First Description of the Breeding Biology of the Spectacled Fulvetta (Fulvetta ruficapilla sordidior) in Southwest China
Abstract
Simple Summary
Abstract
1. Introduction
2. Materials and Methods
2.1. Study Site
2.2. Field Procedures and Data Analysis
3. Results
3.1. Breeding Phenology
3.2. Nest and Nest Sites
3.3. Eggs and Incubation
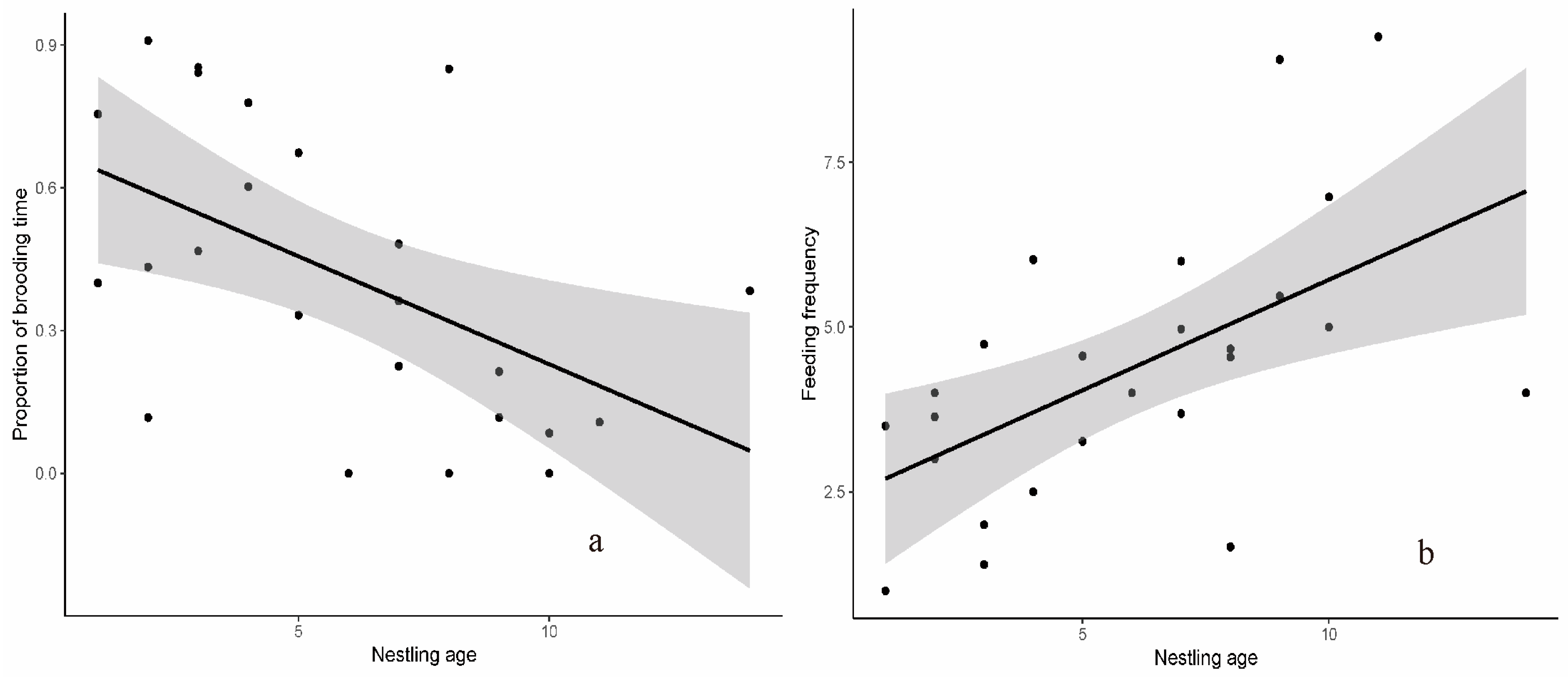
3.4. Nestlings
3.5. Nesting Success and Predation
4. Discussion
5. Conclusions
Author Contributions
Funding
Institutional Review Board Statement
Informed Consent Statement
Data Availability Statement
Acknowledgments
Conflicts of Interest
References
- Martin, T.E. Avian life history evolution in relation to nest sites, nest predation, and food. Ecol. Monogr. 1995, 65, 101–127. [Google Scholar] [CrossRef]
- Martin, T.E. Avian life-history evolution has an eminent past: Does it have a bright future? Auk 2004, 121, 289–301. [Google Scholar] [CrossRef]
- Auer, S.K.; King, D.I. Ecological and life-history traits explain recent boundary shifts in elevation and latitude of western North American songbirds. Glob. Ecol. Biogeogr. 2014, 23, 867–875. [Google Scholar] [CrossRef]
- Both, C.; Visser, M.E. The effect of climate change on the correlation between avian life-history traits. Glob. Chang. Biol. 2005, 11, 1606–1613. [Google Scholar] [CrossRef]
- Xiao, H.T.; Hu, Y.G.; Lang, Z.D.; Fang, B.H.; Guo, W.B.; Zhang, Q.; Pan, X.; Lu, X. How much do we know about the breeding biology of bird species in the world? J. Avian Biol. 2017, 48, 513–518. [Google Scholar] [CrossRef]
- Gill, F.; Donsker, D.; Rasmussen, P. IOC World Bird List (v10.1). 2020. Available online: http://worldbirdnames.org (accessed on 15 March 2020).
- Zheng, G.M. A Checklist on the Classification and Distribution of the Birds of China, 3rd ed.; Science Press: Beijing, China, 2017. [Google Scholar]
- Liu, Y.; Chen, S.H. The CNG Field Guide to the Birds of China; Hunan Science and Technology Press: Changsha, China, 2021. [Google Scholar]
- Huang, Y.; Wu, W.G.; Huang, C.M. Breeding ecology of the Fulvetta cinereiceps. Chin. J. Wildl. 1988, 42, 13–15. [Google Scholar]
