butanone monomer | 1.05 ± 0.02 b | 0.99 ± 0.05 b | 1.32 ± 0.08 a | 0.001 | 1.15 ± 0.1 a | 1.14 ± 0.03 b | 1.34 ± 0.02 a | 0.013 | 1.16 ± 0.04 | 1.1 ± 0.13 | 1.22 ± 0.09 | 0.335 |
| 2-Heptanone | 0.05 ± 0.02 | 0.07 ± 0.01 | 0.10 ± 0.02 | 0.067 | 0.06 ± 0.02 | 0.07 ± 0.02 | 0.04 ± 0.01 | 0.273 | 0.09 ± 0.00 b | 0.06 ± 0.01 b | 0.16 ± 0.05 a | 0.012 |
| 2-Methyl-1-propanol | 0.76 ± 0.05 a | 0.52 ± 0.04 b | 0.53 ± 0.03 b | 0.000 | 0.64 ± 0.05 b | 0.70 ± 0.04 b | 1.48 ± 0.02 a | 0.000 | 0.39 ± 0.01 | 0.47 ± 0.05 | 0.39 ± 0.01 | 0.037 |
| 2-Methyl-2-propanol | 0.38 ± 0.03 b | 0.43 ± 0.05 b | 1.90 ± 0.40 a | 0.000 | 0.36 ± 0.04 b | 0.44 ± 0.03 b | 2.09 ± 0.03 a | 0.000 | 0.28 ± 0.03 | 0.35 ± 0.05 | 0.33 ± 0.00 | 0.138 |
| 2-Methylbutanal | 0.04 ± 0.01 b | 0.04 ± 0.00 b | 0.70 ± 0.41 a | 0.023 | 0.03 ± 0.01 b | 0.05 ± 0.01 b | 0.56 ± 0.01 a | 0.000 | 0.03 ± 0.00 | 0.04 ± 0.01 | 0.05 ± 0.02 | 0.444 |
| 2-Methylbutanoic acid, methyl ester | 0.61 ± 0.05 a | 0.63 ± 0.03 a | 0.40 ± 0.03 b | 0.000 | 0.43 ± 0.02 b | 0.49 ± 0.03 a | 0.41 ± 0.01 b | 0.012 | 0.33 ± 0.03 c | 0.88 ± 0.01 a | 0.62 ± 0.15 b | 0.001 |
| 2-Pentanone | 0.04 ± 0.02 b | 0.05 ± 0.01 ab | 0.07 ± 0.00 a | 0.048 | 0.06 ± 0.01 b | 0.05 ± 0.02 b | 0.12 ± 0.01 a | 0.002 | 0.15 ± 0.01 | 0.09 ± 0.03 | 0.44 ± 0.24 | 0.046 |
| 2-Propanol dimer | 0.84 ± 0.06 b | 1.26 ± 0.11 a | 0.92 ± 0.19 b | 0.019 | 0.6 ± 0.02 b | 0.94 ± 0.05 a | 1.00 ± 0.03 a | 0.000 | 0.44 ± 0.01 b | 0.93 ± 0.05 a | 0.83 ± 0.05 a | 0.000 |
| 2-Propanol monomer | 1.31 ± 0.02 | 1.60 ± 0.09 | 1.43 ± 0.29 | 0.215 | 1.33 ± 0.08 b | 1.69 ± 0.05 a | 0.71 ± 0.01 c | 0.000 | 0.99 ± 0.05 | 1.06 ± 0.13 | 1.05 ± 0.09 | 0.702 |
| 3-Methyl butanal | 0.06 ± 0.01 b | 0.05 ± 0.00 b | 0.58 ± 0.32 a | 0.021 | 0.07 ± 0.01 b | 0.06 ± 0.01 b | 0.33 ± 0.01 a | 0.000 | 0.05 ± 0.00 a | 0.06 ± 0.01 a | 0.04 ± 0.00 b | 0.021 |
| 3-Methyl-3-buten-1-ol | 0.05 ± 0.02 b | 0.07 ± 0.00 ab | 0.10 ± 0.01 a | 0.009 | 0.05 ± 0.02 b | 0.06 ± 0.02 b | 0.13 ± 0.00 a | 0.001 | 0.08 ± 0.00 | 0.09 ± 0.01 | 0.1 ± 0.01 | 0.230 |
