Simple Summary
Sustainable aquaculture expansion will be crucial for the food security of a growing population expected to reach ~10 billion by 2050. Larval rearing is one of the most complex phases of marine aquaculture due to the need for additional facilities and labor to produce zooplankton to feed the larvae. Therefore, establishing adequate protocols for each species to shift from the live to the inert feed is crucial for more suitable management and profitability of the production. For those reasons, three different co-feeding protocols, A100 (2 initial Artemia sp. mL−1 day−1), A50 (1 initial Artemia sp. mL−1 day−1), and A0 (0 Artemia sp. mL−1 day−1, only rotifers administered as live feed), were evaluated from 22 to 36 days post-hatching (dph) in the weaning of the flathead grey mullet, a promising species for sustainable aquaculture diversification. Survival, growth, biochemical composition, and gene expression of digestive enzymes and growth hormones were assessed. The A0 treatment performed better in survival, while the A100 treatment was the best for growth performance. The expression of the different genes evaluated did not show differences between treatments. In conclusion, rotifers should be maintained until 30–32 dph (total larval length of at least 10 mm) to maximize survival, while Artemia sp. supply is recommended from 26 to 29 dph (total larval length of 8 to 9 mm) to improve larval growth and minimize size dispersion.
Abstract
The sustainable expansion of aquaculture relies on a sufficient supply of eggs and larvae, which are the first step of life cycle management. However, marine fish larval rearing generally depends on live feed production, which needs additional facilities and labor. The flathead grey mullet (Mugil cephalus), a promising species for aquaculture diversification, has a precocious digestive system development, supporting the feasibility of early weaning strategies. For these reasons, this study evaluated survival, growth, proximate and fatty acid composition, and gene expression of Mugil cephalus larvae reared under three different weaning protocols. Three co-feeding treatments, two with different Artemia sp. concentrations (A100 and A50, 2 and 1 Artemia sp. mL−1 day−1, respectively) and one with only rotifers administered as live feed along the feeding trial (A0), were assessed from 22 to 36 days post-hatching (dph). The A0 treatment performed better in survival (64.79 ± 7.40%) than the A100 protocol (32.46 ± 12.82%). In contrast, the larvae of the A100 treatment presented significantly higher final length (15.51 ± 0.86 mm) than those of the A0 treatment (12.19 ± 1.45 mm) and higher final weight (41.28 ± 1.48 mg) than those of the A50 and A0 treatments (31.23 ± 3.65 mg and 24.03 ± 7.99 mg, respectively). On the other hand, the expression of digestive enzyme- and somatotropic factor-related genes did not show differences between treatments. The present results support the convenience of treatment A0 in maximizing survival, as rotifers should be maintained until 30–32 dph (until a total larval length of at least 10 mm). However, to improve growth and minimize size dispersion, Artemia sp. addition is recommended from day 26 to day 29 post-hatching (total larval length of 8 to 9 mm).
1. Introduction
Aquaculture has become the world’s fastest-growing food production sector in the last few decades [1,2], driven by increased demand for aquatic products, overexploitation of wild stocks, and demographic growth. However, one of the most significant bottlenecks for further expansion of the sector is the supply of quality eggs and larvae that can guarantee an adequate volume of juveniles [3].
Larval rearing of marine fish is one of the most expensive and complex phases of the fish production cycle due to the need for auxiliary facilities to produce zooplankton (rotifers (Brachionus plicatilis mostly used) and Artemia sp.), which in general is critical for the success of the on-growing larval phase and consequently for the rest of the production cycle [4,5]. Many standard larval rearing protocols for Mediterranean species end between 30 and 40 dph [6]; however, the success of early weaning strategies is variable between species. For instance, for the Senegalese sole (Solea senegalensis), recent advances have allowed early weaning protocols starting as soon as 15 dph [7], while for the gilthead seabream (Sparus aurata), early weaning can begin around 20 dph [8,9]. However, early weaning protocols (16–20 dph) can lead to an increase in mortality or deformity incidence in species such as the European seabass (Dicentrarchus labrax) [6,10]. In this context, a suitable weaning protocol may optimize several parameters such as survival, larval growth, and size distribution, directly affecting the subsequent quality of the fingerlings [11]. Therefore, establishing adequate periods and protocols for larval weaning of different species is critical to promoting improved management procedures by hatcheries.
Another measure for the sustainable expansion of aquaculture is species diversification. Among the fish species suitable for this purpose, the Mugilidae family presents great potential due to its euryhaline, eurythermal, and low trophic nature [12]. Nevertheless, its cultivation is still mainly supported by wild fry capture, which results in high mortalities (70% to 96%), and hence appears to be an unsustainable practice [13]. However, the rising interest in mullets in recent years has promoted the investigation of reproductive techniques and physiology in different regions worldwide [14,15,16,17], offering a more sustainable alternative to increase the culture of these species. Specifically, the flathead grey mullet (Mugil cephalus) is a great candidate due to its fast growth, its large size, and the high market value of its salted and dried egg roe [18,19].
Recent studies have focused on some aspects of M. cephalus larval development under intensive culture conditions, particularly the ontogeny of the digestive, visual, and skeletal systems [19,20]. In addition, the beneficial effects of algal turbidity on larval performance [21] and the effects of different protein levels in weaning diets [22,23] have been recently assessed. Marine larvae such as the flathead grey mullet are born with undeveloped organs and systems that mature during the larval phase to achieve full functionality. For other mullet species such as the thick-lipped grey mullet (Chelon labrosus), premature intestinal maturation has been suggested, which may allow the use of early weaning strategies between 14 and 20 days post-hatching [24,25]. In the flathead grey mullet, mouth opening and first intestinal villi formation occur at 3 dph (88 degree days), while gastric glands and other main structures of the digestive tract are developed by 17 dph, which suggests the feasibility of shifting from live to inert feeds from this age onwards [19]. In this context, the expression of the digestive enzyme- and growth factor-related genes in the function of the employed weaning protocol would offer some clues to adapting feeding and rearing conditions [26].
For these reasons, the present study aimed to assess the effects of three different weaning protocols, two with different Artemia sp. concentrations (A100 and A50, 2 and 1 Artemia sp. mL−1 day−1, respectively) and one with only rotifers administered as live feed along the feeding trial (A0). Survival, growth performance, proximate and fatty acid composition, and the expression of growth- and digestive enzyme-related genes of M. cephalus larvae were evaluated. The present results will provide essential information for tailored management protocols and hatchery cost optimization.