- Wang, X.Y.; Liang, D.; He, Y.X.; Luo, X. Breeding ecology of Alcippe vinipectus at Pianma Pass on Gaoligong Mountain, Yunnan. J. Southwest For. Univ. 2016, 36, 181–186. [Google Scholar]
- Lei, F.M.; Lu, T.C. Chinese Endemic Birds; Science Press: Beijing, China, 2006. [Google Scholar]
- BirdLife International. Fulvetta ruficapilla. The IUCN Red List of Threatened Species Version 2022–2. 2022. Available online: http://www.iucnredlist.org (accessed on 12 April 2023).
- Li, G.L.; Bai, X.H.; Yuan, C.H. A survey on brood nest and its habitat of Spectacled Fulvetta. J. Shaanxi Univ. Tech. (Nat. Sci. Ed.) 2013, 29, 59–61. [Google Scholar]
- Zhang, Y.; Peng, X.L.; Fan, G.S. Discussion on planning and construction of suburban forest park by taking the Huma Park in Kunming city as an example. Mod. Landsc. Archit. 2012, 11, 21–26. [Google Scholar]
- Dong, C.; Wu, L.; Pang, L.; Su, X.Y. Effect of climate changing in Kunming in recent 65 years and technical analysis of sponge city construction. J. Landsc. Res. 2019, 11, 45–51. [Google Scholar]
- Rodewald, A.D. Nest-searching cues and studies of nest-site selection and nesting success. J. Field Ornithol. 2004, 75, 31–39. [Google Scholar] [CrossRef]
- Rosoni, J.R.; Krugel, M.M.; Fontana, C.S.; Behr, E.R. Breeding biology of Rusty-collared Seedeater (Sporophila collaris) in the grasslands in southern Brazil. Wilson J. Ornithol. 2019, 131, 296–309. [Google Scholar] [CrossRef]
- Gussoni, C.O.; Pizo, M.A. Breeding biology of the Restinga Tyrannulet (Phylloscartes kronei). Wilson. J. Ornithol. 2018, 130, 591–599. [Google Scholar] [CrossRef]
- Liang, D.; Gao, G.; Han, L.X.; Luo, X. Breeding biology of Fire-Tailed Myzornis (Myzornis pyrrhoura) in an alpine environment in southwestern China. Wilson J. Ornithol. 2017, 129, 568–575. [Google Scholar] [CrossRef]
- Repenning, M.; Fontana, C.S. Breeding biology of the Tropeiro seedeater (Sporophila beltoni). Auk 2016, 133, 484–496. [Google Scholar] [CrossRef]
- R Core Team. R: A Language and Environment for Statistical Computing; R Foundation for Statistical Computing: Vienna, Austria, 2022; Available online: https://www.R-project.org/ (accessed on 20 April 2023).
