Classification of Behaviour in Conventional and Slow-Growing Strains of Broiler Chickens Using Tri-Axial Accelerometers
Abstract
Simple Summary
Abstract
1. Introduction
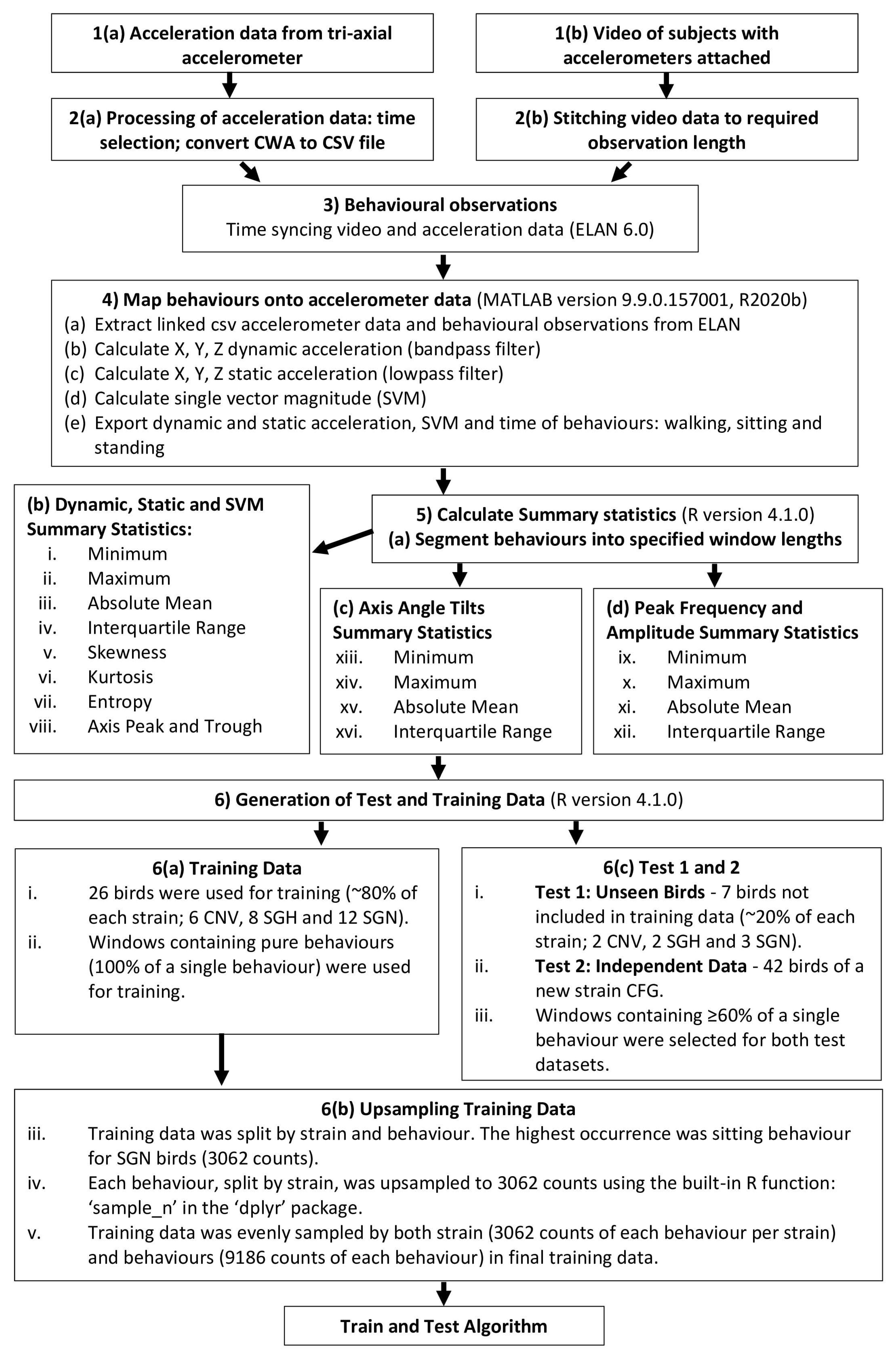
2. Materials and Methods
2.1. Subjects, Housing and Husbandry
2.2. Data Recording
2.3. Behaviour Description and Labelling
2.4. Statistical Summary of Datasets Used for Modelling Development
2.5. Accelerometer Feature Engineering
2.5.1. Window Length with Overlap
2.5.2. Accelerometer Attributes
2.6. Training and Testing Datasets
2.7. Behaviour Classification Using Random Forest Models
2.7.1. Attribute Information Gain
2.7.2. Classification Algorithm and Validation
2.7.3. Model Testing
3. Results
3.1. Attribute Information Gain
3.2. Model Training
3.3. Model Testing
3.3.1. Test 1: Unseen Birds
3.3.2. Test 2: Independent Test Data
4. Discussion
5. Conclusions
Author Contributions
Funding
Institutional Review Board Statement
Informed Consent Statement
Data Availability Statement
Acknowledgments
Conflicts of Interest
References
- Martins, C.I.M.; Galhardo, L.; Noble, C.; Damsgård, B.; Spedicato, M.T.; Zupa, W.; Beauchaud, M.; Kulczykowska, E.; Massabuau, J.-C.; Carter, T.; et al. Behavioural indicators of welfare in farmed fish. Fish Physiol. Biochem. 2012, 38, 17–41. [Google Scholar] [CrossRef] [PubMed]
- Nicol, C.J.; Caplen, G.; Edgar, J.; Browne, W.J. Associations between welfare indicators and environmental choice in laying hens. Anim. Behav. 2009, 78, 413–424. [Google Scholar] [CrossRef]
- Muri, K.; Stubsjøen, S.M.; Vasdal, G.; Moe, R.O.; Granquist, E.G. Associations between qualitative behaviour assessments and measures of leg health, fear and mortality in Norwegian broiler chicken flocks. Appl. Anim. Behav. Sci. 2019, 211, 47–53. [Google Scholar] [CrossRef]
- Duncan, I.J.H. Behavior and Behavioral Needs. Poult. Sci. 1998, 77, 1766–1772. Available online: http://www.scopus.com/inward/record.url?eid=2-s2.0-0032254095&partnerID=40&md5=4a28b32db887b9d6fd10f150864c9d3d (accessed on 21 June 2024). [CrossRef] [PubMed]
- Granquist, E.G.; Vasdal, G.; de Jong, I.C.; Moe, R.O. Lameness and its relationship with health and production measures in broiler chickens. Animal 2019, 13, 2365–2372. [Google Scholar] [CrossRef] [PubMed]
- Aydin, A. Using 3D vision camera system to automatically assess the level of inactivity in broiler chickens. Comput. Electron. Agric. 2017, 135, 4–10. [Google Scholar] [CrossRef]
- Dawkins, M.S. Behaviour as a tool in the assessment of animal welfare. Zoology 2003, 106, 383–387. [Google Scholar] [CrossRef] [PubMed]
- Weary, D.M.; Huzzey, J.M.; von Keyserlingk, M.A.G. Board-Invited Review: Using behavior to predict and identify ill health in animals. J. Anim. Sci. 2009, 87, 770–777. [Google Scholar] [CrossRef] [PubMed]
- Broom, D.M. Behaviour and welfare in relation to pathology. Appl. Anim. Behav. Sci. 2006, 97, 73–83. [Google Scholar] [CrossRef]
- Barnard, C. Ethical regulation and animal science: Why animal behaviour is special. Anim. Behav. 2007, 74, 5–13. [Google Scholar] [CrossRef]
- Neethirajan, S. Artificial Intelligence and Sensor Innovations: Enhancing Livestock Welfare with a Human-Centric Approach. Hum.-Centric Intell. Syst. 2023, 4, 77–92. [Google Scholar] [CrossRef]
- Zhang, L.; Guo, W.; Lv, C.; Guo, M.; Yang, M.; Fu, Q.; Liu, X. Advancements in artificial intelligence technology for improving animal welfare: Current applications and research progress. Anim. Res. One Health 2024, 2, 93–109. [Google Scholar] [CrossRef]
- Astill, J.; Dara, R.A.; Fraser, E.D.; Roberts, B.; Sharif, S. Smart poultry management: Smart sensors, big data, and the internet of things. Comput. Electron. Agric. 2020, 170, 105291. [Google Scholar] [CrossRef]
