In Vitro Assessment of Hydrolysed Collagen Fermentation Using Domestic Cat (Felis catus) Faecal Inocula
Abstract
:Simple Summary
Abstract
1. Introduction
2. Materials and Methods
2.1. Faecal Inoculum Collection
2.2. Substrates
2.3. In Vitro Digestion
2.4. In Vitro Fermentation
2.5. Laboratory Analysis
2.5.1. Macronutrient Profiles of Substrate
2.5.2. Organic Acids and Ammonia
2.5.3. 16S rRNA Amplicon Sequencing
2.6. Statistical Analysis
2.6.1. Organic Acids and Ammonia
2.6.2. Bacterial Profile of In Vitro Fermentation
3. Results
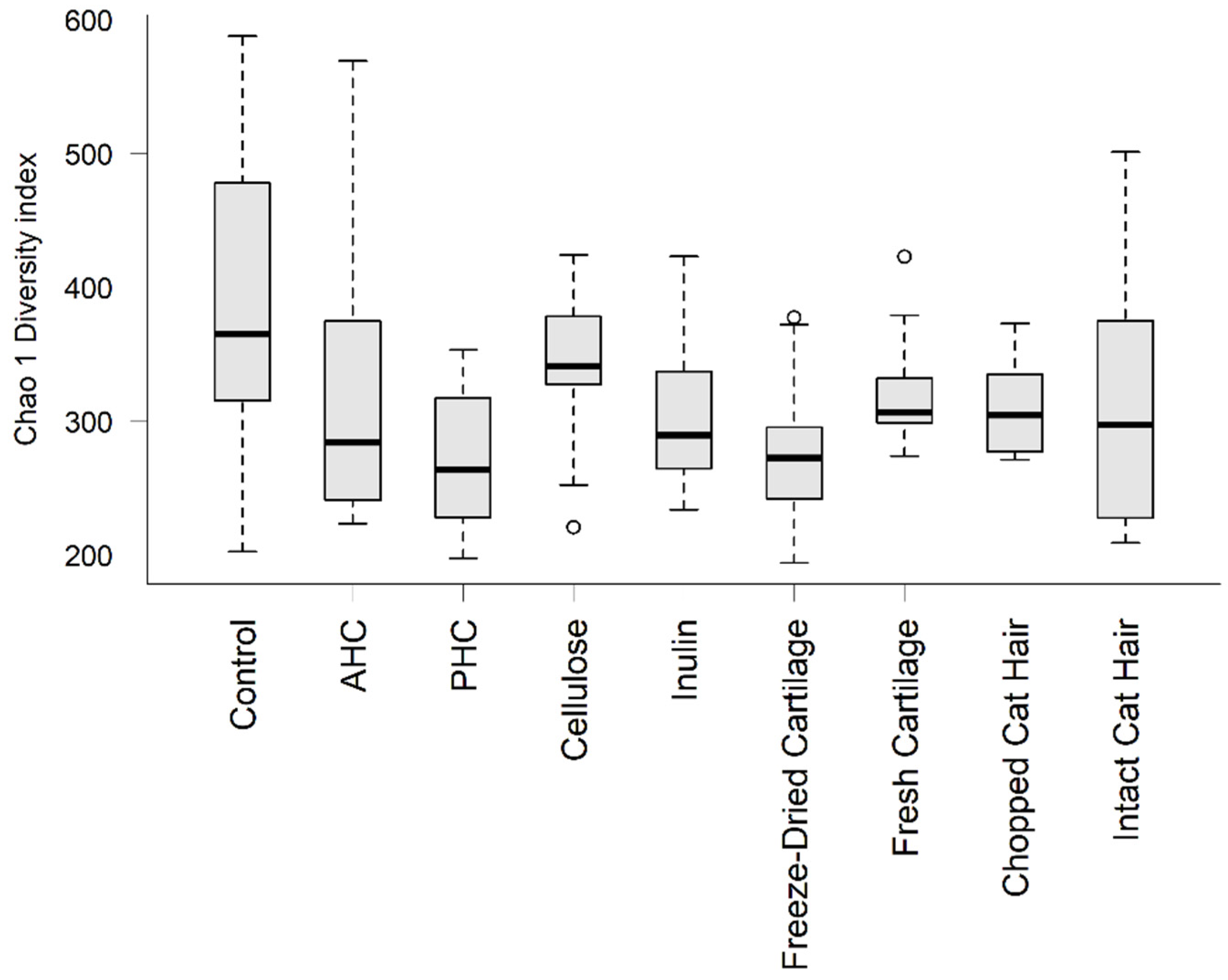
3.1. High Protein Faecal Inoculum (PD)
3.1.1. Organic Acid and Ammonia Profiles
3.1.2. Culture Community of High Protein Faecal Inoculum
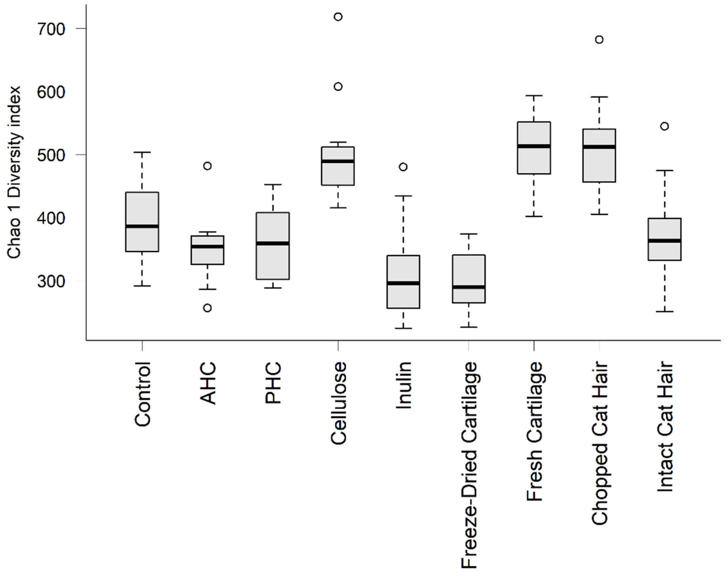
3.2. High Carbohydrate Faecal Inoculum (CD)
3.2.1. Organic Acid and Ammonia Profiles
3.2.2. Culture Community of High Carbohydrate Faecal Inoculum
4. Discussion
4.1. High Protein Faecal Inoculum (PD)
4.2. High Carbohydrate FAECAL Inoculum (CD)
4.3. Model Considerations
5. Conclusions
Supplementary Materials
Author Contributions
Funding
Institutional Review Board Statement
Informed Consent Statement
Data Availability Statement
Acknowledgments
Conflicts of Interest
Appendix A
| SGF | SIF | |||
|---|---|---|---|---|
| Volume of Stock | Concentration in SGF | Volume of Stock | Concentration in SIF | |
| mL | mmol/L | mL | mmol/L | |
| KCl | 6.9 | 6.9 | 6.8 | 6.8 |
| KH2PO4 | 0.9 | 0.9 | 0.8 | 0.8 |
| NaHCO3 | 12.5 | 25 | 42.5 | 85 |
| NaCl | 11.8 | 47.2 | 9.6 | 38.4 |
| MgCl2(H2O)6 | 0.4 | 0.1 | 1.1 | 0.33 |
| (NH4)2CO3 | 0.5 | 0.5 | - | - |
| RO water | 367 | 339.2 | ||
| Final Volume | 400 | 400 | ||



References
- AAFCO. 2021 Official Publication; AAFCO Publications: Champaign, IL, USA, 2021. [Google Scholar]
- Flint, H.J.; Scott, K.P.; Louis, P.; Duncan, S.H. The role of the gut microbiota in nutrition and health. Nat. Rev. Gastroenterol. Amp. Hepatol. 2012, 9, 577. [Google Scholar] [CrossRef] [PubMed]
- Butowski, C.F.; Thomas, D.G.; Young, W.; Cave, N.J.; McKenzie, C.M.; Rosendale, D.I.; Bermingham, E.N. Addition of plant dietary fibre to a raw red meat high protein, high fat diet, alters the faecal bacteriome and organic acid profiles of the domestic cat (Felis catus). PLoS ONE 2019, 14, e0216072. [Google Scholar] [CrossRef] [PubMed]
