Luteotropic and Luteolytic Factors Modulate the Expression of Nuclear Receptor Coregulators in Bovine Luteal Cells Independently of Histone Acetyltransferase and Histone Deacetylase Activities
Abstract
Simple Summary
Abstract
1. Introduction
2. Materials and Methods
2.1. CL Collection and Isolation of Luteal Cells
2.2. P4 Concentrations
2.3. RNA Isolation and Reverse Transcription
2.4. Real-Time Polymerase Chain Reactions (PCRs)
2.5. Western Blot Analysis
2.6. HAT and HDAC Activities
2.7. Data Analysis
3. Results
3.1. P4 Concentrations
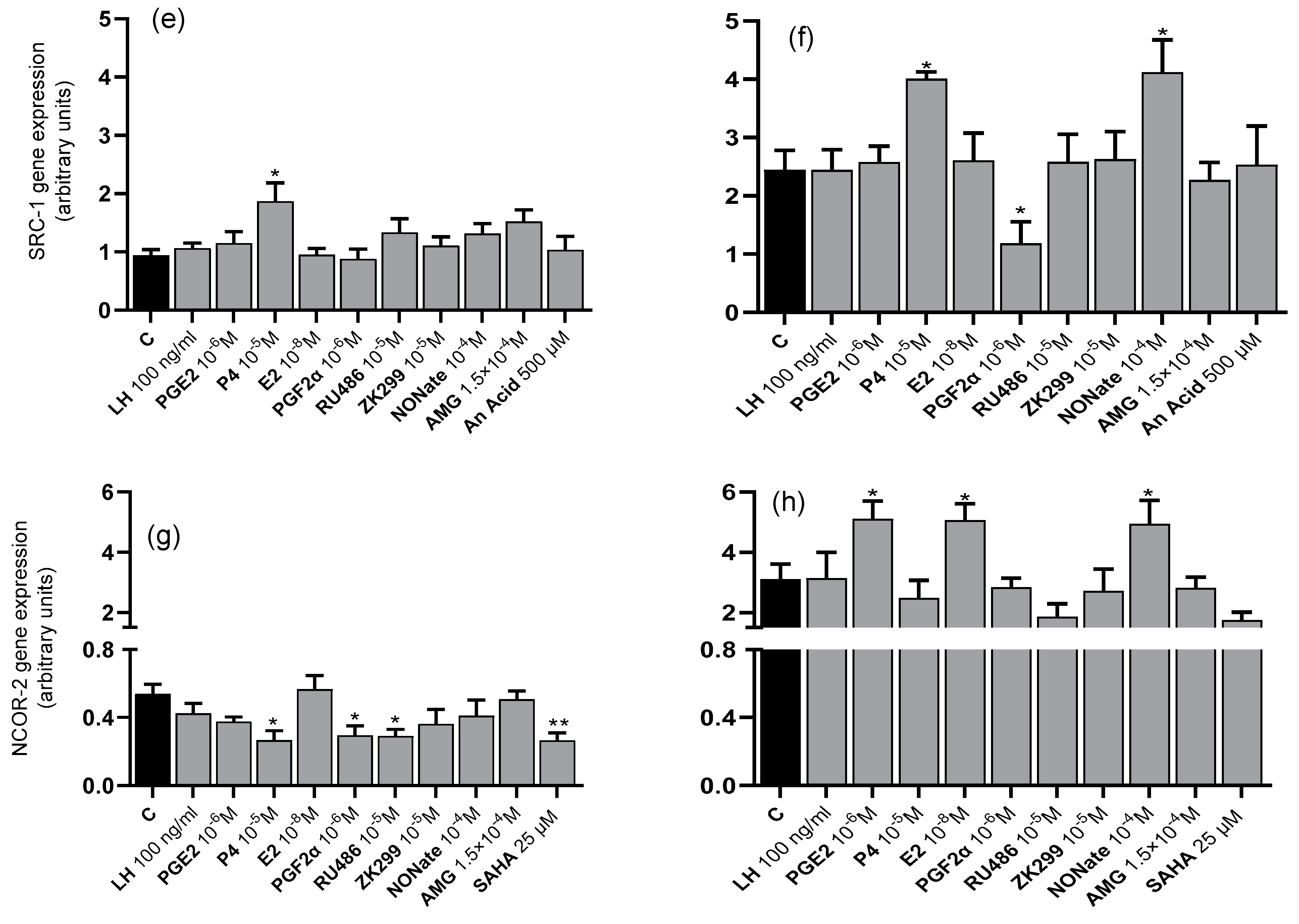
3.2. Coregulator mRNA Levels
3.3. Coregulator Protein Levels
3.4. HAT and HDAC Activities
4. Discussion
Supplementary Materials
Author Contributions
Funding
Institutional Review Board Statement
Informed Consent Statement
Data Availability Statement
Acknowledgments
Conflicts of Interest
References
- Wehling, M.; Lösel, R. Non-Genomic Steroid Hormone Effects: Membrane or Intracellular Receptors? J. Steroid Biochem. Mol. Biol. 2006, 102, 180–183. [Google Scholar] [CrossRef]
- Rekawiecki, R.; Kowalik, M.K.; Kotwica, J. Cloning and Expression of Progesterone Receptor Isoforms A and B in Bovine Corpus Luteum. Reprod. Fertil. Dev. 2015, 27, 1029–1037. [Google Scholar] [CrossRef] [PubMed]
- Xu, L.; Glass, C.K.; Rosenfeld, M.G. Coactivator and Corepressor Complexes in Nuclear Receptor Function. Curr. Opin. Genet. Dev. 1999, 9, 140–147. [Google Scholar] [CrossRef]
- Lonard, D.M.; Lanz, R.B.; O’Malley, B.W. Nuclear Receptor Coregulators and Human Disease. Endocr. Rev. 2007, 28, 575–587. [Google Scholar] [CrossRef]
- Hanstein, B.; Eckner, R.; DiRenzo, J.; Halachmi, S.; Liu, H.; Searcy, B.; Kurokawa, R.; Brown, M. P300 Is a Component of an Estrogen Receptor Coactivator Complex. Proc. Natl. Acad. Sci. USA 1996, 93, 11540–11545. [Google Scholar] [CrossRef] [PubMed]
- Bevan, C.L.; Hoare, S.; Claessens, F.; Heery, D.M.; Parker, M.G. The AF1 and AF2 Domains of the Androgen Receptor Interact with Distinct Regions of SRC1. Mol. Cell Biol. 1999, 19, 8383–8392. [Google Scholar] [CrossRef] [PubMed]
- McKay, L.I.; Cidlowski, J.A. CBP (CREB Binding Protein) Integrates NF-KappaB (Nuclear Factor-KappaB) and Glucocorticoid Receptor Physical Interactions and Antagonism. Mol. Endocrinol. 2000, 14, 1222–1234. [Google Scholar] [CrossRef]
- Tyler, J.K.; Kadonaga, J.T. The “Dark Side” of Chromatin Remodeling: Repressive Effects on Transcription. Cell 1999, 99, 443–446. [Google Scholar] [CrossRef]
- Wiench, M.; Miranda, T.B.; Hager, G.L. Control of Nuclear Receptor Function by Local Chromatin Structure. FEBS J. 2011, 278, 2211–2230. [Google Scholar] [CrossRef]
