Impacts of Air Velocity Treatments under Summer Conditions: Part II—Heavy Broiler’s Behavioral Response
Abstract
:Simple Summary
Abstract
1. Introduction
2. Materials and Methods
2.1. Experimental Unit
2.2. Animals
2.3. Core Chamber Environmental Data Monitoring
2.4. Air Velocity Treatments
2.5. Behavioral Data Collection
2.6. Statistical Analysis
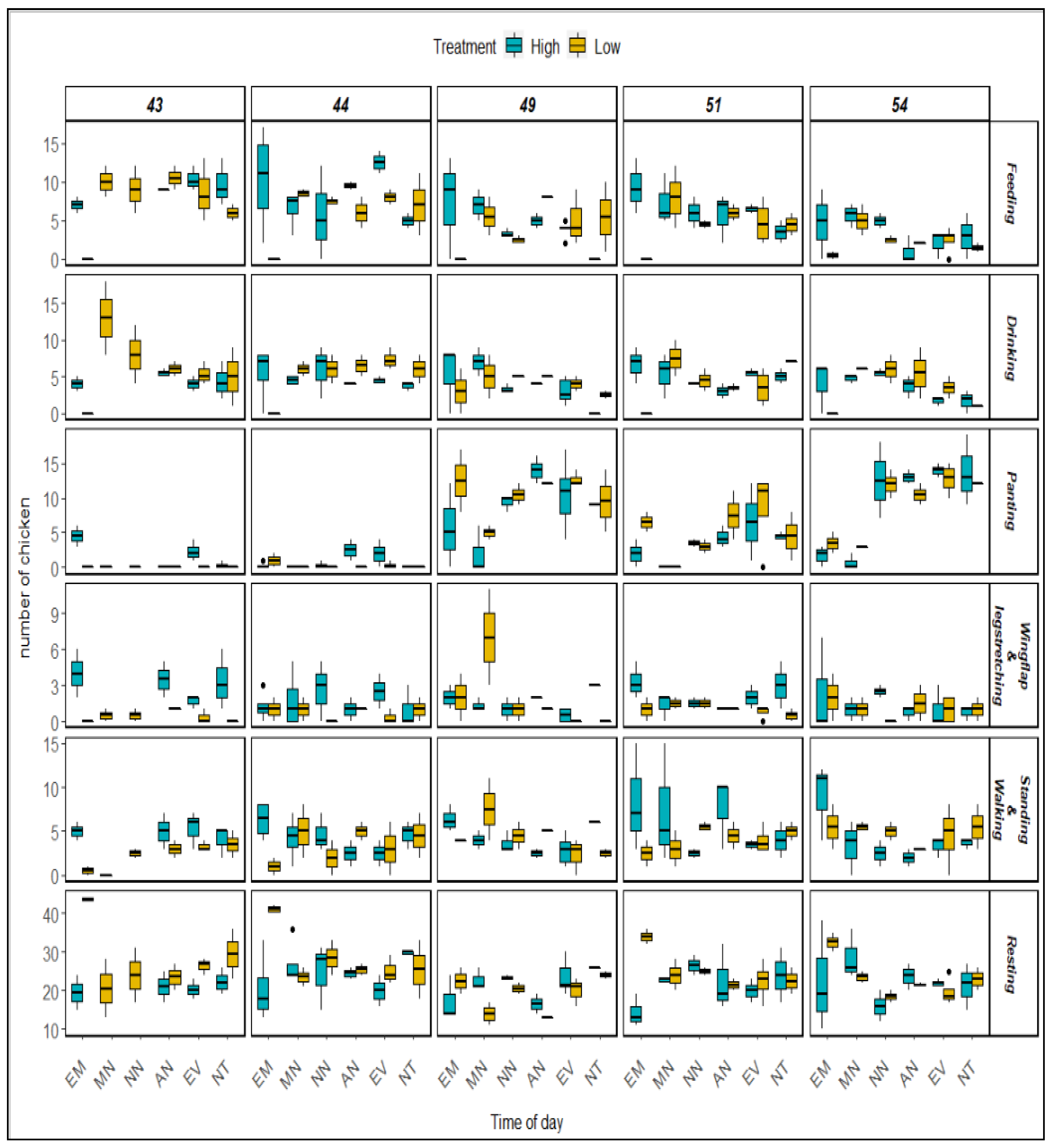
3. Results
3.1. Environmental Conditions
3.2. Effect of the AV Treatments on Behavior
3.2.1. Feeding
3.2.2. Drinking
3.2.3. Standing and Walking
3.2.4. Panting
3.2.5. Sitting
3.2.6. Wing Flapping and Leg Stretching
3.3. Bird Sitting Location
4. Discussion
5. Conclusions
Author Contributions
Funding
Institutional Review Board Statement
Data Availability Statement
Acknowledgments
Conflicts of Interest
References
- Guidefreak. Expected Broiler Weight per Week and How to Get It! 2019. Available online: https://guidefreak.com/broiler-weight-per-week/amp/ (accessed on 10 August 2021).
