Simple Summary
Maintaining an appropriate housing climate has a major impact on the welfare of calves. The present study implemented a method for long-term measurement in the micro- and macroclimate range of calf housing. Observed differences between stationary and mobile measurements suggest that there are different microclimate areas in the housing. In particular, ammonia concentrations measured at microclimate level showed strong fluctuations and high peak values. The possibility of measuring ammonia in the direct environment of the calves might allow for further research on the relations between ammonia concentrations and animal health, and for investigations of management methods to optimize the housing climate at the animal level.
Abstract
In calf fattening, housing climate conditions are essential for optimal performance and welfare. Validated methods to measure the long-term housing climate are lacking. The present study investigated climate parameters for 14 weeks in Swiss calf fattening housing with two different ammonia (NH3) sensors: six stationary sensors (Dräger Polytron 8100) were installed at animal level and four mobile sensors (Dräger x-AM 5100) were attached to the calves’ heads. Temperature, relative humidity, and carbon dioxide (CO2) concentrations were recorded by two stationary data loggers (testo 160 IAQ). Data were analyzed descriptively, and 4 h mean values of maximum NH3 concentrations of mobile and stationary sensors were compared using the Wilcoxon test for paired data. The 4 h mean values of temperature, relative humidity, and CO2 concentrations and the 4 h mean values of maximum NH3 concentrations of stationary and mobile sensors were analyzed by ANOVA in two linear models. The overall 4 h mean of maximum NH3 concentrations ranged between 5.9–9.4 ppm for measurements of stationary sensors and between 11.3–14.7 ppm for measurements of mobile sensors. The NH3 concentrations measured by mobile sensors showed significantly higher peak values and more fluctuations. Additionally, an interaction effect was observed between the NH3 concentrations measured by either sensor and CO2 concentrations (p < 0.01 (mobile sensors); p < 0.0001 (stationary sensors), temperature values (p < 0.0001 (both sensors)), and relative humidity (p < 0.0001 (both sensors)). The measurements of the implemented method showed that corresponding housing climate parameters fluctuated strongly, and NH3 reached high peak values. Validated measurement methods might allow for a detailed assessment of the housing climate in practice, and for further research on suitable management methods for housing climate optimization in the future.
1. Introduction
In recent years, precision livestock farming research has made substantial progress. New technologies allow for improved monitoring, decision-making, and management in livestock farming, thus contributing to enhanced animal health and welfare [1]. Sensors are an important element of this innovation. Accelerometers, for example, allow for early detection of lameness in dairy cattle. Similarly, activity monitoring of cows is also useful in detecting estrus [2].
In calf raising systems, the available technology to monitor calves’ health and welfare includes, for example, automatic milk feeding systems, early warning systems to detect increased coughing by sound [3], and accelerometers that monitor animals’ movement and behavior. Furthermore, infrared thermography for early detection of infections is already implemented [4]. While environmental sensors for measuring air quality in animal housing exist, calf-specific systems to monitor the microclimatic conditions in the barn are not yet available. Controlling climatic conditions in animal housing is considered to have a major impact on animal health and welfare. Monitoring climatic conditions by sensors provides a non-invasive approach to assess environmental conditions in calf pens. It provides real-time insight on air quality. This can inform farmers for decisions regarding ventilation and management measures, such as pen cleaning [4,5]. In calf fattening, this is of particular relevance because high disease and mortality rates are challenging. Poor animal health results in the widespread use of antibiotics in livestock farming and contributes to economic losses [6,7]. Environmental and management factors, such as climate and housing systems, are of major importance, especially for health in the early stages of life [8,9,10,11,12]. Previous studies showed associations of housing climate parameters, such as temperature and ammonia (NH3) concentration, with increased mortality and treatment incidences. Maintaining a good air quality was, thus, recommended, for instance, to keep NH3 concentrations low (<10 ppm) [11,12]. Based on previous studies, we assume, therefore, that good climatic conditions in the housing are of major importance for the optimal performance and welfare [13,14] of animals [9,12,15,16,17,18].
The main climate and environmental parameters described as being associated with animal health are ambient temperature, relative humidity, harmful gas concentrations, air contaminants (viruses and bacteria), dust, and air flow [9,12,17,18,19,20,21]. Noxious gases, such as NH3, damage and irritate the eyes and the respiratory tract at high concentrations. Recently it was shown that, in addition to other climate parameters, such as temperature and air velocity, prolonged exposure to NH3 concentrations above 4 ppm is associated with lung consolidation [12]. Indeed, calves are more sensitive to noxious gases, such as NH3, than adult cattle are [21,22]. Furthermore, poor air quality may increase exposure to airborne pathogens. The combination of high pathogen exposure and impairment of pulmonary defense mechanisms facilitates infection. Air quality is, therefore, considered to be of major significance as a predisposing factor in the pathogenesis of calf pneumonia [15,21,22,23].
In livestock facilities, NH3 is primarily set free by the breakdown of urea from the animals’ urine by the enzyme urease produced by microorganisms in their feces [24]. Consequently, as calf urine and feces are mixed in the housing environment, NH3 concentrations often reach harmful levels. Hence, the interior conditions play an important role in maintaining an animal-friendly housing climate [25,26]. Different management practices, such as the cleaning of the stable, ventilation, litter type, feed quality, and livestock density, as well as the structure of the housing, all influence air quality and the living conditions of the calves [20,26].
Empirical guidelines and recommendations exist both at the international and national levels. In relation to housing climate, the CIGR [27,28] published recommendations and guidelines for a fresh air supply and thermal conditions for calf housing. For animal housing, they recommend NH3 concentrations of a maximum value of 20 ppm and CO2 concentrations of no more than 3000 ppm. Recommendations from the Swiss Federal Government [20] regarding housing climate are available in Switzerland as well, where relevant parameters for the assessment of housing climate in cattle housing are described. The Swiss Federal Government recommends optimal and threshold values for temperature (between 5 and 20 °C), relative humidity (between 50 and 80%), NH3 concentration (maximum 10 ppm), and CO2 concentration (maximum 3000 ppm) [20]. Furthermore, possible measurement methods for the individual climate parameters are described. However, it is difficult to verify the implementation of these guidelines and recommendations in practice. A variety of commercially available devices for the measurement of individual climate parameters exists. To date, measurement devices for practical use have been tested or validated in only a few studies. Therefore, evidence is sparse, especially for measurement devices for noxious gases, such as NH3. In comparison, measuring devices for long-term monitoring of housing temperature and relative humidity have already been used in previous studies for housing climate measurements [29,30,31]. A recent study analyzed repeated point measurements of temperature, relative humidity, carbon dioxide (CO2), and NH3 concentrations, as well as continuous measurements of temperature and relative humidity over 72 h in veal calf housing [32]. They stated that results of point measurements are highly variable, particularly for noxious gases, and, thus, are difficult to interpret, and they did not observe significant associations between the results of measurements of climate parameters and animal health indicators. However, continuous measurements seemed to be more appropriate to assess the housing climate, because strong fluctuations and deviations from optimum values were observed by continuous measurements, but not by point measurements. Continuous measurements of noxious gas concentrations were not performed in this study, but point measurements showed a large variability in the values of NH3 and carbon dioxide (CO2) concentrations measured at the same time in different locations in the housing [32].
In the past, climate parameters in animal facilities were assessed by diverse measurement methods. Concentrations of total NH3, CO2, methane, and other emissions have been assessed in housing in several studies [33,34,35,36]. Nevertheless, there is no established standard method, and commonly applied methods differ in cost, complexity, sensitivity, and precision [37]. In practice, standardized methods for evaluating and regulating animal friendly housing climates are lacking [38]. To assess the actual NH3 exposure of calves under practice conditions, a measurement method is required that closely reflects the true NH3 concentration they encounter.