- Rekawiecki, R.; Dobrzyn, K.; Kotwica, J.; Kowalik, M.K. Progesterone Receptor Coregulators as Factors Supporting the Function of the Corpus Luteum in Cows. Genes 2020, 11, 923. [Google Scholar] [CrossRef]
- Rekawiecki, R.; Dobrzyn, K.; Kowalik, M.K. Steroid Receptor Coregulators Can Modulate the Action of Progesterone Receptor during the Estrous Cycle in Cow Endometrium. Animals 2021, 11, 3217. [Google Scholar] [CrossRef]
- Rekawiecki, R.; Kowalik, M.K.; Kotwica, J. Luteotropic and Luteolytic Factors Regulate MRNA and Protein Expression of Progesterone Receptor Isoforms A and B in the Bovine Endometrium. Reprod. Fertil. Dev. 2014, 28, 907–913. [Google Scholar] [CrossRef]
- Okuda, K.; Uenoyama, Y.; Naito, C.; Sakabe, Y.; Kawate, N. Luteinizing Hormone Receptors in the Bovine Corpus Luteum during the Oestrous Cycle and Pregnancy. Reprod. Fertil. Dev. 1999, 11, 147–151. [Google Scholar] [CrossRef]
- Kotwica, J.; Skarzynski, D.; Mlynarczuk, J.; Rekawiecki, R. Role of Prostaglandin E2 in Basal and Noradrenaline-Induced Progesterone Secretion by the Bovine Corpus Luteum. Prostaglandins Other Lipid Mediat. 2003, 70, 351–359. [Google Scholar] [CrossRef]
- Niswender, G.D.; Juengel, J.L.; Silva, P.J.; Rollyson, M.K.; McIntush, E.W. Mechanisms Controlling the Function and Life Span of the Corpus Luteum. Physiol. Rev. 2000, 80, 1–29. [Google Scholar] [CrossRef]
- Beck, T.W.; Convey, E.M. Estradiol Control of Serum Luteinizing Hormone Concentrations in the Bovine. J. Anim. Sci. 1977, 45, 1096–1101. [Google Scholar] [CrossRef] [PubMed]
- Savouret, J.F.; Misrahi, M.; Loosfelt, H.; Atger, M.; Bailly, A.; Perrot-Applanat, M.; Vu Hai, M.T.; Guiochon-Mantel, A.; Jolivet, A.; Lorenzo, F. Molecular and Cellular Biology of Mammalian Progesterone Receptors. Recent Prog. Horm. Res. 1989, 45, 65–116; discussion 116–120. [Google Scholar] [PubMed]
- Rekawiecki, R.; Nowik, M.; Kotwica, J. Stimulatory Effect of LH, PGE2 and Progesterone on StAR Protein, Cytochrome P450 Cholesterol Side Chain Cleavage and 3beta Hydroxysteroid Dehydrogenase Gene Expression in Bovine Luteal Cells. Prostaglandins Other Lipid Mediat. 2005, 78, 169–184. [Google Scholar] [CrossRef]
- Klein-Hitpass, L.; Cato, A.C.; Henderson, D.; Ryffel, G.U. Two Types of Antiprogestins Identified by Their Differential Action in Transcriptionally Active Extracts from T47D Cells. Nucleic Acids Res. 1991, 19, 1227–1234. [Google Scholar] [CrossRef] [PubMed]
- Beck, C.A.; Weigel, N.L.; Moyer, M.L.; Nordeen, S.K.; Edwards, D.P. The Progesterone Antagonist RU486 Acquires Agonist Activity upon Stimulation of CAMP Signaling Pathways. Proc. Natl. Acad. Sci. USA 1993, 90, 4441–4445. [Google Scholar] [CrossRef]
