Redox Status, Estrogen and Progesterone Production by Swine Granulosa Cells Are Impaired by Triclosan
Abstract
Simple Summary
Abstract
1. Introduction
2. Materials and Methods
2.1. Isolation and Culture of Granulosa Cells
2.2. Granulosa Cell Growth
2.2.1. Cell Proliferation
2.2.2. Cell Viability Evaluation
2.3. Granulosa Cell Steroid Production
2.4. Granulosa Cell Redox Status
2.4.1. Granulosa Cell Superoxide (O2−) Production
2.4.2. Granulosa Cell Nitric Oxide (NO) Production
2.4.3. Granulosa Cell Hydrogen Peroxide (H2O2) Production
2.4.4. Non-Enzymatic Scavenging Activity
2.4.5. Enzymatic Scavenging Activity
2.5. Statistical Analysis
3. Results
3.1. Effect of Triclosan on Swine Granulosa Cells Growth
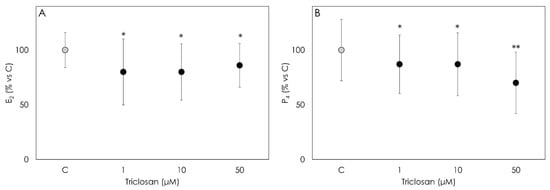
3.2. Effect of Triclosan on Porcine Granulosa Cell Steroidogenesis
3.3. Effect of Triclosan on Porcine Granulosa Cell Redox Status
4. Discussion
5. Conclusions
Author Contributions
Funding
Institutional Review Board Statement
Data Availability Statement
Conflicts of Interest
References
- Alice, E. Comment on “Pharmaceuticals, hormones, and other organic wastewater contaminants in U.S. streams, 1999−2000: A National Reconnaissance”. Environ. Sci. Technol. 2003, 36, 1202–1211. [Google Scholar]
 - Kumar, K.S.; Priya, S.M.; Peck, A.M.; Sajwan, K.S. Mass loadings of triclosan and triclocarbon from four wastewater treatment plants to three rivers and landfill in Savannah, Georgia, USA. Arch. Environ. Contam. Toxicol. 2010, 58, 275–285. [Google Scholar] [CrossRef] [PubMed]
 - Miller, T.R.; Heidler, J.; Chillrud, S.N.; DeLaquil, A.; Ritchie, J.C.; Mihalic, J.N.; Bopp, R.; Halden, R.U. Fate of triclosan and evidence for reductive dechlorination of triclocarban in estuarine sediments. Environ. Sci. Technol. 2008, 42, 4570–4576. [Google Scholar] [CrossRef] [PubMed]
 - Zhou, X.; Zhou, S.B.; Zhang, Y.; Shi, L. Determination of triclosan in wastewater using solid phase extraction and high performance liquid chromatography with ultra-violet detection. In Proceedings of the 3rd International Conference on Bioinformatics and Biomedical Engineering, Beijing, China, 11–16 June 2009; pp. 1–4. [Google Scholar]
 - Jagini, S.; Konda, S.; Bhagawan, D.; Himabindu, V. Emerging contaminant (triclosan) identification and its treatment: A review. SN Appl. Sci. 2019, 1, 640. [Google Scholar] [CrossRef]
 - Weatherly, L.M.; Gosse, J.A. Triclosan exposure, transformation, and human health effects. J. Toxico.l Environ. Health B Crit. Rev. 2017, 20, 447–469. [Google Scholar] [CrossRef]
 - Allmyr, M.; Adolfsson-Erici, M.; McLachlan, M.S.; Sandborgh-Englund, G. Triclosan in plasma and milk from swedish nursing mothers and their exposure via personal care products. Sci. Total Environ. 2006, 372, 87–93. [Google Scholar] [CrossRef] [PubMed]