- Keeling, L.; Tunón, H.; Antillón, G.O.; Berg, C.; Jones, M.; Stuardo, L.; Swanson, J.; Wallenbeck, A.; Winckler, C.; Blokhuis, H. Animal Welfare and the United Nations Sustainable Development Goals. Front. Veter-Sci. 2019, 6, 336. [Google Scholar] [CrossRef] [PubMed]
- United Nations. THE 17 GOALS. Available online: https://sdgs.un.org/goals (accessed on 21 June 2024).
- Garcia Pinillos, R.; Appleby, M.C.; Manteca, X.; Scott-Park, F.; Smith, C.; Velarde, A. One Welfare—A platform for improving human and animal welfare. Vet. Rec. 2016, 179, 412–413. [Google Scholar] [CrossRef] [PubMed]
- Aydin, A.; Cangar, O.; Ozcan, S.E.; Bahr, C.; Berckmans, D. Application of a fully automatic analysis tool to assess the activity of broiler chickens with different gait scores. Comput. Electron. Agric. 2010, 73, 194–199. [Google Scholar] [CrossRef]
- Neves, D.P.; Mehdizadeh, S.A.; Tscharke, M.; de Alencar Nääs, I.; Banhazi, T.M. Detection of flock movement and behaviour of broiler chickens at different feeders using image analysis. Inf. Process. Agric. 2015, 2, 177–182. [Google Scholar] [CrossRef]
- Pereira, D.F.; Miyamoto, B.C.; Maia, G.D.; Sales, G.T.; Magalhães, M.M.; Gates, R.S. Machine vision to identify broiler breeder behavior. Comput. Electron. Agric. 2013, 99, 194–199. [Google Scholar] [CrossRef]
- Yang, X.; Huo, X.; Li, G.; Purswell, J.L.; Tabler, G.T.; Chesser, G.D.; Magee, C.L.; Zhao, Y., Jr. Effects of Elevated Platform and Robotic Vehicle on Broiler Production, Welfare, and Housing Environment. Trans. ASABE 2020, 63, 1981–1990. [Google Scholar] [CrossRef]
- Fernández, A.P.; Norton, T.; Tullo, E.; van Hertem, T.; Youssef, A.; Exadaktylos, V.; Vranken, E.; Guarino, M.; Berckmans, D. Real-time monitoring of broiler flock’s welfare status using camera-based technology. Biosyst. Eng. 2018, 173, 103–114. [Google Scholar] [CrossRef]
- Neethirajan, S. ChickTrack—A quantitative tracking tool for measuring chicken activity. Measurement 2022, 191, 110819. [Google Scholar] [CrossRef]
- Li, G.; Zhao, Y.; Purswell, J.L.; Du, Q.; Chesser, G.D.; Lowe, J.W. Analysis of feeding and drinking behaviors of group-reared broilers via image processing. Comput. Electron. Agric. 2020, 175, 105596. [Google Scholar] [CrossRef]
- Nakarmi, A.D.; Tang, L.; Xin, H. Automated Tracking and Behavior Quantification of Laying Hens Using 3D Computer Vision and Radio Frequency Identification Technologies. Trans. ASABE 2014, 1455–1472. [Google Scholar] [CrossRef]
- Taylor, P.S.; Hemsworth, P.H.; Groves, P.J.; Gebhardt-Henrich, S.G.; Rault, J.-L. Ranging Behaviour of Commercial Free-Range Broiler Chickens 1: Factors Related to Flock Variability. Animals 2017, 7, 54. [Google Scholar] [CrossRef] [PubMed]
- van der Sluis, M. The Chicken and the Tag Automated Individual-Level Activity Tracking and the Relationships Between Activity, Body Weight and Leg Health in Broilers. Doctoral Dissertation, Wageningen University and Research, Wageningen, The Netherlands, 2022. [Google Scholar]
- van der Sluis, M.; de Klerk, B.; Ellen, E.D.; de Haas, Y.; Hijink, T.; Rodenburg, T.B. Validation of an Ultra-Wideband Tracking System for Recording Individual Levels of Activity in Broilers. Animals 2019, 9, 580. [Google Scholar] [CrossRef]
- Baxter, M.; O’connell, N.E. Large variation in the movement of individual broiler chickens tracked in a commercial house using ultra-wideband backpacks. Sci. Rep. 2023, 13, 7634. [Google Scholar] [CrossRef] [PubMed]
- Shahbazi, M.; Mohammadi, K.; Derakhshani, S.M.; Koerkamp, P.W.G.G. Deep Learning for Laying Hen Activity Recognition Using Wearable Sensors. Agriculture 2023, 13, 738. [Google Scholar] [CrossRef]
- Derakhshani, S.M.; Overduin, M.; van Niekerk, T.G.C.M.; Koerkamp, P.W.G.G. Implementation of Inertia Sensor and Machine Learning Technologies for Analyzing the Behavior of Individual Laying Hens. Animals 2022, 12, 536. [Google Scholar] [CrossRef] [PubMed]