| 3-Methylbutan-1-ol dimer | 0.12 ± 0.06 | 0.17 ± 0.02 | 0.19 ± 0.02 | 0.133 | 0.15 ± 0.07 b | 0.14 ± 0.07 b | 0.79 ± 0.01 a | 0.000 | 0.13 ± 0.01 | 0.12 ± 0.06 | 0.13 ± 0.02 | 0.877 |
| 3-Methylbutan-1-ol monomer | 0.66 ± 0.21 | 0.46 ± 0.06 | 0.88 ± 0.20 | 0.061 | 0.52 ± 0.15 b | 0.39 ± 0.13 b | 3.52 ± 0.03 a | 0.000 | 0.43 ± 0.02 | 0.34 ± 0.11 | 0.46 ± 0.09 | 0.252 |
| Acetaldehyde | 2.40 ± 0.12 a | 2.23 ± 0.16 a | 1.62 ± 0.08 b | 0.001 | 3.79 ± 0.13 a | 3.09 ± 0.28 b | 1.11 ± 0.08 c | 0.000 | 5.48 ± 0.36 a | 2.77 ± 0.25 b | 3.59 ± 0.63 b | 0.001 |
| Acetic acid dimer | 1.54 ± 0.48 a | 0.71 ± 0.04 b | 0.52 ± 0.07 b | 0.010 | 1.01 ± 0.12 a | 0.63 ± 0.16 b | 0.27 ± 0.07 c | 0.001 | 0.83 ± 0.03 a | 0.53 ± 0.11 b | 0.48 ± 0.07 b | 0.003 |
| Acetic acid monomer | 11.39 ± 1.34 a | 7.43 ± 0.30 b | 6.50 ± 0.52 b | 0.001 | 9.8 ± 0.73 a | 7.54 ± 0.59 b | 3.88 ± 0.04 c | 0.000 | 7.30 ± 0.35 a | 6.47 ± 0.92 ab | 5.12 ± 0.35 b | 0.012 |
| Acetoin dimer | 0.35 ± 0.11 b | 0.47 ± 0.09 b | 1.17 ± 0.42 a | 0.017 | 0.36 ± 0.1 b | 0.37 ± 0.13 b | 2.53 ± 0.06 a | 0.000 | 3.35 ± 0.29 a | 0.54 ± 0.21 b | 1.41 ± 0.59 b | 0.000 |
| Acetoin monomer | 3.19 ± 0.26 b | 4.32 ± 1.05 b | 9.27 ± 2.05 a | 0.003 | 2.69 ± 0.09 c | 3.46 ± 0.08 b | 9.74 ± 0.09 a | 0.000 | 13.03 ± 0.60 a | 5.99 ± 1.05 b | 8.48 ± 1.98 b | 0.002 |
| Acetone | 14.55 ± 1.26 b | 16.13 ± 0.70 b | 26.08 ± 1.78 a | 0.000 | 16.86 ± 1.48 b | 17.07 ± 0.42 b | 21.28 ± 0.28 a | 0.002 | 11.44 ± 0.33 b | 15.96 ± 1.78 a | 16.5 ± 1.96 a | 0.013 |
| Butanol dimer | 0.25 ± 0.03 | 0.18 ± 0.04 | 0.20 ± 0.02 | 0.069 | 0.23 ± 0.04 | 0.18 ± 0.03 | 0.17 ± 0.02 | 0.127 | 0.11 ± 0.01 b | 0.39 ± 0.14 a | 0.23 ± 0.06 ab | 0.023 |
| Butanol monomer | 2.29 ± 0.08 | 1.99 ± 0.21 | 2.18 ± 0.17 | 0.148 | 2.25 ± 0.01 a | 2.17 ± 0.06 a | 1.58 ± 0.03 b | 0.000 | 1.19 ± 0.01 b | 2.75 ± 0.42 a | 2.00 ± 0.37 a | 0.003 |
| Cyclopentanone | 0.07 ± 0.02 b | 0.09 ± 0.01 ab | 0.13 ± 0.02 a | 0.028 | 0.11 ± 0.02 | 0.09 ± 0.01 | 0.07 ± 0.01 | 0.059 | 0.22 ± 0.02 a | 0.06 ± 0.02 b | 0.07 ± 0.00 b | 0.000 |