2. Materials and Methods
2.1. Larval Rearing
Two grey mullet mature females and two mature males were captured during the natural spawning season of the species (September 2020) at the Porto Pino lagoon (Sardinia, Italy), taking advantage of their seasonal migration towards the sea. The animals were transferred to a flow-through 3500 L tank of the San Giuseppe fishing cooperative (50 m from the site of capture) and injected with an LH-RH analog (ENANTONE, Takeda Italia S.p.a) as described by Vallainc et al. [16]. Fertilized eggs were spontaneously obtained 30 h post-injection and transferred to the International Marine Centre Foundation (IMC) facilities in Oristano (Italy). Eggs were incubated in a 2000 L tank in a seawater recirculating aquaculture system (RAS). Ammonia, nitrite, and nitrate levels were monitored and kept below harmful levels (0.5, 1, and 25 mg L−1, respectively). After hatching, M. cephalus larvae were reared until 14 dph, following a standard protocol for marine larvae [27]. Enriched rotifers (Brachionus sp.) were adjusted twice daily to a concentration of 5 rotifers mL−1 to achieve a daily dose of 10 rotifers mL−1. Two commercial products based on concentrated marine microalgae were used following manufacturer instructions to enrich the rotifers and produce the green water used for the larval rearing (Nanno Star, AlgaSpring, Almere, The Netherlands).
On the fourteenth day post-hatching, larvae were individually counted and manually distributed in nine 300 L tronco-conical tanks in a seawater RAS (1090 larvae per tank, three tanks per treatment), with an initial flow rate of 25% of the tank volume per hour.
Oxygen and temperature were monitored daily with a digital probe (Hach Lange HQ 40 d, Loveland, CO, USA), and the mean recorded values were 8.14 ± 0.10 mg L−1 and 23.0 ± 0.16 °C, respectively. Salinity, pH, ammonia, nitrite, and nitrates were measured every 48 h, and the median values were 38.22 ± 0.17 ppt, 7.80 ± 0.03, 0.09 ± 0.10 mg L−1, 0.37 ± 0.37 mg L−1, and 8.80 ± 5.69 mg L−1, respectively. Salinity was measured with a refractometer (ATC Optika S.r.l. Ponteranica, Italy), pH was measured with a pH-meter (Halo HI11312, Hanna Instruments, Padua, Italy), and ammonia, nitrite, and nitrates were measured with a commercial kit (Prodac laboret test kit, Prodac S.L., Citadella, Italy). The bottom of each tank was siphoned daily to remove mortality and uneaten food. The water surface was also cleaned manually every day.
2.2. Feeding Protocols
Larvae were acclimated to experimental tanks for one week, receiving two daily doses of 5 rotifers mL−1 in green water culture (Isocrysis galbana and Tetraselmis suecica, 1:1 in volume ratio in the morning, and Nanno Star green in the afternoon). A 12 h light:12 h darkness artificial photoperiod was used during the whole experiment. Starting from 22 dph, 3 different weaning protocols named A100, A50, and A0 were applied, according to an initial dose of 2, 1, and 0 Artemia sp. mL−1 day−1, respectively (Figure 1). For the control protocol (A100 treatment), initially, rotifers were provided twice daily at a concentration of 2.5 rotifers mL−1 (5 rotifers mL−1 day−1) until 26 dph (end of rotifer administration), and Artemia sp. metanauplii were provided four times per day at an initial concentration of 0.5 metanauplii mL−1 (2 Artemia sp. mL−1 day−1) with the dose being progressively reduced until 32 dph; thereafter, the larvae were fed only the inert feed until the end of the feeding trial (35 dph). In the A50 treatment, the larvae received the same amount of rotifers (5 rotifers mL−1 day−1) and a half dose of Artemia sp. metanauplii compared to the A100 protocol (four times per day at an initial concentration of 0.25 metanauplii mL−1, equal to 1 Artemia sp. mL−1 day−1). In contrast, in the A0 treatment, larvae were fed only rotifers at an initial dose of 10 rotifers mL−1 day−1 (four daily doses of 2.5 rotifers mL−1). In all treatments, the initial doses of live feed were progressively and proportionally decreased, until the end of the live prey feeding period (32 dph) (Figure 1). Artemia sp. metanauplii used in all treatments were enriched with the same commercial product used for rotifers, following the manufacturer’s instructions. Furthermore, in all treatments, a commercial microdiet (Gemma micro 0.1 type, Skretting, Vervins, France) (D1) was also offered from the start (22 dph) until the end of the experiment 15 times per day (8:00–18:00 h), and the fed amount was weighed daily. From 31 dph until the end of the feeding period (35 dph), this diet was mixed (1:1) with Gemma wean 0.2 (Skretting, Vervins, France) (D2). From 33 dph onwards, all larvae from the different treatments were fed only with the microdiet. The amount of microdiet was offered considering, on the one hand, the estimated consumption and growth of the larvae to ensure enough feed and, on the other, the visual inspection of the tanks, which allowed the adjustment of the dose given to avoid an excess of uneaten food. The average amount of feed given to each tank was 0.56 g day−1 from day 22 to day 29 post-hatching, and 0.88 g day−1 from 29 to 35 dph.
Figure 1.
Protocols of daily doses of feed administration along the experiment in the treatments A100, A50, and A0 (2, 1, and 0 initial Artemia sp. mL−1 day−1, respectively).
2.3. Sampling Protocols
The initial sampling was conducted after the acclimatization period (22 dph), prior to the beginning of the experiment. From each tank, 25 larvae were randomly collected and sacrificed with ice-cold water. A subsample of twenty larvae was then measured for total length under a microscope (Leica DMC2900, Wetzlar, Germany) using the LAS 4.5 software (Leica, Wetzlar, Germany). After measurements, a subsample of 15 larvae was placed in 3 groups of 5 larvae on cover glasses previously weighed to determine the wet weight. The glasses were then placed in a laboratory oven at 60 °C for 48 h to determine the dry weight. In addition, 5 larvae were also placed in RNAlater solution, stored at 4 °C for one week, and then frozen at −80 °C until gene expression analyses.
The same procedure was also used to sample larvae at 29 dph (intermediate sampling) and 36 dph (final sampling). At the latter sampling point, a pool of 17 larvae from each tank was also collected for biochemical analyses, frozen at −80 °C, and subsequently lyophilized until analyses could be conducted.
Furthermore, 3 different samples of enriched rotifers and Artemia sp. metanauplii were collected, frozen at −80 °C, and lyophilized until biochemical analyses. Samples of the inert diets were also stored at −80 °C until analyses. The biochemical and fatty acid composition of the diets is presented in Table 1.
Table 1.
Proximate (% of dry weight) and fatty acid composition (% of total fatty acids (TFAs)) of experimental feeds.
2.4. Survival and Growth
To determine survival, the dead larvae siphoned daily were counted. In addition, at the end of the experiment, the larvae in each tank were counted. Considering the number of larvae sampled during the experimental period, the percentage of survival was calculated using the following formula:
Survival (%) = (final living larvae/(initial larvae at the beginning of the treatments)) × 100
Larval growth was measured using total length and wet and dry weight at the different sampling points. The coefficient of variation of total length (CV) and the specific growth ratio (SGR) were calculated using the following formulas:
where Wf represents the final weight and Wi represents the initial weight.