- National Chicken Council. Chicken Checkin, What is the Difference between Faster- and Slower-Growing Chicken? 2021. Available online: https://www.chickencheck.in/faq/difference-faster-slower-growing-chicken/ (accessed on 10 August 2021).
- Lange, K. Super-Size Problem. The Humane Society of the United States. 2017. Available online: https://www.humanesociety.org/news/super-size-problem-broiler-chickens (accessed on 15 September 2021).
- Kang, S.; Kim, D.-H.; Lee, S.; Lee, T.; Lee, K.-W.; Chang, H.-H.; Moon, B.; Ayasan, T.; Choi, Y.-H. An Acute, Rather Than Progressive, Increase in Temperature-Humidity Index Has Severe Effects on Mortality in Laying Hens. Front. Veter. Sci. 2020, 7, 853. [Google Scholar] [CrossRef] [PubMed]
- Warriss, P.; Pagazaurtundua, A.; Brown, S. Relationship between maximum daily temperature and mortality of broiler chickens during transport and lairage. Br. Poult. Sci. 2005, 46, 647–651. [Google Scholar] [CrossRef]
- Awad, E.A.; Najaa, M.; Zulaikha, Z.A.; Zulkifli, I.; Soleimani, A.F. Effects of heat stress on growth performance, selected physiological and immunological parameters, caecal microflora, and meat quality in two broiler strains. J. Anim. Sci. 2016, 33, 778–787. [Google Scholar] [CrossRef] [PubMed]
- Sohail, M.U.; Hume, M.E.; Byrd, J.A.; Nisbet, D.J.; Ijaz, A.; Sohail, A.; Shabbir, M.Z.; Rehman, H. Effect of supplementation of prebiotic mannan-oligosaccharides and probiotic mixture on growth performance of broilers subjected to chronic heat stress. Poult. Sci. 2012, 91, 2235–2240. [Google Scholar] [CrossRef] [PubMed]
- Mashaly, M.M.; Hendricks, G.L.; Kalama, M.A.; Gehad, A.E.; Abbas, A.O.; Patterson, P.H. Effect of heat stress on production parameters and immune responses of commercial laying hens. Poult. Sci. 2004, 83, 889–894. [Google Scholar] [CrossRef]
- Quinteiro-Filho, W.M.; Gomes, A.V.S.; Pinheiro, M.L.; Ribeiro, A.; Ferraz-De-Paula, V.; Astolfi-Ferreira, C.S.; Ferreira, A.J.P.; Palermo-Neto, J. Heat stress impairs performance and induces intestinal inflammation in broiler chickens infected with Salmonella Enteritidis. Avian Pathol. 2012, 41, 421–427. [Google Scholar] [CrossRef] [Green Version]
- Bizeray, D.; Estevez, I.; Leterrier, C.; Faure, J.M. Effects of increasing environmental complexity on the physical activity of broiler chickens. Appl. Anim. Behav. Sci. 2002, 79, 27–41. [Google Scholar] [CrossRef]
- Mahmoud, U.T.; Abdel-Rahman, M.A.M.; Darwish, M.H.A.; Applegate, T.J.; Cheng, H.W. Behavioral changes and feathering score in heat stressed broiler chickens fed diets containing different levels of propolis. Appl. Anim. Behav. Sci. 2015, 166, 98–105. [Google Scholar] [CrossRef]
- Mack, L.A.; Felver-Gant, J.N.; Dennis, R.L.; Cheng, H.W. Genetic variations alter production and behavioral responses following heat stress in 2 strains of laying hens. Poult. Sci. 2013, 92, 285–294. [Google Scholar] [CrossRef]
- Saeed, M.; Abbas, G.; Alagawany, M.; Kamboh, A.A.; Abd El-Hack, M.E.; Khafaga, A.F.; Chao, S. Heat stress management in poultry farms: A comprehensive overview. J. Therm. Biol. 2019, 84, 414–425. [Google Scholar] [CrossRef]
