Quantitative Analysis of Inflammatory Uterine Lesions of Pregnant Gilts with Digital Image Analysis Following Experimental PRRSV-1 Infection
Abstract
:Simple Summary
Abstract
1. Introduction
2. Materials and Methods
2.1. Animal Ethics Approval
2.2. Challenge Experiment
2.3. Tissue Processing and Routine Histology
2.4. Section Selection
2.5. CD163 Immunohistochemistry
2.6. Manual Scoring
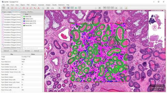
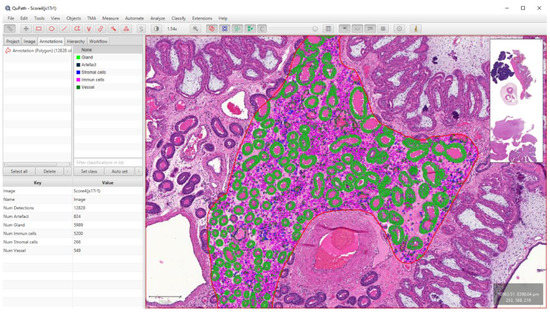
2.7. Section Scanning and Software Analysis
2.8. PRRSV qRT-PCR
2.9. Statistical Analyzes
3. Results
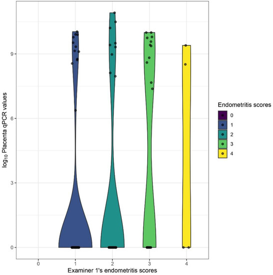
3.1. Comparison of the Manual Scorers
3.2. Section Scanning and Software Analysis
3.3. Distributions of Cell Counts and qPCR-Results
3.4. Associations of Cell Counts and Manual Scores
3.5. Cell Number Thresholds of Endometritis Grades
3.6. Correlations between Cell Counts and Fetal Weights/qPCR-Results
4. Discussion
5. Conclusions
Supplementary Materials
Author Contributions
Funding
Institutional Review Board Statement
Informed Consent Statement
Acknowledgments
Conflicts of Interest
References
- Balka, G.; Podgórska, K.; Brar, M.S.; Bálint, Á.; Cadar, D.; Celer, V.; Dénes, L.; Dirbakova, Z.; Jedryczko, A.; Márton, L.; et al. Genetic diversity of PRRSV 1 in Central Eastern Europe in 1994–2014: Origin and evolution of the virus in the region. Sci. Rep. 2018, 8, 7811. [Google Scholar] [CrossRef] [PubMed] [Green Version]
- Lunney, J.K.; Fang, Y.; Ladinig, A.; Chen, N.; Li, Y.; Rowland, B.; Renukaradhya, G.J. Porcine reproductive and respiratory syndrome virus (PRRSV): Pathogenesis and interaction with the immune system. Annu. Rev. Anim. Biosci. 2016, 4, 129–154. [Google Scholar] [CrossRef] [PubMed]
- Gagnon, C.A.; Lalonde, C.; Provost, C. Porcine reproductive and respiratory syndrome virus whole-genome sequencing efficacy with field clinical samples using a poly(A)-tail viral genome purification method. J. Vet. Diagn. Investig. 2021, 33, 216–226. [Google Scholar] [CrossRef] [PubMed]
- Balka, G.; Ladinig, A.; Ritzmann, M.; Saalmüller, A.; Gerner, W.; Käser, T.; Jakab, C.; Rusvai, M.; Weißenböck, H. Immunohistochemical characterization of type II pneumocyte proliferation after challenge with type I porcine reproductive and respiratory syndrome virus. J. Comp. Pathol. 2013, 149, 322–330. [Google Scholar] [CrossRef]
- Morozumi, T.; Takenouchi, T.; Wada, E.; Uenishi, H.; Nishiyama, Y. Susceptibility of immortalized porcine kidney macrophages to porcine reproductive and respiratory syndrome virus-2 infection. J. Virol. Methods 2021, 288, 114026. [Google Scholar] [CrossRef]
- Xu, H.; Xiang, L.; Tang, Y.D.; Li, C.; Zhao, J.; Gong, B.; Sun, Q.; Leng, C.; Peng, J.; Wang, Q.; et al. Genome-wide characterization of QYYZ-Like PRRSV during 2018–2021. Front. Vet. Sci. 2022, 9, 945381. [Google Scholar] [CrossRef]
- Burkard, C.; Opriessnig, T.; Mileham, A.J.; Stadejek, T.; Ait-Ali, T.; Lillico, S.G.; Whitelaw, C.B.A.; Archibald, A.L. Pigs lacking the scavenger receptor cysteine-rich domain 5 of CD163 are resistant to porcine reproductive and respiratory syndrome virus 1 infection. J. Virol. 2018, 92, e00415–e00418. [Google Scholar] [CrossRef] [Green Version]