CV = (standard deviation of total final length/mean final length) × 100
SGR (%) = (lnWf − lnWi)/days of experiment × 100,
2.5. Biochemical Analyses
Feed moisture, crude lipid, crude protein, and crude ash content (enriched rotifers, Artemia sp. metanauplii, and commercial diets) and larva moisture, crude lipid, and crude protein content were determined in the laboratories of the Instituto Eco-aqua, University of Las Palmas de Gran Canaria (Canary Islands, Spain), following the techniques described by the AOAC [28]. Total crude protein content was determined by the Kjeldahl method [29], and total crude lipid content was determined as described by Folch et al. [30]. The total lipids extracted were trans-esterified [31], and the fatty acids were subsequently quantified by gas chromatography [32]. Analyses of diets were carried out in triplicate, while analyses of larvae were performed in duplicate for each tank (one pool per tank and three pools per treatment).
2.6. Gene Expression Analyses
Gene expression analyses were also carried out in the laboratories of the Instituto Eco-aqua, University of Las Palmas de Gran Canaria (Canary Islands, Spain). The present study aimed to assess the expression of genes related to growth (growth hormone (gh) and insulin-like growth factor 1 (igf1)) and digestive enzymes (pancreatic alpha amylase (amy2a), carboxyl ester lipase precursor (cel), chymotrypsinogen precursor (ctr), pancreatic phospholipase A2 (pla2g1b), and trypsinogen 2 precursor (try2)). The total RNA of 3 pooled larvae per tank was extracted using TRI reagent (Sigma-Aldrich, Sant Louis, MO, USA) and the extraction kit RNeasy Mini Kit from Qiagen. The reverse transcription (RT) of RNA to cDNA was carried out using the iScript cDNA Synthesis Kit (Bio-Rad Hercules, CA, USA) in 20 μL reaction volume according to the manufacturer’s instructions to be later diluted 1/10 with Milli-Q water. Real-time PCRs were performed using an l-cycler with an optical module (Bio-Rad Hercules, CA, USA) in a final volume of 15.2 μL containing 7.5 μL of iQ-SYBER Green Supermix (Bio-Rad Hercules, CA, USA), 5 μL of cDNA, 0.6 μL of each primer (forward and reverse), and 1.5 μL of Milli-Q water. The conditions for the real-time reactions, which depended on each primer, were adapted from referenced protocols using a gradient of annealing temperatures to determine those with the best efficiency (Table 2). All reactions were performed in duplicate for each sample, and blank control reactions in which the cDNA was replaced with Milli-Q water were included. Relative gene expression was determined by the 2− ΔΔCT method [33] using 18S-rRNA as a housekeeping gene.
Table 2.
Primer sequences and RT-PCR conditions of the different genes analyzed.
2.7. Statistical Analyses
All the statistical analyses were carried out using the program IBM SPSS Statistic 20 (New York, NY, USA). After the normality and homoscedasticity test (p ≥ 0.05), the analysis of variance was performed using a one-way ANOVA, and the means were compared using the Tukey post hoc test (p ≤ 0.05). When the data did not meet the assumption of normality or homoscedasticity, the medians were compared using a Kruskal–Wallis test (p ≤ 0.05).
3. Results
3.1. Survival and Growth
The survival of the larvae was significantly different between treatments (p = 0.02) (Figure 2). The A100 treatment presented the lowest survival, followed by the A50 treatment, while the A0 treatment resulted in the highest survival.
Figure 2.
Survival (%) of Mugil cephalus larvae fed A100, A50, and A0 protocols (2, 1, and 0 of Artemia sp. mL−1 day−1, respectively), during the experiment (means ± SD). Lines with different superscripts indicate the presence of significant differences (Tukey post hoc test p ≤ 0.05). Abbreviations: dph, days post-hatching; SD, standard deviation.
Regarding growth performance, the final length showed differences between treatments; larvae reared under the A100 protocol were significantly longer than those of the A0 treatment at the end of the trial (p < 0.01) (Table 3). The CV showed the opposite trend, with the larvae reared under the A0 protocol presenting the highest value, even if not significantly (p= 0.27) (Figure 3).
Table 3.
Wet weight (WW), dry weight (DW), and total length (TL) of Mugil cephalus larvae reared under the different protocols, during the experiment.
Figure 3.
Coefficient of variation (CV) of total length at 36 dph of Mugil cephalus larvae fed A100, A50, and A0 protocols (2, 1, and 0 of Artemia sp. mL−1 day−1, respectively) (means ± SD). Columns without superscripts indicate the absence of significant differences (Tukey post hoc test p ≥ 0.05). Abbreviations: dph, days post-hatching; SD, standard deviation.
Larvae from the A100 treatment also presented a significantly higher wet and dry weight, both at the intermediate and final sampling points (p < 0.01) (Table 3). A similar trend was observed for SGR (Figure 4), although the observed differences were not statistically significant (p = 0.44).
Figure 4.
Specific growth rate (SGR (%/day)) at 36 dph of Mugil cephalus larvae fed A100, A50, and A0 protocols (2, 1, and 0 of Artemia sp. mL−1 day−1, respectively) (means ± SD). Columns without superscripts indicate the absence of significant differences (Tukey post hoc test p ≥ 0.05).
3.2. Biochemical Analyses
The proximate composition of larvae at the end of the experiment (Table 4) showed a similar trend to those observed for survival and final length, as evidenced by the total lipid contents found for the different treatments. The lipid content of the larvae from A100 was significantly higher (p = 0.03) than that of larvae under the A0 treatment, while larvae reared with the A50 protocol showed intermediate values. This trend of extreme values for A100 and A0 protocols and intermediate values for A50 was also observed in many cases for the larva fatty acid profile (Table 4). Specifically, the larvae from the A0 treatment presented the highest values of linoleic acid (18:2n-6) (p = 0.02), docosapentaenoic acid (DPA) (p = 0.03), and DHA/EPA (docosahexaenoic acid/eicosapentaenoic acid) ratio (p = 0.02), while the larvae from the A100 and A50 treatment showed the highest levels of oleic acid (18:1n-9) (p = 0.01), 18:1n-7 (p = 0.01), linolenic acid (18:3n-3) (p < 0.01), and n3/n6 ratio (p < 0.01).
Table 4.
Proximate (% of dry weight) and fatty acid composition (% of total fatty acids (TFAs)) of the whole larvae from the different experimental groups.