- Fujinami, K.; Takuno, R.; Sato, I.; Shimmura, T. Evaluating Behavior Recognition Pipeline of Laying Hens Using Wearable Inertial Sensors. Sensors 2023, 23, 5077. [Google Scholar] [CrossRef] [PubMed]
- Daigle, C.L.; Banerjee, D.; Montgomery, R.A.; Biswas, S.; Siegford, J.M. Moving GIS Research Indoors: Spatiotemporal Analysis of Agricultural Animals. PLoS ONE 2014, 9, e104002. [Google Scholar] [CrossRef]
- Daley, M.A.; Channon, A.J.; Nolan, G.S.; Hall, J. Preferred gait and walk–run transition speeds in ostriches measured using GPS-IMU sensors. J. Exp. Biol. 2016, 219, 3301–3308. [Google Scholar] [CrossRef] [PubMed]
- Weber, N.; Duengkae, P.; Fahr, J.; Dechmann, D.K.N.; Phengsakul, P.; Khumbucha, W.; Siriaroonrat, B.; Wacharapluesadee, S.; Maneeorn, P.; Wikelski, M.; et al. High-resolution GPS tracking of Lyle’s flying fox between temples and orchards in central Thailand. J. Wildl. Manag. 2015, 79, 957–968. [Google Scholar] [CrossRef]
- Fehlmann, G.; O’riain, M.J.; Hopkins, P.W.; O’sullivan, J.; Holton, M.D.; Shepard, E.L.C.; King, A.J. Identification of behaviours from accelerometer data in a wild social primate. Anim. Biotelemetry 2017, 5, 6. [Google Scholar] [CrossRef]
- Campbell-Smith, G.; Simanjorang, H.V.; Leader-Williams, N.; Linkie, M. Local attitudes and perceptions toward crop-raiding by orangutans (Pongo abelii) and other nonhuman primates in northern Sumatra, Indonesia. Am. J. Primatol. 2010, 72, 866–876. [Google Scholar] [CrossRef] [PubMed]
- Daley, M.A.; Usherwood, J.R.; Felix, G.; Biewener, A.A. Running over rough terrain: Guinea fowl maintain dynamic stability despite a large unexpected change in substrate height. J. Exp. Biol. 2006, 209, 171–187. [Google Scholar] [CrossRef]
- Godfrey, A.; Conway, R.; Meagher, D.; Ólaighin, G. Direct measurement of human movement by accelerometry. Med Eng. Phys. 2008, 30, 1364–1386. [Google Scholar] [CrossRef] [PubMed]
- Wilson, R.; Shepard, E.; Liebsch, N. Prying into the intimate details of animal lives: Use of a daily diary on animals. Endanger. Species Res. 2008, 4, 123–137. [Google Scholar] [CrossRef]
- Nathan, R.; Spiegel, O.; Fortmann-Roe, S.; Harel, R.; Wikelski, M.; Getz, W.M. Using tri-axial acceleration data to identify behavioral modes of free-ranging animals: General concepts and tools illustrated for griffon vultures. J. Exp. Biol. 2012, 215, 986–996. [Google Scholar] [CrossRef] [PubMed]
- Twomey, N.; Diethe, T.; Fafoutis, X.; Elsts, A.; McConville, R.; Flach, P.; Craddock, I. A Comprehensive Study of Activity Recognition Using Accelerometers. Informatics 2018, 5, 27. [Google Scholar] [CrossRef]
- Yoda, K.; Naito, Y.; Sato, K.; Takahashi, A.; Nishikawa, J.; Ropert-Coudert, Y.; Kurita, M.; Le Maho, Y. A new technique for monitoring the behaviour of free-ranging Adelie penguins. J. Exp. Biol. 2001, 204, 685–690. [Google Scholar] [CrossRef] [PubMed]
- Laich, A.G.; Wilson, R.; Quintana, F.; Shepard, E. Identification of imperial cormorant Phalacrocorax atriceps behaviour using accelerometers. Endanger. Species Res. 2008, 10, 29–37. [Google Scholar] [CrossRef]
- Halsey, L.G.; Portugal, S.J.; Smith, J.A.; Murn, C.P.; Wilson, R.P. Recording raptor behavior on the wing via accelerometry. J. Field Ornithol. 2009, 80, 171–177. [Google Scholar] [CrossRef]
- Kozak, M.; Tobalske, B.; Springthorpe, D.; Szkotnicki, B.; Harlander-Matauschek, A. Development of physical activity levels in laying hens in three-dimensional aviaries. Appl. Anim. Behav. Sci. 2016, 185, 66–72. [Google Scholar] [CrossRef]
- Pearce, J.; Chang, Y.-M.; Abeyesinghe, S. Individual Monitoring of Activity and Lameness in Conventional and Slower-Growing Breeds of Broiler Chickens Using Accelerometers. Animals 2023, 13, 1432. [Google Scholar] [CrossRef] [PubMed]