- Skarzynski, D.J.; Jaroszewski, J.J.; Okuda, K. Role of Tumor Necrosis Factor-α and Nitric Oxide in Luteolysis in Cattle. Domest. Anim. Endocrinol. 2005, 29, 340–346. [Google Scholar] [CrossRef] [PubMed]
- Weems, Y.S.; Lennon, E.; Uchima, T.; Raney, A.; Goto, K.; Ong, A.; Zaleski, H.; Weems, C.W. Mechanism Whereby Nitric Oxide (NO) Infused Chronically Intrauterine in Ewes Is Antiluteolytic Rather than Being Luteolytic. Prostaglandins Other Lipid Mediat. 2008, 85, 33–41. [Google Scholar] [CrossRef] [PubMed]
- Santen, R.J.; Misbin, R.I. Aminoglutethimide: Review of Pharmacology and Clinical Use. Pharmacotherapy 1981, 1, 95–120. [Google Scholar] [CrossRef]
- Ireland, J.J.; Murphee, R.L.; Coulson, P.B. Accuracy of Predicting Stages of Bovine Estrous Cycle by Gross Appearance of the Corpus Luteum. J. Dairy Sci. 1980, 63, 155–160. [Google Scholar] [CrossRef] [PubMed]
- Fields, M.J.; Fields, P.A. Morphological Characteristics of the Bovine Corpus Luteum during the Estrous Cycle and Pregnancy. Theriogenology 1996, 45, 1295–1325. [Google Scholar] [CrossRef] [PubMed]
- Okuda, K.; Miyamoto, A.; Sauerwein, H.; Schweigert, F.J.; Schams, D. Evidence for Oxytocin Receptors in Cultured Bovine Luteal Cells. Biol. Reprod. 1992, 46, 1001–1006. [Google Scholar] [CrossRef]
- Kotwica, J.; Rekawiecki, R.; Duras, M. Stimulatory Influence of Progesterone on Its Own Synthesis in Bovine Corpus Luteum. Bull. Vet. Inst. Pulawy 2004, 48, 139–145. [Google Scholar]
- Rekawiecki, R.; Kowalik, M.K.; Kotwica, J. Onapristone (ZK299) and Mifepristone (RU486) Regulate the Messenger RNA and Protein Expression Levels of the Progesterone Receptor Isoforms A and B in the Bovine Endometrium. Theriogenology 2015, 84, 348–357. [Google Scholar] [CrossRef]
- Liszewska, E.; Rekawiecki, R.; Kotwica, J. Effect of Progesterone on the Expression of Bax and Bcl-2 and on Caspase Activity in Bovine Luteal Cells. Prostaglandins Other Lipid Mediat. 2005, 78, 67–81. [Google Scholar] [CrossRef]
- Korzekwa, A.J.; Jaroszewski, J.J.; Woclawek-Potocka, I.; Bah, M.M.; Skarzynski, D.J. Luteolytic Effect of Prostaglandin F 2 Alpha on Bovine Corpus Luteum Depends on Cell Composition and Contact. Reprod. Domest. Anim. 2008, 43, 464–472. [Google Scholar] [CrossRef]
- Kowalik, M.; Kotwica, J. Non-Genomic Effect of Ovarian Steroids on Oxytocin-Stimulated Prostaglandin (PG) F2α and E2 Secretion from Bovine Endometrial Cells. Bull. Vet. Inst. Pulawy 2007, 1, 37–42. [Google Scholar]
- Kotwica, J.; Skarzynski, D.J.; Jaroszewski, J.J.; Bogacki, M. Noradrenaline Affects Secretory Function of Corpus Luteum Independently on Prostaglandins in Conscious Cattle. Prostaglandins 1994, 48, 1–10. [Google Scholar] [CrossRef] [PubMed]