- Karniychuk, U.U.; De Spiegelaere, W.; Nauwynck, H.J. Porcine reproductive and respiratory syndrome virus infection is associated with an increased number of Sn-positive and CD8-positive cells in the maternal-fetal interface. Virus Res. 2013, 176, 285–291. [Google Scholar] [CrossRef]
- Novakovic, P.; Harding, J.C.; Al-Dissi, A.N.; Ladinig, A.; Detmer, S.E. Pathologic evaluation of type 2 porcine reproductive and respiratory syndrome virus infection at the maternal-fetal interface of late gestation pregnant gilts. PLoS ONE 2016, 11, e0151198. [Google Scholar] [CrossRef] [Green Version]
- Canelli, E.; Catella, A.; Borghetti, P.; Ferrari, L.; Ogno, G.; De Angelis, E.; Corradi, A.; Passeri, B.; Bertani, V.; Sandri, G.; et al. Phenotypic characterization of a highly pathogenic Italian porcine reproductive and respiratory syndrome virus (PRRSV) type 1 subtype 1 isolate in experimentally infected pigs. Vet. Microbiol. 2017, 210, 124–133. [Google Scholar] [CrossRef]
- Sinn, L.J.; Klingler, E.; Lamp, B.; Brunthaler, R.; Weissenböck, H.; Rümenapf, T.; Ladinig, A. Emergence of a virulent porcine reproductive and respiratory syndrome virus (PRRSV) 1 strain in Lower Austria. Porc. Health Manag. 2016, 2, 28. [Google Scholar] [CrossRef] [PubMed] [Green Version]
- Stadejek, T.; Larsen, L.E.; Podgórska, K.; Bøtner, A.; Botti, S.; Dolka, I.; Fabisiak, M.; Heegaard, P.M.H.; Hjulsager, C.K.; Huć, T.; et al. Pathogenicity of three genetically diverse strains of PRRSV Type 1 in specific pathogen free pigs. Vet. Microbiol. 2017, 209, 13–19. [Google Scholar] [CrossRef] [PubMed]
- Martín-Valls, G.E.; Cortey, M.; Allepuz, A.; Illas, F.; Tello, M.; Mateu, E. Description of a new clade within subtype 1 of Betaarterivirus suid 1 causing severe outbreaks in Spain. Microbiol. Resour. Announc. 2022, 11, e0030422. [Google Scholar] [CrossRef] [PubMed]
- Novakovic, P.; Detmer, S.E.; Suleman, M.; Malgarin, C.M.; MacPhee, D.J.; Harding, J.C.S. Histologic changes associated with placental separation in gilts infected with porcine reproductive and respiratory syndrome virus. Vet. Pathol. 2018, 55, 521–530. [Google Scholar] [CrossRef]
- Karniychuk, U.U.; Nauwynck, H. Pathogenesis and prevention of placental and transplacental porcine reproductive and respiratory syndrome virus infection. Vet. Res. 2013, 44, 95–109. [Google Scholar] [CrossRef] [Green Version]
- Karniychuk, U.U.; Saha, D.; Geldhof, M.; Vanhee, M.; Cornillie, P.; Van den Broeck, W.; Nauwynck, H.J. Porcine reproductive and respiratory syndrome virus (PRRSV) causes apoptosis during its replication in fetal implantation sites. Microb. Pathog. 2011, 51, 194–202. [Google Scholar] [CrossRef]
- Harding, J.C.S.; Ladinig, A.; Novakovic, P.; Detmer, S.E.; Wilkinson, J.M.; Yang, T.; Lunney, J.K.; Plastow, G.S. Novel insights into host responses and reproductive pathophysiology of porcine reproductive and respiratory syndrome caused by PRRSV-2. Vet. Microbiol. 2017, 209, 114–123. [Google Scholar] [CrossRef]