| dimethyl sulfide | 0.77 ± 0.03 b | 1.58 ± 0.22 a | 1.75 ± 0.21 a | 0.001 | 1.41 ± 0.01 b | 1.61 ± 0.04 a | 0.84 ± 0.00 c | 0.000 | 0.54 ± 0.02 b | 0.70 ± 0.03 a | 0.52 ± 0.01 b | 0.000 |
| Ethanol | 33.61 ± 1.86 a | 32.15 ± 1.26 a | 15.30 ± 2.79 b | 0.000 | 26.66 ± 1.16 a | 27.73 ± 1.81 a | 18.26 ± 0.11 b | 0.000 | 21.25 ± 0.74 c | 36.21 ± 0.55 a | 30.53 ± 2.64 b | 0.000 |
| Ethyl 2-hydroxypropanoate | 1.31 ± 0.49 a | 0.51 ± 0.06 b | 0.48 ± 0.03 b | 0.019 | 0.82 ± 0.09 a | 0.46 ± 0.11 b | 0.17 ± 0.06 c | 0.000 | 0.53 ± 0.03 a | 0.31 ± 0.11 b | 0.34 ± 0.02 b | 0.012 |
| Heptanal | 0.27 ± 0.05 | 0.28 ± 0.03 | 0.31 ± 0.02 | 0.458 | 0.26 ± 0.01 a | 0.26 ± 0.02 a | 0.16 ± 0.02 b | 0.000 | 0.22 ± 0.01 b | 0.21 ± 0.03 b | 0.46 ± 0.01 a | 0.000 |
| Methyl acetate | 0.04 ± 0.01 b | 0.05 ± 0.01 b | 0.18 ± 0.03 a | 0.000 | 0.05 ± 0.01 b | 0.07 ± 0.01 b | 0.13 ± 0.01 a | 0.000 | 0.03 ± 0.01 | 0.03 ± 0.00 | 0.04 ± 0.01 | 0.060 |
| Propanal | 3.35 ± 0.81 | 2.28 ± 0.59 | 2.29 ± 0.58 | 0.157 | 2.96 ± 0.24 a | 1.85 ± 0.27 b | 1.24 ± 0.06 c | 0.000 | 0.58 ± 0.07 b | 1.07 ± 0.33 a | 0.11 ± 0.01 b | 0.003 |
| FCs | 0% | p-Value | 18% | p-Value | 21% | p-Value | ||||||
|---|---|---|---|---|---|---|---|---|---|---|---|---|
| P0 | W0 | J0 | P15 | W15 | J15 | P18 | W18 | J18 | ||||
| (E)-2-Pentenal | 0.34 ± 0.11 b | 1.75 ± 0.1 a | 0.54 ± 0.08 b | 0.000 | 0.96 ± 0.15 a | 1.15 ± 0.1 a | 0.31 ± 0.06 b | 0.000 | 1.42 ± 0.37 a | 0.82 ± 0.04 b | 0.34 ± 0.02 b | 0.002 |
| 1-hexanal | 0.27 ± 0.05 | 0.28 ± 0.04 | 0.29 ± 0.03 | 0.808 | 0.30 ± 0.03 a | 0.24 ± 0.04 ab | 0.21 ± 0.03 b | 0.039 | 0.33 ± 0.01 b | 0.16 ± 0.02 c | 0.72 ± 0.08 a | 0.000 |
| 1-Hydroxy-2-propanone | 0.16 ± 0.06 b | 0.15 ± 0.08 b | 0.70 ± 0.07 a | 0.000 | 0.19 ± 0.04 | 0.18 ± 0.07 | 0.17 ± 0.07 | 0.893 | 0.33 ± 0.08 b | 0.6 ± 0.03 a | 0.42 ± 0.11 ab | 0.014 |
| 1-Pentanol dimer | 0.03 ± 0.02 | 0.03 ± 0.02 | 0.04 ± 0.00 | 0.964 | 0.04 ± 0.00 | 0.04 ± 0.02 | 0.03 ± 0.01 | 0.498 | 0.04 ± 0.01 a | 0.01 ± 0.01 b | 0.04 ± 0.01 a | 0.010 |
| 1-Pentanol monomer | 0.14 ± 0.05 b | 0.14 ± 0.05 b | 0.32 ± 0.05 a | 0.005 | 0.18 ± 0.00 | 0.14 ± 0.05 | 0.13 ± 0.03 | 0.283 | 0.15 ± 0.02 b | 0.17 ± 0.04 b | 0.75 ± 0.08 a | 0.000 |
