The Effects of Acute Exposure to Ammonia on Oxidative Stress, Hematological Parameters, Flesh Quality, and Gill Morphological Changes of the Large Yellow Croaker (Larimichthys crocea)
Abstract
Simple Summary
Abstract
1. Introduction
2. Materials and Methods
2.1. Experimental Fish and Experimental Procedure
2.2. Determination of LC50
2.3. Experiment of Acute Ammonia Exposure Design
2.4. Sample Collection
2.5. Biochemical Analysis of Liver
2.6. Analysis of Changes in Serum Components
2.7. Histological Analysis
2.8. Product Quality Analysis
2.9. Statistical Analyses
3. Results
3.1. Effects of Ammonia Exposure on Survival
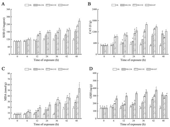
3.2. Biochemical Indices in Liver
3.3. Serum Composition Changes
3.4. Gill Morphology
3.5. Body Composition Changes and Flesh Quality
4. Discussion
5. Conclusions
Author Contributions
Funding
Institutional Review Board Statement
Informed Consent Statement
Data Availability Statement
Conflicts of Interest
References
- Chang, Z.W.; Chiang, P.C.; Cheng, W.; Chang, C.C. Impact of ammonia exposure on coagulation in white shrimp, Litopenaeus vannamei. Ecotoxicol. Environ. Saf. 2015, 118, 98–102. [Google Scholar] [CrossRef] [PubMed]
- Wang, Z.L.; Guo, X.C.; Tu, J.; Shi, X.; Gan, L.; Zhang, M.Z.; Jiang, H.B.; Zhang, X.X.; Shao, J. Responses of Micropterus salmoides under Ammonia Stress and the Effects of a Potential Ammonia Antidote. Animals 2023, 13, 397. [Google Scholar] [CrossRef]
- Zhang, H.; Fang, D.; Mei, J.; Xie, J.; Qiu, W. A Preliminary Study on the Effects of Nitrite Exposure on Hematological Parameters, Oxidative Stress, and Immune-Related Responses in Pearl Gentian Grouper. Fishes 2022, 7, 235. [Google Scholar]
- Lee, J.-W.; Jo, A.H.; Choi, C.-Y.; Kim, J.-H. Review of cadmium toxicity effects on fish: Oxidative stress and immune responses. Environ. Res. 2023, 116600. [Google Scholar] [CrossRef]
- Elizalde-Velázquez, G.A.; Gómez-Oliván, L.M.; Herrera-Vázquez, S.E.; Rosales-Pérez, K.E.; SanJuan-Reyes, N.; García-Medina, S.; Galar-Martínez, M. Acute exposure to realistic concentrations of Bisphenol-A trigger health damage in fish: Blood parameters, gene expression, oxidative stress. Aquat. Toxicol. 2023, 261, 106610. [Google Scholar]
- Yedier, S.; Yalçınkaya, S.K.; Bostancı, D. Exposure to polypropylene microplastics via diet and water induces oxidative stress in Cyprinus carpio. Aquat. Toxicol. 2023, 259, 106540. [Google Scholar] [CrossRef] [PubMed]
- Maltez, L.C.; Barbas, L.A.L.; Nitz, L.F.; Pellegrin, L.; Okamoto, M.H.; Sampaio, L.A.; Monserrat, J.M.; Garcia, L. Oxidative stress and antioxidant responses in juvenile Brazilian flounder Paralichthys orbignyanus exposed to sublethal levels of nitrite. Fish Physiol. Biochem. 2018, 44, 1349–1362. [Google Scholar] [PubMed]
- Gao, X.Q.; Fei, F.; Huang, B.; Meng, X.S.; Zhang, T.; Zhao, K.F.; Chen, H.B.; Xing, R.; Liu, B.L. Alterations in hematological and biochemical parameters, oxidative stress, and immune response in Takifugu rubripes under acute ammonia exposure. Comp. Biochem. Physiol. Part C Toxicol. Pharmacol. 2021, 243, 108978. [Google Scholar] [CrossRef] [PubMed]
- Braz-Mota, S.; Campos, D.F.; Maccormack, T.J.; Duarte, R.M.; Val, A.L.; Almeida-Val, V.M.F. Mechanisms of toxic action of copper and copper nanoparticles in two Amazon fish species: Dwarf cichlid (Apistogramma agassizii) and cardinal tetra (Paracheirodon axelrodi). Sci. Total. Environ. 2018, 630, 1168–1180. [Google Scholar] [CrossRef] [PubMed]
