Identification of Key Modules and Hub Genes Involved in Regulating the Color of Chicken Breast Meat Using WGCNA
Abstract
Simple Summary
Abstract
1. Introduction
2. Materials and Methods
2.1. Experimental Birds and Sample Preparation
2.2. Meat Color Parameters Determination
2.3. cDNA Library Construction and RNA Sequencing
2.4. RNA-Seq Data Analysis
2.5. Weighted Gene Co-Expression Network Analysis
2.6. Functional Enrichment Analysis
2.7. Quantitative RT-PCR Analysis
2.8. Statistical Analysis
3. Results
3.1. The Meat Color of Two Breeds
3.2. Summary of Transcriptome Data
3.3. Weighted Gene Co-Expression Network Construction and Modules Detection
3.4. Identification of Meta-Modules Associated with Meat Color Traits
3.5. Functional Enrichment Analysis of Genes in Relevant Modules
3.6. Identification and Visualization of Hub Genes Related to Meat Color
3.7. Expression Levels of the Top 30 Hub Genes in Core Modules
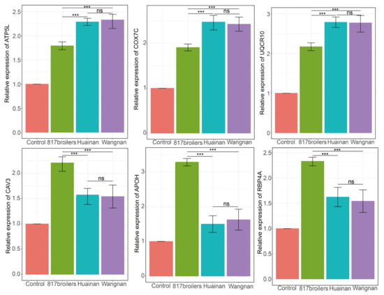
3.8. Verification the Expression Levels of Hub Genes in Different Breeds
4. Discussion
5. Conclusions
Supplementary Materials
Author Contributions
Funding
Institutional Review Board Statement
Informed Consent Statement
Data Availability Statement
Acknowledgments
Conflicts of Interest
References
- Havenstein, G.B.; Ferket, P.R.; Qureshi, M.A. Growth, livability, and feed conversion of 1957 versus 2001 broilers when fed representative 1957 and 2001 broiler diets. Poult. Sci. 2003, 82, 1500–1508. [Google Scholar] [CrossRef]
- Petracci, M. Current meat quality challenges for the poultry industry—A review. Anim. Sci. Pap. Rep. 2022, 40, 253–261. [Google Scholar]
- Johansson, A.M.; Pettersson, M.E.; Siegel, P.B.; Carlborg, O. Genome-wide effects of long-term divergent selection. PLoS Genet. 2010, 6, e1001188. [Google Scholar] [CrossRef]
- Barbut, S.; Leishman, E.M. Quality and processability of modern poultry meat. Animals 2022, 12, 2766. [Google Scholar] [CrossRef]
- Dransfield, E.; Sosnicki, A.A. Relationship between muscle growth and poultry meat quality. Poult. Sci. 1999, 78, 743–746. [Google Scholar] [CrossRef]
- Petracci, M.; Cavani, C. Muscle growth and poultry meat quality issues. Nutrients 2012, 4, 1–12. [Google Scholar] [CrossRef]
- Fletcher, D.L. Poultry meat quality. World’s Poult. Sci. J. 2019, 58, 131–145. [Google Scholar] [CrossRef]
- Joo, S.T.; Kim, G.D.; Hwang, Y.H.; Ryu, Y.C. Control of fresh meat quality through manipulation of muscle fiber characteristics. Meat Sci. 2013, 95, 828–836. [Google Scholar] [CrossRef] [PubMed]
- Matarneh, S.K.; Silva, S.L.; Gerrard, D.E. New insights in muscle biology that alter meat quality. Annu. Rev. Anim. Biosci. 2021, 9, 355–377. [Google Scholar] [CrossRef] [PubMed]
- Suman, S.P.; Joseph, P. Myoglobin chemistry and meat color. Annu. Rev. Food. Sci. Technol. 2013, 4, 79–99. [Google Scholar] [CrossRef] [PubMed]
- Mir, N.A.; Rafiq, A.; Kumar, F.; Singh, V.; Shukla, V. Determinants of broiler chicken meat quality and factors affecting them: A review. J. Food. Sci. Technol. 2017, 54, 2997–3009. [Google Scholar] [CrossRef] [PubMed]
- Purslow, P.P.; Warner, R.D.; Clarke, F.M.; Hughes, J.M. Variations in meat colour due to factors other than myoglobin chemistry; a synthesis of recent findings (invited review). Meat Sci. 2020, 159, 107941. [Google Scholar] [CrossRef] [PubMed]