- Fleming, S.E.; Fitch, M.D.; DeVries, S.; Liu, M.L.; Kight, C. Nutrient utilization by cells isolated from rat jejunum, cecum and colon. J. Nutr. 1991, 121, 869–878. [Google Scholar] [CrossRef] [PubMed]
- Clausen, M.R.; Mortensen, P.B. Kinetic studies on colonocyte metabolism of short chain fatty acids and glucose in ulcerative colitis. Gut 1995, 37, 684–689. [Google Scholar] [CrossRef] [Green Version]
- Darcy-Vrillon, B.; Cherbuy, C.; Morel, M.T.; Durand, M.; Duee, P.H. Short chain fatty acid and glucose metabolism in isolated pig colonocytes: Modulation by NH4+. Mol. Cell. Biochem. 1996, 156, 145–151. [Google Scholar] [CrossRef]
- Davila, A.M.; Blachier, F.; Gotteland, M.; Andriamihaja, M.; Benetti, P.H.; Sanz, Y.; Tome, D. Intestinal luminal nitrogen metabolism: Role of the gut microbiota and consequences for the host. Pharmacol. Res. 2013, 68, 95–107. [Google Scholar] [CrossRef]
- Sunvold, G.D.; Fahey, G.C., Jr.; Merchen, N.R.; Bourquin, L.D.; Titgemeyer, E.C.; Bauer, L.L.; Reinhart, G.A. Dietary fiber for cats: In vitro fermentation of selected fiber sources by cat fecal inoculum and in vivo utilization of diets containing selected fiber sources and their blends. J. Anim. Sci. 1995, 73, 2329–2339. [Google Scholar] [CrossRef]
- Cutrignelli, M.I.; Bovera, F.; Tudisco, R.; D’Urso, S.; Marono, S.; Piccolo, G.; Calabrò, S. In vitro fermentation characteristics of different carbohydrate sources in two dog breeds (German shepherd and Neapolitan mastiff). J. Anim. Physiol. Anim. Nutr. 2009, 93, 305–312. [Google Scholar] [CrossRef]
- De Godoy, M.R.; Mitsuhashi, Y.; Bauer, L.L.; Fahey, G.C., Jr.; Buff, P.R.; Swanson, K.S. In vitro fermentation characteristics of novel fibers, coconut endosperm fiber and chicory pulp, using canine fecal inoculum. J. Anim. Sci. 2015, 93, 370–376. [Google Scholar] [CrossRef] [Green Version]
- Brahma, S.; Martínez, I.; Walter, J.; Clarke, J.; Gonzalez, T.; Menon, R.; Rose, D.J. Impact of dietary pattern of the fecal donor on in vitro fermentation properties of whole grains and brans. J. Funct. Foods 2017, 29, 281–289. [Google Scholar] [CrossRef]
- Depauw, S.; Bosch, G.; Hesta, M.; Whitehouse-Tedd, K.; Hendriks, W.H.; Kaandorp, J.; Janssens, G.P. Fermentation of animal components in strict carnivores: A comparative study with cheetah fecal inoculum. J. Anim. Sci. 2012, 90, 2540–2548. [Google Scholar] [CrossRef] [PubMed] [Green Version]