| 1-Penten-3-ol | 0.65 ± 0.03 | 0.65 ± 0.03 | 0.59 ± 0.02 | 0.088 | 0.89 ± 0.07 a | 0.66 ± 0.01 b | 0.55 ± 0.04 b | 0.000 | 0.74 ± 0.03 b | 0.55 ± 0.03 c | 0.83 ± 0.04 a | 0.000 |
| 1-Propanol dimer | 0.52 ± 0.00 b | 0.71 ± 0.26 b | 3.68 ± 0.62 a | 0.000 | 0.24 ± 0.02 c | 0.37 ± 0.03 b | 0.75 ± 0.03 a | 0.000 | 0.31 ± 0.03 c | 0.5 ± 0.01 b | 0.96 ± 0.13 a | 0.000 |
| 1-Propanol monomer | 2.63 ± 0.03 b | 3.08 ± 0.57 b | 6.09 ± 0.49 a | 0.000 | 1.42 ± 0.15 c | 2.27 ± 0.14 b | 2.99 ± 0.08 a | 0.000 | 1.79 ± 0.19 b | 2.12 ± 0.02 b | 3.32 ± 0.26 a | 0.000 |
| 2,3-butanedione | 0.51 ± 0.07 b | 0.42 ± 0.04 b | 2.80 ± 0.66 a | 0.000 | 0.49 ± 0.05 b | 0.57 ± 0.08 b | 1.16 ± 0.02 a | 0.000 | 2.59 ± 0.85 | 2.00 ± 0.01 | 2.47 ± 0.49 | 0.449 |
| 2,5-Dimethylpyrazine | 0.14 ± 0.06 b | 0.12 ± 0.04 b | 0.64 ± 0.02 a | 0.000 | 0.21 ± 0.04 | 0.15 ± 0.07 | 0.21 ± 0.07 | 0.457 | 0.41 ± 0.10 | 0.56 ± 0.02 | 0.51 ± 0.10 | 0.175 |
| 2-Butanone dimer | 0.50 ± 0.01 b | 0.47 ± 0.04 b | 0.96 ± 0.07 a | 0.000 | 0.49 ± 0.11 b | 0.48 ± 0.03 b | 1.04 ± 0.10 a | 0.000 | 0.55 ± 0.04 c | 1.78 ± 0.01 a | 1.24 ± 0.06 b | 0.000 |
| 2-Butanone monomer | 1.05 ± 0.02 | 1.15 ± 0.10 | 1.16 ± 0.04 | 0.137 | 0.99 ± 0.05 | 1.14 ± 0.03 | 1.10 ± 0.13 | 0.126 | 1.32 ± 0.08 | 1.34 ± 0.02 | 1.22 ± 0.09 | 0.184 |
| 2-Heptanone | 0.05 ± 0.02 | 0.06 ± 0.02 | 0.09 ± 0.00 | 0.092 | 0.07 ± 0.01 | 0.07 ± 0.02 | 0.06 ± 0.01 | 0.880 | 0.10 ± 0.02 ab | 0.04 ± 0.01 b | 0.16 ± 0.05 a | 0.007 |
| 2-Methyl-1-propanol | 0.76 ± 0.05 a | 0.64 ± 0.05 b | 0.39 ± 0.01 c | 0.000 | 0.52 ± 0.04 b | 0.70 ± 0.04 a | 0.47 ± 0.05 b | 0.001 | 0.53 ± 0.03 b | 1.48 ± 0.02 a | 0.39 ± 0.01 c | 0.000 |
| 2-Methyl-2-propanol | 0.38 ± 0.03 a | 0.36 ± 0.04 ab | 0.28 ± 0.03 b | 0.035 | 0.43 ± 0.05 | 0.44 ± 0.03 | 0.35 ± 0.05 | 0.071 | 1.90 ± 0.40 a | 2.09 ± 0.03 a | 0.33 ± 0.00 b | 0.000 |
| 2-Methylbutanal | 0.04 ± 0.01 | 0.03 ± 0.01 | 0.03 ± 0.00 | 0.475 | 0.04 ± 0.00 | 0.05 ± 0.01 | 0.04 ± 0.01 | 0.245 | 0.70 ± 0.41 a | 0.56 ± 0.01 ab | 0.05 ± 0.02 b | 0.035 |
