Influence of Dietary Inclusion of Exhausted Bergamot By-Product in Pigs on Animal Performance, Fatty Acid Profile and Oxidative Stability of Meat and Meat Products
Abstract
:Simple Summary
Abstract
1. Introduction
2. Materials and Methods
2.1. Dried Bergamot Pulp
2.2. Experimental Design
2.3. Slaughter Procedure and Sampling
2.4. Feedstuff Analysis and Meat Proximate Analysis
2.5. Fatty Acid Analysis and Antioxidant Vitamins Analysis in Meat and Meat Products
2.6. Lipid Oxidation and Color Measurements
2.7. Statistical Analysis
3. Results
3.1. Animal Performance and Chemical Composition of Meat and Salami
3.2. Fatty Acid Composition of Intramuscular Fat and Antioxidant Vitamins
3.3. Fatty Acid Composition of Back Fat
3.4. Fatty Acid Composition of Salami and Antioxidant Vitamins
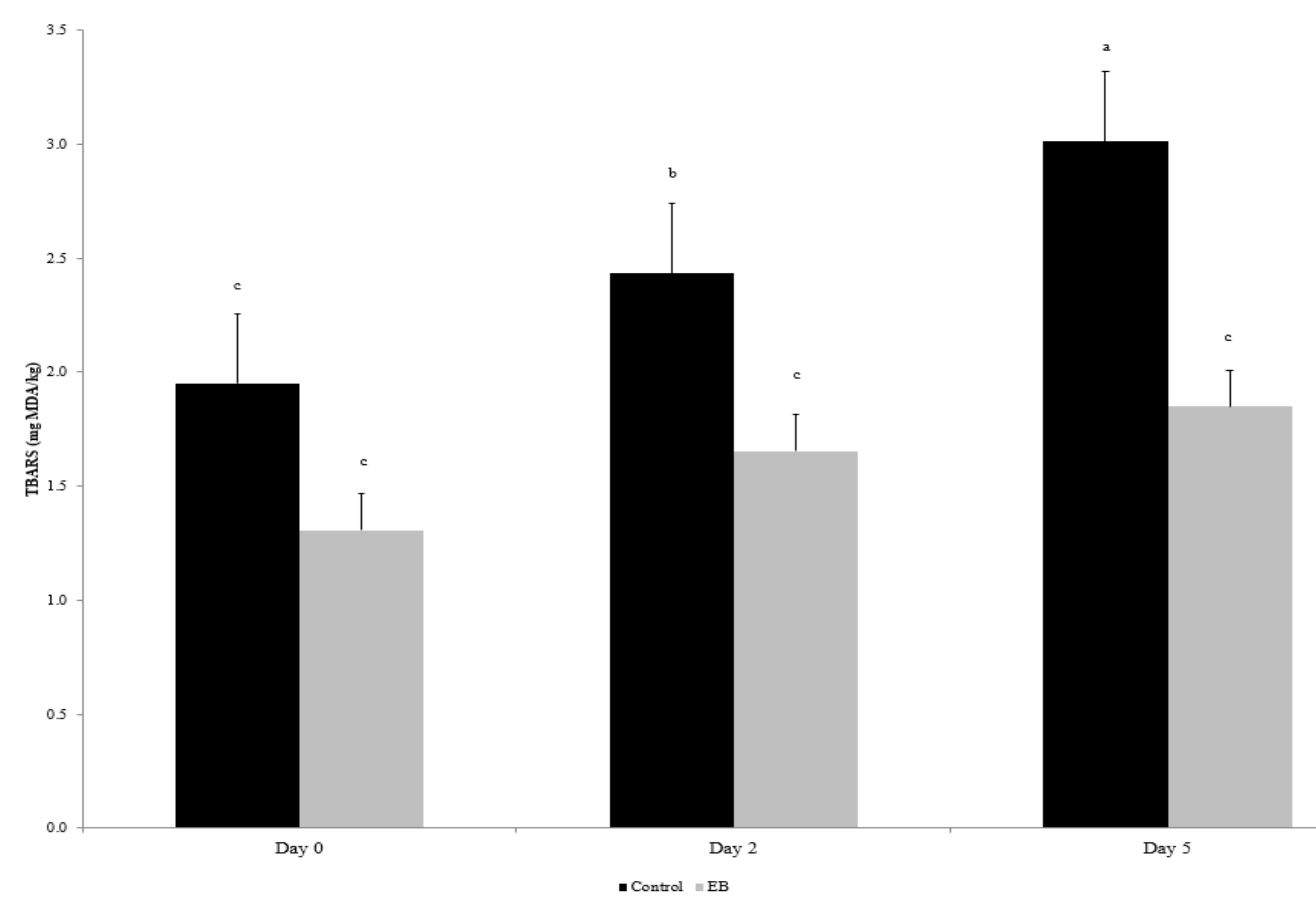
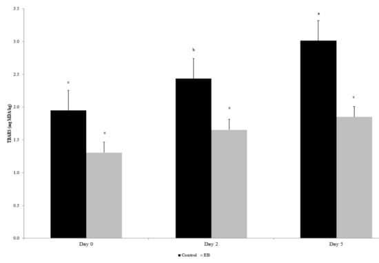
3.5. Meat and Salami Oxidative Stability and Meat Color
4. Discussion
4.1. Growth Performance
4.2. Fatty Acid Composition
4.3. Oxidative Stability
5. Conclusions
Author Contributions
Funding
Institutional Review Board Statement
Informed Consent Statement
Data Availability Statement
Acknowledgments
Conflicts of Interest
References
- Vasta, V.; Nudda, A.; Cannas, A.; Lanza, M.; Priolo, A. Alternative feed resources and their effects on the quality of meat and milk from small ruminants. Anim. Feed Sci. Technol. 2008, 147, 223–246. [Google Scholar] [CrossRef]
- Bampidis, V.A.; Robinson, P.H. Cytrus by-products as ruminant feeds: A review. Anim. Feed Sci. Technol. 2006, 128, 175–217. [Google Scholar] [CrossRef]
- Cunha, T.J.; Pearson, A.M.; Glasscock, R.S.; Buschman, D.M.; Folks, S.J. Preliminary Observations on the Feeding Value of Citrus and Cane Molasses for Swine; Circular S-10; University of Florida Agricultural Experiment Station: Gainesville, FL, USA, 1950. [Google Scholar]
- Watanabe, P.H.; Thomaz, M.C.; Santos, U.R.; Santos, V.M.; Fraga, A.L.; Pascoal, L.A.F.; Silva, S.Z.; Faria, H.G. Effect of inclusion of citrus pulp in the diet of finishing swines. Braz. Arch. Biol. Technol. 2010, 53, 709–718. [Google Scholar] [CrossRef] [Green Version]
- Postorino, E.; Finotti, E.; Castaldo, D.; Pirrello, A. La composizione chimica del “Pastazzo” di Bergamotto. Essenze Deriv. Agrum. 2002, 72, 15–19. [Google Scholar]
- Di Donna, L.; De Luca, G.; Mazzotti, F.; Napoli, A.; Salerno, R.; Taverna, D.; Sindona, G. Statin-like principles of bergamot fruit (Citrus bergamia): Isolation of 3-hydroxymethylglutaryl flavonoid glycosides. J. Nat. Prod. 2009, 72, 1352–1354. [Google Scholar] [CrossRef] [PubMed]
- Benavente–Garcìa, O.; Castillo, J.; Marin, F.R.; Ortuño, A.; Del Rìo, J.A. Uses and properties of citrus flavonoids. J. Agric. Food Chem. 1997, 45, 4505–4515. [Google Scholar] [CrossRef]
- Delle Monache, S.; Sanità, P.; Trapasso, E.; Ursino, M.R.; Dugo, P.; Russo, M.; Ferlazzo, N.; Calapai, G.; Angelucci, A.; Navarra, M. Mechanism underlying the anti-tumoral effects of Citrus bergamia Juice. PLoS ONE 2013, 8, e61484. [Google Scholar] [CrossRef] [Green Version]