Multipoint sampling is useful to accurately estimate the exposure of animals to a certain climate parameter, such as NH3. In order to obtain the best possible resolution and coverage of the environment to be sampled, climate parameters are measured in several locations [37]. In contrast, single-point measurements, for example with one single stationary device, have often been applied in previous studies to assess the exposure of animals. Furthermore, researchers often used short-term or one-time measurements, or one-time measurements at several sampling spots, such as with portable devices [12,29,32]. One-time measurements only represent the current conditions at the sampling location and/or time and are, thus, not a reliable indicator of the development of NH3 concentrations or other housing climate parameters over time [37]. It is known that NH3 concentrations, temperature, and relative humidity may show diurnal, seasonal, and long-term variations. Therefore, long-term monitoring of climate parameters in animal housing, is essential for accurately assessing housing climate conditions [21,32,39,40].
In previous studies, measurement devices have been mounted on the housing ceiling or outside the animal compartments, rather than on the animals or in their immediate surroundings [12,32,41,42]. Such approaches only cover the macroclimate area of the housing. However, macroclimate measurement values do not necessarily reflect the microenvironment. Measurements in the animal compartments itself and at animal level, reflect the microclimate, and, therefore, the climatic conditions in which the animals actually live. The position of the measuring device has been shown to be important for obtaining relevant measurement values. Since NH3 is produced in the microclimate range, it should also be measured there. Likewise, measurements should be taken in the immediate environment of the animals. In fact, it is assumed that the assessment of the conditions inside the housing at animal level is essential, especially for developing future regulation systems to maintain an animal-friendly housing climate [26].
The aim of the present study was to collect reliable data on housing climate in the microclimate range. This study involved long-term data collection of macro- and microclimatic conditions in calf housing. Therefore, a method to measure NH3 concentrations in the direct environment of the calves was implemented. Measurements performed by stationary and mobile devices were compared, and the applicability of the devices under practice conditions was evaluated. We hypothesized that NH3 concentrations measured with the mobile NH3 sensors attached to the calves’ heads would be significantly different from the measurements with stationary devices. Furthermore, we expected variations in temperature, relative humidity, and CO2 concentrations to correlate with NH3 concentration fluctuations. By performing measurements in the animal’s direct environment, we aimed to provide important information on the air quality and microclimate within animal housings.
2. Materials and Methods
2.1. Housing and Ventilation
The study was conducted in Switzerland in an experimental calf fattening barn in Hendschiken (Canton Aargau). The measurements lasted for two months, corresponding to one fattening period, from 5 June to 8 August 2019. The barn is a free-standing building at 473 m.a.s.l. (Google Maps, 2021) [43]. The building envelope is made of concrete and wood. It is a single barn with two compartments of equal size, A and B. A paved corridor divides the two compartments in the center of the barn. A half-height fence made of metal bars with plastic panels separates the compartments from the corridor. Each compartment, therefore, has such a fence adjacent to the corridor which runs through the middle of the barn. There are five windows per compartment (two windows located to the east, left and right of the gate to the outside area, with the other three on the outer wall of each compartment; see Figure 1).
Figure 1.
Schematic representation of the experimental barn and experimental set-up, with stationary NH3 measuring devices (A1–A3, B1–B3) and mobile NH3 measuring devices (A4, A5, B4, B5). The white dots at position A1/B1 represent the Testo data loggers for measurements of the temperature, relative humidity, and CO2 concentration. The black bars represent doors and gates. The gray bars represent windows. The different areas are indicated by different shades and are named accordingly.
Each compartment consists of a feeding platform oriented to the west with automat-ed drinking devices (4 Förster drinkers per compartment, 9.25 calves per suckling station). A lying area littered with deep straw (73.5 m2, 1.89 m2 per animal) is adjacent to the feeding platform, and each compartment has a permanently accessible outside pen (69 m2, 1.87 m2 per animal). The unroofed paved outdoor area is oriented to the east. One gate per compartment leads to the outdoor area, and plastic curtains in the outlet gates reduce the air draft.
Two ventilation tubes (VET.SMART, NEOWOLF GmbH, Graz, Austria) are set in the barn, one above each compartment. Each tube is 10.6 m long with a diameter of 40.93 cm, with holes at regular intervals (outer tube: 5 lines with 30 holes per line; distance between holes in the same line: 33.2 cm), and a fan (Multifan, Vostermans Ventilation, Venlo, The Netherlands) with a diameter of 362 mm and a delivery volume of 2940 m3/h at 37 Pa static pressure. The fan is installed on the outer side of the barn, above the outside area. The ventilation system is designed in such a way that the fresh air arrives at the calves’ lying area at a maximum speed of 0.3 m/s. The ventilation was switched on constantly during the whole experiment. To avoid heat stress, farm personnel removed the barn windows and opened the gates as necessary. Throughout the experiment, we documented any changes to windows, doors, and ventilation. The farm personnel documented manure removal, litter consumption, and ventilation parameters on a specially designed form during the entire measurement period.
2.2. Animals
During data collection, a total of 74 calves was present in the barn. Calves were kept according to the guidelines of Coop Naturafarm Kalb [44]. The purchased calves underwent general examination carried out and documented by the farm personnel upon arrival. This general examination is carried out routinely for each new fattening cycle on that particular farm. After arrival, the calves were uniformly distributed between the 2 barn compartments, into groups of 37 calves each. All calves arrived at the farm within two days. Group A consisted of 21 female and 16 male calves, and group B consisted of 20 female and 17 male calves. They belonged to common dairy, beef, and mixed breeds (e.g., Holstein Friesian, Braunvieh, and Limousin, respectively). The calves originated from 70 different birth farms and were between 21 and 83 days old when they were brought in for fattening. The farm personnel weighed each calf upon arrival (57–89.5 kg), three times during the fattening period after 21, 56, and 83 days (13.06.19, 18.07.19, 14.08.19), and on the day of slaughter (first calf slaughtered 09.08.19), and the weights were recorded in the barn journal. Additionally, the farm personnel kept records of calf health over the entire fattening period, where they registered the health status (incl. daily rectal temperature of sick calves) and any medication used. The calves left between 121 and 171 days of age, with slaughter weights between 160 and 247.5 kg.
2.3. Sensors
The following sensors were used to carry out measurements of climate parameters.
2.3.1. Stationary Device for NH3 Measurement
A Dräger Polytron 8100 data logger with DS NH3 FL Agriculture electrochemical sensor (Drägerwerk AG & Co. KGaA Dräger. 2023, Lübeck, Germany) was used to measure NH3 concentration. According to the manufacturer’s information, the sensor is capable of measuring NH3 concentrations in a range of 0–300 ppm, with a precision of 1 ppm, over a temperature range of −40–65 °C. For detailed information on sensor technology refer to [45,46,47] and see supplementary material.
2.3.2. Mobile Device for NH3 Measurement
A Dräger x-Am 5100 data logger with Prototype NH3 electrochemical sensor (Drägerwerk AG & Co. KGaA Dräger. 2023) was used to measure NH3 concentration. According to the manufacturer’s information, the sensor is capable of measuring NH3 concentrations in a range of 0–100 ppm, with a precision of 1 ppm, over a temperature range of −40–65 °C.
2.3.3. Stationary Device for Temperature, Relative Humidity, Atmospheric Pressure, and CO2 Measurement
A Testo 160 IAQ (Testo SE & Co. KGaA Testo AG. 2003, Titisee-Neustadt, Germany) radio data logger was used to measure the temperature, relative humidity, atmospheric pressure, and CO2 concentration. According to the manufacturer’s information, this sensor is capable of measuring temperature in a range of 0–50 °C, with a precision of ±0.5 °C; relative humidity, range 0–100% rF, with a precision of ±2.0%; absolute pressure, range 600–11,000 mbar, with a precision of ±3 mbar; CO2, a concentration range 0–5000 ppm, and a precision of ±50 ppm.
2.4. Set-Up Measuring Devices
2.4.1. NH3 Sensors
We installed a total of six stationary NH3 sensors (A1–A3, B1–B3) and four mobile NH3 sensors (A4, A5, B4, B5) in the barn (see the barn plan in Figure 1 for positions). The stationary sensors were equally distributed between compartments A and B. They were installed approximately 25 cm above the floor, i.e., at the level of the calves’ head when they were lying on the litter mat. Metal wire cages of 25 × 20 cm × 20 cm served as protection for the stationary NH3 sensors. The mobile sensors were prototypes made to perform measurements in the nose area of the calves. For this purpose, we randomly chose two calves per compartment to be fitted with a mobile NH3 sensor attached to their head with a halter. The halter maintained the sensor in position, approximately 10 cm behind the nose. The calves equipped with a mobile sensor were able to move freely in their compartments and the outdoor area, like all other calves of the group.