- Dawson, L.C.; Widowski, T.M.; Liu, Z.; Edwards, A.M.; Torrey, S. In pursuit of a better broiler: A comparison of the inactivity, behavior, and enrichment use of fast- and slower-growing broiler chickens. Poult. Sci. 2021, 100, 101451. [Google Scholar] [CrossRef] [PubMed]
- Adler, C.; Duhra, D.; Shynkaruk, T.; Schwean-Lardner, K. Research Note: Validation of a low-cost accelerometer to measure physical activity in 30 to 32-d-old male Ross 708 broilers. Poult. Sci. 2023, 102, 102966. [Google Scholar] [CrossRef]
- Banerjee, D.; Daigle, C.L.; Dong, B.; Wurtz, K.; Newberry, R.C.; Siegford, J.M.; Biswas, S. Detection of jumping and landing force in laying hens using wireless wearable sensors. Poult. Sci. 2014, 93, 2724–2733. [Google Scholar] [CrossRef] [PubMed]
- Casey-Trott, T.; Widowski, T. Validation of an accelerometer to quantify inactivity in laying hens with or without keel-bone fractures. Anim. Welf. 2018, 27, 103–114. [Google Scholar] [CrossRef]
- Baker, S.L.; Robison, C.I.; Karcher, D.M.; Toscano, M.J.; Makagon, M.M. Keel impacts and associated behaviors in laying hens. Appl. Anim. Behav. Sci. 2020, 222, 104886. [Google Scholar] [CrossRef]
- Dawson, M.D.; Lombardi, M.E.; Benson, E.R.; Alphin, R.L.; Malone, G.W. Using Accelerometers to Determine the Cessation of Activity of Broilers. J. Appl. Poult. Res. 2007, 16, 583–591. [Google Scholar] [CrossRef]
- Fonseca, R.G.; Bosch, M.C.; Spanevello, F.C.; de la Fuente, M.V.; Marin, R.H.; Barberis, L.; Kembro, J.M.; Flesia, A.G. Thanks to repetition, dustbathing detection can be automated combining accelerometry and wavelet analysis. Ethology 2024, 130, e13466. [Google Scholar] [CrossRef]
- Ali, A.; Siegford, J. An approach for tracking directional activity of individual laying hens within a multi-tier cage-free housing system (aviary) using accelerometers. Meas. Behav. 2018, 11, 176–180. [Google Scholar]
- Tamura, T.; Okubo, Y.; Deguchi, Y.; Koshikawa, S.; Takahashi, M.; Chida, Y.; Okada, K. Dairy cattle behavior classifications based on decision tree learning using 3-axis neck-mounted accelerometers. Anim. Sci. J. 2019, 90, 589–596. [Google Scholar] [CrossRef] [PubMed]
- Diosdado, J.A.V.; Barker, Z.E.; Hodges, H.R.; Amory, J.R.; Croft, D.P.; Bell, N.J.; Codling, E.A. Classification of behaviour in housed dairy cows using an accelerometer-based activity monitoring system. Anim. Biotelemetry 2015, 3, 15. [Google Scholar] [CrossRef]
- Alvarenga, F.; Borges, I.; Palkovič, L.; Rodina, J.; Oddy, V.; Dobos, R. Using a three-axis accelerometer to identify and classify sheep behaviour at pasture. Appl. Anim. Behav. Sci. 2016, 181, 91–99. [Google Scholar] [CrossRef]
- Marais, J.; Le Roux, S.; Wolhuter, R.; Niesler, T. Automatic classification of sheep behaviour using 3-axis accelerometer data. In Proceedings of the 25th Annual Symposium of the Pattern Recognition Association of South Africa (PRASA); Department of Electrical and Electronic Engineering Stellenbosch University: Stellenbosch, South Africa, 2014; pp. 97–102. [Google Scholar]
- Walton, E.; Casey, C.; Mitsch, J.; Vázquez-Diosdado, J.A.; Yan, J.; Dottorini, T.; Ellis, K.A.; Winterlich, A.; Kaler, J. Evaluation of sampling frequency, window size and sensor position for classification of sheep behaviour. R. Soc. Open Sci. 2018, 5, 171442. [Google Scholar] [CrossRef] [PubMed]
- Abdoli, A.; Alaee, S.; Imani, S.; Murillo, A.; Gerry, A.; Hickle, L.; Keogh, E. Fitbit for Chickens?: Time Series Data Mining Can Increase the Productivity of Poultry Farms. In Proceedings of the 26th ACM SIGKDD International Conference on Knowledge Discovery and Data Mining, Virtual, 23–27 August 2020; pp. 3328–3336. [Google Scholar] [CrossRef]