- Daghir, N.J. Poultry Production in Hot Climates, 2nd ed.; Cab International: Oxfordshire, UK, 2008; pp. 11–30. [Google Scholar]
- Shakeri, M.; Cottrell, J.J.; Wilkinson, S.; Le, H.H.; Suleria, H.A.R.; Warner, R.D.; Dunshea, F.R. Growth performance and characterization of meat quality of broiler chickens supplemented with betaine and antioxidants under cyclic heat stress. Antioxidants 2019, 89, 336. [Google Scholar] [CrossRef] [PubMed] [Green Version]
- Mohammed, A.A.; Jacobs, J.A.; Murugesan, G.R.; Cheng, H.W. Effect of dietary synbiotic supplement on behavioral patterns and growth performance of broiler chickens reared under heat stress. Poult. Sci. 2018, 97, 1101–1108. [Google Scholar] [CrossRef] [PubMed]
- Calvet, S.; van den Weghe, H.; Kosch, R.; Estellés, F. The influence of the lighting program on broiler activity and dust production. Poult. Sci. 2009, 88, 2504–2511. [Google Scholar] [CrossRef] [PubMed]
- Senaratna, D.; Samarakone, T.S.; Gunawardena, W.W.D.A. Red color light at different intensities affects the performance, behavioral activities and welfare of broilers. Asian-Australas. J. Anim. Sci. 2016, 29, 1052–1059. [Google Scholar] [CrossRef] [Green Version]
- Renaudeau, D.; Collin, A.; de Basilio Yahav, S.; Gourdine, J.L.; Collier, R.J. Adaptation to hot climate and strategies to alleviate heat stress in livestock production. Animal 2012, 6, 707–728. [Google Scholar] [CrossRef] [Green Version]
- Mitchell, M.A. Effects of air velocity on convective and radiant heat transfer from domestic fowls at environmental temperatures of 20° and 30 °C. Br. Poult. Sci. 1985, 26, 413–423. [Google Scholar] [CrossRef]
- Simmons, J.D.; Lott, B.D.; May, J.D. Heat loss from broiler chickens subjected to various air speeds and ambient temperatures. Appl. Eng. Agric. 1997, 13, 665–669. [Google Scholar] [CrossRef]
- Yahav, S.; Straschnow, A.; Vax, E.; Razpakovski, V.; Shinder, D. Air velocity alters broiler performance under harsh environmental conditions. Poult. Sci. 2001, 80, 724–726. [Google Scholar] [CrossRef]
- Furlan, R.L.; Macari, M.; Secato, E.R.; Guerreiro, J.R.; Malheiros, E.B. Air velocity and exposure time to ventilation affect body surface and rectal temperature of broiler chickens. J. Appl. Poult. Res. 2000, 9, 1–5. [Google Scholar] [CrossRef]
- Wang-Li, L.; Shivkumar, A.P.; Xu, Y.; Munilla, R.D.; Adcock, M.E.; Tutor, J.C.; Brake, J.; Williams, C.M. Performance of a poultry engineering chamber complex for animal environment and welfare studies. In Proceedings of the International Symposium on Animal Environment and Welfare, Chongqing, China, 19–22 October 2013. [Google Scholar]
- West, D.R. Litter Characteristics, Ammonia Emissions, and Leg Health of Heavy Broilers as Impacted by Air Velocity Treatments: A Chamber Study. Master’s Thesis, North Carolina State University, Raleigh, NC, USA, 2020. [Google Scholar]