- Navarra, M.; Ursino, M.R.; Ferlazzo, N.; Russo, M.; Schumacher, U.; Valentiner, U. Effect of Citrus bergamia juice on human neuroblastoma cells in vitro and in metastatic xenograft models. Fitoterapia 2014, 95, 83–92. [Google Scholar] [CrossRef] [Green Version]
- Filocamo, A.; Bisignano, C.; Ferlazzo, N.; Cirmi, S.; Mandalari, G.; Navarra, M. In vitro effect of bergamot (Citrus bergamia) juice against cagA—positive and—negative clinical isolates of Helicobacter pylori. BMC Complement. Altern. Med. 2015, 15, 256. [Google Scholar] [CrossRef] [Green Version]
- Kaur, J.; Kaur, G. An insight into yìthe role of citrus bioactives in modulation of colon cancer. J. Fuct. Food. 2015, 13, 239–261. [Google Scholar] [CrossRef]
- Lanza, M.; Bella, M. Utilizzo degli scarti dell’industria agrumaria in alimentazione animale e qualità della carne. Mangimi Aliment. 2015, VII, 28–31. [Google Scholar]
- Scerra, M.; Foti, F.; Caparra, P.; Cilione, C.; Rao, R.; Priolo, A.; Natalello, A.; Luciano, G.; Chies, L. Effect of feeding pigs with bergamot by-product on fatty acid composition and oxidative stability of meat and salami. Meat Sci. 2022, 183, 108662. [Google Scholar] [CrossRef] [PubMed]
- AOAC—Association of Official Analytical Chemists. Official Methods of Analysis, 16th ed.; AOAC: Washington, DC, USA, 1995. [Google Scholar]
- Van Soest, P.J.; Robertson, J.B.; Lewis, B.A. Methods for dietary fiber, neutral detergent fiber, and nonstarch polysaccharides in relation to animal nutrition. J. Dairy Sci. 1991, 74, 3583–3597. [Google Scholar] [CrossRef]
- Makkar, H.P.S.; Blümmel, M.; Borowy, N.K.; Becker, K. Gravimetric determination of tannins and their correlations with chemical and protein precipitation methods. J. Sci. Food Agric. 1993, 61, 161–165. [Google Scholar] [CrossRef]
- Gray, I.K.; Rumsby, M.G.; Hawke, J.C. The variations in linolenic acid and galactolipid levels in Graminaceae species with age of tissue and light environment. Phytochemistry 1967, 6, 107–113. [Google Scholar] [CrossRef]
- Rufino-Moya, P.J.; Joy, M.; Lobón, S.; Bertolín, J.R.; Blanco, M. Carotenoids and liposoluble vitamins in the plasma and tissues of light lambs given different maternal feedings and fattening concentrates. Animals 2020, 10, 1813. [Google Scholar] [CrossRef]
- Folch, J.; Lees, M.; Stanley, G.H.S. A simple method for the isolation and purification of total lipides from animal tissue. J. Biol. Chem. 1957, 226, 497–509. [Google Scholar] [CrossRef]
- IUPAC—International Union of Pure and Applied Chemistry. Standard Methods for the Analysis of Oils, Fats and Derivatives; Pergamon Press: Oxford, UK, 1987. [Google Scholar]
- Ulbricht, T.L.V.; Southgate, D.A.T. Coronary heart disease: Seven dietary factors. Lancet 1991, 338, 985–992. [Google Scholar] [CrossRef]
