Study on the Effect of Oleic Acid-Induced Lipogenic Differentiation of Skeletal Muscle Satellite Cells in Yanbian Cattle and Related Mechanisms
Abstract
:Simple Summary
Abstract
1. Introduction
2. Materials and Methods
2.1. Induction of Differentiation of Yanbian Bovine Skeletal Muscle Satellite Cells
2.2. Measurement Index and Method
2.3. Cell Size and Viability
2.4. Triglyceride Concentration Measurement
2.5. Determination of Lipocalin (ADP) Content
2.6. Quantitative Testing of Related Myogenic Lipogenic Genes
2.7. Protein Immunoblotting (Western Blotting)
2.8. Transcriptomic Sequencing (RNA-Seq) Analysis
2.9. Statistical Analysis
3. Results
3.1. Effect of Different OA Concentrations on the Size and Viability of Yanbian Cattle Skeletal Muscle Satellite Cells
3.2. Effect of Different OA Concentrations on Lipid Droplet Formation in Yanbian Cattle Skeletal Muscle Satellite Cells
3.3. Effect of Different OA Concentrations on Triglyceride Concentration and Lipid Droplet Area in Yanbian Cattle Skeletal Muscle Satellite Cells
3.4. Effect of Different OA Concentrations on the ADP Content of Yanbian Cattle Skeletal Muscle Satellite Cells
3.5. Effect of Different OA Concentrations on the Expression of Myogenic Lipogenic Genes in Yanbian Cattle Skeletal Muscle Satellite Cells
3.5.1. Different OA Concentrations Downregulated the Expression of Myogenic-Related Genes
3.5.2. The Expression of Lipogenesis-Related Genes Was Upregulated by Different OA Concentrations
3.5.3. Expression of Fatty Acid-Associated Genes in Yanbian Cattle Skeletal Muscle Satellite Cells Treated with Different OA Concentrations
3.6. Effects of Different OA Concentrations on the Expression of Proteins Associated with Yanbian Cattle Skeletal Muscle Satellite Cells
3.7. Analysis of Differential Genes Involved in the Effects of Different OA Concentrations on Lipogenic Differentiation of Yanbian Cattle Skeletal Muscle Satellite Cells
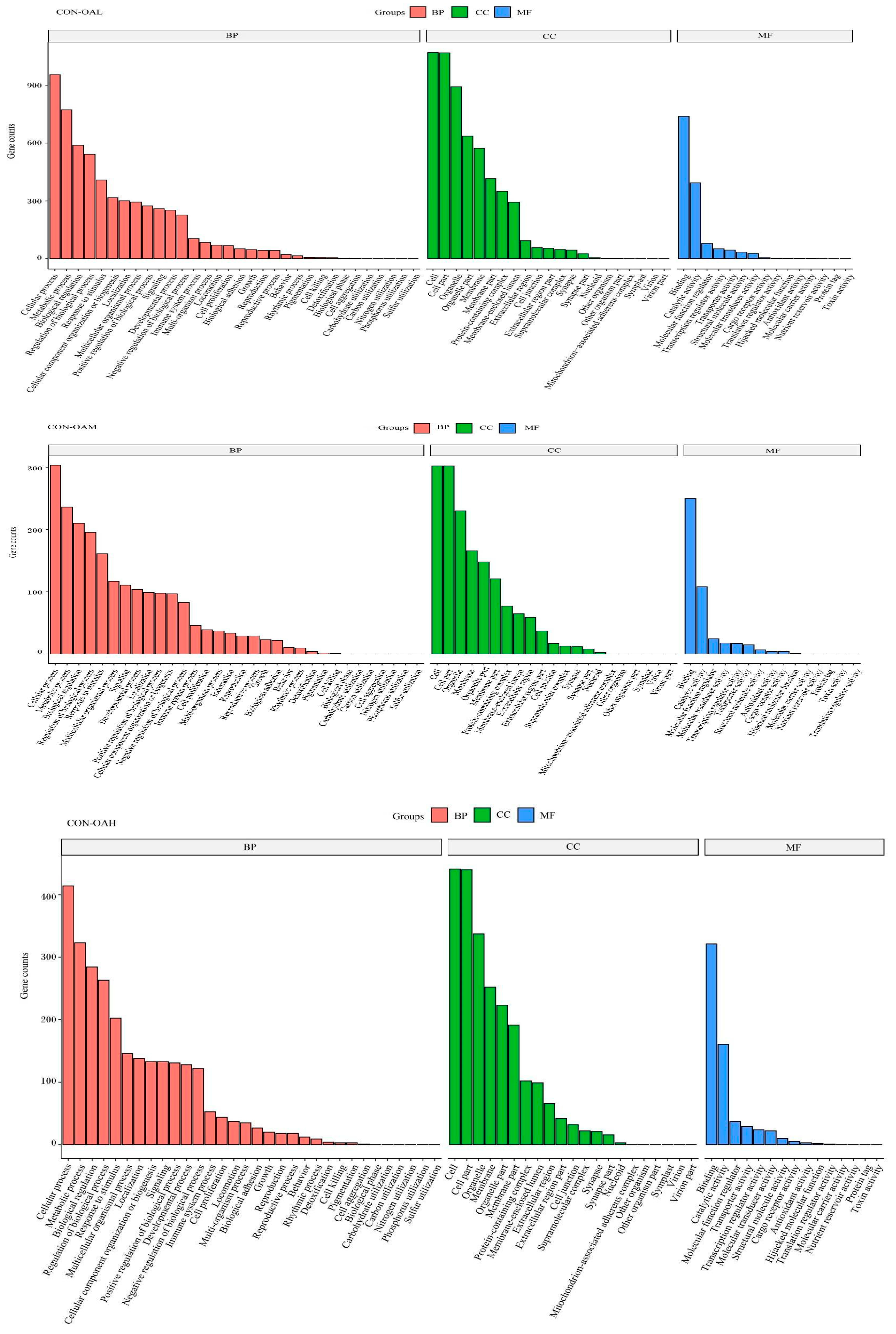
3.8. Functional Analysis of DEG GO in Yanbian Bovine Skeletal Muscle Satellite Cells Treated with Different OA Concentrations
3.9. KEGG Enrichment Analysis of DEG-Associated Pathways in Yanbian Cattle Skeletal Muscle Satellites Treated with Different OA Concentrations
3.10. Analysis of the Signaling Pathway of the PLIN2 Gene in Yanbian Cattle
3.11. Fluorescence Quantitative PCR Results of Effects of Different OA Concentrations on Differential Genes of Yanbian Bovine Skeletal Muscle Satellite Cells
4. Discussion
5. Conclusions
Supplementary Materials
Author Contributions
Funding
Institutional Review Board Statement
Informed Consent Statement
Data Availability Statement
Acknowledgments
Conflicts of Interest
References
- Harper, G.S.; Pethick, D.W. How might marbling begin. Aust. J. Exp. Agric. 2004, 44, 653–662. [Google Scholar] [CrossRef]
