Effects of Water Extract from Artemisia argyi Leaves on LPS-Induced Mastitis in Mice
Abstract
Simple Summary
Abstract
1. Introduction
2. Materials and Methods
2.1. Preparation of A. argyi Leaves Extract
2.2. Animals
2.3. Experimental Design
2.4. Histopathologic Evaluation
2.5. Antioxidant Evaluation
2.6. Inflammatory Infiltration Evaluation
2.7. RNA Isolation and RT-qPCR
2.8. Statistical Analysis
3. Results
3.1. Effects of ALE on Histopathological Changes
3.1.1. Morphological Observation of Mammary Gland in Mice
3.1.2. Pathological Observation of the Mammary Gland in Mice
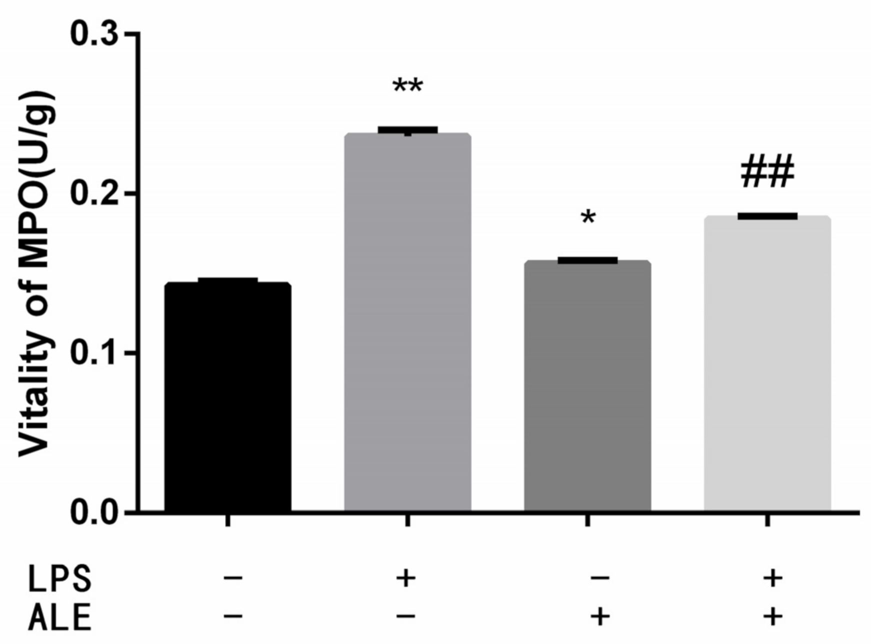
3.1.3. Inflammatory Infiltration of Mammary Tissue
3.2. Serum Oxidative Stress Indexes
3.3. Mammary Tissue Related Genes Expression
4. Discussion
5. Conclusions
Author Contributions
Funding
Institutional Review Board Statement
Data Availability Statement
Conflicts of Interest
References
- Chusri, S.; Tongrod, S.; Saising, J.; Mordmuang, A.; Limsuwan, S.; Sanpinit, S.; Voravuthikunchai, S.P. Antibacterial and anti-biofilm effects of a polyherbal formula and its constituents against coagulase-negative and -positive staphylococci isolated from bovine mastitis. J. Appl. Anim. Res. 2017, 45, 364–372. [Google Scholar] [CrossRef]
- Wenz, J.R.; Barrington, G.M.; Garry, F.B.; Ellis, R.P.; Magnuson, R.J. Escherichia coli isolates’ serotypes, genotypes, and virulence genes and clinical coliform mastitis severity. J. Dairy Sci. 2006, 89, 3408–3412. [Google Scholar] [CrossRef]
- Yang, F.; Liu, L.H.; Li, X.P.; Luo, J.Y.; Zhang, Z.; Yan, Z.T.; Zhang, S.D.; Li, H.S. Short communication: N-Acetylcysteine-mediated modulation of antibiotic susceptibility of bovine mastitis pathogens. J. Dairy Sci. 2016, 99, 4300–4302. [Google Scholar] [CrossRef] [PubMed]
- Elder, D.P.; Kuentz, M.; Holm, R. Antibiotic resistance: The need for a global strategy. J. Pharm. Sci. 2016, 105, 2278–2287. [Google Scholar] [CrossRef] [PubMed]
- Pitout, J.D.D. Extraintestinal pathogenic Escherichia coli: An update on antimicrobial resistance, laboratory diagnosis and treatment. Expert Rev. Anti-Infect. Ther. 2012, 10, 1165–1176. [Google Scholar] [CrossRef] [PubMed]
- Crispie, F.; Alonso-Gomez, M.; O’Loughlin, C.; Klostermann, K.; Flynn, J.; Arkins, S.; Meaney, W.; Ross, R.P.; Hill, C. Intramammary infusion of a live culture for treatment of bovine mastitis: Effect of live lactococci on the mammary immune response. J. Dairy Res. 2008, 75, 374–384. [Google Scholar] [CrossRef] [PubMed]
- Lu, Y.Y.; Yan, H.; Li, X.; Gu, Y.X.; Wang, X.; Yi, Y.L.; Shan, Y.Y.; Liu, B.F.; Zhou, Y.; Lu, X. Physicochemical properties and mode of action of a novel bacteriocin BM1122 with broad antibacterial spectrum produced by Lactobacillus crustorum MN047. J. Food Sci. 2020, 85, 1523–1535. [Google Scholar] [CrossRef]