- Natalello, A.; Khelil-Arfa, H.; Luciano, G.; Zoon, M.; Menci, R.; Scerra, M.; Blanchard, A.; Mangano, F.; Biondi, L.; Priolo, A. Effect of different levels of organic zinc supplementation on pork quality. Meat Sci. 2022, 186, 108731. [Google Scholar] [CrossRef]
- Luciano, G.; Biondi, L.; Scerra, M.; Serra, A.; Mele, M.; Lanza, M.; Priolo, A. The effect of the change from a herbage- to a concentrate-based diet on the oxidative stability of raw and cooked lamb meat. Meat Sci. 2013, 95, 212–218. [Google Scholar] [CrossRef] [PubMed]
- Siu, G.M.; Draper, H.H. A survey of the malonaldehyde content of retail meats and fish. J. Food Sci. 1978, 43, 1147–1149. [Google Scholar] [CrossRef]
- Ali, B.M.; Van Zanten, H.H.E.; Berentsen, P.; Bastiaansen, J.W.M.; Bikker, P.; Lansink, A.O. Environmental and economic impacts of using co-products in the diets of finishing pigs. Brazil. J. Clean. Prod. 2017, 132, 247–259. [Google Scholar] [CrossRef]
- Kyriazakis, I.; Emmans, G.C. The voluntary feed intake of pigs given feeds based on wheat bran, dried citrus pulp and grass meal, in relation to measurements of feed bulk. Br. J. Nutr. 1995, 73, 191–207. [Google Scholar] [CrossRef] [PubMed] [Green Version]
- Cerisuelo, A.; Castelló, L.; Moset, V.; Martínez, M.; Hernández, P.; Piquer, O.; Gómez, E.; Gasa, J.; Lainez, M. The inclusion of ensiled citrus pulp in diets for growing pigs: Effects on voluntary intake, growth performance, gut microbiology and meat quality. Livest. Sci. 2010, 134, 180–182. [Google Scholar] [CrossRef]
- Franci, O.; Pugliese, C. Italian autochthonous pigs: Progress report and research perspectives. Ital. J. Anim. Sci. 2007, 6, 663–671. [Google Scholar] [CrossRef]
- Aboagye, G.; Zappaterra, M.; Pasini, F.; Dall’Olio, S.; Davoli, R.; Costa, L.N. Fatty acid composition of the intramuscular fat in the longissimus thoracis muscle of Apulo-Calabrese and crossbreed pigs. Livest. Sci. 2020, 232, 103878. [Google Scholar] [CrossRef]
- Wood, J.D.; Enser, M. Factors influencing fatty acids in meat and the role of antioxidants in improving meat quality. Br. J. Nutr. 1997, 78 (Suppl. S1), S49–S60. [Google Scholar] [CrossRef] [Green Version]
- Pereira, P.M.; Vicente, A.F. Meat nutritional composition and nutritive role in the human diet. Meat Sci. 2013, 93, 586–592. [Google Scholar] [CrossRef] [Green Version]
- Wood, J.D.; Richardson, R.I.; Nute, G.R.; Fisher, A.V.; Campo, M.M.; Kasapidou, E.; Sheard, P.R.; Enser, M. Effects of fatty acids on meat quality: A review. Meat Sci. 2003, 66, 21–32. [Google Scholar] [CrossRef]
- WHO—World Health Organization. Diet, Nutrition and the Prevention of Chronic Diseases; Report of a Joint WHO/FAO Expert Consultation; WHO Technical Report Series No. 916; WHO: Geneva, Switzerland, 2003. [Google Scholar]
- Dyall, S.C. Long-chain omega-3 fatty acids and the brain: A review of the in-dependent and shared effects of EPA, DPA and DHA. Front. Aging Neurosci. 2015, 7, 52. [Google Scholar] [CrossRef] [Green Version]