- Liao, F.H.; Liou, T.H.; Shieh, M.J.; Chien, Y.W. Effects of different ratios of monounsaturated and polyunsaturated fatty acids to saturated fatty acids on regulating body fat deposition in hamsters. Nutrition 2010, 26, 811–817. [Google Scholar] [CrossRef] [PubMed]
- Funari, S.S.; Barceló, F.; Escribá, P.V. Effects of oleic acid and its congeners, elaidic and stearic acids, on the structural properties of phosphatidylethanolamine membranes. J. Lipid Res. 2003, 44, 567–575. [Google Scholar] [CrossRef] [PubMed]
- Song, S.; Feng, L.P.; Su, H.W.; Cao, B.H.; Wu, M. Effect of oleic acid on proliferation and differentiation of perirenal preadipocytes in beef cattle. Chin. J. Anim. Husb. 2012, 48, 43–45. (In Chinese) [Google Scholar]
- Yang, J.M.; Gao, Y.; Li, C.H.; Liu, J.X. Effects of free fatty acids and insulin on the differentiation of adipose precursor cells. J. Beijing Med. Univ. 1998, 30, 276–278. (In Chinese) [Google Scholar]
- Ding, S.T.; Mersmann, H.J. Fatty acids modulate porcine adipocyte differentiation and transcripts for transcription factors and adipocyte-characteristic proteins. J. Nutr. Biochem. 2001, 12, 101–108. [Google Scholar]
- Smith, S.B.; Kawachi, H.; Choi, C.B.; Choi, C.W.; Wu, G.; Sawyer, J.E. Cellular regulation of bovine intramuscular adipose tissue development and composition. J. Anim. Sci. 2009, 87 (Suppl. 14), E72–E82. [Google Scholar] [CrossRef]
- Park, J.; Kim, H.L.; Jung, Y.; Ahn, K.S.; Kwak, H.J.; Um, J.Y. Bitter Orange (Citrus aurantium Linné) Improves Obesity by Regulating Adipogenesis and Thermogenesis through AMPK Activation. Nutrients 2019, 11, 1988. [Google Scholar] [CrossRef]
- Ntambi, J.M.; Young-Cheul, K. Adipocyte differentiation and gene expression. J. Nutr. 2000, 130, 3122S–3126S. [Google Scholar] [CrossRef]
- Su, X.; Zhao, Y.; Wang, Y.; Zhang, L.; Zan, L.; Wang, H. Overexpression of the Rybp Gene Inhibits Differentiation of Bovine Myoblasts into Myotubes. Int. J. Mol. Sci. 2018, 19, 2082. [Google Scholar] [CrossRef]
- Bentzinger, C.F.; Wang, Y.X.; Rudnicki, M.A. Building muscle: Molecular regulation of myogenesis. Cold Spring Harb. Perspect. Biol. 2012, 4, a008342. [Google Scholar] [CrossRef]
- Zhao, D.D.; Liu, C.C.; Jia, M.Y.; Yang, Y.; Ye, F.; Yan, Y.Q. Progress in the study of upstream transcriptional regulatory elements of muscle-specific gene promoters. Chin. J. Cell Biol. 2012, 34, 500–505. (In Chinese) [Google Scholar]
- MacDougald, O.A.; Lane, M.D. Transcriptional regulation of gene expression during Adipocyte differentiation. Annu. Rev. Biochem. 1995, 64, 345–373. [Google Scholar] [CrossRef] [PubMed]
- Zhang, Q.; Xiao, X.; Li, M.; Yu, M.; Ping, F. Bailing capsule ameliorates renal triglyceride accumulation through the PPARα pathway in diabetic rats. Front. Pharmacol. 2022, 13, 915592. [Google Scholar] [CrossRef] [PubMed]