- Wideman, N.; O’Bryan, C.A.; Crandall, P.G. Factors affecting poultry meat colour and consumer preferences—A review. World’s Poult. Sci. J. 2019, 72, 353–366. [Google Scholar] [CrossRef]
- Le Bihan-Duval, E.; Debut, M.; Berri, C.M.; Sellier, N.; Sante-Lhoutellier, V.; Jego, Y.; Beaumont, C. Chicken meat quality: Genetic variability and relationship with growth and muscle characteristics. BMC Genet. 2008, 9, 53. [Google Scholar] [CrossRef]
- Sun, J.; Tan, X.; Yang, X.; Bai, L.; Kong, F.; Zhao, G.; Wen, J.; Liu, R. Identification of candidate genes for meat color of chicken by combing selection signature analyses and differentially expressed genes. Genes 2022, 13, 307. [Google Scholar] [CrossRef]
- Sun, Y.; Zhao, G.; Liu, R.; Zheng, M.; Hu, Y.; Wu, D.; Zhang, L.; Li, P.; Wen, J. The identification of 14 new genes for meat quality traits in chicken using a genome-wide association study. BMC Genom. 2013, 14, 458. [Google Scholar] [CrossRef]
- Le Bihan-Duval, E.; Nadaf, J.; Berri, C.; Pitel, F.; Graulet, B.; Godet, E.; Leroux, S.Y.; Demeure, O.; Lagarrigue, S.; Duby, C.; et al. Detection of a Cis [corrected] eQTL controlling BCMO1 gene expression leads to the identification of a QTG for chicken breast meat color. PLoS ONE 2011, 6, e14825. [Google Scholar] [CrossRef]
- Liu, R.; Xing, S.; Wang, J.; Zheng, M.; Cui, H.; Crooijmans, R.; Li, Q.; Zhao, G.; Wen, J. A new chicken 55K SNP genotyping array. BMC Genom. 2019, 20, 410. [Google Scholar] [CrossRef]
- Yuan, C.; Jiang, Y.; Wang, Z.; Chen, G.; Bai, H.; Chang, G. Indigenous, yellow-feathered chickens body measurements, carcass traits, and meat quality depending on marketable age. Animals 2022, 12, 2422. [Google Scholar] [CrossRef]
- Wang, Y.; Liu, L.; Liu, X.; Tan, X.; Zhu, Y.; Luo, N.; Zhao, G.; Cui, H.; Wen, J. SLC16A7 promotes triglyceride deposition by de novo lipogenesis in chicken muscle tissue. Biology 2022, 11, 1547. [Google Scholar] [CrossRef]
- Bordini, M.; Soglia, F.; Davoli, R.; Zappaterra, M.; Petracci, M.; Meluzzi, A. Molecular pathways and key genes associated with breast width and protein content in white striping and wooden breast chicken pectoral muscle. Front. Physiol. 2022, 13, 936768. [Google Scholar] [CrossRef] [PubMed]
- Barreto Sanchez, A.L.; Wang, Q.; Thiam, M.; Wang, Z.; Zhang, J.; Zhang, Q.; Zhang, N.; Li, Q.; Wen, J.; Zhao, G. Liver transcriptome response to heat stress in Beijing you chickens and guang ming broilers. Genes 2022, 13, 416. [Google Scholar] [CrossRef] [PubMed]
- Li, J.; He, X.; Wang, Z.; Wang, J.; Chen, H.; Su, H.; Guo, X.; Jiang, R. Effects of plastic antipecking devices on the production performance, beak length, and behavior in Chinese Wannan chickens. Poult. Sci. 2020, 99, 6715–6722. [Google Scholar] [CrossRef]
- Peng, S.Y.; Lu, M.X.; Wang, M.; Wang, L.; Wang, C.Q.; Wang, J.R.; Zhang, Y.F.; Zhang, H.J.; Li, J. The complete mitochondrial genome of Huainan partridge chicken (Gallus gallus). Mitochondrial DNA B Resour. 2021, 6, 99–101. [Google Scholar] [CrossRef] [PubMed]
- Guo, X.; Wang, J.; Chen, H.; Su, H.; Wang, Z.; Wan, Y.; Huang, Y.; Jiang, R. Effects of exercise on carcass composition, meat quality, and mRNA expression profiles in breast muscle of a Chinese indigenous chicken breed. Poult. Sci. 2019, 98, 5241–5246. [Google Scholar] [CrossRef]