- Miron, D.D.; Moraes, B.; Becker, A.G.; Crestani, M.; Spanevello, R.; Loro, V.L.; Baldisserotto, B. Ammonia and pH effects on some metabolic parameters and gill histology of silver catfish, Rhamdia quelen (Heptapteridae). Aquaculture 2008, 277, 192–196. [Google Scholar] [CrossRef]
- Bjornevik, M.; Hansen, H.; Roth, B.; Foss, A.; Vikingstad, E.; Solberg, C.; Imsland, A.K. Effects of starvation, subsequent feeding and photoperiod on flesh quality in farmed cod (Gadus morhua). Aquac. Nutr. 2017, 23, 285–292. [Google Scholar] [CrossRef]
- Yin, M.; Matsuoka, R.; Yanagisawa, T.; Xi, Y.; Zhang, L.; Wang, X. Effect of different drying methods on free amino acid and flavor nucleotides of scallop (Patinopecten yessoensis) adductor muscle. Food Chem. 2022, 396, 133620. [Google Scholar] [CrossRef]
- Lv, H.-B.; Ma, Y.-Y.; Hu, C.-T.; Lin, Q.-Y.; Yue, J.-J.-Y.; Chen, L.-Q.; Zhang, M.-L.; Du, Z.-Y.; Qiao, F. The individual and combined effects of hypoxia and high-fat diet feeding on nutrient composition and flesh quality in Nile tilapia (Oreochromis niloticus). Food Chem. 2021, 343, 128479. [Google Scholar] [CrossRef]
- Wang, W.; Zhang, Y.; Liu, Y.; Adányi, N.; Zhang, X. Effects of waterless live transportation on survivability, physiological responses and flesh quality in Chinese farmed sturgeon (Acipenser schrenckii). Aquaculture 2020, 518, 734834. [Google Scholar] [CrossRef]
- Carneiro, W.F.; Castro, T.F.D.; Reichel, T.; de Castro Uzeda, P.L.; Martínez-Palacios, C.A.; Murgas, L.D.S. Diets containing Arthrospira platensis increase growth, modulate lipid metabolism, and reduce oxidative stress in pacu (Piaractus mesopotamicus) exposed to ammonia. Aquaculture 2022, 547, 73740. [Google Scholar] [CrossRef]
- Bian, C.H.; Yu, H.J.; Yang, K.; Mei, J.; Xie, J. Effects of single-, dual-, and multi-frequency ultrasound-assisted freezing on the muscle quality and myofibrillar protein structure in large yellow croaker (Larimichthys crocea). Food Chem.-X 2022, 15, 100362. [Google Scholar] [CrossRef] [PubMed]
- Ma, X.; Mei, J.; Xie, J. Effects of multi-frequency ultrasound on the freezing rates, quality properties and structural characteristics of cultured large yellow croaker (Larimichthys crocea). Ultrason. Sonochem. 2021, 76, 105657. [Google Scholar] [CrossRef]
- Molayemraftar, T.; Peyghan, R.; Jalali, M.R.; Shahriari, A. Single and combined effects of ammonia and nitrite on common carp, Cyprinus carpio: Toxicity, hematological parameters, antioxidant defenses, acetylcholinesterase, and acid phosphatase activities. Aquaculture 2022, 548, 737676. [Google Scholar] [CrossRef]
- Klüver, N.; Bittermann, K.; Escher, B.I. QSAR for baseline toxicity and classification of specific modes of action of ionizable organic chemicals in the zebrafish embryo toxicity test. Aquat. Toxicol. 2019, 207, 110–119. [Google Scholar] [CrossRef]
- Liu, M.-J.; Guo, H.-Y.; Zhu, K.-C.; Liu, B.-S.; Liu, B.; Guo, L.; Zhang, N.; Yang, J.-W.; Jiang, S.-G.; Zhang, D.-C. Effects of acute ammonia exposure and recovery on the antioxidant response and expression of genes in the Nrf2-Keap1 signaling pathway in the juvenile golden pompano (Trachinotus ovatus). Aquat. Toxicol. 2021, 240, 105969. [Google Scholar] [CrossRef]