- Pinheiro, J.C.; Bates, D.M. Mixed-Effects Models in S and S-PLUS; Springer: New York, NY, USA, 2000. [Google Scholar]
- Guo, Y.Y.; Lu, X. Clutch size of passerines increases with latitude in China, but egg size is conserved. Ibis 2022, 164, 1063–1072. [Google Scholar] [CrossRef]
- Bears, H.; Martin, K.; White, G.C. Breeding in high-elevation habitat results in shift to slower life-history strategy within a single species. J. Anim. Ecol. 2009, 78, 365–375. [Google Scholar] [CrossRef] [PubMed]
- Sheldon, F.H.; Winkler, D.W. Nest architecture and avian systematics. Auk 1999, 116, 875–877. [Google Scholar] [CrossRef]
- Fang, Y.T.; Tuanmu, M.N.; Hung, C.M. Asynchronous evolution of interdependent nest characters across the avian phylogeny. Nat. Commun. 2018, 9, 1863. [Google Scholar] [CrossRef]
- Badyaev, A.V. Avian life history variation along altitudinal gradients: An example with cardueline finches. Oecologia 1997, 111, 365–374. [Google Scholar] [CrossRef]
- Badyaev, A.V.; Ghalambor, C.K. Evolution of life histories along elevational gradients: Trade-off between parental care and fecundity. Ecology 2001, 82, 2948–2960. [Google Scholar] [CrossRef]
- Li, S.B.; Lu, X. Breeding biology of Rock Sparrows Petronia petronia in the Tibetan plateau, with special reference to life history variation across altitudes. Acta. Ornithol. 2012, 47, 19–25. [Google Scholar]
- Martin, T.E.; Martin, P.R.; Olson, C.R.; Heidinger, B.J.; Fontaine, J.J. Parental care and clutch sizes in North and South American birds. Science 2000, 287, 1482–1485. [Google Scholar] [CrossRef]
- Lima, S.L. Predators and the breeding bird: Behavioral and reproductive flexibility under the risk of predation. Biol. Rev. 2009, 84, 485–513. [Google Scholar] [CrossRef] [PubMed]
- Lu, X.; Gong, G.H.; Zeng, X.H. Reproductive ecology of Brown-cheeked Laughing Thrushes (Garrulax henrici) in Tibet. J. Field Ornithol. 2008, 79, 152–158. [Google Scholar] [CrossRef]
- Yang, C.C.; Cai, Y.; Liang, W.; Antonov, A. Breeding biology of the golden parrotbill (Paradoxornis verreauxi) (Aves: Timaliidae) in southwestern China. J. Nat. Hist. 2011, 45, 1817–1822. [Google Scholar] [CrossRef]
- Wang, Y.P.; Chen, S.H.; Blair, R.B.; Jiang, P.P.; Ding, P. Nest composition adjustments by Chinese Bulbuls Pycnonotus sinensis in an urbanized landscape of Hangzhou (E China). Acta Ornithol. 2009, 44, 185–192. [Google Scholar] [CrossRef]
- Møller, A.P. Fashion and out of fashion: Appearance and disappearance of a novel nest building innovation. Avian Res. 2017, 8, 14. [Google Scholar] [CrossRef]