3.3. Gene Expression Analyses
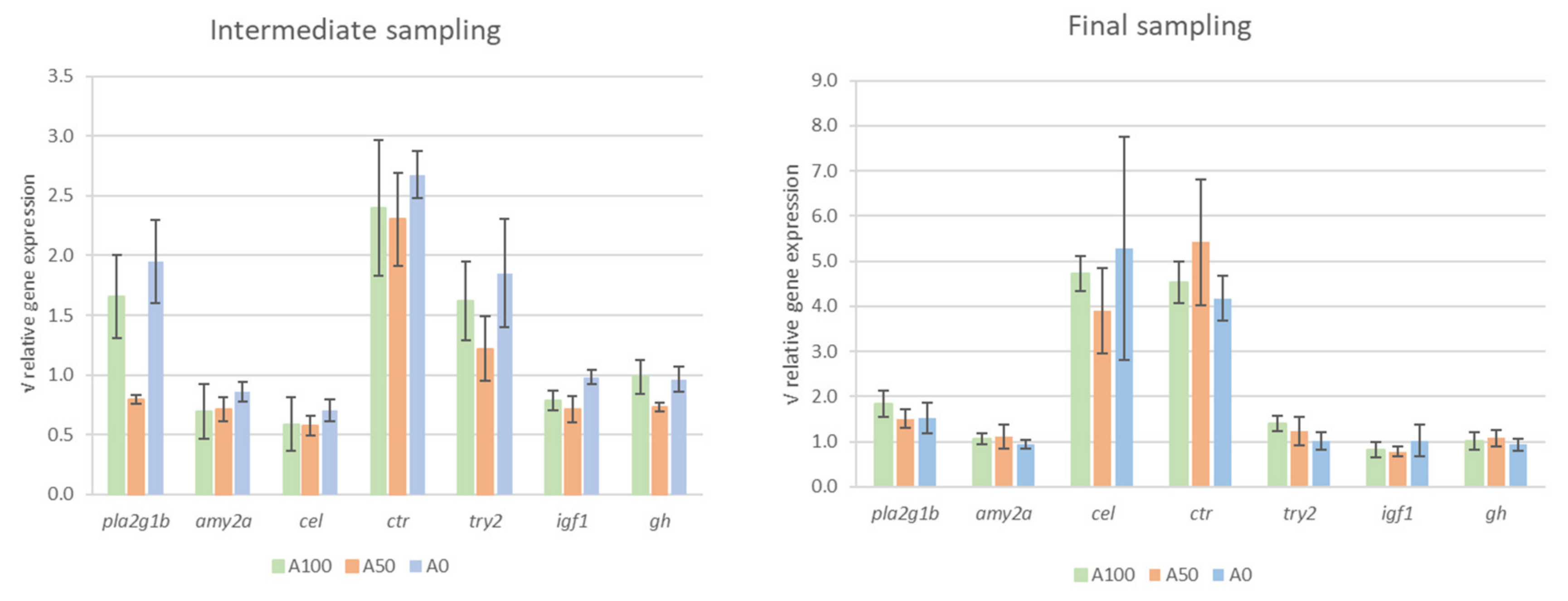
No differences in the gene expression were found between treatments, neither for the digestive enzyme-related genes nor for the growth hormone-related genes at any of the sampling points (Figure 5). Additionally, the evaluation of the gene expression over time in the different treatments showed that the carboxyl ester lipase precursor (cel) increased significantly from the intermediate (29 dph) to the final sampling point (36 dph) (p = 0.03). In contrast, the chymotrypsinogen precursor (ctr) increased continuously during the trial (p < 0.01) (Figure 6).
Figure 5.
Relative gene expression of digestive enzymes and growth hormones for the different treatments in the intermediate (29 dph) and final sampling (36 dph). Data are normalized by the initial expression rates and are presented as square root of expression ratios ± standard error. Columns without superscripts indicate the absence of significant differences (Tukey post hoc test p ≥ 0.05). Abbreviations: gh, growth hormone; igf1, insulin-like growth factor 1; amy2a, pancreatic alpha amylase; cel, carboxyl ester lipase precursor; ctr, chymotrypsinogen precursor; pla2g1b, pancreatic phospholipase A2; try2, trypsinogen 2 precursor.
Figure 6.
Relative gene expression of digestive enzymes and growth hormones for the different sampling moments. Data are normalized by the initial expression rates and are presented as the square root of normalized expression ratios ± standard error. Different lowercase letters indicate significant differences in cel gene expression, while different uppercase letters indicate significant differences in ctr gene expression among sampling points (Tukey post hoc test p ≤ 0.05). Abbreviations: gh, growth hormone; igf1, insulin-like growth factor 1; amy2a, pancreatic alpha amylase; cel, carboxyl ester lipase precursor; ctr, chymotrypsinogen precursor; pla2g1b, pancreatic phospholipase A2; try2, trypsinogen 2 precursor.
4. Discussion
Weaning of the flathead grey mullet usually is carried out using a feeding sequence that includes both rotifer and Artemia sp. administration until the final shift to inert feeding [15,16,19], as described for other marine aquaculture species. In the present experiment, the live feeding period and the shift to the inert feed were carried out by comparing a standardized protocol (A100) [27] with two protocols, one with reduced Artemia sp. administration (A50) and another with no Artemia sp. provision (A0). The results evidenced the highest final weight but the lowest survival for the A100 treatment. In contrast, the highest survival and lowest final weight were registered in treatment A0. Survival during the experimental period (Figure 2) remained similar until day 26 post-hatching, the last day of rotifer administration in the A100 and A50 treatments. From that moment onward, mortality continued to increase in the A100 and A50 treatments but not in the A0. This could be related to the relatively small larval mouth size at the time of rotifer removal from the diet which may have prevented an efficient switch from the smaller rotifers to the larger Artemia sp. (720 µm average, own data). In this regard, Shirota et al. [36] reported a mouth size between 636 and 882 µm in 5.2 mm Mugil cephalus larvae, suggesting an optimum size of the live feed as less than half the size of the mouth gape [36,37]. In our study, at the intermediate sampling point (29 dph), small larvae of around 5.5 mm were still present. Oz et al. [38] also described an important size dispersion in cultured M. cephalus larvae and suggested that larval length is a better predictor than age for the larval developmental stage and, therefore, adapting rearing conditions. According to the previous data, this fact may suggest that the smaller larvae in A50 and A100 may have been unable to feed efficiently and cover their nutritional needs when rotifers were removed and Artemia sp. became the only live feed available. This may have resulted in higher mortality of the smaller individuals in these treatments and, consequently, larger larval sizes of the survivors.
Additionally, several other factors may have influenced larval survival, particularly when Artemia sp. was the primary live feed. For instance, Roo et al. [39] described larval mortality associated with malnutrition in 15–30 dph longfin yellowtail larvae (Seriola rivoliana) due to the low digestibility of the chitin exoskeleton of Artemia sp., reporting undigested and even alive Artemia sp. metanauplii in the feces after their transition thought the larval digestive tract. In addition, the elevated associated bacterial load in Artemia sp. (mainly Vibrio sp.) has been suggested to cause larval mortality when Artemia sp. is the primary food source [40]. Furthermore, present results are consistent with those obtained by Yanes-Roca et al. [41] for pikeperch larvae (Sander lucioperca), in which larvae fed only rotifers also presented lower weight and length but higher survival in comparison with those from the treatments where Artemia sp. and rotifers were provided. Hence, these authors suggested the higher rotifer concentration as a critical point that increased the chances of the smaller larvae to feed and avoid the point of no return.