- Banerjee, D.; Biswas, S.; Daigle, C.; Siegford, J.M. Remote activity classification of hens using wireless body mounted sensors. In Proceedings of the BSN 2012: 9th International Workshop on Wearable and Implantable Body Sensor Networks, London, UK, 9–12 May 2012; pp. 107–112. [Google Scholar] [CrossRef]
- Murillo, A.C.; Abdoli, A.; Blatchford, R.A.; Keogh, E.J.; Gerry, A.C. Parasitic mites alter chicken behaviour and negatively impact animal welfare. Sci. Rep. 2020, 10, 8236. [Google Scholar] [CrossRef] [PubMed]
- Yang, X.; Zhao, Y.; Street, G.; Huang, Y.; To, S.F.; Purswell, J. Classification of broiler behaviours using triaxial accelerometer and machine learning. Animal 2021, 15, 100269. [Google Scholar] [CrossRef] [PubMed]
- Li, G. Developing and Applying Precision Animal Farming Tools for Poultry Behavior Monitoring. Ph.D. Thesis, Mississippi State University, Mississippi State, MS, USA, 2021. [Google Scholar]
- Dawkins, M.S. The Science of Animal Suffering. Ethology 2008, 114, 937–945. [Google Scholar] [CrossRef]
- Sakai, K.; Oishi, K.; Miwa, M.; Kumagai, H.; Hirooka, H. Behavior classification of goats using 9-axis multi sensors: The effect of imbalanced datasets on classification performance. Comput. Electron. Agric. 2019, 166, 105027. [Google Scholar] [CrossRef]
- Sur, M.; Suffredini, T.; Wessells, S.M.; Bloom, P.H.; Lanzone, M.; Blackshire, S.; Sridhar, S.; Katzner, T. Improved supervised classification of accelerometry data to distinguish behaviors of soaring birds. PLoS ONE 2017, 12, e0174785. [Google Scholar] [CrossRef] [PubMed]
- McClune, D.W.; Marks, N.J.; Wilson, R.P.; Houghton, J.D.; Montgomery, I.W.; McGowan, N.E.; Gormley, E.; Scantlebury, M. Tri-axial accelerometers quantify behaviour in the Eurasian badger (Meles meles): Towards an automated interpretation of field data. Anim. Biotelemetry 2014, 2, 5. [Google Scholar] [CrossRef]
- Martiskainen, P.; Järvinen, M.; Skön, J.-P.; Tiirikainen, J.; Kolehmainen, M.; Mononen, J. Cow behaviour pattern recognition using a three-dimensional accelerometer and support vector machines. Appl. Anim. Behav. Sci. 2009, 119, 32–38. [Google Scholar] [CrossRef]
- Mansbridge, N.; Mitsch, J.; Bollard, N.; Ellis, K.; Miguel-Pacheco, G.G.; Dottorini, T.; Kaler, J. Feature Selection and Comparison of Machine Learning Algorithms in Classification of Grazing and Rumination Behaviour in Sheep. Sensors 2018, 18, 3532. [Google Scholar] [CrossRef] [PubMed]
- Benaissa, S.; Tuyttens, F.A.; Plets, D.; Cattrysse, H.; Martens, L.; Vandaele, L.; Joseph, W.; Sonck, B. Classification of ingestive-related cow behaviours using RumiWatch halter and neck-mounted accelerometers. Appl. Anim. Behav. Sci. 2019, 211, 9–16. [Google Scholar] [CrossRef]
- Robert, B.; White, B.; Renter, D.; Larson, R. Evaluation of three-dimensional accelerometers to monitor and classify behavior patterns in cattle. Comput. Electron. Agric. 2009, 67, 80–84. [Google Scholar] [CrossRef]
- Sheykhmousa, M.; Mahdianpari, M.; Ghanbari, H.; Mohammadimanesh, F.; Ghamisi, P.; Homayouni, S. Support Vector Machine Versus Random Forest for Remote Sensing Image Classification: A Meta-Analysis and Systematic Review. IEEE J. Sel. Top. Appl. Earth Obs. Remote Sens. 2020, 13, 6308–6325. [Google Scholar] [CrossRef]
- Liu, P.; Choo, K.-K.R.; Wang, L.; Huang, F. SVM or deep learning? A comparative study on remote sensing image classification. Soft Comput. 2017, 21, 7053–7065. [Google Scholar] [CrossRef]
- Breiman, L. Bagging predictors. Mach Learn 1996, 24, 123–140. [Google Scholar] [CrossRef]
- Hastie, T.; Tibshirani, R.; Friedman, J. The Elements of Statistical Learning, 2nd ed.; Springer: Berlin/Heidelberg, Germany, 2008. [Google Scholar]
- Valletta, J.J.; Torney, C.; Kings, M.; Thornton, A.; Madden, J. Applications of machine learning in animal behaviour studies. Anim. Behav. 2017, 124, 203–220. [Google Scholar] [CrossRef]
