Aggression, Boldness, and Exploration Personality Traits in the Subterranean Naked Mole-Rat (Heterocephalus glaber) Disperser Morphs
Abstract
Simple Summary
Abstract
1. Introduction
2. Materials and Methods
2.1. Study Animals
2.2. Personality Assay
2.3. Data Analysis
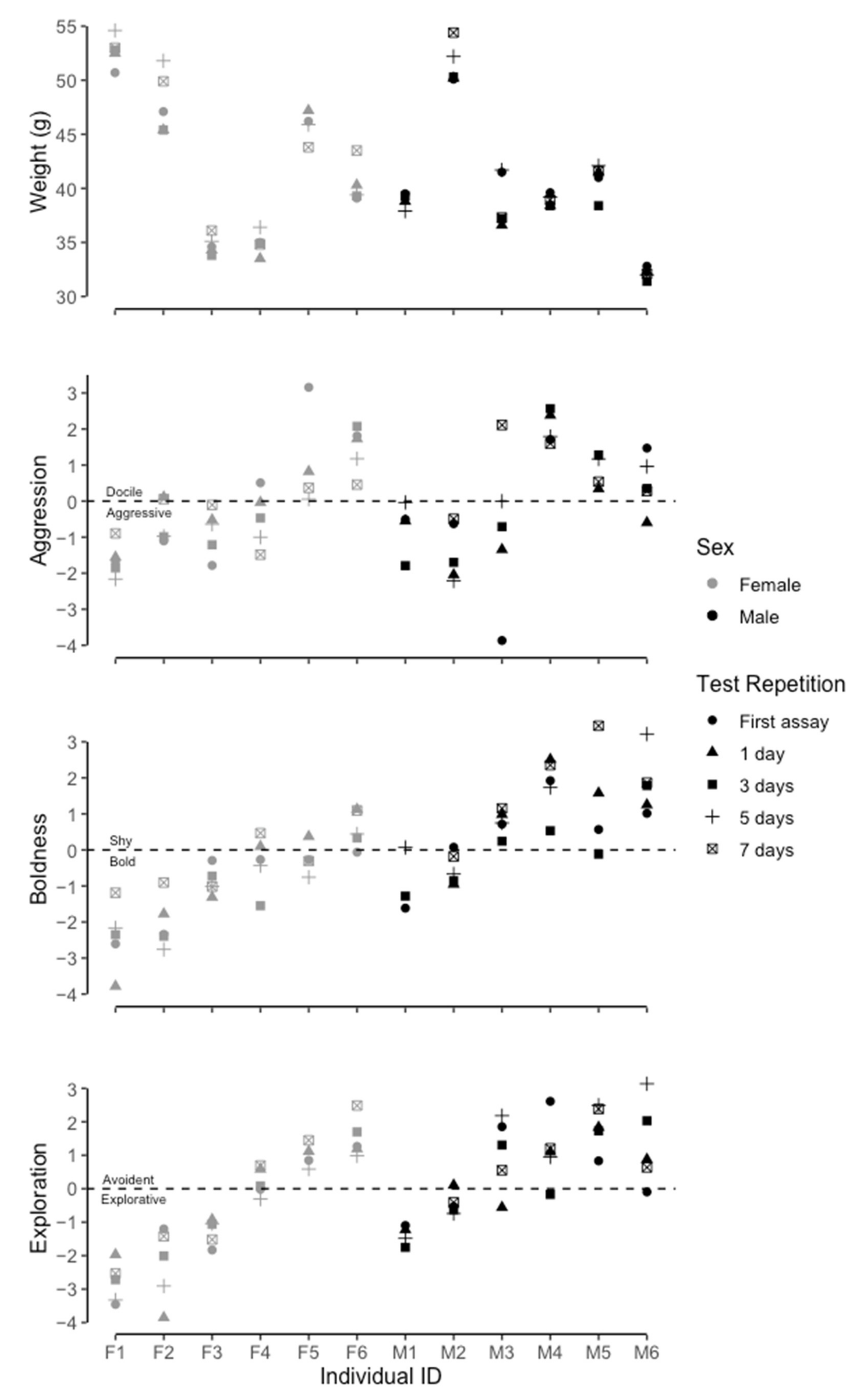
3. Results
3.1. Aggression
3.2. Boldness
3.3. Exploration
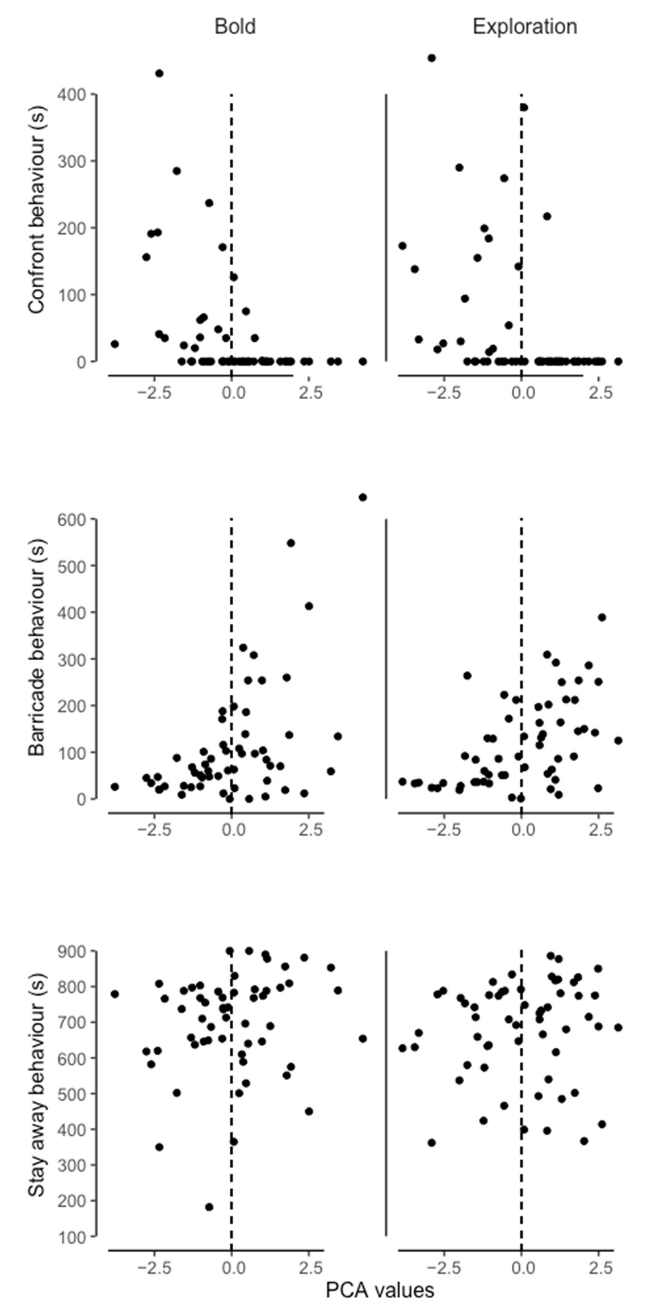
3.4. Behavioral Syndrome
4. Discussion
5. Conclusions
Author Contributions
Funding
Institutional Review Board Statement
Informed Consent Statement
Data Availability Statement
Acknowledgments
Conflicts of Interest
References
- Burns, J.G. The Validity of Three Tests of Temperament in Guppies (Poecilia reticulata). J. Comp. Psychol. 2008, 122, 344. [Google Scholar] [CrossRef] [PubMed]
- Crusio, W.E. Genetic Dissection of Mouse Exploratory Behaviour. Behav. Brain Res. 2001, 125, 127–132. [Google Scholar] [CrossRef]
- Réale, D.; Reader, S.M.; Sol, D.; McDougall, P.T.; Dingemanse, N.J. Integrating Animal Temperament within Ecology and Evolution. Biol. Rev. 2007, 82, 291–318. [Google Scholar] [CrossRef] [PubMed]
- McMahon, E.K.; Youatt, E.; Cavigelli, S.A. A Physiological Profile Approach to Animal Temperament: How to Understand the Functional Significance of Individual Differences in Behaviour. Proc. R. Soc. B 2022, 289, 20212379. [Google Scholar] [CrossRef]
- Gosling, S.D.; John, O.P. Personality Dimensions in Nonhuman Animals: A Cross-Species Review. Curr. Dir. Psychol. Sci. 1999, 8, 69–75. [Google Scholar] [CrossRef]
- Iwanicki, S.; Lehmann, J. Behavioral and Trait Rating Assessments of Personality in Common Marmosets (Callithrix jacchus). J. Comp. Psychol. 2015, 129, 205. [Google Scholar] [CrossRef]
- Johnson, J.C.; Sih, A. Precopulatory Sexual Cannibalism in Fishing Spiders (Dolomedes triton): A Role for Behavioral Syndromes. Behav. Ecol. Sociobiol. 2005, 58, 390–396. [Google Scholar] [CrossRef]
- Dingemanse, N.J.; Both, C.; Drent, P.J.; Tinbergen, J.M. Fitness Consequences of Avian Personalities in a Fluctuating Environment. Proc. R. Soc. London Ser. B Biol. Sci. 2004, 271, 847–852. [Google Scholar] [CrossRef]