- Akiba, S.; Murata, T.; Kitatani, K.; Sato, T. Involvement of lipoxygenase pathway in docosapentaenoic acid-induced inhibition of platelet aggregation. Biol. Pharm. B. 2000, 23, 1293–1297. [Google Scholar] [CrossRef] [PubMed] [Green Version]
- Morin, C.; Rousseau, E.; Fortin, S. Anti-proliferative effects of a new doc-osapentaenoic acid monoacylglyceride in colorectal carcinoma cells. Prostaglandins Leukot. Essent. Fatty Acids 2013, 89, 203–213. [Google Scholar] [CrossRef] [PubMed]
- Morin, C.; Hiram, R.; Rousseau, E.; Blier, P.U.; Fortin, S. Docosapentaenoic acid monoacylglyceride reduces inflammation and vascular remodeling in experimental pulmonary hypertension. Am. J. Physiol.-Heart Circ. Physiol. 2014, 307, 574–586. [Google Scholar] [CrossRef] [PubMed] [Green Version]
- Morin, C.; Blier, P.U.; Fortin, S. Eicosapentaenoic acid and docosapentaenoic acid monoglycerides are more potent than docosahexaenoic acid monoglyceride to resolve inflammation in a rheumatoid arthritis model. Arthritis Res. Ther. 2015, 17, 142. [Google Scholar] [CrossRef] [Green Version]
- Tsuji, M.; Murota, S.I.; Morita, I. Docosapentaenoic acid (22:5, n-3) suppressed tube-forming activity in endothelial cells induced by vascular endothelial growth factor. Prostaglandins Leukot. Essent. Fatty Acids 2003, 68, 337–342. [Google Scholar] [CrossRef]
- Wood, J.D.; Enser, M.; Fisher, A.V.; Nute, G.R.; Sheard, P.R.; Richardson, R.I.; Wittington, F.M. Fat deposition, fatty acid composition and meat quality: A review. Meat Sci. 2008, 78, 343–358. [Google Scholar] [CrossRef]
- Byrne, D.V. Sensory Characterisation Studies on Warmed-Over Flavor in Meat. Ph.D. Thesis, The Royal Veterinary and Agricultural University, Copenhagen, Denmark, 2000. [Google Scholar]
- Luciano, G.; Roscini, V.; Mattioli, S.; Ruggeri, S.; Gravador, R.S.; Natalello, A.; Lanza, M.; De Angelis, A.; Priolo, A. Vitamin E is the major contributor to the antioxidant capacity in lambs fed whole dried citrus pulp. Animal 2017, 11, 411–417. [Google Scholar] [CrossRef]
- Halliwell, B.; Gutteridge, J.M.C. Free Radicals in Biology & Medicine; Oxford University Press: Oxford, UK, 2015. [Google Scholar]
- Rosa, A.; Atzeri, A.; Deiana, M.; Melis, M.P.; Incani, A.; Loru, D.; Cabboi, B.; Dessì, M.A. Bottarga di muggine come fonte di acidi grassi n-3: Stabilità ossidativa e modulazione del profilo lipidico in cellule epiteliali intestinali Caco-2. Prog. Nutr. 2012, 14, 186–193. [Google Scholar]
- Decker, E.A.; Alamed, J.; Castro, I. Interaction between polar components and the degree of unsaturation of fatty acids on the oxidative stability of emulsions. J. Am. Oil Chem. Soc. 2010, 87, 771–780. [Google Scholar] [CrossRef]
- Russo, M.; Arigò, A.; Calabrò, M.L.; Farnetti, S.; Mondello, L.; Dugo, P. Bergamot (Citrus bergamia Risso) as a source of nutraceuticals: Limonoids and flavonoids. J. Funct. Food. 2016, 20, 10–19. [Google Scholar] [CrossRef]