- Brasaemle, D.L.; Barber, T.; Wolins, N.E.; Serrero, G.; Blanchette-Mackie, E.J.; Londos, C. Adipose differentiation-related protein is an ubiquitously expressed lipid storage droplet-associated. J. Lipid Res. 1997, 38, 2249–2263. [Google Scholar] [CrossRef] [PubMed]
- Park, S.R.; Cho, C.S.; Xi, J.; Kang, H.M.; Lee, J.H. Holistic characterization of single-hepatocyte transcriptome responses to high-fat diet. Am. J. Physiol. Endocrinol. Metab. 2021, 320, E244–E258. [Google Scholar] [CrossRef]
- Frühbeck, G.; Gómez-Ambrosi, J.; Muruzábal, F.J.; Burrell, M.A. The adipocyte: A model for integration of endocrine and metabolic signaling in energy metabolism. Am. J. Physiol. Endocrinol. Metab. 2001, 280, E827–E847. [Google Scholar] [CrossRef]
- Havel, P.J. Update on adipocyte hormones: Regulation of energy balance and carbohydrate/lipid metabolism. Diabetes 2004, 53 (Suppl. 1), S143–S151. [Google Scholar] [CrossRef]
- Rajala, M.W.; Scherer, P.E. Minireview: The adipocyte-at the crossroads of energy homeostasis, inflammation, and atherosclerosis. Endocrinology 2003, 144, 3765–3773. [Google Scholar] [CrossRef]
- Trayhum, P. Endocrine and signalling role of adipose tissue: New perspectives on fat. Acta Physiol. Scand. 2005, 184, 285–293. [Google Scholar] [CrossRef]
- Wang, Z.V.; Scherer, P.E. Adiponectin, the past two decades. J. Mol. Cell Biol. 2016, 8, 93–100. [Google Scholar] [CrossRef] [PubMed]
- Berg, A.H.; Scherer, P.E. Adipose tissue, inflammation, and cardiovascular disease. Circ. Res. 2005, 96, 939–949. [Google Scholar] [CrossRef] [PubMed]
- Kubota, N.; Terauchi, Y.; Yamauchi, T.; Kubota, T.; Moroi, M.; Matsui, J.; Eto, K.; Yamashita, T.; Kamon, J.; Satoh, H.; et al. Disruption of adiponectin causes insulin resistance and neointimal formation. J. Biol. Chem. 2002, 277, 25863–25866. [Google Scholar] [CrossRef] [PubMed]
- Okamoto, Y.; Kihara, S.; Ouchi, N.; Nishida, M.; Arita, Y.; Kumada, M.; Ohashi, K.; Sakai, N.; Shimomura, I.; Kobayashi, H.; et al. Adiponectin reduces atherosclerosis in apolipoprotein E-deficient mice. Circulation 2002, 106, 2767–2770. [Google Scholar] [CrossRef]
- Shimada, K.; Miyazaki, T.; Daida, H. Adiponectin and atherosclerotic disease. Clin. Chim. Acta 2004, 344, 1–12. [Google Scholar] [CrossRef]
- Wang, B.H.; Jenkins, J.R.; Trayhum, P. Expression and secretion of inflammation- related adipokines by human adipocytes differentiated in culture. Integrated response to TNF- alpha. Am. J. Physiol. Endocrinol. Metab. 2005, 288, E731–E740. [Google Scholar] [CrossRef]
- Shehzad, A.; Iqbal, W.; Shehzad, O.; Lee, Y.S. Adiponectin: Regulation of its production and its role in human diseases. Hormones 2012, 11, 8–20. [Google Scholar] [CrossRef]