- Banos, O.; Galvez, J.-M.; Damas, M.; Pomares, H.; Rojas, I. Window Size Impact in Human Activity Recognition. Sensors 2014, 14, 6474–6499. [Google Scholar] [CrossRef] [PubMed]
- Bulling, A.; Blanke, U.; Schiele, B. A tutorial on human activity recognition using body-worn inertial sensors. ACM Comput. Surv. 2014, 46, 1–33. [Google Scholar] [CrossRef]
- Dehghani, A.; Sarbishei, O.; Glatard, T.; Shihab, E. A Quantitative Comparison of Overlapping and Non-Overlapping Sliding Windows for Human Activity Recognition Using Inertial Sensors. Sensors 2019, 19, 5026. [Google Scholar] [CrossRef] [PubMed]
- Fida, B.; Bernabucci, I.; Bibbo, D.; Conforto, S.; Schmid, M. Varying behavior of different window sizes on the classification of static and dynamic physical activities from a single accelerometer. Med. Eng. Phys. 2015, 37, 705–711. [Google Scholar] [CrossRef] [PubMed]
- Decandia, M.; Giovanetti, V.; Molle, G.; Acciaro, M.; Mameli, M.; Cabiddu, A.; Cossu, R.; Serra, M.; Manca, C.; Rassu, S.; et al. The effect of different time epoch settings on the classification of sheep behaviour using tri-axial accelerometry. Comput. Electron. Agric. 2018, 154, 112–119. [Google Scholar] [CrossRef]
- Chakravarty, P.; Cozzi, G.; Ozgul, A.; Aminian, K. A novel biomechanical approach for animal behaviour recognition using accelerometers. Methods Ecol. Evol. 2019, 10, 802–814. [Google Scholar] [CrossRef]
- Bao, L.; Intille, S.S. Activity recognition from user-annotated acceleration data. In International Conference on Pervasive Computing; Springer: Berlin/Heidelberg, Germany, 2004; pp. 1–17. [Google Scholar]
- Ravi, N.; Dandekar, N.; Mysore, P.; Littman, M.L. Activity Recognition from Accelerometer Data. In Proceedings of the 17th Conference on Innovative Applications of Artificial Intelligence, Pittsburgh, PA, USA, 9–13 July 2005; pp. 1541–1546. Available online: www.aaai.org (accessed on 15 June 2024).
- Haladjian, J.; Haug, J.; Nüske, S.; Bruegge, B. A Wearable Sensor System for Lameness Detection in Dairy Cattle. Multimodal Technol. Interact. 2018, 2, 27. [Google Scholar] [CrossRef]
- Watanabe, S.; Izawa, M.; Kato, A.; Ropert-Coudert, Y.; Naito, Y. A new technique for monitoring the detailed behaviour of terrestrial animals: A case study with the domestic cat. Appl. Anim. Behav. Sci. 2005, 94, 117–131. [Google Scholar] [CrossRef]
- Sakamoto, K.Q.; Sato, K.; Ishizuka, M.; Watanuki, Y.; Takahashi, A.; Daunt, F.; Wanless, S. Can Ethograms Be Automatically Generated Using Body Acceleration Data from Free-Ranging Birds? PLoS ONE 2009, 4, e5379. [Google Scholar] [CrossRef] [PubMed]
- Abeyesinghe, S.; Chancellor, N.; Moore, D.H.; Chang, Y.-M.; Pearce, J.; Demmers, T.; Nicol, C. Associations between behaviour and health outcomes in conventional and slow-growing breeds of broiler chicken. Animal 2021, 15, 100261. [Google Scholar] [CrossRef] [PubMed]
- Bizeray, D.; Leterrier, C.; Constantin, P.; Picard, M.; Faure, J. Early locomotor behaviour in genetic stocks of chickens with different growth rates. Appl. Anim. Behav. Sci. 2000, 68, 231–242. [Google Scholar] [CrossRef] [PubMed]
- Bokkers, E.A.; Koene, P. Behaviour of fast- and slow growing broilers to 12 weeks of age and the physical consequences. Appl. Anim. Behav. Sci. 2003, 81, 59–72. [Google Scholar] [CrossRef]
- Rayner, A.C.; Newberry, R.C.; Vas, J.; Mullan, S. Slow-growing broilers are healthier and express more behavioural indicators of positive welfare. Sci. Rep. 2020, 10, 15151. [Google Scholar] [CrossRef] [PubMed]
- Shannon, C.E.; Weaver, W. The Theory of Mathematical Communication. Int. Bus. 1964, 131. Available online: https://pure.mpg.de/rest/items/item_2383164_3/component/file_2383163/content (accessed on 15 June 2024).