- Kong, Y. Btrim: A fast, lightweight adapter and quality trimming program for next-generation sequencing technologies. Genomics 2011, 98, 152–153. [Google Scholar] [CrossRef]
- Kim, D.; Paggi, J.M.; Park, C.; Bennett, C.; Salzberg, S.L. Graph-based genome alignment and genotyping with HISAT2 and HISAT-genotype. Nat. Biotechnol. 2019, 37, 907–915. [Google Scholar] [CrossRef]
- Li, H.; Handsaker, B.; Wysoker, A.; Fennell, T.; Ruan, J.; Homer, N.; Marth, G.; Abecasis, G.; Durbin, R. Genome project data processing s: The sequence alignment/Map format and SAMtools. Bioinformatics 2009, 25, 2078–2079. [Google Scholar] [CrossRef]
- Anders, S.; Pyl, P.T.; Huber, W. HTSeq—A Python framework to work with high-throughput sequencing data. Bioinformatics 2015, 31, 166–169. [Google Scholar] [CrossRef]
- Love, M.I.; Huber, W.; Anders, S. Moderated estimation of fold change and dispersion for RNA-seq data with DESeq2. Genome Biol. 2014, 15, 550. [Google Scholar] [CrossRef]
- Langfelder, P.; Horvath, S. WGCNA: An R package for weighted correlation network analysis. BMC Bioinf. 2008, 9, 559. [Google Scholar] [CrossRef] [PubMed]
- Shannon, P.; Markiel, A.; Ozier, O.; Baliga, N.S.; Wang, J.T.; Ramage, D.; Amin, N.; Schwikowski, B.; Ideker, T. Cytoscape: A software environment for integrated models of biomolecular interaction networks. Genome Res. 2003, 13, 2498–2504. [Google Scholar] [CrossRef] [PubMed]
- Vera Alvarez, R.; Pongor, L.S.; Marino-Ramirez, L.; Landsman, D. TPMCalculator: One-step software to quantify mRNA abundance of genomic features. Bioinformatics 2019, 35, 1960–1962. [Google Scholar] [CrossRef] [PubMed]
- Reimand, J.; Arak, T.; Adler, P.; Kolberg, L.; Reisberg, S.; Peterson, H.; Vilo, J. g:Profiler-a web server for functional interpretation of gene lists (2016 update). Nucleic Acids Res. 2016, 44, W83–W89. [Google Scholar] [CrossRef]
- Livak, K.J.; Schmittgen, T.D. Analysis of relative gene expression data using real-time quantitative PCR and the 2(-Delta Delta C(T)) Method. Methods 2001, 25, 402–408. [Google Scholar] [CrossRef]
- Baeza, E.; Guillier, L.; Petracci, M. Review: Production factors affecting poultry carcass and meat quality attributes. Animal 2022, 16, 100331. [Google Scholar] [CrossRef]
- Purslow, P.P.; Gagaoua, M.; Warner, R.D. Insights on meat quality from combining traditional studies and proteomics. Meat Sci. 2021, 174, 108423. [Google Scholar] [CrossRef]
- Faustman, C.; Sun, Q.; Mancini, R.; Suman, S.P. Myoglobin and lipid oxidation interactions: Mechanistic bases and control. Meat Sci. 2010, 86, 86–94. [Google Scholar] [CrossRef]
- Gestrich, C.K.; Sadri, N.; Sinno, M.G.; Pateva, I.; Meyerson, H.J. Reciprocal ATP5L-KMT2A gene fusion in a paediatric B lymphoblastic leukaemia/lymphoma (B-ALL) patient. Br. J. Haematol. 2020, 191, e61–e64. [Google Scholar] [CrossRef]
- Sun, D.; Cheng, Y.; Zhou, D.; Liu, T.; Chen, S.; Liang, J.; Tang, C.; Lai, X. Quantitative proteome of medulla oblongata in spontaneously hypertensive rats. J. Proteome Res. 2013, 12, 390–395. [Google Scholar] [CrossRef]
- Akarsu, S.; Torun, D.; Erdem, M.; Kozan, S.; Akar, H.; Uzun, O. Mitochondrial complex I and III mRNA levels in bipolar disorder. J. Affective Disord. 2015, 184, 160–163. [Google Scholar] [CrossRef] [PubMed]