- Hegazi, M.M.; Attia, Z.I.; Ashour, O.A. Oxidative stress and antioxidant enzymes in liver and white muscle of Nile tilapia juveniles in chronic ammonia exposure. Aquat. Toxicol. 2010, 99, 118–125. [Google Scholar] [CrossRef] [PubMed]
- Liu, M.J.; Guo, H.Y.; Liu, B.; Zhu, K.C.; Guo, L.; Liu, B.S.; Zhang, N.; Yang, J.W.; Jiang, S.G.; Zhang, D.C. Gill oxidative damage caused by acute ammonia stress was reduced through the HIF-1 alpha/NF-kappa b signaling pathway in golden pompano (Trachinotus ovatus). Ecotoxicol. Environ. Saf. 2021, 222, 112504. [Google Scholar] [CrossRef] [PubMed]
- Zhang, W.X.; Sun, S.M.; Ge, X.P.; Xia, S.L.; Zhu, J.; Miao, L.H.; Lin, Y.; Liang, H.L.; Pan, W.J.; Su, Y.L.; et al. Acute effects of ammonia exposure on the plasma and haematological parameters and histological structure of the juvenile blunt snout bream, Megalobrama amblycephala, and post-exposure recovery. Aquac. Res. 2018, 49, 1008–1019. [Google Scholar] [CrossRef]
- Li, P.Y.; Peng, Y.F.; Mei, J.; Xie, J. Effects of microencapsulated eugenol emulsions on microbiological, chemical and organoleptic qualities of farmed Japanese sea bass (Lateolabrax japonicus) during cold storage. LWT 2020, 118, 108831. [Google Scholar] [CrossRef]
- Fang, S.Y.; Zhou, Q.Q.; Hu, Y.; Liu, F.; Mei, J.; Xie, J. Antimicrobial Carvacrol Incorporated in Flaxseed Gum-Sodium Alginate Active Films to Improve the Quality Attributes of Chinese Sea bass (Lateolabrax maculatus) during Cold Storage. Molecules 2019, 24, 3292. [Google Scholar] [CrossRef]
- Slami, M.; Bahrekazemi, M.; Bahram, S.; Javadian, S.R. The positive effects of taurine on growth performance, immunohaematological parameters and stress response of farmed beluga (Huso huso) in both fresh water and brackish water. Aquac. Nutr. 2021, 27, 2279–2293. [Google Scholar] [CrossRef]
- Wu, L.; Dong, B.; Chen, Q.; Wang, Y.; Han, D.; Zhu, X.; Liu, H.; Zhang, Z.; Yang, Y.; Xie, S.; et al. Effects of Curcumin on Oxidative Stress and Ferroptosis in Acute Ammonia Stress-Induced Liver Injury in Gibel Carp (Carassius gibelio). Int. J. Mol. Sci. 2023, 24, 6441. [Google Scholar] [CrossRef]
- Zhao, L.; Cui, C.; Liu, Q.; Sun, J.; He, K.; Adam, A.A.; Luo, J.; Li, Z.; Wang, Y.; Yang, S. Combined exposure to hypoxia and ammonia aggravated biological effects on glucose metabolism, oxidative stress, inflammation and apoptosis in largemouth bass (Micropterus salmoides). Aquat. Toxicol. 2020, 224, 105514. [Google Scholar] [CrossRef]
- Kim, J.-H.; Cho, J.-H.; Kim, S.-R.; Hur, Y.B. Toxic effects of waterborne ammonia exposure on hematological parameters, oxidative stress and stress indicators of juvenile hybrid grouper, Epinephelus lanceolatus ♂ × Epinephelus fuscoguttatus ♀. Environ. Toxicol. Pharmacol. 2020, 80, 103453. [Google Scholar] [CrossRef]
- Hao, M.; Zuo, Q.; Zhang, W.; Feng, Y.; Wang, L.; Yu, L.; Zhang, X.; Li, J.; Huang, Z. Toxicological Assessment of Ammonia Exposure on Carassius auratus red var. Living in Landscape Waters. Bull. Environ. Contam. Toxicol. 2019, 103, 814–821. [Google Scholar] [CrossRef]
- Hangzo, H.; Banerjee, B.; Saha, S.; Saha, N. Ammonia stress under high environmental ammonia induces Hsp70 and Hsp90 in the mud eel, Monopterus cuchia. Fish Physiol. Biochem. 2017, 43, 77–88. [Google Scholar] [CrossRef] [PubMed]
- Ramesh, M.; Anitha, S.; Poopal, R.K.; Shobana, C. Evaluation of acute and sublethal effects of chloroquine (C18H26CIN3) on certain enzymological and histopathological biomarker responses of a freshwater fish Cyprinus carpio. Toxicol. Rep. 2018, 5, 18–27. [Google Scholar] [CrossRef]