| 2-Methylbutanoic acid, methyl ester | 0.61 ± 0.05 a | 0.43 ± 0.02 b | 0.33 ± 0.03 c | 0.000 | 0.63 ± 0.03 b | 0.49 ± 0.03 c | 0.88 ± 0.01 a | 0.000 | 0.40 ± 0.03 | 0.41 ± 0.01 | 0.62 ± 0.15 | 0.043 |
| 2-Pentanone | 0.04 ± 0.02 b | 0.06 ± 0.01 b | 0.15 ± 0.01 a | 0.000 | 0.05 ± 0.01 | 0.05 ± 0.02 | 0.09 ± 0.03 | 0.046 | 0.07 ± 0.00 b | 0.12 ± 0.01 ab | 0.44 ± 0.24 a | 0.035 |
| 2-Propanol dimer | 0.84 ± 0.06 a | 0.60 ± 0.02 b | 0.44 ± 0.01 c | 0.000 | 1.26 ± 0.11 a | 0.94 ± 0.05 b | 0.93 ± 0.05 b | 0.004 | 0.92 ± 0.19 | 1.00 ± 0.03 | 0.83 ± 0.05 | 0.302 |
| 2-Propanol monomer | 1.31 ± 0.02 a | 1.33 ± 0.08 a | 0.99 ± 0.05 b | 0.001 | 1.60 ± 0.09 a | 1.69 ± 0.05 a | 1.06 ± 0.13 b | 0.000 | 1.43 ± 0.29 a | 0.71 ± 0.01 b | 1.05 ± 0.09 ab | 0.007 |
| 3-Methyl butanal | 0.06 ± 0.01 | 0.07 ± 0.01 | 0.05 ± 0.00 | 0.134 | 0.05 ± 0.00 | 0.06 ± 0.01 | 0.06 ± 0.01 | 0.542 | 0.58 ± 0.32 a | 0.33 ± 0.01 ab | 0.04 ± 0.00 b | 0.034 |
| 3-Methyl-3-buten-1-ol | 0.05 ± 0.02 b | 0.05 ± 0.02 ab | 0.08 ± 0.00 a | 0.035 | 0.07 ± 0.00 ab | 0.06 ± 0.02 b | 0.09 ± 0.01 a | 0.053 | 0.10 ± 0.01 b | 0.13 ± 0.00 a | 0.1 ± 0.01 b | 0.006 |
| 3-Methylbutan-1-ol dimer | 0.12 ± 0.06 | 0.15 ± 0.07 | 0.13 ± 0.01 | 0.876 | 0.17 ± 0.02 | 0.14 ± 0.07 | 0.12 ± 0.06 | 0.584 | 0.19 ± 0.02 b | 0.79 ± 0.01 a | 0.13 ± 0.02 c | 0.000 |
| 3-Methylbutan-1-ol monomer | 0.66 ± 0.21 | 0.52 ± 0.15 | 0.43 ± 0.02 | 0.251 | 0.46 ± 0.06 | 0.39 ± 0.13 | 0.34 ± 0.11 | 0.418 | 0.88 ± 0.20 b | 3.52 ± 0.03 a | 0.46 ± 0.09 c | 0.000 |
| Acetaldehyde | 2.40 ± 0.12 c | 3.79 ± 0.13 b | 5.48 ± 0.36 a | 0.000 | 2.23 ± 0.16 b | 3.09 ± 0.28 a | 2.77 ± 0.25 ab | 0.012 | 1.62 ± 0.08 b | 1.11 ± 0.08 b | 3.59 ± 0.63 a | 0.000 |
| Acetic acid dimer | 1.54 ± 0.48 | 1.01 ± 0.12 | 0.83 ± 0.03 | 0.054 | 0.71 ± 0.04 | 0.63 ± 0.16 | 0.53 ± 0.11 | 0.222 | 0.52 ± 0.07 a | 0.27 ± 0.07 b | 0.48 ± 0.07 a | 0.010 |
| Acetic acid monomer | 11.39 ± 1.34 a | 9.8 ± 0.73 a | 7.30 ± 0.35 b | 0.004 | 7.43 ± 0.30 | 7.54 ± 0.59 | 6.47 ± 0.92 | 0.167 | 6.50 ± 0.52 a | 3.88 ± 0.04 c | 5.12 ± 0.35 b | 0.000 |