- Yamauchi, T.; Nio, Y.; Maki, T.; Kobayashi, M.; Takazawa, T.; Iwabu, M.; Okada-Iwabu, M.; Kawamoto, S.; Kubota, N.; Kubota, T.; et al. Targeted disruption of AdipoR1 and AdipoR2 causes abrogation of adiponectin binding and metabolic actions. Nat. Med. 2007, 13, 332–339. [Google Scholar] [CrossRef]
- Fang, H.; Judd, R.L. Adiponectin regulation and function. Compr. Physiol. 2018, 8, 1031–1063. [Google Scholar]
- Gustafson, B.; Jack, M.M.; Cushman, S.W.; Smith, U. Adiponectin gene activation by thiazolidinediones requires PPARgamma2, but not C/EBP alpha-evidence for differential regulation of the aP2 and adiponectin genes. Biochem. Biophys. Res. Commun. 2003, 308, 933–939. [Google Scholar] [CrossRef]
- He, W.M.; Barak, Y.; Hevener, A.; Olson, P.; Liao, D.; Le, J.M.; Nelson, M.; Ong, E.; Olefsky, J.M.; Evans, R.M. Adipose-specific peroxisome proliferator- activated receptor gamma knockout causes insulin resistance in fat and liver but not in muscle. Proc. Natl. Acad. Sci. USA 2003, 100, 15712–15717. [Google Scholar] [CrossRef] [PubMed]
- Yamauchi, T.; Kamon, J.; Ito, Y.; Tsuchida, A.; Yokomizo, T.; Kita, S.; Sugiyama, T.; Miyagishi, M.; Hara, K.; Tsunoda, M.; et al. Cloning of adiponectin receptors that mediate antidiabetic metabolic effects. Nature 2003, 423, 762–769. [Google Scholar] [CrossRef] [PubMed]
- Wang, C.; Zhang, W.; Xu, W.; Liu, Z.; Huang, K. AMP-activated protein kinase α1 phosphorylates PHD2 to maintain systemic iron homeostasis. Clin. Transl. Med. 2022, 12, e854. [Google Scholar] [CrossRef] [PubMed]
- Herzig, S.; Shaw, R.J. AMPK: Guardian of metabolism and mitochondrial homeostasis. Nat. Rev. Mol. Cell Biol. 2018, 19, 121–135. [Google Scholar] [CrossRef]
- Chinetti, G.; Fruchart, J.C.; Staels, B. Peroxisome proliferator-activated receptors (PPARs): Nuclear receptors at the crossroads between lipid metabolism and inflammation. Inflamm. Res. 2000, 49, 497–505. [Google Scholar] [CrossRef]
- Bogdanov, M.; Sun, J.; Kaback, H.R.; Dowhan, W. A phospholipid acts as a chaperone in assembly of a membrane transport protein. J. Biol. Chem. 1996, 271, 11615–11618. [Google Scholar] [CrossRef]
- Siegel, D.P.; Banschbach, J.; Alford, D.; Ellens, H.; Lis, L.J.; Quinn, P.J.; Yeagle, P.L.; Bentz, J. Physiological levels of diacylglycerols in phospholipid membranes induce membrane fusion and stabilise inverted phases. Biochemistry 1989, 28, 3703–3709. [Google Scholar] [CrossRef]
- Emoto, K.; Kobayashi, T.; Yamaji, A.; Aizawa, H.; Yahara, I.; Inoue, K.; Umeda, M. Redistribution of phosphatidylethano-lamine at the cleavage furrow of dividing cells during cytokinesis. Proc. Natl. Acad. Sci. USA 1996, 93, 12867–12872. [Google Scholar] [CrossRef]
- Gudi, S.; Nolan, J.P.; Frangos, J.A. Modulation of GTPase activity of G proteins by fluid shear stress and phospholipid composition. Proc. Natl. Acad. Sci. USA 1998, 95, 2515–2519. [Google Scholar] [CrossRef]