- Kwiatek, M.; Parasion, S.; Mizak, L.; Gryko, R.; Bartoszcze, M.; Kocik, J. Characterization of a bacteriophage, isolated from a cow with mastitis, that is lytic against Staphylococcus aureus strains. Arch. Virol. 2012, 157, 225–234. [Google Scholar] [CrossRef]
- Yang, S.; Zhang, J.; Jiang, Y.; Xu, Y.Q.; Jin, X.; Yan, S.M.; Shi, B.L. Effects of Artemisia argyi flavonoids on growth performance and immune function in broilers challenged with lipopolysaccharide. Anim. Biosci. 2021, 34, 1169–1180. [Google Scholar] [CrossRef]
- Huang, H.C.; Wang, H.F.; Yih, K.H.; Chang, L.Z.; Chang, T.M. Dual bioactivities of essential oil extracted from the leaves of Artemisia argyi as an antimelanogenic versus antioxidant agent and chemical composition analysis by GC/MS. Int. J. Mol. Sci. 2012, 13, 14679–14697. [Google Scholar] [CrossRef]
- Xiang, F.; Bai, J.H.; Tan, X.B.; Chen, T.; Yang, W.; He, F. Antimicrobial activities and mechanism of the essential oil from Artemisia argyi Levl. et Van. var. argyi cv. Qiai. Ind. Crop. Prod. 2018, 125, 582–587. [Google Scholar] [CrossRef]
- Zhang, P.; Shi, B.; Li, T.; Xu, Y.; Jin, X.; Guo, X.; Yan, S. Immunomodulatory effect of Artemisia argyi polysaccharide on peripheral blood leucocyte of broiler chickens. J. Anim. Physiol. Anim. Nutr. 2018, 102, 939–946. [Google Scholar] [CrossRef] [PubMed]
- Palsson-McDermott, E.M.; O’Neill, L.A.J. Signal transduction by the lipopolysaccharide receptor, Toll-like receptor-4. Immunology 2004, 113, 153–162. [Google Scholar] [CrossRef] [PubMed]
- Schmitz, S.; Pfaffl, M.W.; Meyer, H.H.D.; Bruckmaier, R.M. Short-term changes of mRNA expression of various inflammatory factors and milk proteins in mammary tissue during LPS-induced mastitis. Domest. Anim. Endocrin. 2004, 26, 111–126. [Google Scholar] [CrossRef] [PubMed]
- Jiang, J.; Yin, L.; Li, J.Y.; Li, Q.; Shi, D.; Feng, L.; Liu, Y.; Jiang, W.D.; Wu, P.; Zhao, Y.; et al. Glutamate attenuates lipopolysaccharide-induced oxidative damage and mRNA expression changes of tight junction and defensin proteins, inflammatory and apoptosis response signaling molecules in the intestine of fish. Fish Shellfish Immunol. 2017, 70, 473–484. [Google Scholar] [CrossRef] [PubMed]
- Yin, Y.W.; Zhang, P.J.; Yue, X.Y.; Du, X.Y.; Li, W.; Yin, Y.L.; Yi, C.; Li, Y.H. Effect of sub-chronic exposure to lead (Pb) and Bacillus subtilis on Carassius auratus gibelio: Bioaccumulation, antioxidant responses and immune responses. Ecotoxicol. Environ. Safe 2018, 161, 755–762. [Google Scholar] [CrossRef] [PubMed]