The higher weight and length of the larvae in the A100 treatment may have been driven, as discussed above, by the probable higher mortality of the smallest larvae in this treatment and, on the other hand, by the higher lipid content of the Artemia sp. and the reduced feeding effort (greater energy intake per capture) which may have also promoted higher growth performance for these larvae. The growth results presented here are in line with previous observations in other species, such as the pikeperch, the Atlantic cod (Gadus morhua), and the cobia (Rachycentron canadum), in which better growth was obtained for larvae fed a combined protocol of rotifers and Artemia sp. in comparison with those fed with only rotifers [41,42,43,44]. Although the results for the CV were not statistically significant, a tendency of greater size dispersion in the larvae from the A0 protocol was observed; this tendency, together with the survival and growth data, supports the hypothesis that the smaller larvae from the A0 protocol were more able to cover their nutritional needs with rotifers and microdiets and therefore achieve a better survival in this treatment.
The higher lipid content of Artemia sp. metanauplii compared to rotifers was reflected in the proximate composition of the larvae reared under those protocols, particularly larvae under the A100 treatment. Moreover, the larvae of all treatments presented remarkably higher lipid levels in comparison with those reported for other marine larvae, such as the red porgy (Pagrus pagrus) [45], the gilthead seabream [9,46], and the Senegalese sole [46], even when these were fed with equal or even higher lipid content diets compared to those used in the present trial.
The fatty acid profile of the live feed was reflected in the larvae of the different treatments, with higher levels of total n-9, 18:1n-9, 18:1n-7, and 18:3n-3 for the larvae reared under the Artemia sp. protocols (A100, A50) and higher levels of 18:2n-6, DPA, EPA and DHA for the larvae reared with rotifers in the A0 protocol, reflecting the fatty acid composition of the prey consumed. Higher DHA and linoleic levels have also been reported for pikeperch larvae reared only with rotifers as live feed compared with those reared with Artemia sp. or with a combined protocol [41]. Optimum DHA levels in marine larval feeds range from 0.5 to 2.5% [47], while for M. cephalus larvae, Koven et al. (2018, unpublished results) suggested that 1.7% of DHA in the total fatty acids is sufficient in the live feed when a source of 18:3n-3 is provided, which probably may indicate some potential to elongate and desaturate precursors of DHA. In the present study, there were differences in survival between the treatment fed with the higher content of Artemia sp. and the treatment fed only with rotifers (with higher highly unsaturated fatty acid (HUFA) content). However, the relationship between dietary DHA and survival seems to be highly species-dependent as it has been demonstrated to have effects on some marine larvae such as the red porgy [45] and the greater amberjack (Seriola dumerili) [48], while no effect of this fatty acid in larval survival has been described for other species such as the Senegalese sole [49] and the California halibut (Paralichthys californicus) [50]. Galindo et al. [51] concluded that the phylogeny of the fish species might be a relevant factor in the biosynthesis potential of long-chain polyunsaturated fatty acids (LC-PUFAs) from precursors, having demonstrated the ability of both the sand sole (Pegusa lascaris) and the thick-lipped grey mullet to synthesize 22:6n-3 from 18:3n-3. These data may suggest a lower compromise of DHA as an essential fatty acid for mullets.
Additionally, the optimal ratios of DHA/EPA for marine larvae have been described to be between 1.2 and 8 [47]. In the present study, the DHA/EPA ratio was lower than these values for rotifers and Artemia sp. metanauplii. However, in the larvae, the DHA/EPA ratio was between 2.14 (A100 treatment) and 3.07 (A0 treatment), being comparable to or even higher than those described for other marine larvae [9,45,52] and suggesting a sort of compensatory mechanism for conserving the physiological HUFA ratios, as has been described for other marine species as the Senegalese sole [53] and the gilthead seabream [54].
Regarding gene expression, the different protocols caused no appreciable differences in the digestive enzymes or the growth factors under study. The present findings contrast with those of Koven et al. [21], which suggested the modulation of lipases and alkaline proteases by the diet in M. cephalus larvae maintained under different water turbidity conditions. In addition, Koven et al. [23] recorded differential enzyme activities in pancreatic α-amylase, alkaline protease, and trypsin depending on the protein content of the weaning diet. In the present study, the inert weaning diets were the same in all the protocols assayed, which may have masked more subtle changes due to differences in the live feed and may explain the absence of differential expression of the digestive enzymes. Regarding the evaluation of the gene expression during the experiment and irrespectively of the treatment, as in the present study, Gilannejad et al. [26] also recorded a rising trend with time in the gene expression of ctr and cel in C. labrosus larvae. In contrast, they also registered a rising trend in the expression of pepsinogen 2 precursor, pla2g1b, gh, and ifg1 genes during the same period, which may be explained by the normal ontogenetic variations between the two species or by the different rearing conditions.
The pronounced increase in cel and ctr observed in our study, mainly from 29 to 36 dph, is indicative of the improved ability of the Mugil cephalus larvae at that time to digest both proteins and lipids of the diet. Since in the present experiment, the proximate composition of the two microdiets was quite similar to those of Artemia sp. and rotifers, the rise in the expression of both genes may be explained mainly by the intestinal maturation of the larvae during this period, which coincides with the end of the metamorphosis from larvae to the juvenile stage [15]. This hypothesis is also supported by the results of Koven et al. [23], which showed that chymotrypsin and lipase activities of Mugil cephalus fry during the weaning phase were independent of the diet provided.
Concerning the gene expression of the somatotropic factors in the different treatments, diverse studies have suggested that poor nutritional status in fish larvae can lead to changes in the expression of the gh/igf axis [55], indicating that smaller larvae with poorer nutritional status showed higher expression of the growth hormone. Thus, the lack of differences in the expression of the growth-related genes in the present study suggests that the treatments evaluated performed equally in terms of growth potential.
5. Conclusions
In conclusion, the present results confirm information on other marine larval weaning protocols and provide new data for a more efficient Mugil cephalus weaning. Flathead grey mullet larvae can be successfully weaned directly from rotifers to microdiet by 32 dph with good survival rates. Weaning protocols including artificial diets from 22 dph promoted higher final weight when Artemia sp. was provided, while larval survival was reduced. Therefore, to ensure better survival and a smoother transition from live prey to formulated feeds for the smaller larvae, rotifers should be maintained until 30–32 dph (total length of at least 10 mm). Additionally, to minimize size dispersion and to promote a smoother transition between live prey, newly hatched Artemia sp. may be provided prior to metanauplii for one to two days; however, Artemia sp. metanauplii administration is not recommended until 26–29 dph (total length of 8.0–8.8 mm). The present results highlight the feasibility of applying different weaning strategies for this species and provide hatcheries with new information to optimize the management effort regarding the final costs and benefits during the Mugil cephalus weaning phase; however, more studies are needed on this topic for a further understanding of the effects of different weaning protocols on the long-term performance.