- Scerra, M.; Foti, F.; Caparra, P.; Cilione, C.; Violi, L.; Fiammingo, G.; D’Aguì, G.; Chies, L. Effect of feeding fresh bergamot (Citrus Bergamia Risso) pulp at up to 35% of dietary dry matter on growth performance and meat quality from lambs. Small Rumin. Res. 2018, 169, 161–168. [Google Scholar] [CrossRef]
- Luciano, G.; Vasta, V.; Monahan, F.J.; López-Andrés, P.; Biondi, L.; Lanza, M.; Priolo, A. Antioxidant status, colour stability and myoglobin resistance to oxidation of longissimus dorsi muscle from lambs fed a tannin-containing diet. Food Chem. 2011, 124, 1036–1042. [Google Scholar] [CrossRef]
- Greene, B.E. Lipid oxidation and pigment changes in raw beef. J. Food Sci. 1969, 34, 110–113. [Google Scholar] [CrossRef]
- Priolo, A.; Waghorn, G.C.; Lanza, M.; Biondi, L.; Pennisi, P. Polyethylene glycol as a means for reducing the impact of condensed tannins in carob pulp: Effects on lamb growth performance and meat quality. J. Anim. Sci. 2000, 78, 810–816. [Google Scholar] [CrossRef] [PubMed]
- Inserra, L.; Luciano, G.; Bella, M.; Scerra, M.; Cilione, C.; Basile, P.; Lanza, M.; Priolo, A. Effect of including carob pulp in the diet of fattening pigs on the fatty acid composition and oxidative stability of pork. Meat Sci. 2015, 100, 256–261. [Google Scholar] [CrossRef]
- Crosswhite, J.D.; Myers, N.B.; Adesogan, A.T.; Brendemuhl, J.H.; Johnson, D.D.; Carr, C.C. The effect of dietary citrus pulp on the growth, feed efficiency, carcass merit, and lean quality of finishing pigs. Prof. Anim. Sci. 2013, 29, 345–358. [Google Scholar] [CrossRef]
- Luciano, G.; Natalello, A.; Mattioli, S.; Pauselli, M.; Sebastiani, B.; Niderkorn, V.; Valenti, B. Feeding lambs with silage mixtures of grass, sainfoin and red clover improves meat oxidative stability under high oxidative challenge. Meat Sci. 2019, 156, 59–67. [Google Scholar] [CrossRef]
- Tsikas, D. Assessment of lipid peroxidation by measuring malondialdehyde (MDA) and relatives in biological samples: Analytical and biological challenges. Anal. Biochem. 2017, 524, 13–30. [Google Scholar] [CrossRef]
- Spaziani, M.; Del Torre, M.; Stecchini, M.L. Quality parameters and shelf life of game meat during frozen storage. Ital. J. Food Saf. 2011, 1, 181–184. [Google Scholar] [CrossRef]
- Goliomytis, M.; Kartsonas, N.; Charismiadou, M.A.; Symeon, G.K.; Simitzis, P.E.; Deligeorgis, S.G. The influence of naringin or hesperidin dietary supplementation on broiler meat quality and oxidative stability. PLoS ONE 2015, 10, e0141652. [Google Scholar] [CrossRef] [Green Version]

| Concentrate Diet | EB Diet | Exhausted Bergamot Pulp | |
|---|---|---|---|
| Dry matter (DM) g/kg wet weight | 881 | 892 | 937 |
| Crude protein g/kg DM | 132 | 131 | 133 |
| Ether extract g/kg DM | 31.6 | 31.3 | 30.4 |
| Ash g/kg DM | 40.2 | 40.9 | 50.9 |
| NDF g/kg DM | 439 | 437 | 508 |
| Total phenolic compounds (g Tae 1/kg DM) | 1.53 | 2.30 | 6.39 |
| Tocopherols, μg/g dry matter | |||
| α-Tocopherol | 2.54 | 13.71 | 76.9 |