- Deb-Choudhury, S.; Bermingham, E.N.; Young, W.; Barnett, M.P.G.; Knowles, S.O.; Harland, D.; Clerens, S.; Dyer, J.M. The effects of a wool hydrolysate on short-chain fatty acid production and fecal microbial composition in the domestic cat (Felis catus). Food Funct. 2018, 9, 4107–4121. [Google Scholar] [CrossRef]
- Peachey, S.E.; Dawson, J.M.; Harper, E.J. Gastrointestinal transit times in young and old cats. Comp. Biochem. Physiol. Part A Mol. Integr. Physiol. 2000, 126, 85–90. [Google Scholar] [CrossRef]
- Minekus, M.; Alminger, M.; Alvito, P.; Ballance, S.; Bohn, T.; Bourlieu, C.; Carriere, F.; Boutrou, R.; Corredig, M.; Dupont, D.; et al. A standardised static in vitro digestion method suitable for food-an international consensus. Food Funct. 2014, 5, 1113–1124. [Google Scholar] [CrossRef] [PubMed] [Green Version]
- Kienzle, E. Carbohydrate metabolism of the cat 1. Activity of amylase in the gastrointestinal tract of the cat. J. Anim. Physiol. Anim. Nutr. 1993, 69, 92–101. [Google Scholar] [CrossRef]
- Mariotti, F.; Tomé, D.; Mirand, P.P. Converting nitrogen into protein—beyond 6.25 and jones’ factors. Crit. Rev. Food Sci. Nutr. 2008, 48, 177–184. [Google Scholar] [CrossRef]
- Richardson, A.J.; Calder, A.G.; Stewart, C.S.; Smith, A. Simultaneous determination of volatile and non-volatile acidic fermentation products of anaerobes by capillary gas chromatography. Lett. Appl. Microbiol. 1989, 9, 5–8. [Google Scholar] [CrossRef]
- Weatherburn, M.W. Phenol-hypochlorite reaction for determination of ammonia. Anal. Chem. 1967, 39, 971–974. [Google Scholar] [CrossRef]
- Fadrosh, D.W.; Ma, B.; Gajer, P.; Sengamalay, N.; Ott, S.; Brotman, R.M.; Ravel, J. An improved dual-indexing approach for multiplexed 16S rRNA gene sequencing on the Illumina MiSeq platform. Microbiome 2014, 2, 6. [Google Scholar] [CrossRef] [Green Version]
- Caporaso, J.G.; Kuczynski, J.; Stombaugh, J.; Bittinger, K.; Bushman, F.D.; Costello, E.K.; Fierer, N.; Pena, A.G.; Goodrich, J.K.; Gordon, J.I.; et al. QIIME allows analysis of high-throughput community sequencing data. Nat. Methods 2010, 7, 335–336. [Google Scholar] [CrossRef] [Green Version]
- R Core Team R: A Language and Environment for Statistical Computing; R Foundation for Statistical Computing: Vienna, Austria, 2020.
- Luo, D.; Ganesh, S.; Koolaard, J. Predictmeans: Calculate Predicted Means for Linear Models; R Package Version 1.0.1. 2018. Available online: https://CRAN.R-project.org/package=predictmeans (accessed on 11 February 2022).