- Rietveld, A.G.; Koorengevel, M.C.; de Kruijff, B. Non-bilayer lipids are required for efficient protein transport across the plasma membrane of Escherichia coli. EMBO J. 1995, 14, 5506–5513. [Google Scholar] [CrossRef]
- Qiao, X.; Zhou, Z.C.; Niu, R.; Su, Y.T.; Sun, Y.; Liu, H.L.; Teng, J.L.; Ye, J.N. Hydroxychloroquine Improves Obesity-Associated Insulin Resistance and Hepatic Steatosis by Regulating Lipid Metabolism. Front. Pharmacol. 2019, 10, 855. [Google Scholar] [CrossRef] [PubMed]
- Matsusue, K.; Aibara, D.; Hayafuchi, R.; Matsuo, K.; Takiguchi, S.; Gonzalez, F.J.; Yamano, S. Hepatic PPARγ and LXRα independently Regulating lipid accumulation in the livers of genetically obese mice. FEBS Lett. 2014, 588, 2277–2281. [Google Scholar] [CrossRef] [PubMed]
- Dubois, V.; Eeckhoute, J.; Lefebvre, P.; Staels, B. Distinct but complementary contributions of PPAR isotypes to energy homeostasis. J. Clin. Investig. 2017, 127, 1202–1214. [Google Scholar] [CrossRef] [PubMed]
- De la Rosa Rodriguez, M.A.; Kersten, S. Regulation of lipid droplet-associated proteins by peroxisome proliferator-activated receptors. Biochim. Biophys. Acta Mol. Cell Biol. Lipids 2017, 10, 1212–1220. [Google Scholar] [CrossRef]
- Targett-Adams, P.; McElwee, M.J.; Ehrenborg, E.; Gustafsson, M.C.; Palmer, C.N.; McLauchlan, J. A PPAR response element regulates transcription of the gene for human adipose differentiation- related protein. Biochim. Biophys. Acta 2005, 1728, 95–104. [Google Scholar] [CrossRef]
- Yang, H.; Suh, D.H.; Kim, D.H.; Jung, E.S.; Liu, K.H.; Lee, C.H.; Park, C.Y. Metabolomic and lipidomic analysis of the effect of pioglitazone on hepatic steatosis in a rat model of obese type 2 diabetes. Br. J. Pharmacol. 2018, 175, 3610–3625. [Google Scholar] [CrossRef]
- Tontonoz, P.; Hu, E.; Devune, J.; Beale, E.G.; Spiegelman, B.M. PPAR gamma 2 regulates adipose expression of the phosphoenolpyruvate carboxykinase gene. Mol. Cell. Biol. 1995, 15, 351–357. [Google Scholar] [CrossRef]
- Glorian, M.; Duplus, E.; Beale, E.G.; Scott, D.K.; Granner, D.K.; Forest, C. A single element in the phosphoenolpy-ruvate carboxykinase gene mediates thiazolidinedione action specifically in adipocytes. Biochimie 2001, 83, 933–943. [Google Scholar] [CrossRef]

















| Genes | GenBank Accession No. | Primer Sequences (5′-3′) | Product Length in bp |
|---|---|---|---|
| Pax3 | NM_001206818.2 | GGCTGCGTCTCTAAGATCCT | 158 |
| ATTTCCCAGCTGAACATGCC | |||
| MYF5 | NM_174116 | CCCACCTCAAGTTGCTCTGA | 115 |
| CCGTGGCATATACATTTGGTACA | |||
| MRF4 | NM_181811 | TGGACCCCTTCAGCTACAGA | 139 |
| ATGCTTGTCCCTCCTTCCTTG | |||
| PPARγ | NM_181024 | ATCTGCTGCAAGCCTTGGA | 138 |
| TGGAGCAGCTTGGCAAAGA | |||
| C/EBPα | GU947654 | CCAGAAGAAGGTGGAGCAACTG | 69 |
| TCGGGCAGCGTCTTGAAC | |||
| C/EBPβ | NM_176788 | CAACCTGGAGACGCAGCACAAG | 143 |
| CGGAGGAGGCGAGCAGAGG | |||
| SREBP1 | NM_001113302 | GCAGCCCATTCATCAGCCAGACC | 146 |