| Acetoin dimer | 0.35 ± 0.11 b | 0.36 ± 0.1 b | 3.35 ± 0.29 a | 0.000 | 0.47 ± 0.09 | 0.37 ± 0.13 | 0.54 ± 0.21 | 0.449 | 1.17 ± 0.42 b | 2.53 ± 0.06 a | 1.41 ± 0.59 b | 0.015 |
| Acetoin monomer | 3.19 ± 0.26 b | 2.69 ± 0.09 c | 13.03 ± 0.60 a | 0.000 | 4.32 ± 1.05 ab | 3.46 ± 0.08 b | 5.99 ± 1.05 a | 0.030 | 9.27 ± 2.05 | 9.74 ± 0.09 | 8.48 ± 1.98 | 0.657 |
| Acetone | 14.55 ± 1.26 a | 16.86 ± 1.48 a | 11.44 ± 0.33 b | 0.003 | 16.13 ± 0.70 | 17.07 ± 0.42 | 15.96 ± 1.78 | 0.480 | 26.08 ± 1.78 a | 21.28 ± 0.28 b | 16.5 ± 1.96 c | 0.001 |
| Butanol dimer | 0.25 ± 0.03 a | 0.23 ± 0.04 a | 0.11 ± 0.01 b | 0.003 | 0.18 ± 0.04 | 0.18 ± 0.03 | 0.39 ± 0.14 | 0.037 | 0.20 ± 0.02 | 0.17 ± 0.02 | 0.23 ± 0.06 | 0.252 |
| Butanol monomer | 2.29 ± 0.08 a | 2.25 ± 0.01 a | 1.19 ± 0.01 b | 0.000 | 1.99 ± 0.21 b | 2.17 ± 0.06 ab | 2.75 ± 0.42 a | 0.032 | 2.18 ± 0.17 a | 1.58 ± 0.03 b | 2.00 ± 0.37 ab | 0.049 |
| Cyclopentanone | 0.07 ± 0.02 b | 0.11 ± 0.02 b | 0.22 ± 0.02 a | 0.000 | 0.09 ± 0.01 | 0.09 ± 0.01 | 0.06 ± 0.02 | 0.080 | 0.13 ± 0.02 a | 0.07 ± 0.01 b | 0.07 ± 0.00 b | 0.006 |
| dimethyl sulfide | 0.77 ± 0.03 b | 1.41 ± 0.01 a | 0.54 ± 0.02 c | 0.000 | 1.58 ± 0.22 a | 1.61 ± 0.04 a | 0.70 ± 0.03 b | 0.000 | 1.75 ± 0.21 a | 0.84 ± 0.00 b | 0.52 ± 0.01 c | 0.000 |
| Ethanol | 33.61 ± 1.86 a | 26.66 ± 1.16 b | 21.25 ± 0.74 c | 0.000 | 32.15 ± 1.26 b | 27.73 ± 1.81 c | 36.21 ± 0.55 a | 0.001 | 15.30 ± 2.79 b | 18.26 ± 0.11 b | 30.53 ± 2.64 a | 0.000 |
| Ethyl 2-hydroxypropanoate | 1.31 ± 0.49 a | 0.82 ± 0.09 ab | 0.53 ± 0.03 b | 0.042 | 0.51 ± 0.06 | 0.46 ± 0.11 | 0.31 ± 0.11 | 0.095 | 0.48 ± 0.03 a | 0.17 ± 0.06 c | 0.34 ± 0.02 b | 0.000 |
| Heptanal | 0.27 ± 0.05 | 0.26 ± 0.01 | 0.22 ± 0.01 | 0.143 | 0.28 ± 0.03 a | 0.26 ± 0.02 ab | 0.21 ± 0.03 b | 0.043 | 0.31 ± 0.02 b | 0.16 ± 0.02 c | 0.46 ± 0.01 a | 0.000 |
| Methyl acetate | 0.04 ± 0.01 ab | 0.05 ± 0.01 a | 0.03 ± 0.01 b | 0.029 | 0.05 ± 0.01 a | 0.07 ± 0.01 a | 0.03 ± 0.00 b | 0.001 | 0.18 ± 0.03 a | 0.13 ± 0.01 a | 0.04 ± 0.01 b | 0.000 |
