Effects of High-Intensity Laser Therapy (HILT) on Skin Surface Temperature and Vein Diameter in Healthy Racehorses with Clipped and Non-Clipped Coat
Abstract
Simple Summary
Abstract
1. Introduction
2. Materials and Methods
2.1. Animals and Study Design
2.2. High-Intensity Laser Therapy
2.3. Ultrasonographic Examination
2.4. Thermographic Examination
2.5. Statistical Analysis
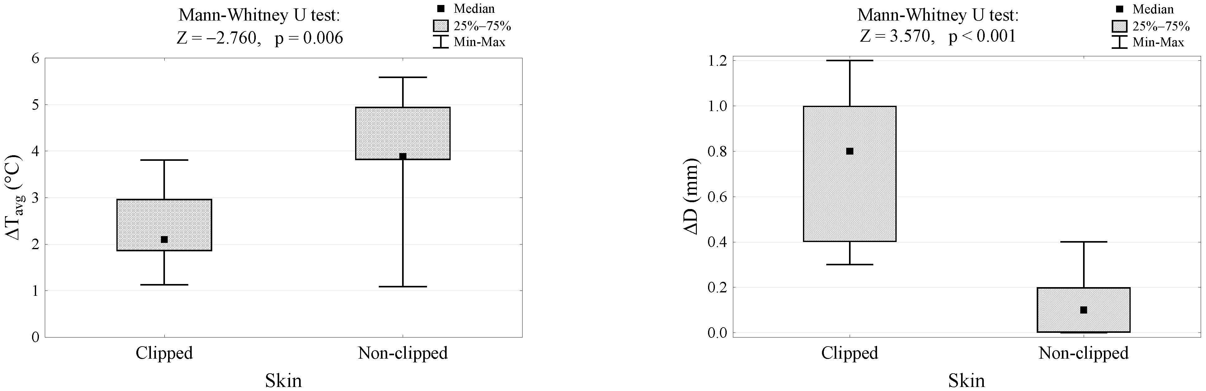
3. Results
4. Discussion
5. Conclusions
Author Contributions
Funding
Institutional Review Board Statement
Informed Consent Statement
Data Availability Statement
Acknowledgments
Conflicts of Interest
References
- Fortuna, D. High-intensity laser therapy for the equine patient. In Laser Therapy in Veterinary Medicine: Photobiomodulation; Riegel, R.J., Godbold, J.C., Jr., Eds.; Wiley Blackwell: New York, NY, USA, 2017; pp. 415–421. [Google Scholar]
- Kidtiwong, A.; Issariyodom, P.; Pirunsan, U.; Na Lampang, K.; Rungsri, P. Superficial digital flexor tendinitis treatment using high-intensity laser therapy and therapeutic ultrasound in polo ponies. Vet. Integr. Sci. 2022, 20, 253–266. [Google Scholar] [CrossRef]
- Basford, J.R. Low intensity laser therapy: Still not an established clinical tool. Laser Surg. Med. 1995, 16, 331–342. [Google Scholar] [CrossRef] [PubMed]
- Alayat, M.S.; Atya, A.M.; Ali, M.M.; Shosha, T.M. Long-term effect of high-intensity laser therapy in the treatment of patients with chronic low back pain: A randomized blinded placebo-controlled trial. Lasers Med. Sci. 2014, 29, 1065–1073. [Google Scholar] [CrossRef] [PubMed]
- Zielińska, P.; Soroko, M.; Godlewska, M.; Śniegucka, K.; Dudek, K.; Howell, K. Photothermal effect of high-intensity laser therapy on the superficial digital flexor tendon area in clinically healthy racehorses. Animals 2022, 12, 1253. [Google Scholar] [CrossRef]
- Santamato, A.; Solfrizzi, V.; Panza, F.; Tondi, G.; Frisardi, V.; Leggin, B.G.; Ranieri, M.; Fiore, P. Short-term effects of high-intensity laser therapy versus ultrasound therapy in the treatment of people with subacromial impingement syndrome: A randomized clinical trial. Phys. Ther. 2009, 89, 643–652. [Google Scholar] [CrossRef] [PubMed]
- Thabet, A.A.E.; Elsodany, A.M.; Battecha, K.H.; Alshehri, M.A.; Refaat, B. High-intensity laser therapy versus pulsed electromagnetic field in the treatment of primary dysmenorrhea. J. Phys. Ther. Sci. 2017, 29, 1742–1748. [Google Scholar] [CrossRef] [PubMed]
- White, P.F.; Elvir-Lazo, O.L.; Yumul, R. Cold laser therapy for acute and chronic pain management: A comparison of low-level and high-intensity laser therapy devices. Anesthesiol. News 2019, 13, 65–77. [Google Scholar]
- Prindeze, N.J.; Moffatt, L.T.; Shupp, J.W. Mechanisms of action for light therapy: A review of molecular interactions. Exp. Biol. Med. 2012, 237, 1241–1248. [Google Scholar] [CrossRef] [PubMed]
- Hochman-Elam, L.N.; Heidel, R.E.; Shmalberg, J.W. Effects of laser power, wavelength, coat length, and coat color on tissue penetration using photobiomodulation in healthy dogs. Can. J. Vet. Res. 2020, 84, 131–137. [Google Scholar]
- Peat, F.J.; Colbath, A.C.; Bentsen, L.M.; Goodrich, L.R.; King, M.R. In vitro effects of high-intensity laser photobiomodulation on equine bone marrow-derived mesenchymal stem cell viability and cytokine expression. Photomed. Laser Surg. 2018, 36, 83–91. [Google Scholar] [CrossRef]