- Shivkumar, A.P.; Wang-Li, L.; Shah, S.B.; Stikeleather, L.; Fuentes, M. Performance analysis of a poultry engineering chamber complex for animal environment, air quality, and welfare studies. Trans. ASABE 2016, 59, 1371–1381. [Google Scholar]
- Akter, S.; Cheng, B.; West, D.; Liu, Y.; Qian, Y.; Zou, X.; Classen, J.; Cordova, H.; Oviedo, E.; Wang-Li, L. Impacts of air velocity treatment under summer condition: Part I —heavy broilers’ surface temperature response. Animals 2022, 12, 328. [Google Scholar] [CrossRef] [PubMed]
- Simmons, J.D.; Lott, B.D.; Miles, J.D. The effects of high-air velocity on broiler performance. Poult. Sci. 2003, 82, 232–234. [Google Scholar] [CrossRef] [PubMed]
- Pichova, K.; Nordgreen, J.; Leterrier, C.; Kostal, L.; Moe, R.O. The effects of food-related environmental complexity on litter directed behaviour, fear and exploration of novel stimuli in young broiler chickens. Appl. Anim. Behav. Sci. 2016, 174, 83–89. [Google Scholar] [CrossRef]
- Jacobs, L.; Melick, S.; Freeman, N.; Garmyn, A.; Tuyttens, F.A.M. Broiler chicken behavior and activity are affected by novel flooring treatments. Animals 2021, 11, 2841. [Google Scholar] [CrossRef] [PubMed]
- Newberry, R.C.; Hunt, J.R.; Gardiner, E.E. Influence of light intensity on behavior and performance of broiler chickens. Poult. Sci. 1988, 67, 1020–1025. [Google Scholar] [CrossRef] [PubMed]
- Bruno, L.D.G.; Maiorka, A.; Macari, M.; Furlan, R.L.; Givisiez, P.E.N. Water intake behavior of broiler chickens exposed to heat stress and drinking from bell or and nipple drinkers. Rev. Bras. Cienc. Avic. 2011, 13, 147–152. [Google Scholar] [CrossRef] [Green Version]
- Li, M.; Wu, J.; Chen, Z. Effects of heat stress on the daily behavior of wenchang chickens. Braz. J. Poult. Sci. 2015, 17, 559–566. [Google Scholar] [CrossRef]
- Simmons, J.D.; Lott, B.D.; May, J.D. Air Velocity and High Temperature Effects on Broiler Performance. Poult. Sci. 1998, 77, 391–393. [Google Scholar] [CrossRef]
- Tao, X.; Xin, H. Acute synergistic effects of air temperature, humidity, and velocity on homeostasis of market–size broilers. Trans. ASAE 2003, 46, 491. [Google Scholar] [CrossRef]






| Treatment | Broiler Age (Days) | Temp °C | AV (m/s) Below Optimum T | Temp °C | AV (m/s) around Optimum T | Temp °C | AV (m/s) above Optimum T (Moderate) | Temp °C | AV (m/s) above Optimum T (Severe) | Temp °C | AV (m/s) above Optimum T (Life-Threatening) | Temp °C | AV (m/s) above Optimum T (Warning) |
|---|---|---|---|---|---|---|---|---|---|---|---|---|---|
| High | 28–34 * | <26.0 | 0.9 | 26.0–27.8 | 1.23 | 27.8–28.9 | 1.33 | 28.9–32.2 | 1.48 | 32.2–33.9 | 1.64 | >33.9 | 1.75 |
| Low | 0.9 | 1.23 | 1.33 | 1.48 | 1.64 | 1.75 | |||||||
| High | 35–40 | <21.7 | 0.9 | 21.7–26.0 | 1.23 | 26.0–30.0 | 2.02 | 30.0–33.0 | 2.77 | 33.3–37.8 | 3.45 | >37.8 | 3.95 |
| Low | 0.9 | 1.23 | 1.48 | 2.02 | 2.77 | 3.45 | |||||||
| High | 41–42 | <21.1 | 1.48 | 21.1–26.0 | 1.48 | 26.0–30.0 | 2.02 | 30.0–33.0 | 2.77 | 33.3–37.8 | 3.45 | >37.8 | 3.95 |
| Low | 1.48 | 1.48 | 1.48 | 2.02 | 2.77 | 3.45 | |||||||
| High | 43–52 | <20.6 | 1.48 | 20.6–26.0 | 1.75 | 26.0–30.0 | 2.02 | 30.0–33.0 | 2.77 | 33.3–37.2 | 3.95 | >37.8 | 4.33 |