- Tang, J.; Hu, W.; Chen, S.; Di, R.; Liu, Q.; Wang, X.; He, X.; Gan, S.; Zhang, X.; Zhang, J.; et al. The genetic mechanism of high prolificacy in small tail han sheep by comparative proteomics of ovaries in the follicular and luteal stages. J. Proteom. 2019, 204, 103394. [Google Scholar] [CrossRef] [PubMed]
- McGovern, A.J.; Arevalo, M.A.; Ciordia, S.; Garcia-Segura, L.M.; Barreto, G.E. Respirasome proteins are regulated by sex-hormone interactions in the brain. Int. J. Mol. Sci. 2022, 23, 14754. [Google Scholar] [CrossRef] [PubMed]
- Burska, D.; Stiburek, L.; Krizova, J.; Vanisova, M.; Martinek, V.; Sladkova, J.; Zamecnik, J.; Honzik, T.; Zeman, J.; Hansikova, H.; et al. Homozygous missense mutation in UQCRC2 associated with severe encephalomyopathy, mitochondrial complex III assembly defect and activation of mitochondrial protein quality control. Biochim. Biophys. Acta Mol. Basis Dis. 2021, 1867, 166147. [Google Scholar] [CrossRef] [PubMed]
- Jia, J.; Deng, J.; Jin, H.; Yang, J.; Nan, D.; Yu, Z.; Yu, W.; Shen, Z.; Lu, Y.; Liu, R.; et al. Effect of Dl-3-n-butylphthalide on mitochondrial Cox7c in models of cerebral ischemia/reperfusion injury. Front. Pharmacol. 2023, 14, 1084564. [Google Scholar] [CrossRef] [PubMed]
- Wang, S.X.; Cai, G.; Sui, S. Intrinsic fluorescence study of the interaction of human apolipoprotein H with phospholipid vesicles. Biochemistry 1999, 38, 9477–9484. [Google Scholar] [CrossRef]
- Pennings, M.T.; van Lummel, M.; Derksen, R.H.; Urbanus, R.T.; Romijn, R.A.; Lenting, P.J.; de Groot, P.G. Interaction of beta2-glycoprotein I with members of the low density lipoprotein receptor family. J. Thromb. Haemost. 2006, 4, 1680–1690. [Google Scholar] [CrossRef] [PubMed]
- Pan, Z.; Du, G.; Li, G.; Wu, D.; Chen, X.; Geng, Z. Apolipoprotein H: A novel regulator of fat accumulation in duck myoblasts. J. Anim. Sci. Technol. 2022, 64, 1199–1214. [Google Scholar] [CrossRef]
- Volonte, D.; McTiernan, C.F.; Drab, M.; Kasper, M.; Galbiati, F. Caveolin-1 and caveolin-3 form heterooligomeric complexes in atrial cardiac myocytes that are required for doxorubicin-induced apoptosis. Am. J. Physiol. Heart Circ. Physiol. 2008, 294, H392–H401. [Google Scholar] [CrossRef]
- Augustus, A.S.; Buchanan, J.; Addya, S.; Rengo, G.; Pestell, R.G.; Fortina, P.; Koch, W.J.; Bensadoun, A.; Abel, E.D.; Lisanti, M.P. Substrate uptake and metabolism are preserved in hypertrophic caveolin-3 knockout hearts. Am. J. Physiol. Heart Circ. Physiol. 2008, 295, H657–H666. [Google Scholar] [CrossRef]
- Yang, X.; Okamura, D.M.; Lu, X.; Chen, Y.; Moorhead, J.; Varghese, Z.; Ruan, X.Z. CD36 in chronic kidney disease: Novel insights and therapeutic opportunities. Nat. Rev. Nephrol. 2017, 13, 769–781. [Google Scholar] [CrossRef] [PubMed]
- Glatz, J.F.C.; Nabben, M.; Luiken, J. CD36 (SR-B2) as master regulator of cellular fatty acid homeostasis. Curr. Opin. Lipidol. 2022, 33, 103–111. [Google Scholar] [CrossRef] [PubMed]
- Kotnik, P.; Fischer-Posovszky, P.; Wabitsch, M. RBP4: A controversial adipokine. Eur. J. Endocrinol. 2011, 165, 703–711. [Google Scholar] [CrossRef]
- Liu, Y.; Mu, D.; Chen, H.; Li, D.; Song, J.; Zhong, Y.; Xia, M. Retinol-binding protein 4 induces hepatic mitochondrial dysfunction and promotes hepatic steatosis. J. Clin. Endocrinol. Metab. 2016, 101, 4338–4348. [Google Scholar] [CrossRef] [PubMed]