- Carlson, B.E.; Langkilde, T. Personality Traits Are Expressed in Bullfrog Tadpoles during Open-Field Trials. J. Herpetol. 2013, 47, 378–383. [Google Scholar] [CrossRef]
- Clobert, J.; Oppliger, A.; Sorci, G.; Ernande, B.; Swallow, J.G.; Garland, T., Jr. Trade-Offs in Phenotypic Traits: Endurance at Birth, Growth, Survival, Predation and Susceptibility to Parasitism in a Lizard, Lacerta vivipara. Funct. Ecol. 2000, 14, 675–684. [Google Scholar] [CrossRef]
- Mondal, M.; Rajkhowa, C.; Prakash, B.S. Relationship between Plasma Growth Hormone Concentrations and Temperament in Mithuns (Bos frontalis). Horm. Behav. 2006, 49, 190–196. [Google Scholar] [CrossRef]
- Masilkova, M.; Boukal, D.; Ash, H.; Buchanan-Smith, H.M.; Konečná, M. Linking Personality Traits and Reproductive Success in Common Marmoset (Callithrix jacchus). Sci. Rep. 2022, 12, 13341. [Google Scholar] [CrossRef]
- Freeman, H.D.; Gosling, S.D. Personality in Nonhuman Primates: A Review and Evaluation of Past Research. Am. J. Primatol. 2010, 72, 653–671. [Google Scholar] [CrossRef]
- Mirkó, E.; Dóka, A.; Miklósi, Á. Association between Subjective Rating and Behaviour Coding and the Role of Experience in Making Video Assessments on the Personality of the Domestic Dog (Canis familiaris). Appl. Anim. Behav. Sci. 2013, 149, 45–54. [Google Scholar] [CrossRef]
- Sih, A.; Bell, A.M.; Johnson, J.C.; Ziemba, R.E. Behavioral Syndromes: An Integrative Overview. Q. Rev. Biol. 2004, 79, 241–277. [Google Scholar] [CrossRef]
- Carter, A.J.; Feeney, W.E.; Marshall, H.H.; Cowlishaw, G.; Heinsohn, R. Animal Personality: What Are Behavioural Ecologists Measuring? Biol. Rev. 2013, 88, 465–475. [Google Scholar] [CrossRef]
- Perals, D.; Griffin, A.S.; Bartomeus, I.; Sol, D. Revisiting the Open-Field Test: What Does It Really Tell Us about Animal Personality? Anim. Behav. 2017, 123, 69–79. [Google Scholar] [CrossRef]
- Webster, M.M.; Ward, A.J.W. Personality and Social Context. Biol. Rev. 2011, 86, 759–773. [Google Scholar] [CrossRef]