- Parra-Bonilla, G.; Alvarez, D.F.; Al-Mehdi, A.B.; Alexeyev, M.; Stevens, T. Critical role for lactate dehydrogenase A in aerobic glycolysis that sustains pulmonary microvascular endothelial cell proliferation. Am. J. Physiol. Cell. Mol. Physiol. 2010, 299, L513–L522. [Google Scholar] [CrossRef] [PubMed]
- Yang, J.-L.; Chen, H.-C. Effects of gallium on common carp (Cyprinus carpio): Acute test, serum biochemistry, and erythrocyte morphology. Chemosphere 2003, 53, 877–882. [Google Scholar] [CrossRef] [PubMed]
- Sastry, K.; Sharma, K. Diazinon-induced histopathological and hematological alterations in a freshwater teleost, Ophiocephalus punctatus. Ecotoxicol. Environ. Saf. 1981, 5, 329–340. [Google Scholar] [CrossRef]
- Tiwari, S.; Singh, A. Metabolic Changes in The Snake Head Fish Channa punctatus Due to Latices of Euphorbia royleana. Asian Fish. Sci. 2003, 16. [Google Scholar] [CrossRef]
- Esmaeili, M.; Kenari, A.A.; Rombenso, A. Immunohematological status under acute ammonia stress of juvenile rainbow trout (Oncorhynchus mykiss Walbaum, 1792) fed garlic (Allium sativum) powder-supplemented meat and bone meal-based feeds. Comp. Clin. Pathol. 2017, 26, 853–866. [Google Scholar] [CrossRef]
- Peyghan, R.; Takamy, G.A. Histopathological, serum enzyme, cholesterol and urea changes in experimental acute toxicity of ammonia in common carp Cyprinus carpio and use of natural zeolite for prevention. Aquac. Int. 2002, 10, 317–325. [Google Scholar] [CrossRef]
- Sinha, A.K.; Matey, V.; Giblen, T.; Blust, R.; De Boeck, G. Gill remodeling in three freshwater teleosts in response to high environmental ammonia. Aquat. Toxicol. 2014, 155, 166–180. [Google Scholar] [CrossRef]
- Gao, X.Q.; Fei, F.; Huo, H.H.; Huang, B.; Meng, X.S.; Zhang, T.; Liu, B.L. Effect of acute exposure to nitrite on physiological parameters, oxidative stress, and apoptosis in Takifugu rubripes. Ecotoxicol. Environ. Saf. 2020, 188, 109878. [Google Scholar] [CrossRef]
- Zhao, H.; Peng, K.; Wang, G.; Mo, W.; Huang, Y.; Cao, J. Metabolic changes, antioxidant status, immune response and resistance to ammonia stress in juvenile yellow catfish (Pelteobagrus fulvidraco) fed diet supplemented with sodium butyrate. Aquaculture 2021, 536, 736441. [Google Scholar] [CrossRef]
- Wang, L.; Chen, C.; Liu, W.; Xia, H.; Zhang, X. Effects of toxic cyanobacteria and ammonia on flesh quality of blunt snout bream (Megalobrama amblycephala): Toxic cyanobacteria and ammonia affect fillet quality. J. Sci. Food Agric. 2016, 97, 1200–1206. [Google Scholar] [CrossRef] [PubMed]
- Sinha, A.K.; Giblen, T.; AbdElgawad, H.; De Rop, M.; Asard, H.; Blust, R.; De Boeck, G. Regulation of amino acid metabolism as a defensive strategy in the brain of three freshwater teleosts in response to high environmental ammonia exposure. Aquat. Toxicol. 2013, 130, 86–96. [Google Scholar] [CrossRef]
- Zhou, F.; Wang, X. Effect of heat extraction on water-soluble taste substances in processing products of chilled large yellow croaker (Pseudosciaena crocea). Food Sci. Nutr. 2019, 7, 3863–3872. [Google Scholar] [CrossRef] [PubMed]
- Weng, L.; Dai, Z.; Zhao, Y.; Wang, X.; Wang, H. Comparative studies of characteristic flavour compounds between cultured and wild large yellow croakers. J. Chin. Inst. Food Sci. Technol. 2015, 15, 254–261. [Google Scholar]






| Parameters | Source of Variation | df | F | p |