- Ladinig, A.; Ashley, C.; Detmer, S.E.; Wilkinson, J.M.; Lunney, J.K.; Plastow, G.; Harding, J.C. Maternal and fetal predictors of fetal viral load and death in third trimester, type 2 porcine reproductive and respiratory syndrome virus infected pregnant gilts. Vet. Res. 2015, 46, 107. [Google Scholar] [CrossRef] [Green Version]
- Ladinig, A.; Wilkinson, J.; Ashley, C.; Detmer, S.E.; Lunney, J.K.; Plastow, G.; Harding, J.C. Variation in fetal outcome, viral load and ORF5 sequence mutations in a large scale study of phenotypic responses to late gestation exposure to type 2 porcine reproductive and respiratory syndrome virus. PLoS ONE 2014, 9, e96104. [Google Scholar] [CrossRef] [Green Version]
- Malgarin, C.M.; Nosach, R.; Novakovic, P.; Suleman, M.; Ladinig, A.; Detmer, S.E.; MacPhee, D.J.; Harding, J.C.S. Classification of fetal resilience to porcine reproductive and respiratory syndrome (PRRS) based on temporal viral load in late gestation maternal tissues and fetuses. Virus Res. 2019, 260, 151–162. [Google Scholar] [CrossRef]
- Novakovic, P.; Harding, J.C.; Ladinig, A.; Al-Dissi, A.N.; MacPhee, D.J.; Detmer, S.E. Relationships of CD163 and CD169 positive cell numbers in the endometrium and fetal placenta with type 2 PRRSV RNA concentration in fetal thymus. Vet. Res. 2016, 47, 76. [Google Scholar] [CrossRef] [PubMed]
- Bertram, C.A.; Klopfleisch, R. The pathologist 2.0: An update on digital pathology in veterinary medicine. Vet. Pathol. 2017, 54, 756–766. [Google Scholar] [CrossRef] [PubMed] [Green Version]
- Webster, J.D.; Dunstan, R.W. Whole-slide imaging and automated image analysis: Considerations and opportunities in the practice of pathology. Vet. Pathol. 2014, 51, 211–223. [Google Scholar] [CrossRef] [PubMed] [Green Version]
- Zuraw, A.; Aeffner, F. Whole-slide imaging, tissue image analysis, and artificial intelligence in veterinary pathology: An updated introduction and review. Vet. Pathol. 2022, 59, 6–25. [Google Scholar] [CrossRef]
- Aeffner, F.; Adissu, H.A.; Boyle, M.C.; Cardiff, R.D.; Hagendorn, E.; Hoenerhoff, M.J.; Klopfleisch, R.; Newbigging, S.; Schaudien, D.; Turner, O.; et al. Digital microscopy, image analysis, and virtual slide repository. ILAR J. 2018, 59, 66–79. [Google Scholar] [CrossRef]
- Bankhead, P.; Fernández, J.A.; McArt, D.G.; Boyle, D.P.; Li, G.; Loughrey, M.B.; Irwin, G.W.; Harkin, D.P.; James, J.A.; McQuaid, S.; et al. Integrated tumor identification and automated scoring minimizes pathologist involvement and provides new insights to key biomarkers in breast cancer. Lab. Investig. 2018, 98, 15–26. [Google Scholar] [CrossRef] [Green Version]
- Shinde, V.; Burke, K.E.; Chakravarty, A.; Fleming, M.; McDonald, A.A.; Berger, A.; Ecsedy, J.; Blakemore, S.J.; Tirrell, S.M.; Bowman, D. Applications of pathology-assisted image analysis of immunohistochemistry-based biomarkers in oncology. Vet. Pathol. 2014, 51, 292–303. [Google Scholar] [CrossRef] [Green Version]
- La Perle, K.M.D. Machine learning and veterinary pathology: Be not afraid! Vet. Pathol. 2019, 56, 506–507. [Google Scholar] [CrossRef]