- Koolhaas, J.M.; Korte, S.M.; De Boer, S.F.; Van Der Vegt, B.J.; Van Reenen, C.G.; Hopster, H.; De Jong, I.C.; Ruis, M.A.W.; Blokhuis, H.J. Coping Styles in Animals: Current Status in Behavior and Stress-Physiology. Neurosci. Biobehav. Rev. 1999, 23, 925–935. [Google Scholar] [CrossRef]
- Rüppell, E. Säugethiere Aus Der Ordnung Der Nager, Beobachtet Im Nordöstlichen Africa; Deutsche Nationalbibliothek: Frankfurt am Main, Germany, 1842. [Google Scholar]
- Bennett, N.C.; Faulkes, C.G. African Mole-Rats: Ecology and Eusociality; Cambridge University Press: Cambridge, UK, 2000. [Google Scholar]
- Jarvis, J.U. Eusociality in a Mammal: Cooperative Breeding in Naked Mole-Rat Colonies. Science 1981, 212, 571–573. [Google Scholar] [CrossRef]
- Bennett, N.C.; Jarvis, J.U.M. The Social Structure and Reproductive Biology of Colonies of the Mole-Rat, Cryptomys Damarensis (Rodentia, Bathyergidae). J. Mammal. 1988, 69, 293–302. [Google Scholar] [CrossRef]
- Wilson, E. The Insect Societies; Belknap Press, Harvard University Press: Cambridge, MA, USA, 1975; Volume 10, p. 548. [Google Scholar]
- Sherman, P.W.; Lacey, E.A.; Reeve, H.K.; Keller, L. The Eusociality Continuum. Behav. Ecol. 1995, 6, 102–108. [Google Scholar] [CrossRef]
- Burda, H.; Honeycutt, R.L.; Begall, S.; Locker-Grütjen, O.; Scharff, A. Are Naked and Common Mole-Rats Eusocial and If so, Why? Behav. Ecol. Sociobiol. 2000, 47, 293–303. [Google Scholar] [CrossRef]
- Faulkes, C.G.; Abbott, D.H.; Jarvis, J.U.M. Social Suppression of Ovarian Cyclicity in Captive and Wild Colonies of Naked Mole-Rats, Heterocephalus glaber. Reproduction 1990, 88, 559–568. [Google Scholar] [CrossRef] [PubMed]
- Faulkes, C.G.; Abbott, D.H.; Jarvis, J.U.M. Social Suppression of Reproduction in Male Naked Mole-Rats, Heterocephalus glaber. Reproduction 1991, 91, 593–604. [Google Scholar] [CrossRef] [PubMed]
- Medger, K.; Bennett, N.C.; Ganswindt, S.B.; Ganswindt, A.; Hart, D.W. Changes in Prolactin, Cortisol and Testosterone Concentrations during Queen Succession in a Colony of Naked Mole-Rats (Heterocephalus glaber): A Case Study. Sci. Nat. 2019, 106, 26. [Google Scholar] [CrossRef]