| Propanal | 3.35 ± 0.81 a | 2.96 ± 0.24 a | 0.58 ± 0.07 b | 0.001 | 2.28 ± 0.59 a | 1.85 ± 0.27 ab | 1.07 ± 0.33 b | 0.031 | 2.29 ± 0.58 a | 1.24 ± 0.06 b | 0.11 ± 0.01 c | 0.001 |
Disclaimer/Publisher’s Note: The statements, opinions and data contained in all publications are solely those of the individual author(s) and contributor(s) and not of MDPI and/or the editor(s). MDPI and/or the editor(s) disclaim responsibility for any injury to people or property resulting from any ideas, methods, instructions or products referred to in the content. |
© 2024 by the authors. Licensee MDPI, Basel, Switzerland. This article is an open access article distributed under the terms and conditions of the Creative Commons Attribution (CC BY) license (https://creativecommons.org/licenses/by/4.0/).
Share and Cite
Ma, Y.; Han, L.; Hou, S.; Gui, L.; Sun, S.; Yuan, Z.; Yang, C.; Wang, Z.; Yang, B. Fatty Acids and Volatile Flavor Components of Adipose Tissue from Local Tibetan Sheep in Qinghai with Dietary Supplementation of Palm Kernel Meal (PKM). Animals 2024, 14, 2113. https://doi.org/10.3390/ani14142113
Ma Y, Han L, Hou S, Gui L, Sun S, Yuan Z, Yang C, Wang Z, Yang B. Fatty Acids and Volatile Flavor Components of Adipose Tissue from Local Tibetan Sheep in Qinghai with Dietary Supplementation of Palm Kernel Meal (PKM). Animals. 2024; 14(14):2113. https://doi.org/10.3390/ani14142113
Chicago/Turabian StyleMa, Ying, Lijuan Han, Shengzhen Hou, Linsheng Gui, Shengnan Sun, Zhenzhen Yuan, Chao Yang, Zhiyou Wang, and Baochun Yang. 2024. "Fatty Acids and Volatile Flavor Components of Adipose Tissue from Local Tibetan Sheep in Qinghai with Dietary Supplementation of Palm Kernel Meal (PKM)" Animals 14, no. 14: 2113. https://doi.org/10.3390/ani14142113
APA StyleMa, Y., Han, L., Hou, S., Gui, L., Sun, S., Yuan, Z., Yang, C., Wang, Z., & Yang, B. (2024). Fatty Acids and Volatile Flavor Components of Adipose Tissue from Local Tibetan Sheep in Qinghai with Dietary Supplementation of Palm Kernel Meal (PKM). Animals, 14(14), 2113. https://doi.org/10.3390/ani14142113