Author Contributions
Conceptualization, R.Q.-P., D.C., L.R., D.V. and J.R.; methodology, J.R.; investigation, R.Q.-P., D.C. and B.L.; writing—original draft preparation, R.Q.-P.; writing—review and editing, D.C., L.R., D.V., B.L. and J.R.; supervision, J.R.; project administration, L.R.; funding acquisition, L.R. and D.V. All authors have read and agreed to the published version of the manuscript.
Funding
This research was funded by the Project Interreg mac MAC/1.1a/207 R+D+I Towards aquaponics development in the up islands and the circular economy (Islandap) and by the Project Islandap Advanced, Interreg Cooperation Program MAC 2014–2020, MAC2/1.1a/299 R+D+i Towards aquaponics development in the up islands and the circular economy. Interregional forward challenges. This study was also supported by the “Tecnologie innovative per l’acquacoltura” project, funded by Sardegna Ricerche plan activity, ex art. 9 L.R. 20/2015. The first author (Raquel Quirós-Pozo) was supported by a predoctoral grant from the University of Las Palmas de Gran Canaria and by an Erasmus+ grant to support the maintenance and travel expenses to Sardinia (Italy).
Institutional Review Board Statement
The present study followed the European Union Directive (2010/63/EU) on the protection of animal welfare for scientific purposes and the national guidelines for the humane treatment of animals, complying with the relevant Italian legislation.
Informed Consent Statement
Not applicable.
Data Availability Statement
Not applicable.
Acknowledgments
Special thanks to Stefano Carboni for his valuable suggestions for improving the present manuscript.
Conflicts of Interest
The authors declare no conflict of interest.
References
- Tveterås, S.; Asche, F.; Bellemare, M.F.; Smith, M.D.; Guttormsen, A.G.; Lem, A.; Lien, K.; Vannuccini, S. Fish is food-the FAO’s fish price index. PLoS ONE 2012, 7, e36731. [Google Scholar] [CrossRef] [PubMed]
- Garlock, T.; Asche, F.; Anderson, J.; Bjørndal, T.; Kumar, G.; Lorenzen, K.; Ropicki, A.; Smith, M.D.; Tveterås, R. A Global Blue Revolution: Aquaculture Growth Across Regions, Species, and Countries. Rev. Fish. Sci. Aquac. 2020, 28, 107–116. [Google Scholar] [CrossRef]
- Izquierdo, M.S.; Fernandez-Palacios, H.; Tacon, A.G.J. Effect of broodstock nutrition on reproductive performance of fish. Aquaculture 2001, 197, 25–42. [Google Scholar] [CrossRef]
- Dhont, J.; Dierckens, K.; Støttrup, J.; Van Stappen, G.; Wille, M.; Sorgeloos, P. Rotifers, Artemia and copepods as live feeds for fish larvae in aquaculture. In Advances in Aquaculture Hatchery Technology; Woodhead Publishing: Cambridge, UK, 2013; pp. 57–202. [Google Scholar]
- Kolkovski, S. Microdiets as alternatives to live feeds for fish larvae in aquaculture: Improving the efficiency of feed particle utilization. In Advances in Aquaculture Hatchery Technology; Woodhead Publishing: Cambridge, UK, 2013; pp. 203–222. [Google Scholar]
- Giebichenstein, J.; Giebichenstein, J.; Hasler, M.; Schulz, C.; Ueberschär, B. Comparing the performance of four commercial microdiets in an early weaning protocol for European seabass larvae (Dicentrarchus labrax). Aquac. Res. 2022, 53, 544–558. [Google Scholar] [CrossRef]
- Pinto, W.; Engrola, S.; Conceição, L.E.C. Towards an early weaning in Senegalese sole: A historical review. Aquaculture 2018, 496, 1–9. [Google Scholar] [CrossRef]
- Izquierdo, M.S.; Ghrab, W.; Roo, J.; Hamre, K.; Hernández-Cruz, C.M.; Bernardini, G.; Terova, G.; Saleh, R. Organic, inorganic and nanoparticles of Se, Zn and Mn in early weaning diets for gilthead seabream (Sparus aurata; Linnaeus, 1758). Aquac. Res. 2017, 48, 2852–2867. [Google Scholar] [CrossRef]
- Eryalçın, K.M.; Domínguez, D.; Roo, J.; Hernandez-Cruz, C.M.; Zamorano, M.J.; Castro, P.; Hamre, K.; Izquierdo, M. Effect of dietary microminerals in early weaning diets on growth, survival, mineral contents and gene expression in gilthead sea bream (Sparus aurata, L.) larvae. Aquac. Nutr. 2020, 26, 1760–1770. [Google Scholar] [CrossRef]
- Cahu, C.L.; Zambonino Infante, J.L. Early weaning of sea bass (Dicentrarchus labrax) larvae with a compound diet: Effect on digestive enzymes. Comp. Biochem. Physiol. 1994, 109, 213–222. [Google Scholar] [CrossRef]
- Gisbert, E.; Solovyev, M.; Bonpunt, E.; Mauduit, C. Weaning in Siberian Sturgeon Larvae. In The Siberian Sturgeon (Acipenser baerii, Brandt, 1869) Volume 2—Farming; Williot, P., Nonnotte, G., Chebanov, M., Eds.; Springer: Berlin/Heidelberg, Germany, 2018; pp. 59–72. [Google Scholar] [CrossRef]
- Lebreton, B.; Richard, P.; Parlier, E.P.; Guillou, G.; Blanchard, G.F. Trophic ecology of mullets during their spring migration in a European saltmarsh: A stable isotope study. Estuar. Coast. Shelf Sci. 2011, 91, 502–510. [Google Scholar] [CrossRef]
- Crosetti, D.; Blaber, S.J. (Eds.) Biology, Ecology and Culture of Grey Mullets (Mugilidae); CRC Press: Boca Raton, FL, USA, 2016. [Google Scholar]
- Aizen, J.; Meiri, I.; Tzchori, I.; Levavi-Sivan, B.; Rosenfeld, H. Enhancing spawning in the grey mullet (Mugil cephalus) by removal of dopaminergic inhibition. Gen. Comp. Endocrinol. 2005, 142, 212–221. [Google Scholar] [CrossRef]
- Besbes, R.; Benseddik, A.B.; Kokokiris, L.; Changeux, T.; Hamza, A.; Kammoun, F.; Missaoui, H. Thicklip (Chelon labrosus) and flathead (Mugil cephalus) grey mullets fry production in Tunisian aquaculture. Aquac. Rep. 2020, 17, 100380. [Google Scholar] [CrossRef]