| CGACACCACCAGCATCAACCACG | |||
| SCD | NM_173959 | TGCCCACCACAAGTTTTCAG | 80 |
| GCCAACCCACGTGAGAGAAG | |||
| LPL | NM_001075120 | ACGATTATTGCTCAGCATGG | 130 |
| ACTTTGTACAGGCACAACCG | |||
| FABP4 | NM_174314.2 | AAACTTAGATGAAGGTGCTCTGG | 134 |
| CATAAACTCTGGTGGCAGTGA | |||
| CPT1β | NM_004377.4 | ACACATCTACCTGTCCGTGATCA | 72 |
| CCCCTGAGGATGCCATTCT | |||
| CD36 | NM_001278621.1 | ACTGCGGATGGAATTTACAAAG | 142 |
| ATGAGGCTGCATCTGTACCATTA | |||
| GAPDH | NM_001034034.2 | ACTCTGGCAAAGTGGATGTTGTC | 199 |
| GCATCACCCCACTTGATGTTG |
| Genes | ID | Signaling Pathways | Difference Multiplier log2(FC) | p Value | q Value | CON | OAL | OAM | OAH |
|---|---|---|---|---|---|---|---|---|---|
| LPL | bta03320 | PPAR signaling pathway | −0.738 37 | 0.026 80 | 0.150245 | 5.29657 | 3.93057 | 6.40422 | 2.28923 |
| FABP4 | 0.653 49 | 0.079 00 | 0.27557 | 28.9384 | 30.4699 | 79.478 | 26.6091 | ||
| CPT1B | 1.348 20 | 0.001 40 | 0.029393 | 1.79469 | 6.44781 | 4.92493 | 2.3348 |
Disclaimer/Publisher’s Note: The statements, opinions and data contained in all publications are solely those of the individual author(s) and contributor(s) and not of MDPI and/or the editor(s). MDPI and/or the editor(s) disclaim responsibility for any injury to people or property resulting from any ideas, methods, instructions or products referred to in the content. |
© 2023 by the authors. Licensee MDPI, Basel, Switzerland. This article is an open access article distributed under the terms and conditions of the Creative Commons Attribution (CC BY) license (https://creativecommons.org/licenses/by/4.0/).
Share and Cite
Sun, B.; Sun, J.; Li, Q.; Wang, Y.; Wang, E.; Jin, H.; Hua, H.; Jin, Q.; Li, X. Study on the Effect of Oleic Acid-Induced Lipogenic Differentiation of Skeletal Muscle Satellite Cells in Yanbian Cattle and Related Mechanisms. Animals 2023, 13, 3618. https://doi.org/10.3390/ani13233618
Sun B, Sun J, Li Q, Wang Y, Wang E, Jin H, Hua H, Jin Q, Li X. Study on the Effect of Oleic Acid-Induced Lipogenic Differentiation of Skeletal Muscle Satellite Cells in Yanbian Cattle and Related Mechanisms. Animals. 2023; 13(23):3618. https://doi.org/10.3390/ani13233618
Chicago/Turabian StyleSun, Bin, Jianfu Sun, Qiang Li, Ying Wang, Enze Wang, Huaina Jin, Huan Hua, Qiyun Jin, and Xiangzi Li. 2023. "Study on the Effect of Oleic Acid-Induced Lipogenic Differentiation of Skeletal Muscle Satellite Cells in Yanbian Cattle and Related Mechanisms" Animals 13, no. 23: 3618. https://doi.org/10.3390/ani13233618
APA StyleSun, B., Sun, J., Li, Q., Wang, Y., Wang, E., Jin, H., Hua, H., Jin, Q., & Li, X. (2023). Study on the Effect of Oleic Acid-Induced Lipogenic Differentiation of Skeletal Muscle Satellite Cells in Yanbian Cattle and Related Mechanisms. Animals, 13(23), 3618. https://doi.org/10.3390/ani13233618