- Nogueira, L.; Rodrigues, A.C.F.; Tridico, C.P.; Fossa, C.E.; de Almeida, E.A. Oxidative stress in Nile tilapia (Oreochromis niloticus) and armored catfish (Pterygoplichthys anisitsi) exposed to diesel oil. Environ. Monit. Assess. 2011, 180, 243–255. [Google Scholar] [CrossRef]
- Ding, H.; Ci, X.X.; Cheng, H.; Yu, Q.L.; Li, D. Chicoric acid alleviates lipopolysaccharide-induced acute lung injury in mice through anti-inflammatory and anti-oxidant activities. Int. Immunopharmacol. 2019, 66, 169–176. [Google Scholar] [CrossRef]
- Ma, Q.B.; Gong, X.X.; Wei, Y.H.; Zhan, K.; Zhao, G.Q. Artemisia argyi leaves extract inhibits bovine mammary epithelial cells against LPS-induced inflammation via suppressing NF-κB and MAPK pathway. Vet. Med. Sci. 2022; under review. [Google Scholar]
- Xu, D.W.; Liu, J.X.; Ma, H.; Guo, W.J.; Wang, J.X.; Kan, X.C.; Li, Y.W.; Gong, Q.; Cao, Y.; Cheng, J.; et al. Schisandrin A protects against lipopolysaccharide-induced mastitis through activating Nrf2 signaling pathway and inducing autophagy. Int. Immunopharmacol. 2020, 78, 105983. [Google Scholar] [CrossRef]
- Ge, B.J.; Zhao, P.; Li, H.T.; Sang, R.; Wang, M.; Zhou, H.Y.; Zhang, X.M. Taraxacum mongolicum protects against Staphylococcus aureus-infected mastitis by exerting anti-inflammatory role via TLR2-NF-kappa B/MAPKs pathways in mice. J. Ethnopharmacol. 2021, 268, 113595. [Google Scholar] [CrossRef] [PubMed]
- Menzies, F.D.; Bryson, D.G.; Mccallion, T. A study of mortality among suckler and dairy cows in Northern Ireland in 1992. Vet. Rec. 1995, 137, 531–536. [Google Scholar] [CrossRef] [PubMed]
- Burvenich, C.; Van Merris, V.; Mehrzad, J.; Diez-Fraile, A.; Duchateau, L. Severity of E. coli mastitis is mainly determined by cow factors. Vet. Res. 2003, 34, 521–564. [Google Scholar] [CrossRef] [PubMed]
- Notebaert, S.; Meyer, E. Mouse models to study the pathogenesis and control of bovine mastitis. A review. Vet. Q. 2006, 28, 2–13. [Google Scholar] [CrossRef]
- Mehrzad, J.; Duchateau, L.; Burvenich, C. Viability of milk neutrophils and severity of bovine coliform mastitis. J. Dairy Sci. 2004, 87, 4150–4162. [Google Scholar] [CrossRef]
- Prin-Mathieu, C.; Le Roux, Y.; Faure, G.C.; Laurent, F.; Bene, M.C.; Moussaoui, F. Enzymatic activities of bovine peripheral blood leukocytes and milk polymorphonuclear neutrophils during intramammary inflammation caused by lipopolysaccharide. Clin. Diagn. Lab. Immun. 2002, 9, 812–817. [Google Scholar] [CrossRef][Green Version]
- Gao, X.J.; Guo, M.Y.; Zhang, Z.C.; Wang, T.C.; Cao, Y.G.; Zhang, N.S. Bergenin plays an anti-inflammatory role via the modulation of MAPK and NF-kappa B signaling pathways in a mouse model of lps-induced mastitis. Inflammation 2015, 38, 1142–1150. [Google Scholar] [CrossRef]