|---|---|---|---|---|
| GOT | Time | 6 | 753.743 | <0.01 |
| Ammonia exposure | 3 | 2533.762 | <0.01 | |
| Time × ammonia exposure | 18 | 127.196 | <0.01 | |
| GPT | Time | 6 | 74.454 | <0.01 |
| Ammonia exposure | 3 | 138.426 | <0.01 | |
| Time × ammonia exposure | 18 | 18.357 | <0.01 | |
| LDH | Time | 6 | 79.562 | <0.01 |
| Ammonia exposure | 3 | 171.74 | <0.01 | |
| Time × ammonia exposure | 18 | 20.057 | <0.01 | |
| SOD | Time | 6 | 23,292.285 | <0.01 |
| Ammonia exposure | 3 | 30,863.541 | <0.01 | |
| Time × ammonia exposure | 18 | 2749.248 | <0.01 | |
| CAT | Time | 6 | 113.854 | <0.01 |
| Ammonia exposure | 3 | 384.814 | <0.01 | |
| Time × ammonia exposure | 18 | 24.854 | <0.01 | |
| MDA | Time | 6 | 171.04 | <0.01 |
| Ammonia exposure | 3 | 125.578 | <0.01 | |
| Time × ammonia exposure | 18 | 14.12 | <0.01 | |
| GSH | Time | 6 | 83.025 | <0.01 |
| Ammonia exposure | 3 | 226.947 | <0.001 | |
| Time × ammonia exposure | 18 | 20.986 | <0.01 | |
| TP | Time | 6 | 199.622 | <0.01 |
| Ammonia exposure | 3 | 221.744 | <0.01 | |
| Time × ammonia exposure | 18 | 26.448 | <0.01 | |
| Alb | Time | 6 | 7.557 | <0.01 |
| Ammonia exposure | 3 | 9.586 | <0.01 | |
| Time × ammonia exposure | 18 | 16.636 | <0.01 | |
| Glu | Time | 6 | 171.851 | <0.01 |
| Ammonia exposure | 3 | 50.009 | <0.01 | |
| Time × ammonia exposure | 18 | 13.968 | <0.01 | |
| TG | Time | 6 | 443.666 | <0.01 |
| Ammonia exposure | 3 | 504.571 | <0.01 | |
| Time × ammonia exposure | 18 | 38.161 | <0.01 | |
| CRE | Time | 6 | 141.983 | <0.01 |
| Ammonia exposure | 3 | 247.119 | <0.01 | |
| Time × ammonia exposure | 18 | 20.672 | <0.01 | |
| BUN | Time | 6 | 101.202 | <0.01 |
| Ammonia exposure | 3 | 58.409 | <0.01 | |
| Time × ammonia exposure | 18 | 4.765 | <0.01 |
| Samples | Time of Exposure (h) | Free Amino Acids | |||||||
|---|---|---|---|---|---|---|---|---|---|
| Aspartic Acid (Asp) | Threonine (Thr) | Serine (Ser) | Glutamic Acid (Glu) | Glycine (Gly) | Alanine (Ala) | Valine (Val) | Methionine (Met) | ||
| CK | 0 h | 0.88 ± 0.03 A | 3.10 ± 0 A | 3.00 ± 0 A | 13.71 ± 0.01 A | 6.78 ± 0.03 A | 13.70 ± 0 A | 8.59 ± 0.02 A | 7.20 ± 0.01 A |
| 6 h | 0.71 ± 0.01 C | 2.61 ± 0.01 D | 2.52 ± 0.03 D | 12.11 ± 0.01 B | 5.61 ± 0.01 D | 11.39 ± 0.02 D | 7.80 ± 0 D | 6.80 ± 0 C | |
| 12 h | 3.91 ± 0.01 A | 3.49 ± 0.02 D | 4.00 ± 0.01 D | 5.79 ± 0.02 D | 7.41 ± 0.01 D | 20.11 ± 0.01 B | 5.28 ± 0.04 D | 2.98 ± 0.03 D | |
| 24 h | 3.89 ± 0.01 B | 3.42 ± 0.03 D | 3.98 ± 0.03 D | 5.72 ± 0.02 D | 7.39 ± 0.02 C | 20.00 ± 0.01 C | 5.28 ± 0.03 D | 2.98 ± 0.03 D | |
| 36 h | 0.91 ± 0.01 D | 3.81 ± 0.01 C | 3.51 ± 0.01 D | 13.42 ± 0.03 C | 6.40 ± 0.01 D | 13.1 ± 0.01 D | 9.58 ± 0.03 C | 7.69 ± 0.01 C | |
| 42 h | 2.91 ± 0.01 B | 4.42 ± 0.03 D | 4.80 ± 0 D | 7.51 ± 0.01 D | 9.03 ± 0.04 D | 19.42 ± 0.03 D | 6.51 ± 0.01 C | 3.90 ± 0 C | |
| 48 h | 2.91 ± 0.01 D | 4.48 ± 0.03 D | 4.81 ± 0.01 D | 7.50 ± 0.01 D | 9.08 ± 0.04 D | 19.71 ± 0.01 D | 6.48 ± 0.04 C | 3.90 ± 0.01 C | |
| NH-2.96 | 0 h | 0.88 ± 0.03 A | 3.10 ± 0 A | 3.00 ± 0 A | 13.71 ± 0.01 A | 6.78 ± 0.03 A | 13.70 ± 0 A | 8.59 ± 0.02 A | 7.20 ± 0.01 A |
| 6 h | 1.72 ± 0.02 B | 5.9 ± 0.01 A | 4.80 ± 0.01 B | 10.18 ± 0.03 D | 8.29 ± 0.02 B | 19.50 ± 0 B | 8.59 ± 0.01 C | 4.81 ± 0.01 D | |
| 12 h | 1.79 ± 0.02 C | 6.00 ± 0 B | 4.82 ± 0.02 B | 10.42 ± 0.02 C | 8.32 ± 0.03 B | 19.89 ± 0.02 C | 8.63 ± 0.04 C | 4.90 ± 0 C | |