- Pedley, M. Tilt Sensing Using a Three-Axis Accelerometer. Free. Semicond. Appl. Notes 2013, 1, 2012–2013. [Google Scholar]
- Barwick, J.; Lamb, D.; Dobos, R.; Schneider, D.; Welch, M.; Trotter, M. Predicting Lameness in Sheep Activity Using Tri-Axial Acceleration Signals. Animals 2018, 8, 12. [Google Scholar] [CrossRef] [PubMed]
- Cornetto, T.; Estevez, I. Behavior of the Domestic Fowl in the Presence of Vertical Panels. Poult. Sci. 2001, 80, 1455–1462. [Google Scholar] [CrossRef] [PubMed]
- Dixon, L.M. Slow and steady wins the race: The behaviour and welfare of commercial faster growing broiler breeds compared to a commercial slower growing breed. PLoS ONE 2020, 15, e0231006. [Google Scholar] [CrossRef] [PubMed]
- Weeks, C.; Danbury, T.; Davies, H.; Hunt, P.; Kestin, S. The behaviour of broiler chickens and its modification by lameness. Appl. Anim. Behav. Sci. 2000, 67, 111–125. [Google Scholar] [CrossRef] [PubMed]
- Soleymani, R.; Granger, E.; Fumera, G. Progressive boosting for class imbalance and its application to face re-identification. Expert Syst. Appl. 2018, 101, 271–291. [Google Scholar] [CrossRef]
- Yazdi, J.S.; Kalantary, F.; Yazdi, H.S. Prediction of liquefaction potential based on CPT up-sampling. Comput. Geosci. 2012, 44, 10–23. [Google Scholar] [CrossRef]
- Vestergaard, S.; Sanotra, G.S. Relationships between leg disorders and changes in the behaviour of broiler chickens. Veter-Rec. 1999, 144, 205–210. [Google Scholar] [CrossRef]
- Riber, A.B.; Herskin, M.S.; Foldager, L.; Berenjian, A.; Sandercock, D.A.; Murrell, J.; Tahamtani, F.M. Are changes in behavior of fast-growing broilers with slight gait impairment (GS0-2) related to pain? Poult. Sci. 2021, 100, 100948. [Google Scholar] [CrossRef] [PubMed]
- Martin, P.; Bateson, P.P.G. Measuring Behaviour: An Introductory Guide; Cambridge University Press: Cambridge, UK, 2007. [Google Scholar]
- BCC. Better Chicken Commitment: The Policy. Better Chicken Commitment. Available online: https://betterchickencommitment.com/en-GB/policy/ (accessed on 8 September 2021).
- Littin, K.; Acevedo, A.; Browne, W.; Edgar, J.; Mendl, M.; Owen, D.; Sherwin, C.; Würbel, H.; Nicol, C. Towards humane end points: Behavioural changes precede clinical signs of disease in a Huntington’s disease model. Proc. R. Soc. B Biol. Sci. 2008, 275, 1865–1874. [Google Scholar] [CrossRef] [PubMed]
- Duggan, B.M.; Hocking, P.M.; Clements, D.N. Gait in ducks (Anas platyrhynchos) and chickens (Gallus gallus)—Similarities in adaptation to high growth rate. Biol. Open 2016, 5, 1077–1085. [Google Scholar] [CrossRef] [PubMed]
- Hafez, H.M.; Hauck, R. Genetic selection in turkeys and broilers and their impact on health conditions. In Proceedings of the World Poultry Science Association, 4th European Symposium on Poultry Genetics, Dubrovnik, Croatia, 6–8 October 2005; pp. 6–8. [Google Scholar]
- Lin, M.-J.; Chang, S.-C.; Lin, T.-Y.; Cheng, Y.-S.; Lee, Y.-P.; Fan, Y.-K. Factors Affecting the Incidence of Angel Wing in White Roman Geese: Stocking Density and Genetic Selection. Asian-Australas. J. Anim. Sci. 2016, 29, 901–907. [Google Scholar] [CrossRef] [PubMed]
- Velleman, S.G.; Coy, C.S.; Anderson, J.W.; Patterson, R.A.; Nestor, K.E. Effect of selection for growth rate on embryonic breast muscle development in turkeys. Poult. Sci. 2002, 81, 1113–1121. [Google Scholar] [CrossRef] [PubMed]
- Chen, X.; Shafer, D.; Sifri, M.; Lilburn, M.; Karcher, D.; Cherry, P.; Wakenell, P.; Fraley, S.; Turk, M.; Fraley, G. Centennial Review: History and husbandry recommendations for raising Pekin ducks in research or commercial production. Poult. Sci. 2021, 100, 101241. [Google Scholar] [CrossRef] [PubMed]


| Behaviour | Strain | Total Duration (s) | Frequency | Average Bout Duration (s) | |||
|---|---|---|---|---|---|---|---|
| Mean | SD | Mean | SD | Mean | SD | ||
| Sit | CNV | 481.16 | 594.96 | 17.95 | 26.52 | 42.45 | 42.97 |
| SGH | 171.63 | 105.55 | 6.01 | 4.30 | 38.17 | 50.48 | |
| SGN | 149.53 | 178.88 | 4.65 | 4.79 | 36.84 | 43.06 | |
| FGC | 351.39 | 170.55 | 9.31 | 5.71 | 48.43 | 25.65 | |
| Stand | CNV | 30.56 | 27.50 | 7.95 | 7.56 | 3.43 | 1.87 |
| SGH | 32.18 | 26.14 | 7.76 | 5.82 | 4.40 | 3.50 | |
| SGN | 37.73 | 33.95 | 8.33 | 5.84 | 4.51 | 2.61 | |