 - Dann, A.B.; Hontela, A. Triclosan: Environmental exposure, toxicity and mechanisms of action. J. Appl. Toxicol. 2011, 31, 285–311. [Google Scholar] [CrossRef]
 - Geens, T.; Neels, H.; Covaci, A. Distribution of bisphenol-a, triclosan and n-nonylphenol in human adipose tissue, liver and brain. Chemosphere 2012, 87, 796–802. [Google Scholar] [CrossRef]
 - Pullaguri, N.; Nema, S.; Bhargava, Y.; Bhargava, A. Triclosan alters adult zebrafish behavior and targets acetylcholinesterase activity and expression. Environ. Toxicol. Pharmacol. 2020, 75, 103311. [Google Scholar] [CrossRef]
 - Sandborgh-Englund, G.; Adolfsson-Erici, M.; Odham, G.; Ekstrand, J. Pharmacokinetics of triclosan following oral ingestion in humans. J. Toxicol. Environ. Health A 2006, 69, 1861–1873. [Google Scholar] [CrossRef]
 - Queckenberg, C.; Meins, J.; Wachall, B.; Doroshyenko, O.; Tomalik-Scharte, D.; Bastian, B.; Abdel-Tawab, M.; Fuhr, U. Absorption, pharmacokinetics, and safety of triclosan after dermal administration. Antimicrob. Agents Chemother. 2010, 54, 570–572. [Google Scholar] [CrossRef] [PubMed]
 - Scientific Committee on Consumer Products (SCCP); Scientific Committee on Consumer Safety. Opinion on Triclosan Antimicrobial Resistance; SCCP/1251/09. Available online: https://ec.europa.eu/health/sites/health/files/scientific_committees/consumer_safety/docs/sccs_o_023.pdf (accessed on 9 May 2022).
 - Milanović, M.; Đurić, L.; Milošević, N.; Milić, N. Comprehensive insight into triclosan-from widespread occurrence to health outcomes. Environ. Sci. Pollut. Res. Int. 2021, 6, 1–22. [Google Scholar] [CrossRef] [PubMed]
 - Dhillon, G.S.; Kaur, S.; Pulicharla, R.; Brar, S.; Cledón, M.; Verma, M.; Surampalli, R.Y. Triclosan: Current status, occurrence, environmental risks and bioaccumulation potential. Int J Environ. Res. Publ. Health 2015, 12, 5657–5684. [Google Scholar] [CrossRef] [PubMed]
 - US-EPA. Reregistration Eligibility Decision for Triclosan. Office of Prevention, Pesticides and Toxic Substances (7510P), List B Case No. 2340. United States Environmental Protection Agency. 2008. Available online: https://www3.epa.gov/pesticides/chem_search/reg_actions/reregistration/red_PC-054901_18-Sep-08.pdf (accessed on 9 May 2022).
 - Food and Drug Administration. Safety and effectiveness of consumer antiseptics: Topical antimicrobial drug products for over-the-counter human use. Fed. Regist. 2016, 81, 61106–61130. Available online: https://www.govinfo.gov/content/pkg/FR-2016-09-06/pdf/2016-21337.pdf (accessed on 25 August 2022).