- Meuten, D.J.; Moore, F.M.; Donovan, T.A.; Bertram, C.A.; Klopfleisch, R.; Foster, R.A.; Smedley, R.C.; Dark, M.J.; Milovancev, M.; Stromberg, P.; et al. International guidelines for veterinary tumor pathology: A call to action. Vet. Pathol. 2021, 58, 766–794. [Google Scholar] [CrossRef]
- Bankhead, P.; Loughrey, M.B.; Fernández, J.A.; Dombrowski, Y.; McArt, D.G.; Dunne, P.D.; McQuaid, S.; Gray, R.T.; Murray, L.J.; Coleman, H.G.; et al. QuPath: Open source software for digital pathology image analysis. Sci. Rep. 2017, 7, 16878. [Google Scholar] [CrossRef] [Green Version]
- Courtney, J.M.; Morris, G.P.; Cleary, E.M.; Howells, D.W.; Sutherland, B.A. An automated approach to improve the quantification of pericytes and microglia in whole mouse brain sections. eNeuro 2021, 8, ENEURO.0177–21.2021. [Google Scholar] [CrossRef] [PubMed]
- Väyrynen, J.P.; Lau, M.C.; Haruki, K.; Väyrynen, S.A.; Dias Costa, A.; Borowsky, J.; Zhao, M.; Fujiyoshi, K.; Arima, K.; Twombly, T.S.; et al. Prognostic significance of immune cell populations identified by machine learning in colorectal cancer using routine hematoxylin and eosin-stained sections. Clin. Cancer Res. 2020, 26, 4326–4338. [Google Scholar] [CrossRef] [PubMed]
- Kreutzmann, H.; Dürlinger, S.; Knecht, C.; Koch, M.; Cabana, M.; Torrent, G.; Balasch, M.; Taylor, L.P.; Balka, G.; Gerner, W.; et al. Efficacy of a modified live virus vaccine against porcine reproductive and respiratory syndrome virus 1 (PRRSV-1) administered to 1-day-old piglets in front of heterologous PRRSV-1 challenge. Pathogens 2021, 10, 1342. [Google Scholar] [CrossRef] [PubMed]
- Duerlinger, S.; Knecht, C.; Sawyer, S.; Balka, G.; Zaruba, M.; Ruemenapf, T.; Kraft, C.; Rathkjen, P.H.; Ladinig, A. Efficacy of a modified live porcine reproductive and respiratory syndrome virus 1 (PRRSV-1) vaccine against experimental infection with PRRSV AUT15-33 in weaned piglets. Vaccines 2022, 10, 934. [Google Scholar] [CrossRef] [PubMed]
- Stas, M.R.; Kreutzmann, H.; Stadler, J.; Sassu, E.L.; Mair, K.H.; Koch, M.; Knecht, C.; Stadler, M.; Dolezal, M.; Balka, G.; et al. Influence of PRRSV-1 vaccination and infection on mononuclear immune cells at the maternal-fetal interface. Front. Immunol. 2022, 13, 1055048. [Google Scholar] [CrossRef] [PubMed]
- Kreutzmann, H.; Stadler, J.; Knecht, C.; Sassu, E.L.; Ruczizka, U.; Zablotski, Y.; Vatzia, E.; Balka, G.; Zaruba, M.; Chen, H.W.; et al. Phenotypic characterization of a virulent PRRSV-1 isolate in a reproductive model with and without prior heterologous modified live PRRSV-1 vaccination. Front. Vet. Sci. 2022, 9, 820233. [Google Scholar] [CrossRef]
- Donovan, T.A.; Moore, F.M.; Bertram, C.A.; Luong, R.; Bolfa, P.; Klopfleisch, R.; Tvedten, H.; Salas, E.N.; Whitley, D.B.; Aubreville, M.; et al. Mitotic figures-normal, atypical, and imposters: A guide to identification. Vet. Pathol. 2021, 58, 243–257. [Google Scholar] [CrossRef]
- Egli, C.; Thur, B.; Liu, L.; Hofmann, M.A. Quantitative TaqMan RT-PCR for the detection and differentiation of European and North American strains of porcine reproductive and respiratory syndrome virus. J. Virol. Methods. 2001, 98, 63–75. [Google Scholar] [CrossRef]