The measurement intervals for all NH3 sensors were set to 1 s, and the maximum value during each 10 min interval was recorded. A recording of the peak values was chosen to potentially determine the frequency and duration of the exposure to NH3 values that exceeded the recommended limits. We checked all of the sensors every three weeks. For this purpose, the latest versions of the software provided by the manufacturer were used: Dräger PolySoft (Dräger Safety AG & Co. KGaA. 2021, Lübeck, Germany) and Dräger cc-Vision (Dräger Safety AG & Co. KGaA. 2021, Lübeck, Germany). Furthermore, we replaced the dust filters and calibrated the sensors with a calibration gas from the manufacturer every three weeks. The calibration gas had an NH3 concentration of 50 ppm (+/−5%). To avoid data loss due to premature switch-off, we replaced the batteries of the mobile NH3 sensors once a week. The stationary sensors were powered by electricity.
2.4.2. Temperature, Relative Humidity, Atmospheric Pressure, and CO2 Sensors
One Testo IAQ 160 radio data logger was installed in each compartment (A and B) in the same locations as the stationary NH3 sensors, at positions A1 and B1 (see Figure 1). The recording interval was set to 10 min and instantaneous values were recorded. Calibration and battery replacement during the measurement period was not needed for these data loggers. The data loggers automatically stored the measurement data in a data cloud, where they could be accessed at any time by the study team.
2.5. Statistical Analysis
Data from NH3 sensors were available as text files and were converted to the Excel (Microsoft Corporation Microsoft Excel 2019) format for further processing. Implausible data, i.e., measured values outside the measurable range of the devices, were registered as missing data in the data set. Measurement values registered during times at which the measurement devices were calibrated were excluded from the dataset, because calibration influenced the measured values, and, thus, resulted in incomplete measures. For the exclusion of data, the last timestamp with a measurement value before and after calibrating served as reference points. We subtracted 30 min from the last measurement value of the measurement device that was calibrated first. This determined timestamp served as the beginning of data exclusion. The first measurement value of the last calibrated measuring device served as the end point, to which 30 min were added, and data were removed up to the determined timestamp. All values recorded during the resulting timespan were removed from the data set for all measuring devices (NH3 concentration, CO2 concentration, temperature, and relative humidity). This procedure was repeated for all calibrations and replacements of batteries. In addition, values of continuous measurements were not obtained at certain times, due to the failure of the measurement devices. An overview of the number of recorded values available for descriptive and statistical analyses is given in Table 1, Table 2, Table 3 and Table 4.
Table 1.
Descriptive statistical analysis of NH3 concentrations [ppm] measured in an experimental calf barn over the study period between June 5 and 8 August 2019.
Table 2.
Descriptive statistical analysis for CO2 concentrations [ppm] measured in an experimental calf barn over the entire study period from 5 June to 8 August 2019.
Table 3.
Descriptive statistical analysis for temperature values [°C] measured in an experimental calf barn over the entire study period from 5 June to 8 August 2019.
Table 4.
Descriptive statistical analysis for relative humidity [%rH] measured in an experimental barn over the entire study period from 5 June to 8 August 2019 for sensor A, respectively, from 5 June to 10 July 2019, for sensor B due to technical issues after that date.
The statistical analyses were carried out using the statistical program R (R Core Team R: A Language and Environment for Statistical Computing 2021). We calculated 4 h mean values of the recorded barn climate parameters individually for the respective devices. This resulted in 4 h means of the recorded peak values of NH3 concentrations (stationary NH3, mobile NH3) and 4 h means of the recorded point values of temperature, relative humidity, and CO2 (Testo data logger). First, the data were visualized and analyzed for a normal distribution, and a paired t-test was performed. Because the data were non-normally distributed and not independent, we used a Wilcoxon test for paired data to compare the peak values of NH3 measurements from mobile devices with stationary devices. For this purpose, the previously generated 4 h mean peak values of all stationary NH3 sensors were combined to one mean peak value per 4 h. The same was carried out for all mobile NH3 sensors. This resulted in overall 4 h mean peak values of NH3 concentrations per sensor type.
To test for effects between peak NH3 concentrations and the other measured climate parameters, we conducted a two-way analysis of variance (ANOVA) on two linear models. For this purpose, the overall 4 h mean peak values of NH3 concentrations measured with stationary and mobile devices were used as response variables, and overall 4 h mean values of temperature, relative humidity, and CO2 concentration were used as explaining variables. To achieve better fit and an approximate normal distribution, data were log-transformed.
3. Results
3.1. NH3 Concentrations
Table 1 shows descriptive statistics of the NH3 concentrations measured by each sensor over the entire study period. Because of a technical defect, mobile sensor B4 did not generate data between 24 and 31 July, and after 3 August 2019. No other measurement gaps occurred; the other sensors recorded data continuously. Overall, the 4 h mean values of maximal NH3 concentrations measured by the mobile sensors (A4–A5, B4–B5) were slightly higher than the 4 h mean values of the maximal NH3 concentrations measured by the stationary sensors (A1–A3, B1–B3, Table 1, Figure 1) (p < 0.001). The overall means of the NH3 concentrations measured by mobile sensors were 10 ppm, whereby a large proportion (47.50–72.13%) of individual measured maximal NH3 concentrations were above the recommended limit of 10 ppm [20]. The overall means of the NH3 concentrations measured by stationary sensors were below 10 ppm, whereby the proportion (20.58–36.72%) of individual measured maximal NH3 concentrations above the recommended limit of 10 ppm was smaller than for NH3 concentrations measured by mobile sensors. The proportion of measured NH3 concentrations below 5 ppm was lower for the mobile sensors, compared to the stationary sensors (5.89–20.11%, 24.27–59.35%).
Figure 2 shows an example of the calculated 4 h mean values of NH3 concentrations over a course of 10 days. The NH3 concentrations fluctuate strongly throughout the day, and diurnal patterns are visible. NH3 values recorded by mobile sensors were slightly higher, showed higher peak values and stronger fluctuations compared to the NH3 values measured by stationary sensors.
Figure 2.
Four-hour mean values of NH3 concentrations in compartment A for mobile and stationary measuring devices over the course of ten days. Light green lines = mobile sensors A4 and A5, blue lines = stationary sensors A1 to A3, red dashed line = 10 ppm (recommended maximal NH3 value for calf barns). Indicated are the 24 h time intervals from day 30 to day 40.