- Yang, Z.T.; Yin, R.L.; Cong, Y.F.; Yang, Z.Q.; Zhou, E.R.S.; Wei, Z.K.; Liu, Z.C.; Cao, Y.G.; Zhang, N.S. Oxymatrine lightened the inflammatory response of LPS-induced mastitis in mice through affecting NF-kappa B and MAPKs signaling pathways. Inflammation 2014, 37, 2047–2055. [Google Scholar] [CrossRef]
- He, X.X.; Wei, Z.K.; Zhou, E.S.; Chen, L.B.; Kou, J.H.; Wang, J.J.; Yang, Z.T. Baicalein attenuates inflammatory responses by suppressing TLR4 mediated NF-kappa B and MAPK signaling pathways in LPS-induced mastitis in mice. Int. Immunopharmacol. 2015, 28, 470–476. [Google Scholar] [CrossRef]
- Song, X.J.; Wang, T.C.; Zhang, Z.C.; Jiang, H.C.; Wang, W.; Cao, Y.G.; Zhang, N.S. Leonurine exerts anti-inflammatory effect by regulating inflammatory signaling pathways and cytokines in LPS-induced mouse mastitis. Inflammation 2015, 38, 79–88. [Google Scholar] [CrossRef]
- Wang, D.H.; Xu, N.N.; Zhang, Z.B.; Yang, S.J.; Qiu, C.W.; Li, C.Y.; Deng, G.Z.; Guo, M.Y. Sophocarpine displays anti-inflammatory effect via inhibiting TLR4 and TLR4 downstream pathways on LPS-induced mastitis in the mammary gland of mice. Int. Immunopharmacol. 2016, 35, 111–118. [Google Scholar] [CrossRef] [PubMed]
- Krawisz, J.E.; Sharon, P.; Stenson, W.F. Quantitative assay for acute intestinal inflammation based on myeloperoxidase activity. Assessment of inflammation in rat and hamster models. Gastroenterology 1984, 87, 1344–1350. [Google Scholar] [CrossRef]
- Sheikhzadeh, N.; Tayefi-Nasrabadi, H.; Oushani, A.K.; Enferadi, M.H.N. Effects of Haematococcus pluvialis supplementation on antioxidant system and metabolism in rainbow trout (Oncorhynchus mykiss). Fish Physiol. Biochem. 2012, 38, 413–419. [Google Scholar] [CrossRef] [PubMed]
- Slimen, I.B.; Najar, T.; Ghram, A.; Dabbebi, H.; Ben Mrad, M.; Abdrabbah, M. Reactive oxygen species, heat stress and oxidative-induced mitochondrial damage. A review. Int. J. Hyperth. 2014, 30, 513–523. [Google Scholar] [CrossRef]
- Zhong, W.H.; Qian, K.J.; Xiong, J.B.; Ma, K.; Wang, A.Z.; Zou, Y. Curcumin alleviates lipopolysaccharide induced sepsis and liver failure by suppression of oxidative stress-related inflammation via PI3K/AKT and NF-kappa B related signaling. Biomed. Pharmacother. 2016, 83, 302–313. [Google Scholar] [CrossRef]
- Papurica, M.; Rogobete, A.F.; Sandesc, D.; Cradigati, C.A.; Sarandan, M.; Crisan, D.C.; Horhat, F.G.; Boruga, O.; Dumache, R.; Nilima, K.R.; et al. The expression of nuclear transcription factor kappa B (NF-kappa B) in the case of critically Ill polytrauma patients with sepsis and its interactions with microRNAs. Biochem. Genet. 2016, 54, 337–347. [Google Scholar] [CrossRef]
- Hamidzadeh, K.; Mosser, D.M. Purinergic signaling to terminate TLR responses in macrophages. Front. Immunol. 2016, 7, 74. [Google Scholar] [CrossRef]