| γ-Tocopherol | 5.31 | 5.09 | 3.82 |
| Fatty acids (g/100 g of total fatty acid) | |||
| C14:0 | 0.12 | 0.37 | 1.81 |
| C16:0 | 14.4 | 16.3 | 27.1 |
| C16:1 n-7 | 0.15 | 0.49 | 2.38 |
| C18:0 | 2.49 | 2.54 | 2.51 |
| C18:1 n-9 | 31.5 | 27.6 | 7.67 |
| C18:2 n-6 | 44.5 | 42.7 | 34.9 |
| C18:3 n-3 | 2.11 | 4.33 | 16.9 |
| C20:0 | 0.11 | 0.13 | 0.16 |
| Dietary Treatments 1 | SEM 7 | p-Value | ||
|---|---|---|---|---|
| Control | EB | |||
| Final BW 2, kg | 151 | 153 | 2.356 | 0.243 |
| Carcass weight, kg | 127 | 123 | 5.132 | 0.679 |
| Total DMI 3, g/d | 3.46 | 3.53 | 0.147 | 0.321 |
| ADG 4, g/d | 465 | 481 | 8.001 | 0.472 |
| FCR 5, g DMI 3/g ADG 4 | 7.44 | 7.33 | 0.229 | 0.191 |
| Total FA 6 intake, g/d | 41.3 | 53.8 | 2.331 | 0.004 |
| C18:0 intake, g/d | 1.03 | 1.34 | 0.119 | 0.073 |
| C18:2 n-6 intake, g/d | 18.4 | 22.1 | 0.341 | 0.098 |
| C18:3 n-3 intake, g/d | 0.87 | 3.88 | 0.117 | 0.001 |
| Dietary Treatments 1 | SEM 2 | p-Value | ||
|---|---|---|---|---|
| Control | EB | |||
| Chemical composition of LTL muscle | ||||
| Moisture | 71.6 | 72.4 | 0.312 | 0.439 |
| Crude protein | 21.7 | 21.2 | 0.231 | 0.192 |
| Ether extract | 2.86 | 2.91 | 0.254 | 0.793 |
| Ash | 1.21 | 1.18 | 0.053 | 0.321 |
| Chemical composition of salami | ||||
| Dry matter | 71.5 | 72.9 | 0.623 | 0.187 |
| Crude protein | 29.1 | 28.8 | 0.421 | 0.395 |
| Ether extract | 17.2 | 16.1 | 0.874 | 0.481 |
| Ash | 6.7 | 6.4 | 0.191 | 0.443 |
| Item | Dietary Treatment | SEM 4 | p-Value | |
|---|---|---|---|---|
| Control | EB | |||
| Tocopherols and retinol, µg/g muscle | ||||
| α-Tocopherol | 2.33 | 2.31 | 0.064 | 0.791 |
| γ-Tocopherol | 0.09 | 0.09 | 0.005 | 0.718 |
| Retinol | 7.11 | 9.9 | 0.797 | 0.078 |
| Intramuscular fat, mg/100 g | 2711 | 2942 | 191.4 | 0.345 |
| C10:0 | 0.08 | 0.07 | 0.013 | 0.683 |
| C12:0 | 0.10 | 0.08 | 0.009 | 0.234 |
| C14:0 | 1.19 | 1.21 | 0.069 | 0.642 |
| C14:1 cis-9 | 0.04 | 0.04 | 0.004 | 1.000 |
| C15:0 | 0.04 | 0.04 | 0.006 | 0.891 |
| C16:0 | 20.8 | 20.0 | 0.217 | 0.292 |
| C17:0 | 0.42 | 0.41 | 0.031 | 0.632 |
| C16:1 cis-9 | 3.33 | 3.39 | 0.101 | 0.716 |
| C17:1 cis-9 | 0.20 | 0.22 | 0.009 | 0.293 |
| C18:0 | 9.73 | 9.62 | 0.683 | 0.591 |
| C18:1 cis-9 | 40.2 | 40.2 | 0.669 | 0.982 |
| C18:1 trans-11 (VA) | 4.60 | 4.85 | 0.101 | 0.223 |
| C18:2 cis-9, cis-12 (LA) | 11.8 | 11.4 | 0.573 | 0.432 |
| C18:3 n-3 (ALA) | 0.40 | 1.13 | 0.261 | 0.111 |
| C20:0 | 0.27 | 0.22 | 0.027 | 0.213 |
| C20:1 cis-9 | 0.86 | 0.79 | 0.057 | 0.322 |
| C20:2 n-6 | 0.53 | 0.48 | 0.041 | 0.398 |
| C20:3 n-3 | 0.20 | 0.44 | 0.076 | 0.131 |
| C20:4 n-6 | 2.11 | 2.05 | 0.169 | 0.721 |
| C20:5 n-3 (EPA) | 0.10 | 0.18 | 0.028 | 0.144 |
| C22:5 n-3 (DPA) | 0.22 | 0.47 | 0.049 | 0.023 |
| C22:6 n-3 (DHA) | 0.20 | 0.32 | 0.046 | 0.123 |
| ∑ SFA 1 | 32.7 | 31.6 | 0.233 | 0.297 |
| ∑ MUFA 1 | 49.3 | 49.5 | 0.721 | 0.811 |
| ∑ PUFA 1 | 15.6 | 16.5 | 0.672 | 0.319 |
| ∑ n-3 PUFA | 1.12 | 2.54 | 0.321 | 0.080 |