| Low | 1.48 | 1.75 | 1.75 | 2.43 | 3.02 | 3.65 | |||||||
| High | 53–54 | <19.4 | 1.48 | 19.4–25.0 | 1.75 | 25.0–29.5 | 2.43 | 29.4–32.7 | 3.02 | 32.7–36.1 | 3.95 | >36.1 | 4.33 |
| Low | 1.48 | 1.48 | 1.75 | 2.43 | 3.02 | 3.65 | |||||||
| High | 55–56 | <19.4 | 1.48 | 19.4–25.0 | 1.75 | 25.0–29.5 | 2.43 | 29.4–32.7 | 3.02 | 32.7–35.6 | 3.95 | >35.6 | 4.33 |
| Low | 1.48 | 1.48 | 1.75 | 2.43 | 3.02 | 3.65 | |||||||
| High | 57–58 | <18.9 | 1.48 | 18.9–25.0 | 1.75 | 25.0–29.5 | 2.43 | 29.9–32.2 | 3.02 | 32.2–35.6 | 3.95 | >35.6 | 4.33 |
| Low | 1.48 | 1.48 | 1.75 | 2.43 | 3.02 | 3.65 | |||||||
| High | 59–60 | <18.9 | 1.48 | 18.9–24.4 | 2.43 | 24.4–28.9 | 3.02 | 28.9–31.7 | 3.45 | 31.7–35.0 | 4.33 | >35.0 | 4.43 |
| Low | 1.48 | 1.75 | 2.43 | 2.77 | 3.65 | 3.8 | |||||||
| High | 61 | <18.3 | 1.48 | 18.3–23.9 | 2.43 | 23.9–28.9 | 3.02 | 28.9–31.7 | 3.45 | 31.1–33.9 | 4.33 | >33.9 | 4.6 |
| Low | 1.48 | 1.75 | 2.43 | 2.77 | 3.65 | 3.95 |
| Behavior | Definition |
|---|---|
| Feeding | The bird’s head is located inside the feeder. |
| Drinking | The bird’s beak is in contact with the drinker. |
| Panting | The bird is breathing hard and quickly with a wide-open mouth and constantly shallow respiration. |
| Standing or Walking | Both feet are in contact with the floor; no other body part is in contact with floor. |
| Walking | The bird is in the process of taking at least 2 steps, including scratching the litter. |
| Sitting | Most of the ventral region of the bird’s body is in contact with the floor. No space is visible between the floor and the bird. |
| Wing flap | Flapping wings so that space can be seen between the bird’s wings and its body. |
| Leg stretching | Stretching one leg, often together with the wing of the same side, but the leg may also be stretched alone while sitting or standing. |
| The behaviors were mutually exclusive. | |
| Behavior | Effects (p-Value) | ||||||
|---|---|---|---|---|---|---|---|
| AV Treatment | Time of Day | Age | AV Treatment × Time of Day | AV Treatment × Age | Time of Day × Age | Chamber | |
| Feeding | 0.0171 * | 0.1145 | 1.33 × 10−9 *** | 1.10 × 10−5 *** | 0.8334 | 0.4446 | 0.0205 * |
| Drinking | 0.26698 | 4.69 × 10−5 *** | 0.00353 ** | 2.26 × 10−6 *** | 0.65882 | 0.01318 * | 1.03 × 10−5 *** |
| Panting | 0.593863 | 4.46 × 10−13 *** | <2 × 10−16 *** | 0.285085 | 0.068111 | 2.30 × 10−6 *** | 0.000473 *** |
| Standing and Walking | 0.0478 * | 0.1784 | 0.1844 | 0.0380 * | 0.0175 * | 0.6045 | 0.1844 |
| Sitting | 0.01777 * | 0.14526 | 0.00945 ** | 1.38 × 10−7 *** | 0.03087 * | 0.27508 | 0.15007 |
| Wing flapping and leg stretching | 0.00493 ** | 0.2688 | 0.75742 | 0.17656 | 0.01473 * | 0.68147 | 0.37366 |
| df | 1 | 5 | 4 | 20 | 4 | 20 | 4 |
| Behavior | Number of Chickens (Mean ± Std) | ||||||||||||
|---|---|---|---|---|---|---|---|---|---|---|---|---|---|
| AV | Age (Days) | Time of Day * | |||||||||||
| High | Low | 43 | 44 | 49 | 51 | 54 | EM | MN | NN | AN | EN | NT | |