- Taylor, S.C.; Berkelman, T.; Yadav, G.; Hammond, M. A Defined Methodology for Reliable Quantification of Western Blot Data. Mol. Biotechnol. 2013, 55, 217–226. [Google Scholar] [CrossRef] [PubMed]
- Nishino, T.; Wang, C.; Mochizuki-Kashio, M.; Osawa, M.; Nakauchi, H.; Iwama, A. Ex Vivo Expansion of Human Hematopoietic Stem Cells by Garcinol, a Potent Inhibitor of Histone Acetyltransferase. PLoS ONE 2011, 6, e24298. [Google Scholar] [CrossRef] [PubMed]
- Sun, Y.; Jiang, X.; Chen, S.; Price, B.D. Inhibition of Histone Acetyltransferase Activity by Anacardic Acid Sensitizes Tumor Cells to Ionizing Radiation. FEBS Lett. 2006, 580, 4353–4356. [Google Scholar] [CrossRef]
- Gao, X.; Lin, J.; Ning, Q.; Gao, L.; Yao, Y.; Zhou, J.; Li, Y.; Wang, L.; Yu, L. A Histone Acetyltransferase P300 Inhibitor C646 Induces Cell Cycle Arrest and Apoptosis Selectively in AML1-ETO-Positive AML Cells. PLoS ONE 2013, 8, e55481. [Google Scholar] [CrossRef]
- Grabarska, A.; Łuszczki, J.J.; Nowosadzka, E.; Gumbarewicz, E.; Jeleniewicz, W.; Dmoszyńska-Graniczka, M.; Kowalczuk, K.; Kupisz, K.; Polberg, K.; Stepulak, A. Histone Deacetylase Inhibitor SAHA as Potential Targeted Therapy Agent for Larynx Cancer Cells. J. Cancer 2017, 8, 19–28. [Google Scholar] [CrossRef]
- Kim, Y.K.; Seo, D.-W.; Kang, D.-W.; Lee, H.Y.; Han, J.-W.; Kim, S.-N. Involvement of HDAC1 and the PI3K/PKC Signaling Pathways in NF-KappaB Activation by the HDAC Inhibitor Apicidin. Biochem. Biophys. Res. Commun. 2006, 347, 1088–1093. [Google Scholar] [CrossRef]
- Huber, K.; Doyon, G.; Plaks, J.; Fyne, E.; Mellors, J.W.; Sluis-Cremer, N. Inhibitors of Histone Deacetylases: Correlation between Isoform Specificity and Reactivation of HIV Type 1 (HIV-1) from Latently Infected Cells. J. Biol. Chem. 2011, 286, 22211–22218. [Google Scholar] [CrossRef]
- Zhao, S.; Fernald, R.D. Comprehensive Algorithm for Quantitative Real-Time Polymerase Chain Reaction. J. Comput. Biol. 2005, 12, 1047–1064. [Google Scholar] [CrossRef]
- Rekawiecki, R.; Kotwica, J. Involvement of Progesterone, Oxytocin, and Noradrenaline in the Molecular Regulation of Steroidogenesis in the Corpus Luteum of the Cow. Bull. Vet. Inst. Pulawy 2008, 52, 573–580. [Google Scholar]
- Rekawiecki, R.; Kotwica, J. Molecular Regulation of Progesterone (P4) Synthesis within the Bovine Corpus Luteum (CL). Vet. Med.-Czech 2007, 52, 405–412. [Google Scholar] [CrossRef]
- Kowalik, M.K.; Martyniak, M.; Rekawiecki, R.; Kotwica, J. Expression and Immunolocalization of Membrane Progesterone Receptors in the Bovine Oviduct. Domest. Anim. Endocrinol. 2016, 55, 83–96. [Google Scholar] [CrossRef] [PubMed]
- Rothchild, I. The Corpus Luteum Revisited: Are the Paradoxical Effects of RU486 a Clue to How Progesterone Stimulates Its Own Secretion? Biol. Reprod. 1996, 55, 1–4. [Google Scholar] [CrossRef]