| 24 h | 2.19 ± 0.02 D | 5.28 ± 0.04 A | 5.83 ± 0.04 A | 8.19 ± 0.02 C | 15.41 ± 0.01 A | 28.21 ± 0.01 A | 8.71 ± 0.01 B | 4.92 ± 0.02 B | |
| 36 h | 2.12 ± 0.03 C | 5.20 ± 0 A | 5.72 ± 0.03 A | 8.02 ± 0.03 D | 15.31 ± 0.01 A | 28.02 ± 0.02 A | 8.68 ± 0.03 D | 4.89 ± 0.02 D | |
| 42 h | 5.29 ± 0.02 A | 5.09 ± 0.01 C | 6.90 ± 0 B | 10.61 ± 0.01 C | 12.90 ± 0.01 B | 25.62 ± 0.02 B | 5.59 ± 0.01 D | 3.09 ± 0.02 D | |
| 48 h | 5.40 ± 0 A | 5.21 ± 0.01 B | 7.00 ± 0 B | 10.93 ± 0.04 C | 13.12 ± 0.03 B | 26.21 ± 0.01 B | 5.80 ± 0 D | 3.21 ± 0.01 D | |
| NH-5.92 | 0 h | 0.88 ± 0.03 A | 3.10 ± 0 A | 3.00 ± 0 A | 13.71 ± 0.01 A | 6.78 ± 0.03 A | 13.70 ± 0 A | 8.59 ± 0.02 A | 7.20 ± 0.01 A |
| 6 h | 2.50 ± 0.01 A | 3.32 ± 0.03 C | 3.31 ± 0.01 C | 18.81 ± 0.01 A | 9.42 ± 0.03 A | 12.92 ± 0.03 C | 9.71 ± 0.01 B | 7.22 ± 0.03 B | |
| 12 h | 2.62 ± 0.02 B | 7.49 ± 0.02 A | 6.88 ± 0.04 A | 28.08 ± 0.04 A | 14.92 ± 0.03 A | 17.99 ± 0.01 D | 11.99 ± 0.02 B | 8.89 ± 0.01 A | |
| 24 h | 4.58 ± 0.03 A | 5.31 ± 0.01 A | 5.71 ± 0.01 B | 12.12 ± 0.02 B | 10.59 ± 0.01 B | 20.99 ± 0.02 B | 8.70 ± 0.01 C | 4.51 ± 0.01 C | |
| 36 h | 3.89 ± 0.02 A | 5.19 ± 0.01 A | 5.20 ± 0 B | 28.83 ± 0.04 A | 14.98 ± 0.04 B | 20.59 ± 0.01 B | 13.00 ± 0 B | 8.48 ± 0.03 B | |
| 42 h | 2.50 ± 0.01 C | 7.11 ± 0.01 B | 10.69 ± 0.01 A | 28.01 ± 0.01 A | 26.21 ± 0.01 A | 22.4 ± 0.01 C | 11.8 ± 0 B | 8.41 ± 0.01 B | |
| 48 h | 3.12 ± 0.03 C | 9.08 ± 0.03 A | 8.20 ± 0.01 A | 33.82 ± 0.02 A | 18.29 ± 0.02 A | 21.91 ± 0.01 C | 13.8 ± 0.01 B | 9.81 ± 0.01 A | |
| NH-8.87 | 0 h | 0.88 ± 0.03 A | 3.10 ± 0 A | 3.00 ± 0 A | 13.71 ± 0.01 A | 6.78 ± 0.03 A | 13.70 ± 0 A | 8.59 ± 0.02 A | 7.20 ± 0.01 A |
| 6 h | 1.73 ± 0.04 B | 4.72 ± 0.03 D | 4.89 ± 0.02 A | 11.09 ± 0.02 C | 8.10 ± 0 C | 30.88 ± 0.04 A | 12.31 ± 0.01 A | 8.21 ± 0.01 A | |
| 12 h | 1.80 ± 0.01 C | 5.51 ± 0.01 C | 4.70 ± 0 C | 11.60 ± 0 B | 7.49 ± 0.02 C | 29.80 ± 0.01 A | 13.20 ± 0.01 A | 7.79 ± 0.01 B | |
| 24 h | 2.59 ± 0.01 C | 4.78 ± 0.03 B | 4.33 ± 0.04 C | 26.81 ± 0.01 A | 6.58 ± 0.03 D | 19.62 ± 0.02 D | 13.31 ± 0.01 A | 8.52 ± 0.02 A | |
| 36 h | 2.60 ± 0.01 B | 4.80 ± 0.01 B | 4.39 ± 0.01 C | 26.92 ± 0.03 B | 6.62 ± 0.02 C | 19.69 ± 0.01 C | 13.31 ± 0.01 A | 8.62 ± 0.02 A | |
| 42 h | 2.48 ± 0.03 C | 7.50 ± 0 A | 6.12 ± 0.03 C | 15.92 ± 0.03 B | 10.40 ± 0 C | 41.20 ± 0 A | 16.18 ± 0.04 A | 8.91 ± 0.01 A | |
| 48 h | 5.29 ± 0.01 B | 5.11 ± 0.01 C | 5.02 ± 0.02 C | 26.80 ± 0.01 B | 9.41 ± 0.01 C | 26.79 ± 0.02 A | 15.30 ± 0.01 A | 9.39 ± 0.02 B | |
| Samples | Time of Exposure (h) | Free Amino Acids | |||||||
| Isoleucine (Ile) | Leucine (Leu) | Tyrosine (Tyr) | Phenylalanine (Phe) | Lysine (Lys) | NH3 | Histidine (His) | Total | ||
| CK | 0 h | 5.15 ± 0.21 A | 7.79 ± 0.3 A | 2.99 ± 0.02 A | 4.84 ± 0.23 A | 19.84 ± 0.23 A | 9.99 ± 0.02 A | 4.92 ± 0.12 A | 112.46 |
| 6 h | 4.86 ± 0.21 C | 6.24 ± 0.34 C | 2.81 ± 0.27 D | 4.15 ± 0.21 C | 17.12 ± 0.17 A | 8.07 ± 0.09 D | 4.76 ± 0.34 B | 97.53 | |
| 12 h | 2.82 ± 0.26 D | 7.24 ± 0.33 D | 6.93 ± 0.11 B | 28.03 ± 0.04 A | 14.97 ± 0.04 B | 17.99 ± 0.01 B | 11.99 ± 0.02 A | 142.88 | |
| 24 h | 3.98 ± 0.03 C | 6.22 ± 0.3 C | 2.94 ± 0.09 C | 3.04 ± 0.05 C | 7.85 ± 0.21 D | 21.12 ± 0.17 B | 2.80 ± 0.29 D | 100.58 | |
| 36 h | 6.23 ± 0.33 C | 9.25 ± 0.35 D | 4.06 ± 0.08 C | 5.80 ± 0.29 C | 11.06 ± 0.08 C | 10.19 ± 0.26 D | 4.76 ± 0.34 B | 109.73 | |