- Plana, J.; Vayreda, M.; Vilarrasa, J.; Bastons, M.; Rosell, R.; Martinez, M.; San Gabriel, A.; Pujols, J.; Badiola, J.L.; Ramos, J.A.; et al. Porcine epidemic abortion and respiratory syndrome (mystery swine disease). Isolation in Spain of the causative agent and experimental reproduction of the disease. Vet. Microbiol. 1992, 33, 203–211. [Google Scholar] [CrossRef]
- Toussaint, J.F.; Sailleau, C.; Breard, E.; Zientara, S.; De Clercq, K. Bluetongue virus detection by two real-time RT-qPCRs targeting two different genomic segments. J. Virol. Methods. 2007, 140, 115–123. [Google Scholar] [CrossRef]
- Bertram, C.A.; Gurtner, C.; Dettwiler, M.; Kershaw, O.; Dietert, K.; Pieper, L.; Pischon, H.; Gruber, A.D.; Klopfleisch, R. Validation of digital microscopy compared with light microscopy for the diagnosis of canine cutaneous tumors. Vet. Pathol. 2018, 55, 490–500. [Google Scholar] [CrossRef] [PubMed] [Green Version]
- Bertram, C.A.; Aubreville, M.; Gurtner, C.; Bartel, A.; Corner, S.M.; Dettwiler, M.; Kershaw, O.; Noland, E.L.; Schmidt, A.; Sledge, D.G.; et al. Computerized calculation of mitotic count distribution in canine cutaneous mast cell tumor sections: Mitotic count is area dependent. Vet. Pathol. 2020, 57, 214–226. [Google Scholar] [CrossRef] [PubMed]
- Seung, B.J.; Cho, S.H.; Kim, S.H.; Lim, H.Y.; Sur, J.H. Quantitative analysis of HER2 mRNA expression by RNA in situ hybridization in canine mammary gland tumors: Comparison with immunohistochemistry analysis. PLoS ONE 2020, 15, e0229031. [Google Scholar] [CrossRef] [PubMed] [Green Version]
- Barrera-Zarate, J.A.; Detmer, S.E.; Pasternak, J.A.; Hamonic, G.; MacPhee, D.J.; Harding, J.C.S. Effect of porcine reproductive and respiratory syndrome virus 2 on angiogenesis and cell proliferation at the maternal-fetal interface. Vet. Pathol. 2022, 59, 940–949. [Google Scholar] [CrossRef] [PubMed]
- Mysona, B.A.; Segar, S.; Hernandez, C.; Kim, C.; Zhao, J.; Mysona, D.; Bollinger, K.E. QuPath automated analysis of optic nerve degeneration in brown norway rats. Transl. Vis. Sci. Technol. 2020, 9, 22. [Google Scholar] [CrossRef] [PubMed] [Green Version]
- Finney, C.A.; Jones, N.M.; Morris, M.J. A scalable, fully automated approach for regional quantification of immunohistochemical staining of astrocytes in the rat brain. J. Neurosci. Methods. 2021, 348, 108994. [Google Scholar] [CrossRef] [PubMed]
- Morriss, N.J.; Conley, G.M.; Ospina, S.M.; Meehan Iii, W.P.; Qiu, J.; Mannix, R. Automated quantification of immunohistochemical staining of large animal brain tissue using QuPath software. Neuroscience 2020, 429, 235–244. [Google Scholar] [CrossRef]
- Dénes, L.; Horváth, D.G.; Duran, O.; Ratkhjen, P.H.; Kraft, C.; Acs, B.; Szász, A.M.; Rümenapf, T.; Papp, M.; Ladinig, A.; et al. In Situ hybridization of PRRSV-1 combined with digital image analysis in lung tissues of pigs challenged with PRRSV-1. Vet. Sci. 2021, 8, 235. [Google Scholar] [CrossRef]