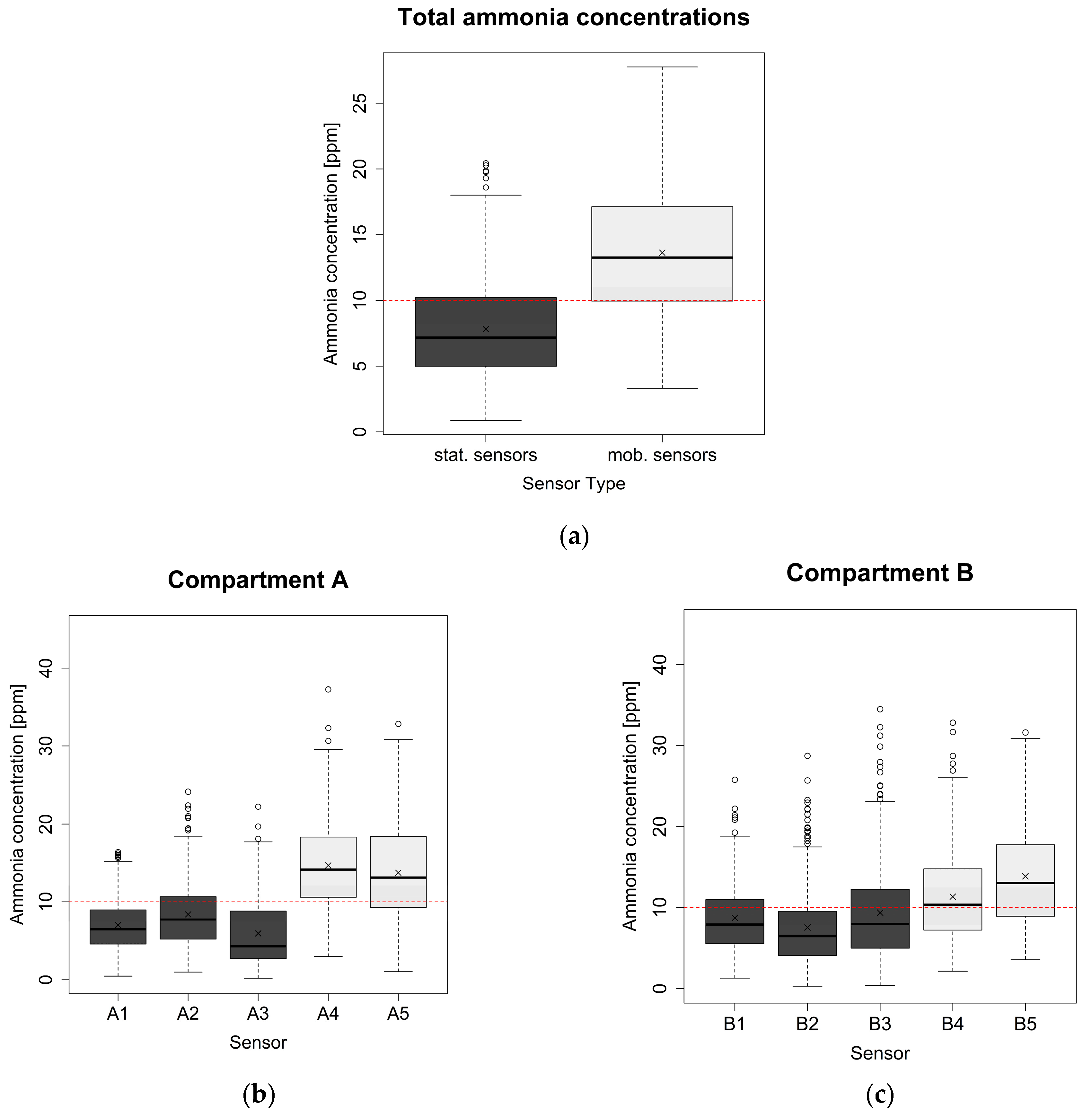
The boxplots in Figure 3 show the data distribution in the NH3 measurements per-formed with stationary and mobile devices. Measurements from mobile devices are distributed in a higher range compared to the measurements from the stationary devices. This is visible in the overall representation of measurements across all stationary and all mobile devices over the entire study period (Figure 3a), as well as in the boxplots for the individual devices and compartments (Figure 3b,c). The overall 4 h mean peak values of NH3 concentrations measured by stationary and by mobile devices were analyzed using the Wilcoxon test for paired data, and a statistically significant difference was found (W(378) = 23, p < 0.001).
Figure 3.
(a) The boxplots show all NH3 concentrations measured by stationary and mobile sensors over the entire study period in both compartments of the barn for stationary and mobile measurement devices separately (p < 0.001). (b) The boxplots show NH3 concentrations of each measuring device in compartment A (A1–A5) over the entire measurement period. (c) The boxplots show NH3 concentrations of each measuring device in compartment B (B1–B5) over the entire study period. Dark grey boxes = stationary NH3 measurement devices; light grey boxes = mobile NH3 measurement devices.
3.2. CO2 Concentrations, Temperature, and Relative Humidity
Table 2, Table 3 and Table 4 show an overview of the climate data measured by the two Testo IAQ 160 climate sensors over the entire study period. After 10 July 2019, humidity values recorded by the Testo B1 humidity sensor were permanently very high (above 90% relative humidity). Because of the high humidity over a long time, the humidity sensor corroded. The high values occurred after the barn was cleaned out on 11 July 2019. We suspect that the sensor was contaminated with splash water during this procedure. Data on relative humidity from this sensor were, therefore, classified as implausible after 10 July 2019, and were excluded from further analyses. There were slightly more data outages during measurements with Testo IAQ 160 devices (29 days), compared to the NH3 measurements (14 days). Nevertheless, plausible data could also be generated over a long time period for these three climate parameters. CO2 concentrations were generally below the recommended maximum, and only a small percentage were above 3000 ppm (Table 2). In contrast, the temperature exceeded the recommended limit of 20 °C most of the time during the summer measurement period, and very high values were recorded, with maximum temperatures of up to 34 °C (Table 3). Finally, relative humidity in the experimental barn was mostly within the recommended limits of 50–80%; however, values above and below the recommended values were observed as well (Table 4).
All three climate parameters, namely CO2 concentration, temperature, and relative humidity, showed interaction effects with NH3 concentrations. The ANOVA analysis revealed an interaction effect between the three climate parameters with NH3 concentrations measured by mobile as well as stationary devices. A significant effect was observed between the NH3 concentrations measured by the mobile sensors with the measured CO2 concentrations (F(375, 1) = 7.9, MSE = 0.16, p < 0.01), temperature values (F(375, 1) = 167.97, MSE = 3.4, p < 0.0001), and relative humidity (F(375, 1) = 77.15, MSE = 1.57, p < 0.0001) (Figure 4). For the stationary NH3 measurement devices, CO2 concentration (F(375, 1) = 55.19, MSE = 1.45, p <0.0001), temperature (F(375, 1) = 180.13.5, MSE = 4.73, p < 0.0001), and relative humidity (F(375, 1) = 156.75 MSE = 4.11, p < 0.0001) also showed significant effects on the NH3 concentration (Figure 4).
Figure 4.
The NH3 concentrations measured with the mobile and stationary devices are depicted over the entire study period from 5 June to 8 August 2019, with (a) the measured CO2 concentrations, (b) the measured temperature values, and (c) the relative humidity (after 10 July, only values from Testo A1 due to a technical defect in Testo B1). The NH3 concentrations of the mobile devices (A4, A5, B4, B5) were combined into a 4 h average and are shown in light green. The NH3 concentrations of the stationary devices (A1–A3, B1–B3) were combined into a 4 h average and are shown in blue. The other climate parameters measured with the Testo (A1, B1) were summarized to a 4 h mean value and are shown in gray. Indicated are the 24 h time intervals from day 30 to day 40.
4. Discussion
A new long-term measurement method for NH3 concentrations in micro- and macro-climatic conditions was successfully implemented in an experimental calf barn in Switzerland. To our knowledge, this is the first study where NH3 concentrations were continuously measured in the barn microclimate with mobile sensors attached directly to the calves’ heads, combined with continuous stationary measurements in the macroclimatic range. The continuous measurements provided information about typical NH3 concentrations in a barn in summer. The devices performed well under real-world farm settings. Thus, data on NH3 concentrations collected in the barn micro- and macroclimate range, as well as on CO2 concentrations, relative humidity, and temperature in the barn macroclimate, were obtained over several months in the direct surroundings of fattening calves.
To properly assess a barn’s climate, it is important to consider conditions at the microclimatic scale [26,39,48]. By performing NH3 concentration measurements with sensors attached to the calves’ heads, we first found a significant difference between measurements taken by stationary sensors and measurements taken by mobile sensors. Second, we found high variance between measurements not only in the data from mobile devices, but also for stationary devices. Therefore, we confirm the results from previous studies, where strong fluctuations in the climate of livestock and cattle barns were recorded as well. Depending on housing system, strong seasonal but also diurnal effects were observed, especially in cattle and calf housing, which were characterized by wider variations in barn climate [16,39,40]. There is evidence for the existence of microenvironments in calf barns. In a previous study it was observed that, in terms of temperature, pens may represent different microenvironments within a barn [16]. In our study, we could show that such microenvironments exist in terms of temperature, as well as for noxious gases.