- Akira, S.; Takeda, K. Toll-like receptor signalling. Nat. Rev. Immunol. 2004, 4, 499–511. [Google Scholar] [CrossRef]
- Roh, E.; Lee, H.S.; Kwak, J.A.; Hong, J.T.; Nam, S.Y.; Jung, S.H.; Lee, J.Y.; Kim, N.D.; Han, S.B.; Kim, Y. MD-2 as the target of nonlipid chalcone in the inhibition of endotoxin LPS-induced TLR4 Activity. J. Infect. Dis. 2011, 203, 1012–1020. [Google Scholar] [CrossRef]






| Times | Groups | |||
|---|---|---|---|---|
| CK | LPS | ALE | LPS + ALE | |
| 0 h | PBS | 0.2 mg/mL LPS | PBS | 0.2 mg/mL LPS |
| 12 h | PBS | 0.2 mg/mL LPS | 10 mg/mL ALE | 10 mg/mL ALE with 0.2 mg/mL LPS |
| Gene | Primer Sequence 1, 5′-3′ | Accession No. | Size |
|---|---|---|---|
| GAPDH | F: TCTCCTGCGACTTCAACA | NM_001289726.1 | 117 |
| R: TGTAGCCGTATTCATTGTCA | |||
| IL6 | F: TCCATCCAGTTGCCTTCT | NM_001314054.1 | 137 |
| R: TAAGCCTCCGACTTGTGA | |||
| TLR2 | F: TGGAGGTGTTGGATGTTAG | NM_011905.3 | 253 |
| R: GATAGGAGTTCGCAGGAG | |||
| TLR4 | F: TTCACCTCTGCCTTCACT | NM_021297.3 | 224 |
| R: GGACTTCTCAACCTTCTCAA | |||
| TNFα | F: GTGGAACTGGCAGAAGAG | NM_013693.3 | 278 |
| R: GCTACAGGCTTGTCACTC | |||
| iNOS | F: CAGGAGATGTTGAACTATGTC | NM_010927.4 | 272 |
| R: TTGGTGTTGAAGGCGTAG | |||
| IL1β | F: CTTCAGGCAGGCAGTATC | XM_006498795.5 | 166 |
| R: CAGCAGGTTATCATCATCATC | |||
| MyD88 | F: CCGTGAGGATATACTGAAGG | NM_010851.3 | 279 |
| R: TTAAGCCGATAGTCTGTCTG | |||
| IκB | F: CCTCAGATACCTACCTCACT | NM_010908.5 | 125 |
| R: TAGCCTCCAGTCTTCATCA |
Publisher’s Note: MDPI stays neutral with regard to jurisdictional claims in published maps and institutional affiliations. |
© 2022 by the authors. Licensee MDPI, Basel, Switzerland. This article is an open access article distributed under the terms and conditions of the Creative Commons Attribution (CC BY) license (https://creativecommons.org/licenses/by/4.0/).
Share and Cite
Ma, Q.; Wei, Y.; Meng, Z.; Chen, Y.; Zhao, G. Effects of Water Extract from Artemisia argyi Leaves on LPS-Induced Mastitis in Mice. Animals 2022, 12, 907. https://doi.org/10.3390/ani12070907
Ma Q, Wei Y, Meng Z, Chen Y, Zhao G. Effects of Water Extract from Artemisia argyi Leaves on LPS-Induced Mastitis in Mice. Animals. 2022; 12(7):907. https://doi.org/10.3390/ani12070907
Chicago/Turabian StyleMa, Qianbo, Yuanhao Wei, Zitong Meng, Yuhua Chen, and Guoqi Zhao. 2022. "Effects of Water Extract from Artemisia argyi Leaves on LPS-Induced Mastitis in Mice" Animals 12, no. 7: 907. https://doi.org/10.3390/ani12070907
APA StyleMa, Q., Wei, Y., Meng, Z., Chen, Y., & Zhao, G. (2022). Effects of Water Extract from Artemisia argyi Leaves on LPS-Induced Mastitis in Mice. Animals, 12(7), 907. https://doi.org/10.3390/ani12070907