| ∑ n-6 PUFA | 14.5 | 13.9 | 0.632 | 0.298 |
| n-6/n-3 PUFA | 12.9 | 5.48 | 0.901 | 0.009 |
| ∑ PUFA 1/∑ SFA 1 | 0.48 | 0.52 | 0.021 | 0.193 |
| Thrombogenic index | 0.90 | 0.78 | 0.024 | 0.064 |
| Atherogenic Index | 0.40 | 0.38 | 0.008 | 0.135 |
| HP-PUFA 2 (mg/g muscle) | 0.64 | 1.00 | 0.121 | 0.110 |
| HP-PUFA ÷ Tocopherols 3 | 2.43 | 2.57 | 0.051 | 0.057 |
| Item (g/100 g of total Fatty Acids) | Dietary Treatment | SEM 1 | p-Values | |
|---|---|---|---|---|
| Control | EB | |||
| C10:0 | 0.06 | 0.06 | 0.012 | 0.892 |
| C12:0 | 0.14 | 0.12 | 0.007 | 0.321 |
| C14:0 | 1.45 | 1.43 | 0.039 | 0.221 |
| C14:1 cis-9 | 0.03 | 0.04 | 0.007 | 0.895 |
| C15:0 | 0.09 | 0.07 | 0.009 | 0.150 |
| C16:0 | 21.3 | 20.1 | 0.232 | 0.211 |
| C17:0 | 0.48 | 0.47 | 0.019 | 0.355 |
| C16:1 cis-9 | 2.12 | 2.03 | 0.042 | 0.544 |
| C17:1 cis-9 | 0.28 | 0.36 | 0.038 | 0.036 |
| C18:0 | 9.19 | 9.81 | 0.643 | 0.353 |
| C18:1 cis-9 | 42.8 | 40.4 | 0.684 | 0.112 |
| C18:1 trans-11 (VA) | 2.89 | 3.01 | 0.066 | 0.289 |
| C18:2 cis-9, cis-12 (LA) | 14.9 | 15.1 | 0.326 | 0.332 |
| C18:3 n-3 (ALA) | 0.52 | 1.21 | 0.142 | 0.037 |
| C20:0 | 0.27 | 0.25 | 0.008 | 0.812 |
| C20:1 cis-9 | 1.17 | 1.28 | 0.059 | 0.156 |
| C20:2 n-6 | 0.68 | 0.65 | 0.102 | 0.823 |
| C20:3 n-3 | 0.13 | 0.19 | 0.039 | 0.245 |
| C20:4 n-6 | 0.21 | 0.16 | 0.018 | 0.345 |
| C20:5 n-3 (EPA) | 0.19 | 0.19 | 0.018 | 0.856 |
| C22:5 n-3 (DPA) | 0.19 | 0.26 | 0.029 | 0.133 |
| C22:6 n-3 (DHA) | 0.17 | 0.24 | 0.049 | 0.443 |
| ∑ SFA 2 | 33.0 | 32.3 | 0.765 | 0.433 |
| ∑ MUFA 2 | 49.3 | 47.1 | 0.755 | 0.212 |
| ∑ PUFA 2 | 17.0 | 18.0 | 0.412 | 0.072 |
| ∑ n-3 PUFA | 1.21 | 2.09 | 0.202 | 0.057 |
| ∑ n-6 PUFA | 15.8 | 15.9 | 0.414 | 0.377 |
| n-6/n-3 PUFA | 13.1 | 7.63 | 1.263 | 0.093 |
| ∑ PUFA/∑ SFA | 0.52 | 0.56 | 0.061 | 0.234 |
| Item | Dietary Treatment | SEM 4 | p-Values | |
|---|---|---|---|---|
| Control | EB | |||
| Tocopherols and retinol, µg/g salami | ||||
| α-Tocopherol | 0.55 | 0.59 | 0.432 | 0.792 |
| γ-Tocopherol | 0.05 | 0.05 | 0.009 | 0.321 |
| Retinol | 3.26 | 3.11 | 0.521 | 0.321 |
| Total fat, g/100 g of salami | 19.6 | 16.8 | 47.54 | 0.099 |
| C12:0 | 0.14 | 0.17 | 0.022 | 0.321 |
| C14:0 | 1.48 | 1.31 | 0.069 | 0.098 |
| C16:0 | 22.0 | 20.2 | 0.542 | 0.099 |
| C16:1 cis-9 | 2.29 | 2.36 | 0.139 | 0.321 |
| C18:0 | 10.9 | 9.51 | 0.357 | 0.036 |
| C18:1 cis-9 | 45.0 | 43.8 | 0.445 | 0.161 |
| C18:2 cis-9, cis-12 (LA) | 11.1 | 11.9 | 0.221 | 0.081 |
| C18:3 n-3 (ALA) | 0.46 | 2.08 | 0.239 | <0.001 |
| C20:1 cis-9 | 1.11 | 1.12 | 0.039 | 0.234 |
| C20:2 n-6 | 0.56 | 0.60 | 0.057 | 0.387 |
| C20:4 n-6 | 0.32 | 0.29 | 0.074 | 0.543 |
| C20:5 n-3 (EPA) | 0.19 | 0.26 | 0.043 | 0.432 |
| C22:5 n-3 (DPA) | 0.19 | 0.22 | 0.041 | 0.456 |
| C22:6 n-3 (DHA) | 0.14 | 0.17 | 0.032 | 0.298 |
| ∑ SFA 1 | 34.6 | 31.2 | 0.834 | 0.039 |
| ∑ MUFA 1 | 48.4 | 47.3 | 0.536 | 0.365 |
| ∑ PUFA 1 | 12.9 | 15.5 | 0.443 | <0.001 |
| ∑ n-3 PUFA | 0.98 | 2.73 | 0.256 | <0.001 |