- Anand, S.; Kaur, H.; Mande, S.S. Comparative in silico analysis of butyrate production pathways in gut commensals and pathogens. Front. Microbiol. 2016, 7, 1945. [Google Scholar] [CrossRef] [PubMed] [Green Version]
- Gschaedler, A.; Boudrant, J. Amino acid utilization during batch and continuous cultures of Escherichia coli on a semi-synthetic medium. J. Biotechnol. 1994, 37, 235–251. [Google Scholar] [CrossRef]
- Richardson, A.J.; McKain, N.; Wallace, R.J. Ammonia production by human faecal bacteria, and the enumeration, isolation and characterization of bacteria capable of growth on peptides and amino acids. BMC Microbiol. 2013, 13, 6. [Google Scholar] [CrossRef] [PubMed] [Green Version]
- Pinna, C.; Stefanelli, C.; Biagi, G. In vitro effect of dietary protein level and nondigestible oligosaccharides on feline fecal microbiota. J. Anim. Sci. 2014, 92, 5593–5602. [Google Scholar] [CrossRef] [Green Version]
- Vince, A.J.; Burridge, S.M. Ammonia production by intestinal bacteria: The effects of lactose, lactulose and glucose. J. Med. Microbiol. 1980, 13, 177–191. [Google Scholar] [CrossRef] [PubMed] [Green Version]
- Smith, E.A.; Macfarlane, G.T. Enumeration of amino acid fermenting bacteria in the human large intestine: Effects of pH and starch on peptide metabolism and dissimilation of amino acids. FEMS Microbiol. Ecol. 1998, 25, 355–368. [Google Scholar] [CrossRef]
- Oliphant, K.; Allen-Vercoe, E. Macronutrient metabolism by the human gut microbiome: Major fermentation by-products and their impact on host health. Microbiome 2019, 7, 91. [Google Scholar] [CrossRef]
- Deedrick, D.; Koch, S. Microscopy of hair part II: A practical guide and manual for animal hairs. Forensic Sci. Commun. 2004, 6, 3. [Google Scholar]
- Lazic, S.E.; Clarke-Williams, C.J.; Munafò, M.R. What exactly is ‘N’ in cell culture and animal experiments? PLoS Biol. 2018, 16, e2005282. [Google Scholar] [CrossRef] [Green Version]
- Bosch, G.; Pellikaan, W.F.; Rutten, P.G.; van der Poel, A.F.; Verstegen, M.W.; Hendriks, W.H. Comparative in vitro fermentation activity in the canine distal gastrointestinal tract and fermentation kinetics of fiber sources. J. Anim. Sci. 2008, 86, 2979–2989. [Google Scholar] [CrossRef] [Green Version]
- Bosch, G.; Wrigglesworth, D.J.; Cone, J.W.; Pellikaan, W.F.; Hendriks, W.H. Effects of preservation conditions of canine feces on in vitro gas production kinetics and fermentation end products. J. Anim. Sci. 2013, 91, 259–267. [Google Scholar] [CrossRef] [PubMed] [Green Version]