Placement of the measurement devices is an important factor to accurately assess barn climate. NH3 concentrations decrease with increasing distance from the source location [26]. In the study by [26], measuring devices were installed at different distances above the floor, and it was found that NH3 concentrations decreased with increasing height in the barn. Consequently, it is important to install the measuring devices at animal level; otherwise, the barn climate might be misjudged. Therefore, in our study, we installed all measurement devices at the level of the animals’ noses, and our findings are in agreement with those of the study mentioned above. The NH3 concentrations measured by the mobile devices vary more significantly than measurements from stationary sensors. Because calves moved freely around the barn, the measurements originate from different locations and heights. However, variations were also observed in the measurements of the stationary sensors, which were installed at different locations as well. Since barn climate is variable and comes with the expectation of strong spatial fluctuations, previous studies already found that multipoint sampling and a high spatial resolution of measurement points is important [37,38]. By performing point measurements, or measurements over short time periods, the fluctuation and variability (spatial and temporal) of NH3 concentrations observed in this study likely would have gone undetected. Furthermore, our results were also in line with the findings of [48], who detected different accumulation areas, with higher gas concentrations in the microclimate range. They observed high spatial variation in noxious gases in dairy buildings. Spatial distribution of noxious gases is not uniform and is influenced by many complex factors, such as air temperature, air flow, which is affected by ventilation, building structures, and animal distribution in the building [37]. On this basis, one could expect that, depending on a calf’s location in the barn, the NH3 concentrations might vary strongly. Our measurement method covered this range, by allowing calves equipped with mobile sensors to range freely in the inside and outside areas. If only stationary sensors had been used for barn climate assessment, those fluctuations and sudden high peaks, which might be caused by such accumulation areas in the microclimate, would have been lost.
Continuous multipoint sampling, as performed in this study, can provide more realistic data on the NH3 concentrations that calves are exposed to, which are needed for decisions to improve animal welfare [37,38,39,40]. Regarding animal health, the interpretation of climate data obtained by point measurements has been shown to be challenging [32]. Nevertheless, high NH3 concentrations have been associated with respiratory health problems in cattle and calves [21,22,30,49]. The new possibility of continuous and close-proximity NH3 measurements near calves’ noses should allow for further investigation of associations between NH3 concentrations and animal health. So far, this has been difficult to achieve with methods that rely on short-term and punctual measurements of NH3 concentration in calf barns [32].
Previous studies showed that calves spend majority of their time lying down [50,51]. NH3 is primarily emitted from the floor/litter mat, where manure and urine are accumulated; therefore, we expect peak values to occur there [24,52]. We hypothesize that the high peak NH3 concentrations observed in the mobile measurements are caused by calves lying on the straw mat. A possible explanation for the high peak values would be that, during resting on the side of the measuring device, the mobile sensor was directly exposed to the litter mat where NH3 is produced. In the present study, we did not document the behavior or activity of the calves, as our primary aim was to implement the measurement method and test it for its practical application.
Furthermore, this method might be useful to investigate the effect of different management methods on air quality. It allows an accurate and simultaneous assessment of the barn climate in practice; therefore, in further investigations, the efficiency of ventilation systems might be investigated. In practice, it might, for example, allow us to determine the optimal time for litter removal, due to its ability to provide accurate climate data. Appropriate management could lead to optimizations in the barn climate and, in turn, could potentially lead to improvements in animal health. However, these questions will be further pursued in a subsequent study [53,54].
The measurement devices themselves are a limiting factor in many barn climate studies. It is difficult to find suitable measuring devices that can withstand the rough conditions in a calf barn. Among other things, major challenges for the sensor itself include the presence of high humidity, noxious gases, and dust production in the barn. Furthermore, the devices have to withstand rough conditions consecutive to animal contact, which can cause strong forces that cause damage to the sensors. In fact, sensors often corrode under normal barn climate conditions because of moisture and condensation [37]. Another negative effect is sensor drift, which might create measurement errors. A variety of factors can cause sensor drift; the environment of the sensor is important, but correct handling should also be considered [45]. To avoid measurement errors by sensor drift, the devices were regularly calibrated and used according to the manufacturer’s instructions. According to the manufacturers and external test reports, the electrochemical sensors used are specifically designed for the conditions in animal barns [37,46,47,55]. The manufacturer of the Dräger sensors indicates a two-year sensor durability [47]. For the Testo data loggers, annual inspection by the manufacturer is recommended, and no information is available for sensor durability. Some of the measurement devices used in this study are commercially available. The mobile NH3 sensor is not available, as it was a prototype and was only produced on a small scale; as such, it is currently not for commercial use.
Based on previous studies, we expected accumulation of NH3 in the microclimate; however, the magnitude of the observed peak NH3 concentrations was unexpected. NH3 concentrations measured in previous studies during different seasons in cattle and calf barns exceeded the recommended values of up to 20 ppm [48] and 25 ppm [32], but overall average NH3 concentrations were below the recommended limit value of 10 ppm [32,48]. In this study the average NH3 concentrations measured by mobile sensors was above 10 ppm; additionally, a significant portion of both stationary and mobile sensor measurements exceeded 10 ppm. Neither of the previous studies employed long-term microclimate measurements. Nevertheless, it has been suggested that high NH3 concentrations in combination with other non-optimal environmental conditions can be negatively associated with animal health [16,27,30]. NH3 concentrations of 5 ppm in combination with air pollutants resulted in increased damage to the upper respiratory tract in pigs [49]. Another study on pigs concluded that the maximal NH3 concentration tolerated in the air of pig housing systems is 9 ppm [56]. For calves, a recent study showed that exposition to low NH3 concentrations (>4 ppm) might contribute to the severity of respiratory diseases. Indeed, they observed a link between exposure to concentrations above 4 ppm and pneumonia in calves. Furthermore, they highlighted that combined measuring of barn climate parameters, such as NH3, temperature, and relative humidity, might provide important information on climatic clusters and the complex interaction between indoor climate and respiratory disease, which was supported by the evidence of the different climate clusters found in their study [12].
The results of the present study showed that all measured climate parameters, i.e., temperature, relative humidity, and concentrations of noxious gases, exceeded the recommended values for calf barns [20] during summer months, in some cases by large extents. High indoor air temperatures are a known problem in mechanically ventilated calf housing systems, where ventilation cannot cope with variable climate conditions over time [39]. In the present study, the overall mean value of air temperature was above 20° C in both compartments, thus constantly exceeding the recommended optimal range [20]. The high temperatures observed during the study period likely caused heat stress and negative effects on the fattened calves during the study period. Heat stress has been shown to change behavior and negatively affect feed intake and growth performance (average daily weight gain) in calves and heifers [57,58,59]. However, neither the behavior of the animals nor the daily weight gains were examined in this context in the present study. The overall mean relative humidity was above 70% and might have further contributed to heat stress. In combination with temperatures above 20 °C, the relative humidity should be between 40% and 70% [27]. Most CO2 concentrations remained below the recommended maximal values, although values largely in excess of the recommended value of 3000 ppm were also measured here (up to 5000 ppm, which was the upper measuring limit of the device). CO2 serves as an indicator for the assessment of air quality and ventilation in housing systems. If enough fresh air is delivered, inside CO2 concentrations should be comparable to the concentrations found in outside/fresh air conditions (about 380 ppm). CO2 is produced by the respiration of animals and manure decomposition [60,61,62]. The high observed CO2 concentrations, while not fatal, might have negative effects on calf welfare and performance. High concentrations of CO2 can decrease appetite; consequently, reduced daily weight gain might occur [22,63].
Values of barn climate parameters above or below the recommended thresholds are known to have a negative impact on animal health, and highly fluctuating environmental conditions also have an impact. Large fluctuations in temperature or relative humidity cause thermic stress and, thus, can have a negative impact on animal health. Consequently, this likely leads to increased mortality and morbidity rates and indirectly causes economic loss through lower daily gains and long-term survival [11]. In the analyses, positive correlations between NH3 concentrations measured by mobile or stationary devices and measured values of CO2 concentrations, temperature, and relative humidity were observed. Correlations of NH3 concentration with temperature and relative humidity have been described in previous studies.