| ∑ n-6 PUFA | 11.9 | 12.8 | 0.258 | 0.065 |
| n-6/n-3 PUFA | 12.2 | 4.7 | 1.378 | <0.001 |
| ∑ PUFA 1/∑ SFA 1 | 0.37 | 0.49 | 0.033 | 0.004 |
| Thrombogenic index | 1.03 | 0.80 | 0.049 | 0.001 |
| Atherogenic Index | 0.46 | 0.41 | 0.017 | 0.038 |
| HP-PUFA 2 (mg/g salami) | 1.20 | 3.51 | 0.345 | 0.001 |
| HP-PUFA ÷ Tocopherols 3 | 3.20 | 3.76 | 0.111 | 0.033 |
| Dietary Treatment 1 | Time (T) 3 | SEM | p-Values | Time | D×T | ||||
|---|---|---|---|---|---|---|---|---|---|
| Control | EB | 0 | 1 | 2 | Diet | ||||
| L* values 2 | 41.9 | 43.9 | 42.4 | 43.5 | 43.4 | 0.562 | 0.038 | 0.501 | 0.932 |
| a* values 2 | 6.3 | 6.4 | 6.7 | 6.4 | 5.9 | 0.343 | 0.421 | 0.178 | 0.132 |
| b* values 2 | 8.2 | 9.3 | 6.9 x | 9.9 y | 8.7 z,y | 0.321 | 0.060 | 0.007 | 0.085 |
| C* values 2 | 10.6 | 11.3 | 9.9 | 11.7 | 10.9 | 0.332 | 0.143 | 0.079 | 0.059 |
| H* values 2 | 53.6 | 55.4 | 42.4 x | 57.0 y | 59.1 y | 1.43 | 0.453 | 0.001 | 0.754 |
| TBARS raw meat, mg MDA/kg | 0.52 | 0.55 | 0.47 | 0.50 | 0.51 | 0.017 | 0.457 | 0.293 | 0.377 |
| TBARS cooked meat, mg MDA/kg | 2.96 | 2.70 | 2.02 x | 2.68 y | 3.79 z | 0.175 | 0.165 | 0.001 | 0.467 |
Publisher’s Note: MDPI stays neutral with regard to jurisdictional claims in published maps and institutional affiliations. |
© 2022 by the authors. Licensee MDPI, Basel, Switzerland. This article is an open access article distributed under the terms and conditions of the Creative Commons Attribution (CC BY) license (https://creativecommons.org/licenses/by/4.0/).
Share and Cite
Scerra, M.; Rao, R.; Foti, F.; Caparra, P.; Cilione, C.; Natalello, A.; Biondi, L.; Bella, M.S.; Chies, L. Influence of Dietary Inclusion of Exhausted Bergamot By-Product in Pigs on Animal Performance, Fatty Acid Profile and Oxidative Stability of Meat and Meat Products. Animals 2022, 12, 757. https://doi.org/10.3390/ani12060757
Scerra M, Rao R, Foti F, Caparra P, Cilione C, Natalello A, Biondi L, Bella MS, Chies L. Influence of Dietary Inclusion of Exhausted Bergamot By-Product in Pigs on Animal Performance, Fatty Acid Profile and Oxidative Stability of Meat and Meat Products. Animals. 2022; 12(6):757. https://doi.org/10.3390/ani12060757
Chicago/Turabian StyleScerra, Manuel, Rosa Rao, Francesco Foti, Pasquale Caparra, Caterina Cilione, Antonio Natalello, Luisa Biondi, Marco Sebastiano Bella, and Luigi Chies. 2022. "Influence of Dietary Inclusion of Exhausted Bergamot By-Product in Pigs on Animal Performance, Fatty Acid Profile and Oxidative Stability of Meat and Meat Products" Animals 12, no. 6: 757. https://doi.org/10.3390/ani12060757
APA StyleScerra, M., Rao, R., Foti, F., Caparra, P., Cilione, C., Natalello, A., Biondi, L., Bella, M. S., & Chies, L. (2022). Influence of Dietary Inclusion of Exhausted Bergamot By-Product in Pigs on Animal Performance, Fatty Acid Profile and Oxidative Stability of Meat and Meat Products. Animals, 12(6), 757. https://doi.org/10.3390/ani12060757