| FGC | 23.07 | 16.95 | 5.08 | 3.75 | 3.67 | 2.55 | |
| Walk | CNV | 19.19 | 13.90 | 6.90 | 5.44 | 3.02 | 1.58 |
| SGH | 33.67 | 20.75 | 8.60 | 5.43 | 4.29 | 2.33 | |
| SGN | 23.82 | 17.44 | 6.94 | 5.10 | 3.31 | 1.58 | |
| FGC | 18.41 | 15.46 | 4.15 | 3.13 | 3.30 | 2.22 | |
| Attribute | Description | R Package: Function or Equation Used |
|---|---|---|
| Minimum (min) | The minimum of each value within the window. | base::min |
| Maximum (max) | The maximum of each value within the window. | base::max |
| Absolute mean (AbsMean) | The absolute mean of each value within the window. | base::mean base::abs |
| Interquartile Range (IQR) | The IQR of each value within the window. | Stats::IQR |
| Skewness | Measure of distribution symmetry: sum((k-mean(k))^3)/(N − 1)/sd^3. 1 | TSA 2::skewness |
| Kurtosis | Measures the ‘pointiness’ of a distribution curve’s peak by combining the weight of the distribution’s tails relative to the centre of the distribution: K = sum((k-mean(k))^4)/(N − 1)/sd^4. 1 | TSA::kurtosis |
| Entropy | Estimated Shannon entropy H of random variable from observed counts [93]. | entropy::entropy |
| Peak and Trough | Identifies the number of peaks or troughs on a curve. | Sitar::getPeakTrough |
| Roll | A measurement of the rotated gravitational field vector across the Y axis [94]. | base::atan base::sqrt Equation = atan (Y/sqrt (X^2 + Z^2)) |
| Yaw | A measurement of the rotated gravitational field vector across the Z axis [94]. | base::atan base::sqrt Equation = atan (Z/sqrt (Y^2 + X^2)) |
| Peak Frequency and Amplitude | Number of peaks and amplitude values of each axis spectrum within the window; ‘spec’ function converted data to frequency domain prior to ‘fpeaks’ processing. | TSA::spec Seewave::fpeaks |
| Labelled Data | Algorithm Prediction | ||
|---|---|---|---|
| Sit | Stand | Walk | |
| Sit | 1690 | 170 | 5 |
| Stand | 73 | 230 | 30 |
| Walk | 0 | 21 | 278 |
| Labelled Data | Algorithm Prediction | |||
|---|---|---|---|---|
| Accuracy | Sensitivity | Specificity | Precision | |
| Sit | 90 | 91 | 88 | 96 |
| Stand | 88 | 69 | 91 | 55 |
| Walk | 98 | 93 | 98 | 89 |
| Overall Model | 92 | 88 | 94 | 88 |
| Labelled Data | Algorithm Prediction | ||
|---|---|---|---|
| Sit | Stand | Walk | |
| Sit | 7269 | 352 | 15 |
| Stand | 235 | 346 | 17 |
| Walk | 4 | 135 | 357 |
| Labelled Data | Algorithm Prediction | |||
|---|---|---|---|---|
| Accuracy | Sensitivity | Specificity | Precision | |
| Sit | 93 | 95 | 78 | 97 |
| Stand | 92 | 58 | 94 | 42 |
| Walk | 98 | 72 | 100 | 92 |
| Overall Model | 94 | 91 | 96 | 91 |
Disclaimer/Publisher’s Note: The statements, opinions and data contained in all publications are solely those of the individual author(s) and contributor(s) and not of MDPI and/or the editor(s). MDPI and/or the editor(s) disclaim responsibility for any injury to people or property resulting from any ideas, methods, instructions or products referred to in the content. |
© 2024 by the authors. Licensee MDPI, Basel, Switzerland. This article is an open access article distributed under the terms and conditions of the Creative Commons Attribution (CC BY) license (https://creativecommons.org/licenses/by/4.0/).
Share and Cite
Pearce, J.; Chang, Y.-M.; Xia, D.; Abeyesinghe, S. Classification of Behaviour in Conventional and Slow-Growing Strains of Broiler Chickens Using Tri-Axial Accelerometers. Animals 2024, 14, 1957. https://doi.org/10.3390/ani14131957
Pearce J, Chang Y-M, Xia D, Abeyesinghe S. Classification of Behaviour in Conventional and Slow-Growing Strains of Broiler Chickens Using Tri-Axial Accelerometers. Animals. 2024; 14(13):1957. https://doi.org/10.3390/ani14131957
Chicago/Turabian StylePearce, Justine, Yu-Mei Chang, Dong Xia, and Siobhan Abeyesinghe. 2024. "Classification of Behaviour in Conventional and Slow-Growing Strains of Broiler Chickens Using Tri-Axial Accelerometers" Animals 14, no. 13: 1957. https://doi.org/10.3390/ani14131957
APA StylePearce, J., Chang, Y.-M., Xia, D., & Abeyesinghe, S. (2024). Classification of Behaviour in Conventional and Slow-Growing Strains of Broiler Chickens Using Tri-Axial Accelerometers. Animals, 14(13), 1957. https://doi.org/10.3390/ani14131957