| 42 h | 4.95 ± 0.07 C | 8.12 ± 0.16 C | 3.92 ± 0.12 B | 4.15 ± 0.21 C | 11.08 ± 0.11 D | 19.97 ± 0.04 B | 3.04 ± 0.05 C | 113.69 | |
| 48 h | 4.95 ± 0.08 C | 8.11 ± 0.16 C | 3.94 ± 0.08 C | 4.13 ± 0.18 C | 11.01 ± 0.01 D | 20.1 ± 0.14 B | 3.01 ± 0.01 D | 114.08 | |
| NH-2.96 | 0 h | 5.15 ± 0.21 A | 7.79 ± 0.3 A | 2.99 ± 0.02 A | 4.84 ± 0.23 A | 19.84 ± 0.23 A | 9.99 ± 0.02 A | 4.92 ± 0.12 A | 112.46 |
| 6 h | 6.91 ± 0.13 B | 10.14 ± 0.19 B | 4.23 ± 0.32 B | 4.96 ± 0.06 B | 14.14 ± 0.2 B | 21.24 ± 0.34 A | 3.00 ± 0.01 D | 128.38 | |
| 12 h | 6.92 ± 0.12 C | 10.76 ± 0.34 C | 4.81 ± 0.28 C | 5.05 ± 0.06 C | 14.82 ± 0.25 B | 21.25 ± 0.35 A | 3.03 ± 0.04 D | 131.36 | |
| 24 h | 6.95 ± 0.08 B | 10.24 ± 0.34 B | 4.88 ± 0.18 B | 5.18 ± 0.25 B | 9.85 ± 0.21 C | 19.96 ± 0.06 C | 3.80 ± 0.29 B | 139.55 | |
| 36 h | 6.95 ± 0.07 C | 10.11 ± 0.16 C | 4.81 ± 0.28 B | 5.04 ± 0.06 D | 9.23 ± 0.33 D | 19.96 ± 0.06 A | 3.23 ± 0.32 C | 137.26 | |
| 42 h | 3.98 ± 0.03 D | 6.78 ± 0.31 D | 3.18 ± 0.25 C | 3.90 ± 0.14 D | 30.04 ± 0.06 A | 24.75 ± 0.35 A | 3.85 ± 0.21 B | 151.55 | |
| 48 h | 4.05 ± 0.07 D | 6.87 ± 0.18 D | 3.23 ± 0.33 D | 3.87 ± 0.19 D | 31.07 ± 0.09 A | 24.92 ± 0.11 A | 3.96 ± 0.06 C | 154.82 | |
| NH-5.92 | 0 h | 5.15 ± 0.21 A | 7.79 ± 0.3 A | 2.99 ± 0.02 A | 4.84 ± 0.23 A | 19.84 ± 0.23 A | 9.99 ± 0.02 A | 4.92 ± 0.12 A | 112.46 |
| 6 h | 6.24 ± 0.34 B | 10.06 ± 0.08 B | 3.23 ± 0.33 C | 4.87 ± 0.19 B | 13.12 ± 0.16 C | 10.02 ± 0.03 B | 4.17 ± 0.23 C | 118.90 | |
| 12 h | 8.89 ± 0.16 B | 13.81 ± 0.28 B | 4.00 ± 0.01 D | 5.80 ± 0.29 C | 16.99 ± 0.02 A | 12.94 ± 0.09 C | 5.99 ± 0.02 B | 167.22 | |
| 24 h | 6.91 ± 0.13 B | 10.23 ± 0.32 B | 4.77 ± 0.33 B | 5.22 ± 0.31 B | 16.20 ± 0.28 B | 22.22 ± 0.31 A | 3.18 ± 0.25 C | 141.21 | |
| 36 h | 9.17 ± 0.23 B | 15.21 ± 0.29 B | 5.01 ± 0.01 B | 6.08 ± 0.11 B | 18.98 ± 0.03 B | 14.77 ± 0.33 B | 5.18 ± 0.25 A | 174.54 | |
| 42 h | 8.15 ± 0.21 B | 12.94 ± 0.08 B | 3.99 ± 0.01 B | 5.80 ± 0.29 B | 15.22 ± 0.31 B | 13.23 ± 0.32 C | 6.97 ± 0.05 A | 183.38 | |
| 48 h | 10.20 ± 0.28 B | 16.21 ± 0.29 B | 4.91 ± 0.13 B | 6.16 ± 0.22 B | 19.87 ± 0.18 C | 14.93 ± 0.11 D | 6.80 ± 0.28 A | 197.05 | |
| NH-8.87 | 0 h | 5.15 ± 0.21 A | 7.79 ± 0.3 A | 2.99 ± 0.02 A | 4.84 ± 0.23 A | 19.84 ± 0.23 A | 9.99 ± 0.02 A | 4.92 ± 0.12 A | 112.46 |
| 6 h | 8.81 ± 0.27 A | 14.02 ± 0.03 A | 5.23 ± 0.32 A | 6.11 ± 0.16 A | 14.00 ± 0.01 B | 8.92 ± 0.11 C | 5.80 ± 0.28 A | 144.79 | |
| 12 h | 9.98 ± 0.03 A | 14.91 ± 0.13 A | 7.02 ± 0.03 A | 7.22 ± 0.31 B | 9.82 ± 0.25 C | 10.07 ± 0.09 D | 5.23 ± 0.32 C | 146.10 | |
| 24 h | 10.00 ± 0.01 A | 16.08 ± 0.11 A | 6.13 ± 0.18 A | 6.76 ± 0.35 A | 24.14 ± 0.2 A | 11.95 ± 0.08 D | 5.11 ± 0.15 A | 166.65 | |
| 36 h | 10.08 ± 0.11 A | 16.05 ± 0.06 A | 6.15 ± 0.21 A | 6.79 ± 0.3 A | 24.82 ± 0.25 A | 11.14 ± 0.19 C | 5.14 ± 0.2 A | 167.08 | |
| 42 h | 12.84 ± 0.23 A | 19.17 ± 0.24 A | 8.99 ± 0.02 A | 9.06 ± 0.08 A | 12.24 ± 0.34 C | 13.10 ± 0.13 D | 6.78 ± 0.32 A | 190.87 | |
| 48 h | 12.07 ± 0.09 A | 19.92 ± 0.11 A | 7.16 ± 0.22 A | 7.77 ± 0.33 A | 23.87 ± 0.18 B | 16.18 ± 0.25 C | 5.25 ± 0.35 B | 195.28 | |
| Samples | Time of Exposure (h) | Inosine Monophosphate (IMP) (mg/100 g) | TAV | Adenosine Monophosphate (AMP) (mg/100 g) | TAV |
|---|---|---|---|---|---|
| CK | 0 h | 273.76 ± 0.01 Aa | 10.95 | 19.42 ± 0.59 Aa | 0.40 |
| 6 h | 264.1 ± 0.01 Aab | 10.56 | 17.1 ± 0.13 Ab | 0.34 | |
| 12 h | 264.07 ± 0.01 Aab | 10.56 | 16.02 ± 0.02 Ac | 0.32 | |