- Bosch, G.; Heesen, L.; de Melo Santos, K.; Cone, J.W.; Pellikaan, W.F.; Hendriks, W.H. Evaluation of an in vitro fibre fermentation method using feline faecal inocula: Inter-individual variation. J. Nutr. Sci. 2017, 6, e24. [Google Scholar] [CrossRef] [PubMed] [Green Version]




| Substrates | |||||||
|---|---|---|---|---|---|---|---|
| Component | AHC | PHC | Freeze-Dried Cartilage | Fresh Cartilage | Cat Hair | Inulin | Cellulose |
| Gross energy (kJ/g) | 20.58 | 21.33 | 22.61 | 18.31 | 23.01 | 16.58 | 16.65 |
| Ash (% DM) | 6.11 | 0.98 | 5.08 | 9.15 | 1.08 | 0.1 | 0.11 |
| Crude Protein (% DM) | 89.70 ¶ | 97.48 ¶ | 75.21 | 69.92 | 82.20 ¶ | 0.21 | 0.21 |
| Crude Fat (% DM) | 0.54 | 0.44 | 13.28 | 1.69 | 5.59 | 2.52 | 0.11 |
| Crude Fibre (% DM) | 0.11 | 0.11 | 1.14 | 0.34 | 0.75 | 0.1 | 65.65 |
| NFE 1 (% DM) | 3.55 | 0.98 | 5.29 | 18.90 | 10.38 | 97.06 | 33.93 |
| Total Dietary Fibre (% DM) | ND | 0.11 | 12.34 | 22.03 | 3.23 | † | 100 |
| Insoluble Dietary Fibre (% DM) | ND | 0.11 | 5.08 | 2.37 | 3.23 | † | 100 |
| Soluble Dietary Fibre (% DM) | 0.86 | ND | 7.26 | 19.66 | ND | † | ND |
| Acetate (µmol/mL) | Butyrate (µmol/mL) | Propionate (µmol/mL) | Total SCFA (µmol/mL) | |||||||||
| Substrate | Mean | SEM | Comparison | Mean | SEM | Comparison | Mean | SEM | Comparison | Mean | SEM | Comparison |
| Control | 17.47 | 0.812 | C | 2.02 | 0.114 | BC | 0.49 | 0.090 | C | 30.82 | 0.362 | CD |
| AHC | 27.28 | 0.196 | A | 6.90 | 0.043 | A | 1.12 | 0.134 | A | 45.23 | 1.223 | A |
| PHC | 23.96 | 0.593 | B | 7.81 | 0.111 | A | 1.28 | 0.120 | A | 39.15 | 0.308 | B |
| Cellulose | 14.64 | 0.372 | D | ND | ND | C | ND | ND | C | 26.43 | 2.302 | D |
| Freeze-dried Cartilage | 22.33 | 0.513 | B | ND | ND | C | 0.52 | 0.123 | BC | 38.14 | 1.288 | B |
| Fresh Cartilage | 16.94 | 0.743 | CD | ND | ND | C | 0.46 | 0.063 | C | 31.77 | 0.638 | CD |
| Chopped cat hair | 19.48 | 0.469 | C | 2.94 | 0.248 | B | 1.29 | 0.058 | A | 33.46 | 0.980 | BC |
| Intact cat hair | 18.22 | 0.413 | C | 2.80 | 0.055 | B | 0.96 | 0.029 | AB | 31.53 | 1.326 | CD |
| Inulin | 9.56 | 0.343 | E | ND | ND | C | 0.48 | 0.080 | C | 20.09 | 0.664 | E |
| Formate (µmol/mL) | Lactate (µmol/mL) | Succinate (µmol/mL) | Ammonia (µmol/mL) | |||||||||