- Vallainc, D.; Concu, D.; Papiol, G.G.; Loi, B.; Leggieri, F.; Brundu, G.; Chindris, A.; Sanna, G.; Fois, N.; Antognarelli, F.; et al. Producing flat-head grey mullet Mugil cephalus (Linnaeus, 1758) fries in captivity from sexually mature adults collected in Sardinian lagoons. Aquac. Rep. 2021, 21, 100844. [Google Scholar] [CrossRef]
- Quirós-Pozo, R.; Robaina, L.; Calderón, J.A.; Filgueira, J.R. Reproductive management of the mugilid Liza aurata and characterization of proximate and fatty acid composition of broodstock tissues and spawnings. Aquaculture 2023, 564, 739055. [Google Scholar] [CrossRef]
- Whitfield, A.K.; Panfili, J.; Durand, J.D. A global review of the cosmopolitan flathead mullet Mugil cephalus Linnaeus 1758 (Teleostei: Mugilidae), with emphasis on the biology, genetics, ecology, and fisheries aspects of this apparent species complex. Rev. Fish Biol. Fish. 2012, 22, 641–681. [Google Scholar] [CrossRef]
- Loi, B.; Papadakis, I.E.; Leggieri, F.; Giménez Papiol, G.; Vallainc, D. Ontogeny of the digestive system and eye of reared flathead grey mullet, Mugil cephalus (Linnaeus, 1758), and evaluation of lipid deposition in the liver according to the feeding protocol. Aquaculture 2020, 526, 735386. [Google Scholar] [CrossRef]
- Thieme, P.; Vallainc, D.; Moritz, T. Postcranial skeletal development of Mugil cephalus (Teleostei: Mugiliformes): Morphological and life-history implications for Mugiliformes. Zool. J. Linn. Soc. 2021, 192, 1071–1089. [Google Scholar] [CrossRef]
- Koven, W.; Gisbert, E.; Nixon, O.; Solovyev, M.M.; Gaon, A.; Allon, G.; Meiri-Ashkenazi, I.; Tandler, A.; Rosenfeld, H. The effect of algal turbidity on larval performance and the ontogeny of digestive enzymes in the grey mullet (Mugil cephalus). Comp. Biochem. Physiol. Mol. Integr. Physiol. 2019, 228, 71–80. [Google Scholar] [CrossRef]
- Gisbert, E.; Mozanzadeh, M.T.; Kotzamanis, Y.; Estévez, A. Weaning wild flathead grey mullet (Mugil cephalus) fry with diets with different levels of fish meal substitution. Aquaculture 2016, 462, 92–100. [Google Scholar] [CrossRef]
- Koven, W.; Gisbert, E.; Meiri-Ashkenazi, I.; Nixon, O.; Israeli, D.; Tandler, A.; Nolasco Soria, H.; Solovyev, M.M.; Rosenfeld, H. The effect of weaning diet type on grey mullet (Mugil cephalus) juvenile performance during the trophic shift from carnivory to omnivory. Aquaculture 2020, 518, 734848. [Google Scholar] [CrossRef]
- Ben Khemis, I.; Zouiten, D.; Besbes, R.; Kamoun, F. Larval rearing and weaning of thick lipped grey mullet (Chelon labrosus) in mesocosm with semi-extensive technology. Aquaculture 2006, 259, 190–201. [Google Scholar] [CrossRef]
- Zouiten, D.; Khemis, I.; Besbes, R.; Cahu, C. Ontogeny of the digestive tract of thick lipped grey mullet (Chelon labrosus) larvae reared in “mesocosms. Aquaculture 2008, 279, 166–172. [Google Scholar] [CrossRef]
- Gilannejad, N.; de Las Heras, V.; Martos-Sitcha, J.A.; Moyano, F.J.; Yúfera, M.; Martínez-Rodríguez, G. Ontogeny of Expression and Activity of Digestive Enzymes and Establishment of gh/igf1 Axis in the Omnivorous Fish Chelon labrosus. Animals 2020, 10, 874. [Google Scholar] [CrossRef] [PubMed]
- Djellata, A. Advances in Greater Amberjack (Seriola dumerili, Risso, 1810) Larval Husbandry: Nutrition, Rearing Systems and Weaning Protocols. Ph.D. Thesis, University of Las Palmas de Gran Canaria, Gran Canaria, Spain, 2022; p. 112. [Google Scholar]
- Association of Official Analytical Chemists (AOAC). Official Methods of Analysis, 17th ed.; Association of Official Analytical Chemists: Gaithersburg, MD, USA, 2000. [Google Scholar]
- Kjeldahl, J.A. Neue Methode zur Bestimmung des Stickstoffs in Organischen Korpern. Z Anal. Chem. 1883, 22, 366–382. [Google Scholar] [CrossRef]
- Folch, J.; Lees, M.; Sloane Stanley, G.H. A simple method for the isolation and purification of total lipids from animal tissues. J. Biol. Chem. 1957, 226, 497–509. [Google Scholar] [CrossRef] [PubMed]
- Christie, W.W. Gas Chromatography and Lipids: A Practical Guide; The Oily Press: Glasgow, UK, 1989. [Google Scholar]
- Izquierdo, M.S.; Arakawa, T.; Takeuchi, T.; Haroun, R.; Watanabe, T. Effect of n3HUFA levels in Artemia on growth of larval Japanese flounder (Paralichthys olivaceous). Aquaculture 1992, 105, 73–82. [Google Scholar] [CrossRef]
- Livak, K.J.; Schmittgen, T.D. Analysis of relative gene expression data using real-time quantitative PCR and the 2−ΔΔCT method. Methods 2001, 25, 402–408. [Google Scholar] [CrossRef]
- Zinadah, O.A.; Khalil, W.K.; Ashmaoui, H.M.; Abdul, F.; Alsoud, M.E. Evaluation of the anti-genotoxicity and growth performance impacts of green algae on Mugil cephalus. Life Sci. 2013, 10, 1543–1554. [Google Scholar]
- Raingeard, D.; Cancio, I.; Cajaraville, M.P. Cloning and expression pattern of peroxisome proliferator-activated receptor α in the thicklip grey mullet Chelon labrosus. Mar. Environ. Res. 2006, 62, S113–S117. [Google Scholar] [CrossRef]
- Shirota, A. Studies on the mouth size of fish larvae. Bull. Jpn. Soc. Sci. Fish. 1970, 36, 353–369. [Google Scholar] [CrossRef]
- Santhosh, B.; Anil, M.K.; Muhammed Anzeer, F.; Aneesh, K.S.; Abraham, M.V.; Gopakumar, G.; George, R.M.; Gopalakrishnan, A.; Unnikrishnan, C. Culture Techniques of Marine Copepods; Booklet No. 9/2018; CMFRI: Kochi, India, 2018. [Google Scholar]
- Oz, I.; Gajbhiye, D.S.; Columbus-Shenkar, Y.Y.; David, L.; Golan, M. Non-uniform metamorphosis underlies different development trajectories in hatchery-reared flathead grey mullet (Mugil cephalus). Front. Mar. Sci. 2022, 9, 1365. [Google Scholar] [CrossRef]