| Feeding | 6.1 ± 3.8 a | 4.9 ± 3.0 b | 8.2 ± 3.5 a | 7.3 ± 4.1 ab | 4.5 ± 3.3 cd | 5.6 ± 3.2 bc | 2.9 ± 2.4 d | 4.8 ± 3.4 a | 6.9 ± 2.6 a | 5.1 ± 3.1 a | 5.9 ± 3.4 a | 5.8 ± 3.6 a | 4.9 ± 3.5 a |
| Drinking | 4.2 ± 2.2 a | 4.6 ± 3.3 a | 5.4 ± 3.9 a | 5.1 ± 2.5 a | 4.0 ± 2.4 ab | 4.6 ± 2.5 ab | 3.5 ± 2.4 b | 3.4 ± 3.5 c | 6.3 ± 3.2 a | 5.3 ± 2.5 ab | 4.5 ± 1.8 abc | 4.0 ± 1.9 bc | 3.7 ± 2.4 c |
| Panting | 4.8 ± 5.5 a | 5.1 ± 5.5 a | 0.7 ± 1.6 c | 0.5 ± 1.1 c | 9.2 ± 4.7 a | 4.3 ± 4.0 b | 9.3 ± 5.7 a | 3.4 ± 4.2 c | 1.1 ± 1.9 d | 5.6 ± 5.5 abc | 6.3 ± 5.7 ab | 7.6 ± 5.9 a | 5.1 ± 5.9 bc |
| Standing and Walking | 5.6 ± 2.9 a | 3.7 ± 2.3 b | 3.3 ± 2.1 a | 1.0 ± 2.4 a | 3.9 ± 2.1 a | 5.1 ± 3.5 a | 4.4 ± 2.8 a | 5.3 ± 3.7 a | 4.5 ± 3.6 a | 3.7 ± 1.8 a | 4.1 ± 2.5 a | 3.5 ± 1.9 a | 4.2 ± 1.8 a |
| Sitting | 22.4 ± 5.9 b | 24.5 ± 7.0 a | 24.8 ± 7.9 ab | 25.9 ± 6.9 a | 20.8 ± 4.5 b | 22.9 ± 5.9 ab | 22.7 ± 6.3 ab | 25.2 ± 11.1 a | 23.5 ± 5.7 a | 23.1 ± 4.6 a | 21.9 ± 4.7 a | 22.1 ± 3.9 a | 24.7 ± 5.4 a |
| Wing Flapping and Leg Stretching | 1.7 ± 1.6 a | 0.9 ± 1.6 b | 1.5 ± 1.9 a | 1.3 ± 1.5 a | 1.5 ± 2.1 a | 1.5 ± 1.3 a | 1.2 ± 1.6 a | 1.9 ± 2.0 a | 1.7 ± 2.4 a | 1.3 ± 1.4 a | 1.3 ± 1.1 a | 87 ± 1.1 a | 1.3 ± 1.3 a |
| AV | Factors | Degrees of Freedom | Type III Sum of Squares | Mean Square | F-Value | p > F |
|---|---|---|---|---|---|---|
| High | Location (inlet/outlet) | 1 | 441.6 | 441.6 | 104.587 | <2 × 10 −0.5 *** |
| Time of Day | 5 | 21 | 4.2 | 0.994 | 0.424 | |
| Age | 4 | 4.5 | 1.1 | 0.267 | 0.899 | |
| Low | Location (inlet/outlet) | 1 | 473.5 | 473.5 | 127.459 | <2 × 10 −0.5 *** |
| Time of Day | 5 | 9.8 | 2 | 0.527 | 0.755 | |
| Age | 4 | 5 | 1.2 | 0.333 | 0.855 |
Publisher’s Note: MDPI stays neutral with regard to jurisdictional claims in published maps and institutional affiliations. |
© 2022 by the authors. Licensee MDPI, Basel, Switzerland. This article is an open access article distributed under the terms and conditions of the Creative Commons Attribution (CC BY) license (https://creativecommons.org/licenses/by/4.0/).
Share and Cite
Akter, S.; Liu, Y.; Cheng, B.; Classen, J.; Oviedo, E.; Harris, D.; Wang-Li, L. Impacts of Air Velocity Treatments under Summer Conditions: Part II—Heavy Broiler’s Behavioral Response. Animals 2022, 12, 1050. https://doi.org/10.3390/ani12091050
Akter S, Liu Y, Cheng B, Classen J, Oviedo E, Harris D, Wang-Li L. Impacts of Air Velocity Treatments under Summer Conditions: Part II—Heavy Broiler’s Behavioral Response. Animals. 2022; 12(9):1050. https://doi.org/10.3390/ani12091050
Chicago/Turabian StyleAkter, Suraiya, Yingying Liu, Bin Cheng, John Classen, Edgar Oviedo, Dan Harris, and Lingjuan Wang-Li. 2022. "Impacts of Air Velocity Treatments under Summer Conditions: Part II—Heavy Broiler’s Behavioral Response" Animals 12, no. 9: 1050. https://doi.org/10.3390/ani12091050
APA StyleAkter, S., Liu, Y., Cheng, B., Classen, J., Oviedo, E., Harris, D., & Wang-Li, L. (2022). Impacts of Air Velocity Treatments under Summer Conditions: Part II—Heavy Broiler’s Behavioral Response. Animals, 12(9), 1050. https://doi.org/10.3390/ani12091050