| Substrate | Mean | SEM | Comparison | Mean | SEM | Comparison | Mean | SEM | Comparison | Mean | SEM | Comparison |
| Control | 10.71 | 0.681 | AB | 2.66 | 1.260 | B | 0.673 | 0.037 | C | 19.63 | 0.544 | A |
| AHC | 9.81 | 1.026 | ABC | 2.04 | 0.905 | B | 1.523 | 0.050 | B | 16.65 | 0.392 | B |
| PHC | 5.99 | 0.783 | C | 1.09 | 0.430 | B | 2.310 | 0.026 | A | 14.45 | 0.219 | CD |
| Cellulose | 10.22 | 1.895 | ABC | 2.15 | 0.162 | B | 0.533 | 0.123 | C | 16.89 | 0.525 | B |
| Freeze-dried Cartilage | 14.18 | 0.902 | A | 3.12 | 1.412 | B | 1.493 | 0.103 | B | 14.37 | 0.174 | D |
| Fresh Cartilage | 13.27 | 0.644 | AB | 2.07 | 0.886 | B | 1.300 | 0.072 | B | 14.75 | 0.892 | BCD |
| Chopped cat hair | 9.66 | 0.557 | ABC | 3.11 | 0.090 | B | 1.433 | 0.126 | B | 16.78 | 0.329 | B |
| Intact cat hair | 9.45 | 0.507 | BC | 1.71 | 0.448 | B | 1.180 | 0.120 | B | 16.60 | 0.049 | BC |
| Inulin | 8.94 | 0.762 | BC | 75.79 | 8.011 | A | 1.167 | 0.044 | B | 8.30 | 0.178 | E |
| Acetate (µmol/mL) | Butyrate (µmol/mL) | Propionate (µmol/mL) | Total SCFA (µmol/mL) | |||||||||
| Substrate | Mean | SEM | Comparison | Mean | SEM | Comparison | Mean | SEM | Comparison | Mean | SEM | Comparison |
| Control | 16.867 | 0.218276 | DE | ND | ND | C | 0.55 | 0.140 | B | 30.46 | 1.243959 | BCD |
| AHC | 17.99 | 0.555908 | CDE | ND | ND | C | 0.63 | 0.166 | B | 32.69 | 2.010075 | ABC |
| PHC | 15.85 | 0.20664 | EF | ND | ND | C | 0.59 | 0.152 | B | 28.1233 | 0.902244 | CD |
| Cellulose | 12.783 | 0.239188 | F | ND | ND | C | 0.42 | 0.012 | B | 24.24 | 0.574717 | D |
| Freeze-dried Cartilage | 22.873 | 1.264283 | A | ND | ND | C | 0.51 | 0.058 | B | 37.5167 | 1.573503 | A |
| Fresh Cartilage | 20.767 | 1.120897 | ABC | ND | ND | C | 0.48 | 0.041 | B | 36.7867 | 2.106255 | AB |
| Chopped cat hair | 19.54 | 0.62426 | BCD | 3.027 | 0.292252 | B | 2.56 | 0.214 | A | 30.4733 | 1.140663 | BCD |
| Intact cat hair | 22.127 | 0.139084 | AB | 4.33 | 0.555108 | A | 3.04 | 0.100 | A | 34.5367 | 0.398427 | ABC |
| Inulin | 16.417 | 0.096148 | DE | 1.053 | 0.027285 | C | 0.57 | 0.123 | B | 31.8 | 0.831164 | ABC |
| Formate (µmol/mL) | Lactate (µmol/mL) | Succinate (µmol/mL) | Ammonia (mM) | |||||||||
| Mean | SEM | Comparison | Mean | SEM | Comparison | Mean | SEM | Comparison | Mean | SEM | Comparison | |
| Control | 11.933 | 1.281748 | AB | 0.783 | 0.269093 | C | 0.517 | 0.048 | D | 17.533 | 0.0805 | A |