- Skarzynski, D.J.; Bogacki, M.; Kotwica, J. Involvement of Ovarian Steroids in Basal and Oxytocin-Stimulated Prostaglandin (PG) F2 Alpha Secretion by the Bovine Endometrium in Vitro. Theriogenology 1999, 52, 385–397. [Google Scholar] [CrossRef]
- Murakami, S.; Miyamoto, Y.; Skarzynski, D.J.; Okuda, K. Effects of Tumor Necrosis Factor-Alpha on Secretion of Prostaglandins E2 and F2alpha in Bovine Endometrium throughout the Estrous Cycle. Theriogenology 2001, 55, 1667–1678. [Google Scholar] [CrossRef]
- Chen, J.D.; Evans, R.M. A Transcriptional Co-Repressor That Interacts with Nuclear Hormone Receptors. Nature 1995, 377, 454–457. [Google Scholar] [CrossRef]
- Jones, P.L.; Shi, Y.B. N-CoR-HDAC Corepressor Complexes: Roles in Transcriptional Regulation by Nuclear Hormone Receptors. Curr. Top. Microbiol. Immunol. 2003, 274, 237–268. [Google Scholar]
- Goravanahally, M.P.; Salem, M.; Yao, J.; Inskeep, E.K.; Flores, J.A. Differential Gene Expression in the Bovine Corpus Luteum During Transition from Early Phase to Midphase and Its Potential Role in Acquisition of Luteolytic Sensitivity to Prostaglandin F2 Alpha1. Biol. Reprod. 2009, 80, 980–988. [Google Scholar] [CrossRef]
- Juengel, J.L.; Garverick, H.A.; Johnson, A.L.; Youngquist, R.S.; Smith, M.F. Apoptosis during Luteal Regression in Cattle. Endocrinology 1993, 132, 249–254. [Google Scholar] [CrossRef]
- Miyamoto, Y.; Skarzynski, D.J.; Okuda, K. Is Tumor Necrosis Factor Alpha a Trigger for the Initiation of Endometrial Prostaglandin F(2alpha) Release at Luteolysis in Cattle? Biol. Reprod. 2000, 62, 1109–1115. [Google Scholar] [CrossRef]
- Foyouzi, N.; Cai, Z.; Sugimoto, Y.; Stocco, C. Changes in the Expression of Steroidogenic and Antioxidant Genes in the Mouse Corpus Luteum during Luteolysis. Biol. Reprod. 2005, 72, 1134–1141. [Google Scholar] [CrossRef]
- Kobayashi, Y.; Kitamoto, T.; Masuhiro, Y.; Watanabe, M.; Kase, T.; Metzger, D.; Yanagisawa, J.; Kato, S. P300 Mediates Functional Synergism between AF-1 and AF-2 of Estrogen Receptor α and β by Interacting Directly with the N-Terminal A/B Domains*. J. Biol. Chem. 2000, 275, 15645–15651. [Google Scholar] [CrossRef]
- Wang, C.; Fu, M.; Angeletti, R.H.; Siconolfi-Baez, L.; Reutens, A.T.; Albanese, C.; Lisanti, M.P.; Katzenellenbogen, B.S.; Kato, S.; Hopp, T.; et al. Direct Acetylation of the Estrogen Receptor α Hinge Region by P300 Regulates Transactivation and Hormone Sensitivity. J. Biol. Chem. 2001, 276, 18375–18383. [Google Scholar] [CrossRef]
- Bouchal, J.; Santer, F.R.; Höschele, P.P.S.; Tomastikova, E.; Neuwirt, H.; Culig, Z. Transcriptional Coactivators P300 and CBP Stimulate Estrogen Receptor-Beta Signaling and Regulate Cellular Events in Prostate Cancer. Prostate 2011, 71, 431–437. [Google Scholar] [CrossRef] [PubMed]