| Grade | Mean | Standard Deviation | Minimum | Median | Maximum |
|---|---|---|---|---|---|
| Grade0 (n = 10) | 166.6 | 65.5 | 92 | 178 | 285 |
| Grade1 (n = 67) | 521.9 | 249.57 | 97 | 490.0 | 1167 |
| Grade2 (n = 37) | 1477.57 | 658.52 | 631 | 1289.0 | 3869 |
| Grade3 (n = 23) | 3096.13 | 730.6 | 2273 | 2842.0 | 5167 |
| Grade4 (n = 4) | 4489.25 | 928.8 | 3128 | 4814.5 | 5200 |
| Group | Mean | Standard Deviation | Minimum | Median | Maximum |
|---|---|---|---|---|---|
| no_vacc/chall_L (n = 45) | 1669.49 | 1505.69 | 154 | 950 | 5200 |
| no_vacc/chall_H (n = 50) | 1577 | 978.3 | 337 | 1184 | 3775 |
| vacc/chall_L (n = 21) | 827.95 | 832.29 | 151 | 529 | 3813 |
| vacc/chall_H (n = 15) | 496.07 | 644.35 | 97 | 260 | 2632 |
| First Threshold | Second Threshold | Third Threshold | Fourth Threshold | Hit Ratio | p-Value | |
|---|---|---|---|---|---|---|
| Minimum | 95.5 | 776.5 | 2156 | 3404 | 0.5745 | 0.0001 |
| Maximum | 221 | 1156.5 | 2803.5 | 5038.5 | 0.9362 | 1 |
| CI 2.5% | 95.5 | 817.5 | 2275 | 3985 | 0.6596 | 0.0215 |
| CI 97.5% | 161 | 1012 | 2752 | 5038.5 | 0.8723 | 1 |
Disclaimer/Publisher’s Note: The statements, opinions and data contained in all publications are solely those of the individual author(s) and contributor(s) and not of MDPI and/or the editor(s). MDPI and/or the editor(s) disclaim responsibility for any injury to people or property resulting from any ideas, methods, instructions or products referred to in the content. |
© 2023 by the authors. Licensee MDPI, Basel, Switzerland. This article is an open access article distributed under the terms and conditions of the Creative Commons Attribution (CC BY) license (https://creativecommons.org/licenses/by/4.0/).
Share and Cite
Horváth, D.G.; Abonyi-Tóth, Z.; Papp, M.; Szász, A.M.; Rümenapf, T.; Knecht, C.; Kreutzmann, H.; Ladinig, A.; Balka, G. Quantitative Analysis of Inflammatory Uterine Lesions of Pregnant Gilts with Digital Image Analysis Following Experimental PRRSV-1 Infection. Animals 2023, 13, 830. https://doi.org/10.3390/ani13050830
Horváth DG, Abonyi-Tóth Z, Papp M, Szász AM, Rümenapf T, Knecht C, Kreutzmann H, Ladinig A, Balka G. Quantitative Analysis of Inflammatory Uterine Lesions of Pregnant Gilts with Digital Image Analysis Following Experimental PRRSV-1 Infection. Animals. 2023; 13(5):830. https://doi.org/10.3390/ani13050830
Chicago/Turabian StyleHorváth, Dávid G., Zsolt Abonyi-Tóth, Márton Papp, Attila Marcell Szász, Till Rümenapf, Christian Knecht, Heinrich Kreutzmann, Andrea Ladinig, and Gyula Balka. 2023. "Quantitative Analysis of Inflammatory Uterine Lesions of Pregnant Gilts with Digital Image Analysis Following Experimental PRRSV-1 Infection" Animals 13, no. 5: 830. https://doi.org/10.3390/ani13050830
APA StyleHorváth, D. G., Abonyi-Tóth, Z., Papp, M., Szász, A. M., Rümenapf, T., Knecht, C., Kreutzmann, H., Ladinig, A., & Balka, G. (2023). Quantitative Analysis of Inflammatory Uterine Lesions of Pregnant Gilts with Digital Image Analysis Following Experimental PRRSV-1 Infection. Animals, 13(5), 830. https://doi.org/10.3390/ani13050830