- Roo, J.; Fernández-Palacios, H.; Hernández-Cruz, C.M.; Mesa-Rodriguez, A.; Schuchardt, D.; Izquierdo, M. First results of spawning and larval rearing of longfin yellowtail Seriola rivoliana as a fast-growing candidate for European marine finfish aquaculture diversification. Aquac. Res. 2014, 45, 689–700. [Google Scholar] [CrossRef]
- Roo, J.; Hernández-Cruz, C.M.; Borrero, C.; Schuchardt, D.; Fernández-Palacios, H. Effect of larval density and feeding sequence on meagre (Argyrosomus regius; Asso, 1801) larval rearing. Aquaculture 2010, 302, 82–88. [Google Scholar] [CrossRef]
- Yanes-Roca, C.; Mráz, J.; Born-Torrijos, A.; Holzer, A.S.; Imentai, A.; Policar, T. Introduction of rotifers (Brachionus plicatilis) during pikeperch first feeding. Aquaculture 2018, 497, 260–268. [Google Scholar] [CrossRef]
- Imentai, A.; Rašković, B.; Steinbach, C.; Rahimnejad, S.; Yanes-Roca, C.; Policar, T. Effects of first feeding regime on growth performance, survival rate and development of digestive system in pikeperch (Sander lucioperca) larvae. Aquaculture 2020, 529, 735636. [Google Scholar] [CrossRef]
- Baskerville-Bridges, B.; Kling, L.J. Early weaning of Atlantic cod (Gadus morhua) larvae onto a microparticulate diet. Aquaculture 2000, 189, 109–117. [Google Scholar] [CrossRef]
- Nguyen, H.Q.; Reinertsen, H.; Wold, P.A.; Tran, T.M.; Kjørsvik, E. Effects of early weaning strategies on growth, survival and digestive enzyme activities in cobia (Rachycentron canadum L.) larvae. Aquac. Int. 2011, 19, 63–78. [Google Scholar] [CrossRef]
- Roo, F.J.; Hernández-Cruz, C.M.; Socorro, J.A.; Fernández-Palacios, H.; Montero, D.; Izquierdo, M.S. Effect of DHA content in rotifers on the occurrence of skeletal deformities in red porgy Pagrus pagrus (Linnaeus, 1758). Aquaculture 2009, 287, 84–93. [Google Scholar] [CrossRef]
- Torres, M.; Navarro, J.C.; Varó, I.; Agulleiro, M.J.; Morais, S.; Hontoria, F.M. Expression of genes related to long-chain (C18–22) and very long-chain (>C24) fatty acid biosynthesis in gilthead seabream (Sparus aurata) and Senegalese sole (Solea senegalensis) larvae: Investigating early ontogeny and nutritional regulation. Aquaculture 2020, 520, 734949. [Google Scholar] [CrossRef]
- Izquierdo, M.S.; Koven, W. Lipids in Larval Fish Nutrition; Holt, J., Ed.; John Wiley and Sons: New York, NY, USA, 2011; pp. 47–81. [Google Scholar]
- Roo, J.; Hernández-Cruz, C.M.; Mesa-Rodriguez, A.; Fernández-Palacios, H.; Izquierdo, M.S. Effect of increasing n-3 HUFA content in enriched Artemia on growth, survival, and skeleton anomalies occurrence of greater amberjack Seriola dumerili larvae. Aquaculture 2019, 500, 651–659. [Google Scholar] [CrossRef]
- Villalta, M.; Estévez, A.; Bransden, M.P.; Bell, J.G. The effect of graded concentrations of dietary DHA on growth, survival and tissue fatty acid profile of Senegal sole (Solea senegalensis) larvae during the Artemia feeding period. Aquaculture 2005, 249, 353–365. [Google Scholar] [CrossRef]
- Vizcaíno-Ochoa, V.; Lazo, J.P.; Barón-Sevilla, B.; Drawbridge, M.A. The effect of dietary docosahexaenoic acid (DHA) on growth, survival and pigmentation of California halibut Paralichthys californicus larvae (Ayres, 1810). Aquaculture 2010, 302, 228–234. [Google Scholar] [CrossRef]
- Galindo, A.; Garrido, D.; Pérez, J.A.M.; Betancor, M.B.; Acosta, N.G.; Kabeya, N.; Marrero, M.A.; Bolaños, A.; Rodríguez, C. Polyunsaturated fatty acid metabolism in three fish species with different trophic level. Aquaculture 2021, 530, 735761. [Google Scholar] [CrossRef]
- Djellata, A.; Sarih, S.; Hernández-Cruz, C.M.; Martínez-Rodríguez, G.; Gilannejad, N.; Roo, J. The effect of different co-feeding protocols on greater amberjack (Seriola dumerili, Risso 1810) larvae. Aquac. Nutr. 2021, 27, 1761–1776. [Google Scholar] [CrossRef]
- Benítez-Dorta, V.; Caballero, M.J.; Izquierdo, M.; Manchado, M.; Infante, C.; Zamorano, M.J.; Montero, D. Total substitution of fish oil by vegetable oils in Senegalese sole (Solea senegalensis) diets: Effects on fish performance, biochemical composition, and expression of some glucocorticoid receptor-related genes. Fish Physiol. Biochem. 2013, 39, 335–349. [Google Scholar] [CrossRef]
- Montero, D.; Izquierdo, M. Welfare and health of fish fed vegetable oils as alternative lipid sources to fish oil. In Fish Oil Replacement and Alternative Lipid Sources in Aquaculture Feeds; Turchini, G., Ng, W., Tocher, D., Eds.; CRC Press: Cambridge, UK, 2010; pp. 439–486. [Google Scholar]
- Opazo, R.; Valladares, L.; Romero, J. Comparison of gene expression patterns of key growth genes between different rate growths in zebrafish (Danio rerio) siblings. Lat. Am. J. Aquat. Res. 2017, 45, 766–775. [Google Scholar] [CrossRef]
Disclaimer/Publisher’s Note: The statements, opinions and data contained in all publications are solely those of the individual author(s) and contributor(s) and not of MDPI and/or the editor(s). MDPI and/or the editor(s) disclaim responsibility for any injury to people or property resulting from any ideas, methods, instructions or products referred to in the content. |
© 2023 by the authors. Licensee MDPI, Basel, Switzerland. This article is an open access article distributed under the terms and conditions of the Creative Commons Attribution (CC BY) license (https://creativecommons.org/licenses/by/4.0/).