Previous studies reported positive associations between NH3 concentration and both, indoor air temperature and relative humidity in various livestock barns, including cow barns [64] and free-stall dairy barns during different seasons [65]. Some studies reported weak correlations for point measurements of NH3 and other climate parameters, like CO2, temperature, and humidity, over different seasons [32]. Our findings align with these observations regarding CO2 concentrations. Air temperature and humidity significantly influence NH3 concentration. Our results are consistent with previous studies on diverse farm animals, such as poultry [31,38,66], sheep [26,38], pigs [40], and cattle [39,40,48,53], whereas data on calf housing are limited and, in recent studies, no such correlations could be found [12,32]. NH3 is released by the decomposition of urine and feces. CO2 release is dependent on the same decomposition process. Microorganism activity increases with increasing temperature, which might explain the positive correlations observed in our study [24,37]. Significant correlations between air temperature, relative humidity, and NH3 concentrations were not found in calf fattening barns in a recent study [12]. That study included a single sampling point at the feeding stand for continuous measurements of NH3 concentration and a measurement period of 24 h. Furthermore, punctual one-time measurements were performed. Nevertheless, the importance of combined climate monitoring to obtain relevant data on correlations with calf health was pointed out. We agree, and our results support the concept that monitoring different climate parameters is important to understand the complex interactions of barn climate and its correlations with calf health [12]. Continuous measurement methods over several weeks as used in the present study were not performed in any of the mentioned studies. Our study was conducted in one single calf fattening barn; therefore, the external validity of the findings is limited. It will be important to conduct further studies in different types of calf housing. A standardized measurement method, for example using comparable measurement devices, defined sampling intervals, and comparable measurement locations (animal level, within the compartment, directly at animals nose), may be used to confirm the observations of this study and to identify further factors that might potentially be associated with NH3 concentrations and other barn climate parameters.
5. Conclusions
This study implemented a measurement method with mobile NH3 sensors to measure NH3 concentrations in the microclimate near calves’ heads. Our findings demonstrate that NH3 concentrations tested with mobile sensors significantly differ from those measured by stationary sensors. Mobile sensors measured higher peak values and stronger fluctuations. The new measurement method with mobile NH3 sensors implemented in this study has the potential to improve future research on barn climate parameters in the microclimate range. Multipoint sampling with stationary sensors and continuous short-term measurements in the macroclimatic range did not show associations of climate parameters, such as air temperature, relative humidity, or NH3 concentrations with animal health indicators [32]. Long-term measurement of NH3 in the respiration area of the animals appears promising as a basis for management decisions on the farm. Long-term continuous measurements of other climate parameters than NH3 concentrations might be interesting for further research as well.
Supplementary Materials
The following supporting information can be downloaded at: https://www.mdpi.com/article/10.3390/ani14132001/s1, Figure S1: Description DrägerSensor; File S1: R-Code Statistical Analysis.
Author Contributions
Conceptualization, J.M. and S.K.; methodology, J.M. and S.K.; formal analysis, J.M. and J.H.; investigation, J.M.; writing—original draft preparation, J.M.; writing—review and editing, S.K., M.M. and G.S.-R.; supervision, S.K., M.M. and G.S.-R.; funding acquisition, S.K. and G.S.-R. All authors have read and agreed to the published version of the manuscript.
Funding
This research was funded by the Swiss Federal Food Safety and Veterinary Office, project number 1.17.07AB.
Institutional Review Board Statement
All procedures were carried out in accordance with the Swiss Federal Food Safety and Veterinary Office guidelines (Animal Protection Act, Animal Protection Ordinance). Approval number 30333; AG75717.
Informed Consent Statement
Not applicable.
Data Availability Statement
The data/models were deposited in an official repository. The data presented in this study are available on request from the corresponding author.
Acknowledgments
We thank the experimental farm of UFA-Bühl in Hendschiken, AG, for providing us with their calf fattening barn, and Stefan Streit and Xaver Müller for the technical support on-site. Thanks to Drägerwerk AG & Co. KGaA Lübeck, Germany for providing us with their measuring equipment.
Conflicts of Interest
The authors declare that they have no conflicts of interest. The project was part of project 1.17.07AB of the Swiss Federal Food Safety and Veterinary Office.
References
- Caja, G.; Castro-Costa, A.; Knight, C.H. Engineering to Support Wellbeing of Dairy Animals. J. Dairy Res. 2016, 83, 136–147. [Google Scholar] [CrossRef] [PubMed]
- Alsaaod, M.; Fadul, M.; Steiner, A. Automatic Lameness Detection in Cattle. Vet. J. 2019, 246, 35–44. [Google Scholar] [CrossRef] [PubMed]
- Vandermeulen, J.; Bahr, C.; Johnston, D.; Earley, B.; Tullo, E.; Fontana, I.; Guarino, M.; Exadaktylos, V.; Berckmans, D. Early Recognition of Bovine Respiratory Disease in Calves Using Automated Continuous Monitoring of Cough Sounds. Comput. Electron. Agric. 2016, 129, 15–26. [Google Scholar] [CrossRef] [PubMed]
- Silva, F.G.; Conceição, C.; Pereira, A.M.F.; Cerqueira, J.L.; Silva, S.R. Literature Review on Technological Applications to Monitor and Evaluate Calves’ Health and Welfare. Animals 2023, 13, 1148. [Google Scholar] [CrossRef] [PubMed]
- Costantino, A.; Fabrizio, E.; Calvet, S. The Role of Climate Control in Monogastric Animal Farming: The Effects on Animal Welfare, Air Emissions, Productivity, Health, and Energy Use. Appl. Sci. 2021, 11, 9549. [Google Scholar] [CrossRef]
- Busato, A.; Steiner, L.; Martin, S.W.; Shoukri, M.M.; Gaillard, C. Calf Health in Cow-Calf Herds in Switzerland. Prev. Vet. Med. 1997, 30, 9–22. [Google Scholar] [CrossRef] [PubMed]
- Pardon, B.; Hostens, M.; Duchateau, L.; Dewulf, J.; Bleecker, K.; Deprez, P. Impact of Respiratory Disease, Diarrhea, Otitis and Arthritis on Mortality and Carcass Traits in White Veal Calves. BMC Vet. Res. 2013, 9, 79. [Google Scholar] [CrossRef] [PubMed]
- Van der Fels-Klerx, H.J.; Horst, H.S.; Dijkhuizen, A.A. Risk Factors for Bovine Respiratory Disease in Dairy Youngstock in The Netherlands: The Perception of Experts. Livest. Prod. Sci. 2000, 66, 35–46. [Google Scholar] [CrossRef]
- Kaske, M.; Kunz, H.-J. Gesundheits- Und Haltungsmanagement in Der Kälberaufzucht. Nutztierpraxis Aktuell. 2007, 20, 12–19. [Google Scholar]
- Bähler, C.; Steiner, A.; Luginbühl, A.; Ewy, A.; Posthaus, H.; Strabel, D.; Kaufmann, T.; Regula, G. Risk Factors for Death and Unwanted Early Slaughter in Swiss Veal Calves Kept at a Specific Animal Welfare Standard. Res. Vet. Sci. 2012, 92, 162–168. [Google Scholar] [CrossRef]
- Roland, L.; Drillich, M.; Klein-Jöbstl, D.; Iwersen, M. Invited Review: Influence of Climatic Conditions on the Development, Performance, and Health of Calves. J. Dairy Sci. 2016, 99, 2438–2452. [Google Scholar] [CrossRef] [PubMed]
- Van Leenen, K.; Jouret, J.; Demeyer, P.; Van Driessche, L.; Cremer, L.; Masmeijer, C.; Boyen, F.; Deprez, P.; Pardon, B. Associations of Barn Air Quality Parameters with Ultrasonographic Lung Lesions, Airway Inflammation and Infection in Group-Housed Calves. Prev. Vet. Med. 2020, 181, 105056. [Google Scholar] [CrossRef]
- Van Putten, G. An Ethological Definition of Animal Welfare with Special Emphasis on Pig Behaviour. In Proceedings of the Second NAHWOA Workshop; Hovi, M., Garcia Trujillo, R., Eds.; University of Reading: Cordoba, Spain, 2000. [Google Scholar]
- Hämeenoja, P. Animal Health and Welfare—Pig Production. Acta Vet. Scand. 2001, 95, 33–36. [Google Scholar] [CrossRef]
- Hillman, P.; Gebremedhin, K.; Warner, R. Ventilation System to Minimize Airborne Bacteria, Dust, Humidity, and Ammonia in Calf Nurseries. J. Dairy Sci. 1992, 75, 1305–1312. [Google Scholar] [CrossRef]
- Lago, A.; McGuirk, S.M.; Bennett, T.B.; Cook, N.B.; Nordlund, K.V. Calf Respiratory Disease and Pen Microenvironments in Naturally Ventilated Calf Barns in Winter. J. Dairy Sci. 2006, 89, 4014–4025. [Google Scholar] [CrossRef] [PubMed]
- Van Caenegem, L. Kälber Brauchen Aussenlufqualität; ART-Berichte; Forschungsantalt Agroscope Reckenholz-Tänikon ART: Ettenhausen, Switzerland, 2006. [Google Scholar]
- Caroprese, M. Sheep Housing and Welfare. Small Rumin. Res. 2008, 76, 21–25. [Google Scholar] [CrossRef]
- Cusack, P.M.V.; McMeniman, N.P.; Lean, I.J. Feedlot Entry Characteristics and Climate: Their Relationship with Cattle Growth Rate, Bovine Respiratory Disease and Mortality. Aust. Vet. J. 2007, 85, 311–316. [Google Scholar] [CrossRef]
- Bundesamt für Lebensmittelsicherheit und Veterinärwesen BLV. Fachinformation Tierschutz Stallklimawerte und Ihre Messung in der Rinderhaltung; Bundesamt für Lebensmittelsicherheit und Veterinärwesen BLV: Bern, Switzerland, 2009; Volume 2009.