 - Rozman, U.; Pušnik, M.; Kmetec, S.; Duh, D.; Šostar Turk, S. Reduced Susceptibility and Increased Resistance of Bacteria against Disinfectants: A Systematic Review. Microorganisms 2021, 9, 2550. [Google Scholar] [CrossRef]
 - Mohamed, B.A.; Fattah, I.M.R.; Yousaf, B.; Periyasamy, S. Effects of the COVID-19 pandemic on the environment, waste management, and energy sectors: A deeper look into the long-term impacts. Environ. Sci. Pollut. Res. Int. 2022, 29, 46438–46457. [Google Scholar] [CrossRef]
 - Adhikari, S.; Kumar, R.; Driver, E.M.; Perleberg, T.D.; Yanez, A.; Johnston, B.; Halden, R.U. Mass trends of parabens, triclocarban and Triclosan in Arizona wastewater collected after the 2017 FDA ban on antimicrobials and during the COVID-19 pandemic. Water Res. 2022, 222, 118894. [Google Scholar] [CrossRef]
 - Hipwell, A.E.; Kahn, L.G.; Factor-Litvak, P.; Porucznik, C.A.; Siegel, E.L.; Fichorova, R.N.; Hamman, R.F.; Klein-Fedyshin, M.; Harley, K.G. Exposure to non-persistent chemicals in consumer products and fecundability: A systematic review. Hum. Reprod. Update 2019, 25, 51–71. [Google Scholar] [CrossRef]
 - Zamkowska, D.; Karwacka, A.; Jurewicz, J.; Radwan, M. Environmental exposure to non-persistent endocrine disrupting chemicals and semen quality: An overview of the current epidemiological evidence. Int. J. Occup. Med. Environ. Health 2018, 31, 377–414. [Google Scholar] [CrossRef]
 - Haggerty, D.K.; Upson, K.; Pacyga, D.C.; Franko, J.E.; Braun, J.M.; Strakovsky, R.S. REPRODUCTIVE TOXICOLOGY: Pregnancy exposure to endocrine disrupting chemicals: Implications for women′s health. Reproduction 2021, 162, F169–F180. [Google Scholar] [CrossRef]
 - Basini, G.; Bussolati, S.; Bertini, S.; Quintavalla, F.; Grasselli, F. Evaluation of Triclosan Effects on Cultured Swine Luteal Cells. Animals 2021, 11, 606. [Google Scholar] [CrossRef] [PubMed]
 - Bianco, F.; Basini, G.; Grasselli, F. The plant alkaloid Sanguinarine affects swine granulosa cell activity. Reprod. Toxicol. 2006, 21, 335–340. [Google Scholar] [CrossRef] [PubMed]
 - Basini, G.; Bussolati, S.; Baioni, L.; Grasselli, F. Gossypol, a polyphenolic aldehyde from cotton plant, interferes with swine granulosa cell function. Domest. Anim. Endocrinol. 2009, 37, 30–36. [Google Scholar] [CrossRef] [PubMed]
 - Basini, G.; Bussolati, S.; Andriani, L.; Grolli, S.; Ramoni, R.; Bertini, S.; Iemmi, T.; Menozzi, A.; Berni, P.; Grasselli, F. Nanoplastics impair in vitro swine granulosa cell functions. Domest. Anim. Endocrinol. 2021, 76, 106611. [Google Scholar] [CrossRef] [PubMed]
 - Tumbleson, M.E.; Schook, L.B. Advances in Swine in Biomedical Research; Plenum Press: New York, NY, USA, 1996; p. 422. [Google Scholar]
 - Basini, G.; Tamanini, C. Interrelationship between nitric oxide and prostaglandins in bovine granulosa cells. Prostaglandins Other Lipid Mediat. 2001, 66, 179–202. [Google Scholar] [CrossRef] [PubMed]
 - Foxcroft, G.R.; Hunter, M.G. Basic physiology of follicular maturation in the pig. J. Reprod. Fertil. Suppl. 1985, 33, 1–19. [Google Scholar]
 - Basini, G.; Falasconi, I.; Bussolati, S.; Grolli, S.; Di Lecce, R.; Grasselli, F. Swine granulosa cells show tipical endothelial cell characteristics. Reprod. Sci. 2016, 23, 630–637. [Google Scholar] [CrossRef]