- Desmet, K.D.; Paz, D.A.; Corry, J.J.; Eells, J.T.; Wong-Riley, M.T.; Henry, M.M.; Buchmann, E.V.; Connelly, M.P.; Dovi, J.V.; Liang, H.L.; et al. Clinical and experimental applications of NIR-LED photo-biomodulation. Photomed. Laser Surg. 2006, 24, 121–128. [Google Scholar] [CrossRef] [PubMed]
- Walsh, L.J. The current status of low level laser therapy in dentistry. Part 1. Soft tissue applications. Aust. Dent. J. 1997, 42, 247–254. [Google Scholar] [CrossRef] [PubMed]
- Pluim, M.; Martens, A.; Vanderperren, K.; Sarrazin, S.; Koene, M.; Luciani, A.; Van Weeren, P.; Delesalle, C. Short- and long term follow-up of 150 sports horses diagnosed with tendinopathy or desmopathy by ultrasonographic examination and treated with high-power laser therapy. Res. Vet. Sci. 2018, 119, 232–238. [Google Scholar] [CrossRef] [PubMed]
- Zielińska, P.; Nicpoń, J.; Kiełbowicz, Z.; Soroko, M.; Dudek, K.; Zaborski, D. Effects of high intensity laser therapy in the treatment of tendon and ligament injuries in performance horses. Animals 2020, 10, 1327. [Google Scholar] [CrossRef]
- Jaafar, S.E.; Al-Bayti, A.A.; Abdullah, S.I. Using short term of high power laser therapy in horse’s tendon injuries. Arch. Razi Inst. 2021, 76, 1437–1444. [Google Scholar]
- Zielińska, P.; Kiełbowicz, Z.; Paczuska, J. High Intensity Laser Therapy (HILT) in treatment of orthopedic diseases in horses. Med. Weter. 2015, 7, 373–376. [Google Scholar]
- Quiney, L.; Murray, R.; Dyson, D. Management of primary injuries of the medial collateral ligament of the carpus in two horses. J. Equine Vet. Sci. 2020, 86, 102878. [Google Scholar] [CrossRef]
- Haussler, K.K.; Manchon, P.T.; Donnell, J.R.; Frisbie, D.D. Effects of low-level laser therapy and chiropractic care on back pain in quarter horses. J. Equine Vet. Sci. 2020, 86, 102891. [Google Scholar] [CrossRef]
- Chung, H.; Dai, T.; Sharma, S.K.; Huang, Y.Y.; Carroll, J.D.; Hamblin, M.R. The nuts and bolts of low-level laser (light) therapy. Ann. Biomed. Eng. 2012, 40, 516–533. [Google Scholar] [CrossRef]
- Zielińska, P.; Soroko, M.; Howell, K.; Godlewska, M.; Hildebrand, W.; Dudek, K. Comparison of the effect of high-intensity laser therapy (HILT) on skin surface temperature and vein diameter in pigmented and non-pigmented skin in healthy racehorses. Animals 2021, 11, 1965. [Google Scholar] [CrossRef]
- Duesterdieck-Zellmer, K.F.; Larson, M.K.; Plant, T.K.; Sundholm-Tepper, A.; Payton, M.E. Ex vivo penetration of low-level laser light through equine skin and flexor tendons. Am. J. Vet. Res. 2016, 77, 991–999. [Google Scholar] [CrossRef] [PubMed]
- Ryan, T.; Smith, R. An investigation into the depth of penetration of low level laser therapy through the equine tendon in vivo. Ir. Vet. J. 2007, 60, 295–299. [Google Scholar] [CrossRef] [PubMed]
- Godlewska, M.; Soroko, M.; Zielińska, P. Assessment of vein diameter and body surface temperature after high-intensity laser therapy (HILT) on the tarsal joint in healthy horses. J. Equine Vet. Sci. 2020, 93, 103198. [Google Scholar] [CrossRef] [PubMed]
- Soroko, M.; Zaborski, D.; Dudek, K.; Yarnell, K.; Górniak, W.; Vardasca, R. Evaluation of thermal pattern distributions in racehorse saddles using infrared thermography. PLoS ONE 2019, 14, e0221622. [Google Scholar] [CrossRef] [PubMed]
- Howell, K.; Dudek, K.; Soroko, M. Thermal camera performance and image analysis repeatability in equine thermography. Infrared Phys. Technol. 2020, 110, 103447. [Google Scholar] [CrossRef]
- Laakso, L.; Richardson, C.; Cramond, T. Factors affecting low level laser therapy. Aust. J. Physiother. 1993, 39, 95–99. [Google Scholar] [CrossRef]