- Berisha, B.; Pfaffl, M.W.; Schams, D. Expression of Estrogen and Progesterone Receptors in the Bovine Ovary during Estrous Cycle and Pregnancy. Endocrine 2002, 17, 207–214. [Google Scholar] [CrossRef] [PubMed]
- Paech, K.; Webb, P.; Kuiper, G.G.; Nilsson, S.; Gustafsson, J.; Kushner, P.J.; Scanlan, T.S. Differential Ligand Activation of Estrogen Receptors ERalpha and ERbeta at AP1 Sites. Science 1997, 277, 1508–1510. [Google Scholar] [CrossRef] [PubMed]
- Kim, S.O.; Markosyan, N.; Pepe, G.J.; Duffy, D.M. Estrogen Promotes Luteolysis by Redistributing Prostaglandin F2α Receptors Within Primate Luteal Cells. Reproduction 2015, 149, 453–464. [Google Scholar] [CrossRef] [PubMed]
- Buccitelli, C.; Selbach, M. MRNAs, Proteins and the Emerging Principles of Gene Expression Control. Nat. Rev. Genet. 2020, 21, 630–644. [Google Scholar] [CrossRef]
- Greenbaum, D.; Colangelo, C.; Williams, K.; Gerstein, M. Comparing Protein Abundance and MRNA Expression Levels on a Genomic Scale. Genome Biol. 2003, 4, 117. [Google Scholar] [CrossRef]
- Penn, L.J.; Brooks, M.W.; Laufer, E.M.; Land, H. Negative Autoregulation of C-Myc Transcription. EMBO J. 1990, 9, 1113–1121. [Google Scholar] [CrossRef]
- Stormshak, F.; Orwig, K.E.; Bertrand, J.E. Dynamics of Molecular Mechanisms Underlying Ovarian Oxytocin Secretion. J. Reprod. Fertil. Suppl. 1995, 49, 379–390. [Google Scholar] [CrossRef] [PubMed]
- Millard, C.J.; Watson, P.J.; Fairall, L.; Schwabe, J.W.R. An Evolving Understanding of Nuclear Receptor Coregulator Proteins. J. Mol. Endocrinol. 2013, 51, T23–T36. [Google Scholar] [CrossRef] [PubMed]
- Peserico, A.; Simone, C. Physical and Functional HAT/HDAC Interplay Regulates Protein Acetylation Balance. J. Biomed. Biotechnol. 2011, 2011, 371832. [Google Scholar] [CrossRef]
- Icardi, L.; De Bosscher, K.; Tavernier, J. The HAT/HDAC Interplay: Multilevel Control of STAT Signaling. Cytokine Growth Factor Rev. 2012, 23, 283–291. [Google Scholar] [CrossRef] [PubMed]
- Girsh, E.; Greber, Y.; Meidan, R. Luteotrophic and Luteolytic Interactions between Bovine Small and Large Luteal-like Cells and Endothelial Cells. Biol. Reprod. 1995, 52, 954–962. [Google Scholar] [CrossRef] [PubMed]
- Miyamoto, A.; Kobayashi, S.; Arata, S.; Ohtani, M.; Fukui, Y.; Schams, D. Prostaglandin F2 Alpha Promotes the Inhibitory Action of Endothelin-1 on the Bovine Luteal Function in Vitro. J. Endocrinol. 1997, 152, R7–R11. [Google Scholar] [CrossRef]
- Korzekwa, A.; Jaroszewski, J.J.; Bogacki, M.; Deptula, K.M.; Maslanka, T.S.; Acosta, T.J.; Okuda, K.; Skarzynski, D.J. Effects of Prostaglandin F(2alpha) and Nitric Oxide on the Secretory Function of Bovine Luteal Cells. J. Reprod. Dev. 2004, 50, 411–417. [Google Scholar] [CrossRef][Green Version]