- Reeve, H.; Sherman, P.; Reeve, H.K.; Sherman, P.W. Intracolonial Aggression and Nepotism by the Breeding Female Naked Mole-Rat. In The Biology of the Naked Mole-Rat; Sherman, P.W., Jarvis, J.U.M., Alexander, R.D., Eds.; Princeton University Press: Princeton, NJ, USA, 1991; pp. 337–357. [Google Scholar]
- Siegmann, S.; Feitsch, R.; Hart, D.W.; Bennett, N.C.; Penn, D.J.; Zöttl, M. Naked Mole-rats (Heterocephalus glaber) Do Not Specialise in Cooperative Tasks. Ethology 2021, 127, 850–864. [Google Scholar] [CrossRef]
- O’Riain, M.J.; Jarvis, J.U.M.; Faulkes, C.G. A Dispersive Morph in the Naked Mole-Rat. Nature 1996, 380, 619–621. [Google Scholar] [CrossRef]
- Toor, I.; Edwards, P.D.; Kaka, N.; Whitney, R.; Ziolkowski, J.; Monks, D.A.; Holmes, M.M. Aggression and Motivation to Disperse in Eusocial Naked Mole-Rats, Heterocephalus glaber. Anim. Behav. 2020, 168, 45–58. [Google Scholar] [CrossRef]
- Clarke, F.M.; Faulkes, C.G. Intracolony Aggression in the Eusocial Naked Mole-Rat, Heterocephalus glaber. Anim. Behav. 2001, 61, 311–324. [Google Scholar] [CrossRef]
- Lacey, E.; Alexandra, R.D.; Braude, S.H.; Sherman, P.W.; Jarvis, J.U.M. An Ethogram for the Naked Mole-Rat: Nonvocal Behaviors. In The Biology of the Naked Mole-Rat; Sherman, P., Jarvis, J., Alexander, R., Eds.; Princeton University Press: Princeton, NJ, USA, 1991; pp. 209–242. [Google Scholar]
- Holmes, M.M.; Goldman, B.D. Social Behavior in Naked Mole-Rats: Individual Differences in Phenotype and Proximate Mechanisms of Mammalian Eusociality. In The Extraordinary Biology of the Naked Mole-Rat; Springer: Berlin, Germany, 2021; pp. 35–58. [Google Scholar]
- O’Riain, M.J.; Jarvis, J.U.M. Colony Member Recognition and Xenophobia in the Naked Mole-Rat. Anim. Behav. 1997, 53, 487–498. [Google Scholar] [CrossRef]
- Toor, I.; Maynard, R.; Peng, X.; Beery, A.K.; Holmes, M.M. Naked Mole-Rat Social Phenotypes Vary in Investigative and Aggressive Behavior in a Laboratory Partner Preference Paradigm. Front. Ecol. Evol. 2022, 10, 379. [Google Scholar] [CrossRef]
- Team, R.C. R: A Language and Environment for Statistical Computing; R Foundation for Statistical Computing: Vienna, Austria, 2015; ISBN 3-900051-07-0. Available online: https://www.R-project.org/ (accessed on 23 June 2022).