 - Basini, G.; Baioni, L.; Bussolati, S.; Grolli, S.; Kramer, L.H.; Wagner, G.F.; Grasselli, F. Expression and localization of stanniocalcin-1 in swine ovary. Gen. Comp. Endocrinol. 2010, 166, 404–408. [Google Scholar] [CrossRef]
 - Basini, G.; Bianchi, F.; Bussolati, S.; Baioni, L.; Ramoni, R.; Grolli, S.; Conti, V.; Grasselli, F. Atrazine disrupts steroidogenesis, VEGF and NO production in swine granulosa cells. Ecotoxicol. Environ. 2012, 85, 59–63. [Google Scholar] [CrossRef]
 - Basini, G.; Baioni, L.; Bussolati, S.; Grasselli, F.; Daquino, C.; Spatafora, C.; Tringali, C. Antiangiogenic properties of an unusual benzo[k,l]xanthene lignan derived from CAPE (caffeic acid phenethyl ester). Invest. New Drugs 2012, 30, 186–190. [Google Scholar] [CrossRef]
 - Chen, W.; Yang, X.; Wang, B.; Wang, L.; Yu, X. The effects and possible mechanisms of triclosan on steroidogenesis in primary rat granulosa cells. Reprod. Toxicol. 2019, 83, 28–37. [Google Scholar] [CrossRef] [PubMed]
 - Basini, G.; Bussolati, S.; Ciccimarra, R.; Grasselli, F. Melatonin potentially acts directly on swine ovary by modulating granulosa cell function and angiogenesis. Reprod. Fertil. Dev. 2017, 29, 2305–2312. [Google Scholar] [CrossRef] [PubMed]
 - Pacentra, A.; Grasselli, F.; Bussolati, S.; Grolli, S.; Di Lecce, R.; Cantoni, A.M.; Basini, G. The effect of pathogen-associated molecular patterns on the swine granulosa cells. Theriogenology 2020, 145, 207–216. [Google Scholar] [CrossRef]
 - Basini, G.; Santini, S.E.; Bussolati, S.; Grasselli, F. The phytoestrogen quercetin impairs steroidogenesis and angiogenesis in swine granulosa cells in vitro. J. Biomed. Biotechnol. 2009, 2009, 419891. [Google Scholar]
 - Dong, Y.L.; Yallampalli, C. Interaction between nitric oxide and prostaglandin E2 pathways in pregnant rat uteri. Am. J. Physiol.-Endocrinol. Metab. 1996, 270, E471–E476. [Google Scholar] [CrossRef] [PubMed]
 - Basini, G.; Simona, B.; Santini, S.E.; Grasselli, F. Reactive oxygen species and anti-oxidant defences in swine follicular fluids. Reprod. Fertil. Dev. 2008, 20, 269–274. [Google Scholar] [CrossRef]
 - Basini, G.; Bussolati, S.; Santini, S.E.; Bianchi, F.; Careri, M.; Mangia, A.; Musci, M.; Grasselli, F. Antiangiogenesis in swine ovarian follicle: A potential role for 2-methoxyestradiol. Steroids 2007, 72, 660–665. [Google Scholar] [CrossRef]
 - Chan, M.; Mita, C.; Bellavia, A.; Parker, M.; James-Todd, T. Racial/Ethnic Disparities in Pregnancy and Prenatal Exposure to Endocrine-Disrupting Chemicals Commonly Used in Personal Care Products. Curr. Environ. Health Rep. 2021, 2, 98–112. [Google Scholar] [CrossRef]
 - Chen, D.; Liu, J.; Yan, W.; Fang, K.; Xia, Y.; Lv, W.; Shi, Z. Associations of Prenatal Exposure to Triclosan and Maternal Thyroid Hormone Levels: A Systematic Review and Meta-Analysis. Front. Endocrinol. 2021, 11, 607055. [Google Scholar] [CrossRef]
 - Karwacka, A.; Zamkowska, D.; Radwan, M.; Jurewicz, J. Exposure to modern, widespread environmental endocrine disrupting chemicals and their effect on the reproductive potential of women: An overview of current epidemiological evidence. Hum. Fertil. 2019, 22, 2–25. [Google Scholar] [CrossRef]