| Gene Name | Primers | GenBank Accession Number | Amplicon Length |
|---|---|---|---|
| P300 | Forward: CCATGAGCAACATGAGTGCTAGT Reverse: CATTGTCACTCATCAGTGGGTTTT | XM_027540695.1 | 129 |
| CBP | Forward: TGAAGTGAAGGTCGAAGCTAAAGA Reverse: GTACAGAGCTTCCAGGGTTGACAT | XM_024984694.1 | 147 |
| SRC-1 | Forward: CCCAGGCAGACGCTAAACAG Reverse: TCAAGATAGCTTGCCGATTTTG | XM_028514416.1 | 114 |
| NCOR-2 | Forward: AGCCCTCGAGGCAAAAGC Reverse: CATGCGGAGAGGCCTTGA | XM_024977670.1 | 177 |
| TBP | Forward: CAGAGAGCTCCGGGATCGT Reverse: ACACCATCTTCCCAGAACTGAATAT | NM_001075742 | 194 |
Disclaimer/Publisher’s Note: The statements, opinions and data contained in all publications are solely those of the individual author(s) and contributor(s) and not of MDPI and/or the editor(s). MDPI and/or the editor(s) disclaim responsibility for any injury to people or property resulting from any ideas, methods, instructions or products referred to in the content. |
© 2023 by the authors. Licensee MDPI, Basel, Switzerland. This article is an open access article distributed under the terms and conditions of the Creative Commons Attribution (CC BY) license (https://creativecommons.org/licenses/by/4.0/).
Share and Cite
Rekawiecki, R.; Wrobel, M.H.; Zajac, P.; Serej, O.; Kowalik, M.K. Luteotropic and Luteolytic Factors Modulate the Expression of Nuclear Receptor Coregulators in Bovine Luteal Cells Independently of Histone Acetyltransferase and Histone Deacetylase Activities. Animals 2023, 13, 2784. https://doi.org/10.3390/ani13172784
Rekawiecki R, Wrobel MH, Zajac P, Serej O, Kowalik MK. Luteotropic and Luteolytic Factors Modulate the Expression of Nuclear Receptor Coregulators in Bovine Luteal Cells Independently of Histone Acetyltransferase and Histone Deacetylase Activities. Animals. 2023; 13(17):2784. https://doi.org/10.3390/ani13172784
Chicago/Turabian StyleRekawiecki, Robert, Michal Hubert Wrobel, Paulina Zajac, Oliwia Serej, and Magdalena Karolina Kowalik. 2023. "Luteotropic and Luteolytic Factors Modulate the Expression of Nuclear Receptor Coregulators in Bovine Luteal Cells Independently of Histone Acetyltransferase and Histone Deacetylase Activities" Animals 13, no. 17: 2784. https://doi.org/10.3390/ani13172784
APA StyleRekawiecki, R., Wrobel, M. H., Zajac, P., Serej, O., & Kowalik, M. K. (2023). Luteotropic and Luteolytic Factors Modulate the Expression of Nuclear Receptor Coregulators in Bovine Luteal Cells Independently of Histone Acetyltransferase and Histone Deacetylase Activities. Animals, 13(17), 2784. https://doi.org/10.3390/ani13172784