| AHC | 12.963 | 1.413416 | AB | 0.563 | 0.165965 | C | 0.997 | 0.033 | C | 13.859 | 0.2324 | BC |
| PHC | 10.573 | 1.068431 | AB | 0.743 | 0.279543 | C | 1.320 | 0.032 | C | 12.958 | 0.0869 | C |
| Cellulose | 9.937 | 0.346041 | B | 1.04 | 0.280951 | C | 0.59 | 0.038 | D | 14.533 | 0.2932 | B |
| Freeze-dried Cartilage | 12.977 | 0.302067 | AB | 5.487 | 0.086859 | B | 2.2 | 0.040 | A | 12.463 | 0.41347 | C |
| Fresh Cartilage | 14.393 | 1.083349 | A | 5.183 | 1.036345 | B | 2.287 | 0.168 | A | 12.983 | 0.03876 | C |
| Chopped cat hair | 5.243 | 0.188532 | C | 2.373 | 0.315454 | C | 0.37 | 0.070 | D | 17.02 | 0.4105 | A |
| Intact cat hair | 4.937 | 0.127061 | C | 2.167 | 0.384765 | C | ND | ND | D | 17.578 | 0.43091 | A |
| Inulin | 13.65 | 0.700595 | AB | 22.593 | 0.929737 | A | 1.717 | 0.046 | B | 10.799 | 0.2829 | D |
Publisher’s Note: MDPI stays neutral with regard to jurisdictional claims in published maps and institutional affiliations. |
© 2022 by the authors. Licensee MDPI, Basel, Switzerland. This article is an open access article distributed under the terms and conditions of the Creative Commons Attribution (CC BY) license (https://creativecommons.org/licenses/by/4.0/).
Share and Cite
Butowski, C.F.; Thomas, D.G.; Cave, N.J.; Bermingham, E.N.; Rosendale, D.I.; Hea, S.-Y.; Stoklosinski, H.M.; Young, W. In Vitro Assessment of Hydrolysed Collagen Fermentation Using Domestic Cat (Felis catus) Faecal Inocula. Animals 2022, 12, 498. https://doi.org/10.3390/ani12040498
Butowski CF, Thomas DG, Cave NJ, Bermingham EN, Rosendale DI, Hea S-Y, Stoklosinski HM, Young W. In Vitro Assessment of Hydrolysed Collagen Fermentation Using Domestic Cat (Felis catus) Faecal Inocula. Animals. 2022; 12(4):498. https://doi.org/10.3390/ani12040498
Chicago/Turabian StyleButowski, Christina F., David G. Thomas, Nick J. Cave, Emma N. Bermingham, Douglas I. Rosendale, Shen-Yan Hea, Halina M. Stoklosinski, and Wayne Young. 2022. "In Vitro Assessment of Hydrolysed Collagen Fermentation Using Domestic Cat (Felis catus) Faecal Inocula" Animals 12, no. 4: 498. https://doi.org/10.3390/ani12040498
APA StyleButowski, C. F., Thomas, D. G., Cave, N. J., Bermingham, E. N., Rosendale, D. I., Hea, S.-Y., Stoklosinski, H. M., & Young, W. (2022). In Vitro Assessment of Hydrolysed Collagen Fermentation Using Domestic Cat (Felis catus) Faecal Inocula. Animals, 12(4), 498. https://doi.org/10.3390/ani12040498