 - Du, Y.; Wang, B.; Cai, Z.; Zhang, H.; Wang, B.; Liang, W.; Zhou, G.; Ouyang, F.; Wang, W. The triclosan-induced shift from aerobic to anaerobic metabolism link to increased steroidogenesis in human ovarian granulosa cells. Ecotoxicol. Environ. Saf. 2021, 220, 112389. [Google Scholar] [CrossRef] [PubMed]
 - Azzouz, A.; Ballesteros, E. Determination of 13 endocrine disrupting chemicals in environmental solid samples using microwave-assisted solvent extraction and continuous solid-phase extraction followed by gas chromatography-mass spectrometry. Anal. Bioanal. Chem. 2016, 408, 231–241. [Google Scholar] [CrossRef] [PubMed]
 - Iyer, A.P.; Xue, J.; Honda, M.; Robinson, M.; Kumosani, T.A.; Abulnaja, K.; Kannan, K. Urinary levels of triclosan and triclocarban in several Asian countries, Greece and the USA: Association with oxidative stress. Environ. Res. 2018, 160, 91–96. [Google Scholar] [CrossRef] [PubMed]
 - Shekhar, S.; Sood, S.; Showkat, S.; Lite, C.; Chandrasekhar, A.; Vairamani, M.; Barathi, S.; Santosh, W. Detection of phenolic endocrine disrupting chemicals (EDCs) from maternal blood plasma and amniotic fuid in Indian population. Gen. Comp. Endocrinol. 2017, 241, 100–107. [Google Scholar] [CrossRef]
 - Shi, Y.; Liu, X.; Zhang, J.; Shao, B. Analysis of triclosan and triclocarban in human nails using isotopic dilution liquid chromatography-tandem mass spectrometry. J. Chromatogr. B Analyt. Technol. Biomed. Life Sci. 2013, 934, 97–101. [Google Scholar] [CrossRef]
 - Cao, X.; Hua, X.; Wang, X.; Chen, L. Exposure of pregnant mice to triclosan impairs placental development and nutrient transport. Sci. Rep. 2017, 7, 44803. [Google Scholar] [CrossRef] [PubMed]
 - Dompe, C.; Kulus, M.; Stefańska, K.; Kranc, W.; Chermuła, B.; Bryl, R.; Pieńkowski, W.; Nawrocki, M.J.; Petitte, J.N.; Stelmach, B.; et al. Human Granulosa Cells-Stemness Properties, Molecular Cross-Talk and Follicular Angiogenesis. Cells 2021, 10, 1396. [Google Scholar] [CrossRef]
 - Medeiros, S.F.; Barbosa, B.B.; Medeiros, M.A.S.; Yamamoto, M.M.W. Morphology and Biochemistry of Ovulation. Rev. Bras. Ginecol. Obstet. 2021, 43, 480–486. [Google Scholar] [CrossRef]
 - Darbre, P.D. Endocrine disrupting chemicals and breast cancer cells. Adv. Pharmacol. 2021, 92, 485–520. [Google Scholar]
 - González-Casanova, J.E.; Pertuz-Cruz, S.L.; Caicedo-Ortega, N.H.; Rojas-Gomez, D.M. Adipogenesis Regulation and Endocrine Disruptors: Emerging Insights in Obesity. Biomed. Res. Int. 2020, 2020, 7453786. [Google Scholar] [CrossRef]
 - Naffaa, V.; Laprévote, O.; Schang, A.L. Effects of endocrine disrupting chemicals on myelin development and diseases. Neurotoxicology 2021, 83, 51–68. [Google Scholar] [CrossRef] [PubMed]
 - Vandenberg, L.N.; Colborn, T.; Hayes, T.B.; Heindel, J.J.; Jacobs, D.R.; Lee, D.H.; Shioda, T.; Soto, A.M.; vom Saal, F.S.; Welshons, W.V.; et al. Hormones and Endocrine-Disrupting Chemicals: Low-Dose Effects and Nonmonotonic Dose Responses. Endocr. Rev. 2012, 33, 378–455. [Google Scholar] [CrossRef] [PubMed]
 - Baufeld, A.; Vanselow, J. A Tissue Culture Model of Estrogen-producing Primary Bovine Granulosa Cells. J. Vis. Exp. 2018, 139, 58208. [Google Scholar] [CrossRef] [PubMed]