- Seedorf, J. Wirkung von Atmosphärischem Ammoniak Auf Nutztiere–Eine Kurzübersicht. Impact of Atmospheric Ammonia on Livestock Animals–a Minireview. Berl. Münch. Tierärztl. Wschr. 2013, 126, 96–103. [Google Scholar] [CrossRef]
- Callan, R.J.; Garry, F.B. Biosecurity and Bovine Respiratory Disease. Vet. Clin. N. Am. Food Anim. Pract. 2002, 18, 57–77. [Google Scholar] [CrossRef]
- Zachary, J.F.; McGavin, M.D. Pathologic Basis of Veterinary Disease, 5th ed.; Mosby: St. Louis, MO, USA, 2011; ISBN 0-323-07533-9. [Google Scholar]
- Atta, A. Ammonia Emissions and Safety; Practical Information for Alberta’s Agriculture Industrie; Agriculture, Food and Rural Development: Edmonton, AB, Canada, 2006; p. 2. [Google Scholar]
- Sevi, A.; Albenzio, M.; Muscio, A.; Casamassima, D.; Centoducati, P. Effects of Litter Management on Airborne Particulates in Sheep Houses and on the Yield and Quality of Ewe Milk. Livest. Prod. Sci. 2003, 81, 1–9. [Google Scholar] [CrossRef]
- García-Ramos, F.J.; Aguirre, A.J.; Barreiro, P.; Horcas, E.; Boné, A.; Vidal, M. Applicability of Ammonia Sensors for Controlling Environmental Parameters in Accommodations for Lamb Fattening. J. Sens. 2018, 2018, 4032043. [Google Scholar] [CrossRef]
- International Commission of Agricultural Engineering. Report of Working Group on Climatization of Animal Houses; International Commission of Agricultural Engineering: Liege, Belgium, 1984. [Google Scholar]
- International Commission of Agricultural Engineering. Design Recommendations of Beef Cattle Housing; International Commission of Agricultural Engineering: Liege, Belgium, 2004. [Google Scholar]
- Wenke, C.; Pospiech, J.; Reutter, T.; Altmann, B.; Truyen, U.; Speck, S. Impact of Different Supply Air and Recirculating Air Filtration Systems on Stable Climate, Animal Health, and Performance of Fattening Pigs in a Commercial Pig Farm. PLoS ONE 2018, 13, e0194641. [Google Scholar] [CrossRef] [PubMed]
- Schnyder, P.; Schönecker, L.; Schüpbach-Regula, G.; Meylan, M. Effects of Management Practices, Animal Transport and Barn Climate on Animal Health and Antimicrobial Use in Swiss Veal Calf Operations. Prev. Vet. Med. 2019, 167, 146–157. [Google Scholar] [CrossRef] [PubMed]
- Zheng, W.; Xiong, Y.; Gates, R.S.; Wang, Y.; Koelkebeck, K.W. Air Temperature, Carbon Dioxide, and Ammonia Assessment inside a Commercial Cage Layer Barn with Manure-Drying Tunnels. Poult. Sci. 2020, 99, 3885–3896. [Google Scholar] [CrossRef] [PubMed]
- Weber, C.; Bucher-Schnyder, P.; Schönecker, L.; Stucki, D.; Meylan, M. Evaluation of associations between barn characteristics, results of barn climate parameter measurements and health indicators in Swiss veal calf herds. Schweiz Arch Tierheilkd 2022, 164, 249–264. [Google Scholar] [CrossRef] [PubMed]
- Leytem, A.B.; Dungan, R.S.; Bjorneberg, D.L.; Koehn, A.C. Emissions of Ammonia, Methane, Carbon Dioxide, and Nitrous Oxide from Dairy Cattle Housing and Manure Management Systems. J. Environ. Qual. 2011, 40, 1383–1394. [Google Scholar] [CrossRef] [PubMed]
- Camiloti, T.V.; Fregonesi, J.A.; Keyserlingk, M.A.G.; Weary, D.M. Short Communication: Effects of Bedding Quality on the Lying Behavior of Dairy Calves. J. Dairy Sci. 2012, 95, 3380–3383. [Google Scholar] [CrossRef] [PubMed]
- Hill, T.M.; Bateman, H.G., II; Aldrich, J.M.; Quigley, J.D.; Schlotterbeck, R.L. Short Communication: Intensive Measurements of Standing Time of Dairy Calves Housed in Individual Pens within a Naturally Ventilated, Unheated Nursery over Different Periods of the Year. J. Dairy Sci. 2013, 96, 1811–1814. [Google Scholar] [CrossRef]
- Pedersen, S.V.; Di Perta, E.S.; Hafner, S.D.; Pacholski, A.S.; Sommer, S.G. Evaluation of a Simple, Small-Plot Meteorological Technique for Measurement of Ammonia Emission: Feasibility, Costs, and Recommendations. Trans. ASABE 2018, 61, 103–115. [Google Scholar] [CrossRef]
- Ni, J.-Q.; Heber, A.J. Sampling and Measurement of Ammonia at Animal Facilities. Adv. Agron. 2008, 98, 201–269. [Google Scholar] [CrossRef]
- Zhang, Y.; Lisle, A.T.; Phillips, C.J.C. Development of an Effective Sampling Strategy for Ammonia, Temperature and Relative Humidity Measurement during Sheep Transport by Ship. Biosyst. Eng. 2017, 155, 12–23. [Google Scholar] [CrossRef]
- Seedorf, J.; Hartung, J.; Schröder, M.; Linkert, K.H.; Pedersen, S.; Takai, H.; Johnsen, J.O.; Metz, J.H.M.; Groot Koerkamp, P.W.G.; Uenk, G.H.; et al. Temperature and Moisture Conditions in Livestock Buildings in Northern Europe. J. Agric. Eng. Res. 1998, 70, 49–57. [Google Scholar] [CrossRef]
- Seedorf, J.; Hartung, J. Survey of Ammonia Concentrations in Livestock Buildings. J. Agric. Sci. 1999, 133, 433–437. [Google Scholar] [CrossRef]
- Schüller, L.K.; Heuwieser, W. Measurement of Heat Stress Conditions at Cow Level and Comparison to Climate Conditions at Stationary Locations inside a Dairy Barn. J. Dairy Res. 2016, 83, 305–311. [Google Scholar] [CrossRef]
- Louie, A.P.; Rowe, J.D.; Love, W.J.; Lehenbauer, T.W.; Aly, S.S. Effect of the Environment on the Risk of Respiratory Disease in Preweaning Dairy Calves during Summer Months. J. Dairy Sci. 2018, 101, 10230–10247. [Google Scholar] [CrossRef]
- GoogleMaps. Ufa AG Versuchsbetrieb. Available online: https://www.google.com/maps/place/Ufa+AG/@47.3784444,8.207364,17z/data=!3m1!4b1!4m5!3m4!1s0x4790168f2ac7c10b:0x40e5c8c62547dcdf!8m2!3d47.3784408!4d8.2095527 (accessed on 30 November 2021).