- Marchissio, M.J.; Frances, D.E.; Carnovale, C.E.; Marinelli, R.A. Mitochondrial aquaporin-8 knockdown in human hepatoma HepG2 cells causes ROS-induced mitochondrial depolarization and loss of viability. Toxicol. Appl. Pharmacol. 2012, 264, 246–254. [Google Scholar] [CrossRef]
- Zhang, J.; Li, M.; Yu, Q.; Han, L.; Ma, Z. Effects of lysosomal-mitochondrial apoptotic pathway on tenderness in post-mortem bovine longissimus muscle. J. Agric. Food Chem. 2019, 67, 4578–4587. [Google Scholar] [CrossRef]
- Luciano, G.; Monahan, F.; Vasta, V.; Biondi, L.; Lanza, M.; Pennisi, P.; Priolo, A. Lamb meat colour stability as affected by dietary tannins. Ital. J. Anim. Sci. 2009, 8, 507–509. [Google Scholar] [CrossRef]
- Rong, W.F.; Gourine, A.V.; Cockayne, D.A.; Xiang, Z.H.; Ford, A.P.D.W.; Spyer, K.M.; Burnstock, G. Pivotal role of nucleotide P2X(2) receptor subunit of the ATP-gated ion channel mediating ventilatory responses to hypoxia. J. Neurosci. 2003, 23, 11315–11321. [Google Scholar] [CrossRef]
- Ambalavanar, R.; Dessem, D. Emerging peripheral receptor targets for deep-tissue craniofacial pain therapies. J. Dent. Res. 2009, 88, 201–211. [Google Scholar] [CrossRef]






| Item | Wannan | Huainan | p-Value |
|---|---|---|---|
| L* | 54.60 ± 1.92 | 52.20 ± 2.63 | 0.058 |
| a* | 8.84 ± 2.54 | 9.66 ± 2.27 | 0.508 |
| b* | 15.89 ± 3.92 | 15.70 ± 2.83 | 0.914 |
Disclaimer/Publisher’s Note: The statements, opinions and data contained in all publications are solely those of the individual author(s) and contributor(s) and not of MDPI and/or the editor(s). MDPI and/or the editor(s) disclaim responsibility for any injury to people or property resulting from any ideas, methods, instructions or products referred to in the content. |
© 2023 by the authors. Licensee MDPI, Basel, Switzerland. This article is an open access article distributed under the terms and conditions of the Creative Commons Attribution (CC BY) license (https://creativecommons.org/licenses/by/4.0/).
Share and Cite
Guo, X.; Zhang, H.; Wang, H.; He, X.-X.; Wang, J.-X.; Wei, W.; Liu, M.; Xu, J.-M.; Liu, Y.-N.; Jiang, R.-S. Identification of Key Modules and Hub Genes Involved in Regulating the Color of Chicken Breast Meat Using WGCNA. Animals 2023, 13, 2356. https://doi.org/10.3390/ani13142356
Guo X, Zhang H, Wang H, He X-X, Wang J-X, Wei W, Liu M, Xu J-M, Liu Y-N, Jiang R-S. Identification of Key Modules and Hub Genes Involved in Regulating the Color of Chicken Breast Meat Using WGCNA. Animals. 2023; 13(14):2356. https://doi.org/10.3390/ani13142356
Chicago/Turabian StyleGuo, Xing, Hong Zhang, Hao Wang, Xin-Xin He, Jiang-Xian Wang, Wei Wei, Meng Liu, Jin-Mei Xu, Ya-Nan Liu, and Run-Shen Jiang. 2023. "Identification of Key Modules and Hub Genes Involved in Regulating the Color of Chicken Breast Meat Using WGCNA" Animals 13, no. 14: 2356. https://doi.org/10.3390/ani13142356
APA StyleGuo, X., Zhang, H., Wang, H., He, X.-X., Wang, J.-X., Wei, W., Liu, M., Xu, J.-M., Liu, Y.-N., & Jiang, R.-S. (2023). Identification of Key Modules and Hub Genes Involved in Regulating the Color of Chicken Breast Meat Using WGCNA. Animals, 13(14), 2356. https://doi.org/10.3390/ani13142356