 - Grasselli, F.; Ponderato, N.; Basini, G.; Tamanini, C. Nitric oxide synthase expression and nitric oxide/cyclic GMP pathway in swine granulosa cells. Domest. Anim. Endocrinol. 2001, 20, 241–252. [Google Scholar] [CrossRef]
 - Picton, H.M.; Campbell, B.K.; Hunter, M.G. Maintenance of oestradiol production and expression of cytochrome P450 aromatase enzyme mRNA in long-term serum-free cultures of pig granulosa cells. J. Reprod. Fertil. 1999, 115, 67–77. [Google Scholar] [CrossRef]
 - Campbell, B.K.; Scaramuzzi, R.J.; Webb, R. Induction and maintenance of oestradiol and immunoreactive inhibin production with FSH by ovine granulosa cells cultured in serum-free media. J. Reprod. Fertil. 1996, 106, 7–16. [Google Scholar] [CrossRef]
 - Basini, G.; Tamanini, C. Selenium stimulates estradiol production in bovine granulosa cells: Possible involvement of nitric oxide. Domest. Anim. Endocrinol. 2000, 18, 1–17. [Google Scholar] [CrossRef]
 - Panagiotou, E.M.; Ojasalo, V.; Damdimopoulou, P. Phthalates, ovarian function and fertility in adulthood. Best. Pract. Res. Clin. Endocrinol. Metab. 2021, 35, 101552. [Google Scholar] [CrossRef]
 - Quilaqueo, N.; Villegas, J.V. Endocrine disruptor chemicals. A review of their effects on male reproduction and antioxidants as a strategy to counter it. Andrologia 2022, 54, e14302. [Google Scholar] [CrossRef]
 - von Mengden, L.; Klamt, F.; Smitz, J. Redox Biology of Human Cumulus Cells: Basic Concepts, Impact on Oocyte Quality, and Potential Clinical Use. Antioxid. Redox Signal. 2020, 32, 522–535. [Google Scholar] [CrossRef]
 - Basini, G.; Grasselli, F. Nitric oxide in follicle development and oocyte competence. Reproduction 2015, 150, R1–R9. [Google Scholar] [CrossRef] [PubMed]
 




Publisher’s Note: MDPI stays neutral with regard to jurisdictional claims in published maps and institutional affiliations.  | 
© 2022 by the authors. Licensee MDPI, Basel, Switzerland. This article is an open access article distributed under the terms and conditions of the Creative Commons Attribution (CC BY) license (https://creativecommons.org/licenses/by/4.0/).
Share and Cite
Basini, G.; Grasselli, F.; Quintavalla, F.; Bussolati, S.; Andreoli, V.; Carrillo Heredero, A.M.; Bertini, S. Redox Status, Estrogen and Progesterone Production by Swine Granulosa Cells Are Impaired by Triclosan. Animals 2022, 12, 3559. https://doi.org/10.3390/ani12243559
Basini G, Grasselli F, Quintavalla F, Bussolati S, Andreoli V, Carrillo Heredero AM, Bertini S. Redox Status, Estrogen and Progesterone Production by Swine Granulosa Cells Are Impaired by Triclosan. Animals. 2022; 12(24):3559. https://doi.org/10.3390/ani12243559
Chicago/Turabian StyleBasini, Giuseppina, Francesca Grasselli, Fausto Quintavalla, Simona Bussolati, Valentina Andreoli, Alicia Maria Carrillo Heredero, and Simone Bertini. 2022. "Redox Status, Estrogen and Progesterone Production by Swine Granulosa Cells Are Impaired by Triclosan" Animals 12, no. 24: 3559. https://doi.org/10.3390/ani12243559
APA StyleBasini, G., Grasselli, F., Quintavalla, F., Bussolati, S., Andreoli, V., Carrillo Heredero, A. M., & Bertini, S. (2022). Redox Status, Estrogen and Progesterone Production by Swine Granulosa Cells Are Impaired by Triclosan. Animals, 12(24), 3559. https://doi.org/10.3390/ani12243559
        