- Lan, F.Y.; Ma, X.J.; Lu, J.Y.; Li, Y.G.; Chai, R.S.; Li, X.; Luo, Y.O.; Zhang, Y.Z.; Ye, Z.L.; Fu, C.J.; et al. Effects of urbanization on bird nesting: A review. Biodivers. Sci. 2021, 29, 1539–1553. [Google Scholar] [CrossRef]



| Species | Breeding Site | Elevation (m a.s.l.) | Breeding Period | Clutch Size | Fresh Mass (g) | Egg Length/mm | Egg Width/mm | Incubation Period (d) | Nestling Period (d) | References |
|---|---|---|---|---|---|---|---|---|---|---|
| F. r. sordidior | Yunnan Province | 1918–2106 | March–June | 2.73 ± 0.45 (n = 11) | 1.28 ± 0.13 (n = 5) | 17.21 ± 0.43 (n = 5) | 13.02 ± 0.48 (n = 5) | 13.67 ± 0.47 (n = 3) | 13.00 ± 0.71 (n = 4) | This study |
| F. r. ruficapilla | Shaanxi Province | 1050–2200 | April–June | 4 (n = 2) | —— | —— | —— | —— | 15 | Li et al. 2013 [13] |
| F. vinipectus | Yunnan Province | 2700–3600 | April–May | 2.64 ± 0.93 (n = 14) | 1.47 ± 0.13 (n = 14) | 16.7 ± 0.8 (n = 33) | 12.8 ± 0.5 (n = 33) | 17 (n = 1) | 14 (n = 1) | Wang et al. 2016 [10] |
| F. cinereiceps | Sichuan Province | 2500–2900 | April–June | 3–4 (n = 6) | 1.6 | 17.8 | 13.0 | 15–16 | 12 | Huang et al. 1988 [9] |
Disclaimer/Publisher’s Note: The statements, opinions and data contained in all publications are solely those of the individual author(s) and contributor(s) and not of MDPI and/or the editor(s). MDPI and/or the editor(s) disclaim responsibility for any injury to people or property resulting from any ideas, methods, instructions or products referred to in the content. |
© 2023 by the authors. Licensee MDPI, Basel, Switzerland. This article is an open access article distributed under the terms and conditions of the Creative Commons Attribution (CC BY) license (https://creativecommons.org/licenses/by/4.0/).
Share and Cite
Fan, S.; Zhang, J.; Duan, Y.; Luo, X. First Description of the Breeding Biology of the Spectacled Fulvetta (Fulvetta ruficapilla sordidior) in Southwest China. Animals 2023, 13, 2157. https://doi.org/10.3390/ani13132157
Fan S, Zhang J, Duan Y, Luo X. First Description of the Breeding Biology of the Spectacled Fulvetta (Fulvetta ruficapilla sordidior) in Southwest China. Animals. 2023; 13(13):2157. https://doi.org/10.3390/ani13132157
Chicago/Turabian StyleFan, Shixiang, Jiansong Zhang, Yubao Duan, and Xu Luo. 2023. "First Description of the Breeding Biology of the Spectacled Fulvetta (Fulvetta ruficapilla sordidior) in Southwest China" Animals 13, no. 13: 2157. https://doi.org/10.3390/ani13132157
APA StyleFan, S., Zhang, J., Duan, Y., & Luo, X. (2023). First Description of the Breeding Biology of the Spectacled Fulvetta (Fulvetta ruficapilla sordidior) in Southwest China. Animals, 13(13), 2157. https://doi.org/10.3390/ani13132157