- Coop Naturafarm. Richtline Coop Naturafarm Kalb; Coop Naturafarm: Basel, Switzerland, 2015. [Google Scholar]
- Von Jasmund, N.; Schmithausen, A.J.; Krommweh, M.S.; Trimborn, M.; Boeker, P.; Büscher, W. Assessment of Ammonia Sensors and Photoacoustic Measurement Systems Using a Gas Calibration Unit. Comput. Electron. Agric. 2022, 194, 106744. [Google Scholar] [CrossRef]
- Melse, R.W.; Ploegaert, J.P.M.; Ogink, N.W.M. Laboratory Test of Draeger Polytron 8000 with FL-6813260 Sensor for NH3 Measurement; Wageningen UR Livestock Research: Wageningen, The Netherlands, 2016; p. 31. [Google Scholar] [CrossRef]
- Nauber, A.; Sick, M.; Steiner, G.; Mattern-Frühwald, M.-I.; Mett, F.; Chrzan, R.; Sommer, S. Electrochemical Gas Sensor, Liquid Electrolyte and Use of a Liquid Electrolyte. European Patent EP 3,044,576 B1, 20 July 2016. [Google Scholar]
- Teye, F.K.; Hautala, M.; Pastell, M.; Praks, J.; Veermäe, I.; Poikalainen, V.; Pajumägi, A.; Kivinen, T.; Ahokas, J. Microclimate and Ventilation in Estonian and Finnish Dairy Buildings. Energy Build. 2008, 40, 1194–1201. [Google Scholar] [CrossRef]
- Hamilton, T.D.; Roe, J.M.; Webster, A.J. Synergistic Role of Gaseous Ammonia in Etiology of Pasteurella Multocida-Induced Atrophic Rhinitis in Swine. J. Clin. Microbiol. 1996, 34, 2185–2190. [Google Scholar] [CrossRef] [PubMed]
- Albright, J.L.; Stouffer, D.K.; Kenyon, N.J. Behaviour of Veal Calves in Individual Stalls and Group Pens. In New Trends in Veal Calf Production; Metz, J.H.M., Groenestein, C.M., Eds.; PUDOC: Wageningen, The Netherlands, 1991; Volume 52, pp. 44–48. [Google Scholar]
- Le Neidre, P. Effects of Breed and Early Social Environment on Calf Behaviour; Metz, J.H.M., Groenestein, C.M., Eds.; Pudoc Wageningen: Waegeningen, The Netherlands, 1991; Volume 52, pp. 32–35. [Google Scholar]
- Jungbluth, T.; Hartung, E.; Brose, G. Greenhouse Gas Emissions from Animal Houses and Manure Stores. Nutr. Cycl. Agroecosyst. 2001, 60, 133–145. [Google Scholar] [CrossRef]
- Kaufman, J.; Linington, M.; Osborne, V.R.; Wagner-Riddle, C.; Wright, T.C. Short Communication: Field Study of Air Ammonia Concentrations in Ontario Dairy Calf Housing Microenvironments. Can. J. Anim. Sci. 2015, 95, 539–542. [Google Scholar] [CrossRef]
- Bonizzi, S.; Gislon, G.; Brasca, M.; Morandi, S.; Sandrucci, A.; Zucali, M. Air Quality, Management Practices and Calf Health in Italian Dairy Cattle Farms. Animals 2022, 12, 2286. [Google Scholar] [CrossRef] [PubMed]
- Frosch, W.; Bachmann, K. Forschungsbericht Agrartechnik: Verfahrenstechnische Bewertungen Physikalisch-Chemischer Messprinzipien Zur Ammoniakquantifizierung in Stallanlagen Der Landwirtschaftlichen Nutztierhaltung Im Rahmen Des Projekts Zur „Modifizierung von Regeleingangsgrößen in Zwangsbelüfteten Anlagen Der Tierproduktion“; Bundesanstalt für Landwirtschaft und Ernhährung: Bonn, Germany, 2016. [Google Scholar]
- Urbain, B.; Gustin, P.; Charlier, G.; Coignoul, F.; Lambotte, J.L.; Grignon, G.; Foliguet, B.; Vidic, B.; Beerens, D.; Prouvost, J.F.; et al. A Morphometric and Functional Study of the Toxicity of Atmospheric Ammonia in the Extrathoracic Airways in Pigs. Vet. Res. Commun. 1996, 20, 381–399. [Google Scholar] [CrossRef] [PubMed]
- Broucek, J.; Kisac, P.; Uhrincat, M. Effect of Hot Temperatures on the Hematological Parameters, Health and Performance of Calves. Int. J. Biometeorol. 2009, 53, 201–208. [Google Scholar] [CrossRef] [PubMed]
- Bakony, M.; Jurkovich, V. Heat Stress in Dairy Calves from Birth to Weaning. J. Dairy Res. 2020, 87, 53–59. [Google Scholar] [CrossRef] [PubMed]
- Wang, J.; Li, J.; Wang, F.; Xiao, J.; Wang, Y.; Yang, H.; Li, S.; Cao, Z. Heat Stress on Calves and Heifers: A Review. J. Anim. Sci. Biotechnol. 2020, 11, 79. [Google Scholar] [CrossRef] [PubMed]
- Prill, R. Why Measure Carbon Dioxide Inside Buildings? Extension Energy Program; Washington State University: Washington, DC, USA, 2000. [Google Scholar]
- Sousa, P.; Pedersen, S. Ammonia Emission from Fattening Pig Houses in Relation to Animal Activity and Carbon Dioxide Production. Agric. Eng. Int. CIGR J. 2004, 6, 1–13. [Google Scholar]
- European Food Safety Authority. Scientific Report on the Effects of Farming Systems on Dairy Cow Welfare and Disease. EFSA J. 2009, 7, 1143r. [Google Scholar] [CrossRef] [PubMed]
- ASABE. Manure Storage Safety; American Society of Agricultural and Biological Engineers: St. Joseph, MI, USA, 2011. [Google Scholar]
- Vtoryi, V.; Vtoryi, S.; Ylyin, R. Ammonia Concentration in Cow Barn under Limited Air Exchange. In Proceedings of the 18th International Scientific Conference Engineering for Rural Development, Jelgava, Latvia, 22–24 May 2019; pp. 1593–1598. [Google Scholar]
- Herbut, P.; Angrecka, S. Ammonia Concentrations in a Free-Stall Dairy Barn. Ann. Anim. Sci. 2014, 14, 153–166. [Google Scholar] [CrossRef]
- Weaver, W.D.; Meijerhof, R. The Effect of Different Levels of Relative Humidity and Air Movement on Litter Conditions, Ammonia Levels, Growth, and Carcass Quality for Broiler Chickens. Poult. Sci. 1991, 70, 746–755. [Google Scholar] [CrossRef]
Disclaimer/Publisher’s Note: The statements, opinions and data contained in all publications are solely those of the individual author(s) and contributor(s) and not of MDPI and/or the editor(s). MDPI and/or the editor(s) disclaim responsibility for any injury to people or property resulting from any ideas, methods, instructions or products referred to in the content. |
© 2024 by the authors. Licensee MDPI, Basel, Switzerland. This article is an open access article distributed under the terms and conditions of the Creative Commons Attribution (CC BY) license (https://creativecommons.org/licenses/by/4.0/).