- Millis, D.L.; Saunders, D.G. Laser therapy in canine rehabilitation. In Canine Rehabilitation and Physical Therapy; W.B. Saunders: Philly, PA, USA, 2014; pp. 359–380. [Google Scholar]
- Bergh, A.; Nyman, G.; Lundeberg, T.; Drevemo, S. Effect of defocused CO2 laser on equine skin, subcutis and fetlock joint temperature. Equine Comp. Exerc. Physiol. 2005, 2, 61–69. [Google Scholar] [CrossRef]
- Cena, K. Radiative heat loss from animal and man. In Heat Loss From Animals and Man; Monteih, J.L., Mount, L.E., Eds.; Butterworths: London, UK, 1974; pp. 34–57. [Google Scholar]
- Turner, T.A.; Fessler, J.F.; Lamp, M.; Pearce, J.A.; Geddes, L.A. Thermographic evaluation of horses with podotrochlosis. Am. J. Vet. Res. 1983, 44, 535–539. [Google Scholar]
- Nagasawa, A.; Kato, K.; Negishi, A. Bone regeneration effect of low level lasers including argon laser. Laser Ther. 1991, 3, 59–62. [Google Scholar] [CrossRef]



| Parameters | Clipped Coat (N = 10) | Non-Clipped Coat (N = 10) | Clipped Coat vs. Non-Clipped Coat (p-Value) | Power 1 − β | |
|---|---|---|---|---|---|
| Before HILT | Tavg (°C) | 31.6 (29.0–33.0) | 27.9 (27.3–29.0) | 0.005 ** | 0.974 |
| Range | 28.9–33.4 | 28.9–33.4 | |||
| D (mm) | 4.6 (4.0–4.9) | 4.6 (4.0–4.9) | 0.939 | 0.051 | |
| Range | 3.6–5.2 | 3.5–5.3 | |||
| After HILT | Tavg (°C) | 33.4 (32.5–34.9) | 32.4 (31.3–33.5) | 0.089 | 0.562 |
| Min–Max | 31.1–35.4 | 29.5–33.8 | |||
| D (mm) | 5.3 (4.8–5.8) | 4.6 (4.2–5.1) | 0.130 | 0.796 | |
| Range | 4.0–6.4 | 3.5–5.6 | |||
| ∆Tavg (°C) | 2.1 (1.9–3.0) | 3.9 (3.8–5.0) | 0.006 ** | 0.863 | |
| Range | 1.1–3.8 | 1.1–5.6 | |||
| ∆D (mm) | 0.8 (0.4–1.0) | 0.1 (0.0–0.2) | <0.001 *** | 0.999 | |
| Range | 0.3–1.2 | 0.0–0.4 |
Disclaimer/Publisher’s Note: The statements, opinions and data contained in all publications are solely those of the individual author(s) and contributor(s) and not of MDPI and/or the editor(s). MDPI and/or the editor(s) disclaim responsibility for any injury to people or property resulting from any ideas, methods, instructions or products referred to in the content. |
© 2023 by the authors. Licensee MDPI, Basel, Switzerland. This article is an open access article distributed under the terms and conditions of the Creative Commons Attribution (CC BY) license (https://creativecommons.org/licenses/by/4.0/).
Share and Cite
Zielińska, P.; Soroko-Dubrovina, M.; Śniegucka, K.; Dudek, K.; Čebulj-Kadunc, N. Effects of High-Intensity Laser Therapy (HILT) on Skin Surface Temperature and Vein Diameter in Healthy Racehorses with Clipped and Non-Clipped Coat. Animals 2023, 13, 216. https://doi.org/10.3390/ani13020216
Zielińska P, Soroko-Dubrovina M, Śniegucka K, Dudek K, Čebulj-Kadunc N. Effects of High-Intensity Laser Therapy (HILT) on Skin Surface Temperature and Vein Diameter in Healthy Racehorses with Clipped and Non-Clipped Coat. Animals. 2023; 13(2):216. https://doi.org/10.3390/ani13020216
Chicago/Turabian StyleZielińska, Paulina, Maria Soroko-Dubrovina, Karolina Śniegucka, Krzysztof Dudek, and Nina Čebulj-Kadunc. 2023. "Effects of High-Intensity Laser Therapy (HILT) on Skin Surface Temperature and Vein Diameter in Healthy Racehorses with Clipped and Non-Clipped Coat" Animals 13, no. 2: 216. https://doi.org/10.3390/ani13020216
APA StyleZielińska, P., Soroko-Dubrovina, M., Śniegucka, K., Dudek, K., & Čebulj-Kadunc, N. (2023). Effects of High-Intensity Laser Therapy (HILT) on Skin Surface Temperature and Vein Diameter in Healthy Racehorses with Clipped and Non-Clipped Coat. Animals, 13(2), 216. https://doi.org/10.3390/ani13020216