| 24 h | 263.92 ± 0.01 Aab | 10.56 | 15.15 ± 0.21 Ad | 0.31 | |
| 36 h | 262.03 ± 0.01 Aab | 10.48 | 15.06 ± 0.08 Ad | 0.30 | |
| 42 h | 259.84 ± 0.01 Ab | 10.39 | 14.06 ± 0.08 Ae | 0.28 | |
| 48 h | 253.58 ± 0.01 Ab | 10.14 | 13.35 ± 0.49 Ae | 0.27 | |
| NH-2.96 | 0 h | 273.76 ± 0.01 Aa | 9.28 | 19.42 ± 0.59 Aa | 0.31 |
| 6 h | 231.88 ± 0.01 Cb | 9.54 | 15.24 ± 0.34 Bb | 0.28 | |
| 12 h | 238.53 ± 0.01 Bc | 8.57 | 14.04 ± 0.06 Bc | 0.27 | |
| 24 h | 214.31 ± 0.01 Bd | 6.04 | 13.25 ± 0.35 Bd | 0.25 | |
| 36 h | 150.96 ± 0.01 Be | 5.80 | 12.13 ± 0.18 Be | 0.23 | |
| 42 h | 145.07 ± 0.01 Be | 5.96 | 11.14 ± 0.2 Bf | 0.19 | |
| 48 h | 148.91 ± 0.01 Bfe | 5.96 | 9.24 ± 0.34 Bg | 0.19 | |
| NH-5.92 | 0 h | 273.76 ± 0.01 Aa | 10.95 | 19.42 ± 0.59 Aa | 0.40 |
| 6 h | 256.04 ± 0.03 Bb | 10.24 | 14.38 ± 0.53 BCb | 0.30 | |
| 12 h | 198.14 ± 0.12 Cc | 7.93 | 9.35 ± 0.49 Cd | 0.19 | |
| 24 h | 178.17 ± 0.15 Cd | 7.13 | 11.47 ± 0.66 Cc | 0.24 | |
| 36 h | 131.19 ± 0.17 Cf | 5.25 | 9.25 ± 0.35 Cd | 0.19 | |
| 42 h | 167.18 ± 0.16 Ce | 6.69 | 8.01 ± 0.01 Ce | 0.16 | |
| 48 h | 142.03 ± 0.03 Cg | 5.68 | 9 ± 0 dBe | 0.18 | |
| NH-8.87 | 0 h | 273.51 ± 0.44 Aa | 10.95 | 19.42 ± 0.59 Aa | 0.40 |
| 6 h | 199.32 ± 0.28 Db | 7.98 | 14.2 ± 0.28 Cb | 0.29 | |
| 12 h | 141.17 ± 0.15 Dc | 5.65 | 12.48 ± 0.67 Dc | 0.26 | |
| 24 h | 133.31 ± 0.27 Dd | 5.34 | 11.1 ± 0.14 Cd | 0.22 | |
| 36 h | 117.33 ± 0.28 De | 4.70 | 9.12 ± 0.17 Ce | 0.18 | |
| 42 h | 107.25 ± 0.22 Df | 4.30 | 6.17 ± 0.23 Df | 0.13 | |
| 48 h | 99.53 ± 0.46 Df | 3.99 | 6.1 ± 0.14 Cf | 0.12 |
Disclaimer/Publisher’s Note: The statements, opinions and data contained in all publications are solely those of the individual author(s) and contributor(s) and not of MDPI and/or the editor(s). MDPI and/or the editor(s) disclaim responsibility for any injury to people or property resulting from any ideas, methods, instructions or products referred to in the content. |
© 2023 by the authors. Licensee MDPI, Basel, Switzerland. This article is an open access article distributed under the terms and conditions of the Creative Commons Attribution (CC BY) license (https://creativecommons.org/licenses/by/4.0/).
Share and Cite
Guo, M.; Xu, Z.; Zhang, H.; Mei, J.; Xie, J. The Effects of Acute Exposure to Ammonia on Oxidative Stress, Hematological Parameters, Flesh Quality, and Gill Morphological Changes of the Large Yellow Croaker (Larimichthys crocea). Animals 2023, 13, 2534. https://doi.org/10.3390/ani13152534
Guo M, Xu Z, Zhang H, Mei J, Xie J. The Effects of Acute Exposure to Ammonia on Oxidative Stress, Hematological Parameters, Flesh Quality, and Gill Morphological Changes of the Large Yellow Croaker (Larimichthys crocea). Animals. 2023; 13(15):2534. https://doi.org/10.3390/ani13152534
Chicago/Turabian StyleGuo, Meijie, Zhenkun Xu, Hongzhi Zhang, Jun Mei, and Jing Xie. 2023. "The Effects of Acute Exposure to Ammonia on Oxidative Stress, Hematological Parameters, Flesh Quality, and Gill Morphological Changes of the Large Yellow Croaker (Larimichthys crocea)" Animals 13, no. 15: 2534. https://doi.org/10.3390/ani13152534
APA StyleGuo, M., Xu, Z., Zhang, H., Mei, J., & Xie, J. (2023). The Effects of Acute Exposure to Ammonia on Oxidative Stress, Hematological Parameters, Flesh Quality, and Gill Morphological Changes of the Large Yellow Croaker (Larimichthys crocea). Animals, 13(15), 2534. https://doi.org/10.3390/ani13152534