- Bates, D.; Maechler, M.; Bolker, B.; Walker, S. Fitting Linear Mixed-Effects Models Using Lme4. J. Stat. Softw. 2015, 67, 1–48. [Google Scholar] [CrossRef]
- Hadfield, J. MCMC Methods for Multi-Response Generalized Linear Mixed Models: The MCMCglmm R Package. J. Stat. Softw. 2010, 33, 1–22. [Google Scholar] [CrossRef]
- Barker, A.J.; Veviurko, G.; Bennett, N.C.; Hart, D.W.; Mograby, L.; Lewin, G.R. Cultural Transmission of Vocal Dialect in the Naked Mole-Rat. Science 2021, 371, 503–507. [Google Scholar] [CrossRef]
- Braude, S.; Hess, J.; Ingram, C. Inter-Colony Invasion between Wild Naked Mole-Rat Colonies. J. Zool. 2021, 313, 37–42. [Google Scholar] [CrossRef]
- Toor, I.; Faykoo-Martinez, M.; Edwards, P.D.; Boonstra, R.; Holmes, M.M. Hormones Do Not Maketh the Mole-Rat: No Steroid Hormone Signatures of Subordinate Behavioral Phenotypes. Horm. Behav. 2022, 145, 105236. [Google Scholar] [CrossRef]
- Goodchild, C.G.; Schmidt, L.M.; DuRant, S.E. Evidence for the ‘Behavioural Character’Hypothesis: Does Boldness Programme Disparate Antipredator Strategies? Anim. Behav. 2020, 164, 123–132. [Google Scholar] [CrossRef]
- Colléter, M.; Brown, C. Personality Traits Predict Hierarchy Rank in Male Rainbowfish Social Groups. Anim. Behav. 2011, 81, 1231–1237. [Google Scholar] [CrossRef]
- Blaszczyk, M.B. Boldness towards Novel Objects Predicts Predator Inspection in Wild Vervet Monkeys. Anim. Behav. 2017, 123, 91–100. [Google Scholar] [CrossRef]
- Buffenstein, R.; Amoroso, V.; Andziak, B.; Avdieiev, S.; Azpurua, J.; Barker, A.J.; Bennett, N.C.; Brieño-Enriquez, M.A.; Bronner, G.N.; Coen, C.; et al. The Naked Truth: A Comprehensive Clarification and Classification of Current ‘Myths’ in Naked Mole-Rat Biology. Biol. Rev. 2022, 97, 115–140. [Google Scholar] [CrossRef] [PubMed]
- Brachetta, V.; Schleich, C.E.; Zenuto, R.R. Source Odor, Intensity, and Exposure Pattern Affect Antipredatory Responses in the Subterranean Rodent Ctenomys talarum. Ethology 2016, 122, 923–936. [Google Scholar] [CrossRef]
- Šklíba, J.; Šumbera, R.; Chitaukali, W.N. Reactions to Disturbances in the Context of Antipredatory Behaviour in a Solitary Subterranean Rodent. J. Ethol. 2008, 26, 249–254. [Google Scholar] [CrossRef]
- Begall, S.; Bottermann, L.; Caspar, K.R. Self-Domestication Underground? Testing for Social and Morphological Correlates of Animal Personality in Cooperatively-Breeding Ansell’s Mole-Rats (Fukomys anselli). Front. Ecol. Evol. 2022, 10, 364. [Google Scholar] [CrossRef]
- Edwards, P.D.; Mooney, S.J.; Bosson, C.O.; Toor, I.; Palme, R.; Holmes, M.M.; Boonstra, R. The Stress of Being Alone: Removal from the Colony, but Not Social Subordination, Increases Fecal Cortisol Metabolite Levels in Eusocial Naked Mole-Rats. Horm. Behav. 2020, 121, 104720. [Google Scholar] [CrossRef]
- Blecher, A.S.; Bennett, N.C.; Medger, K.; Hagenah, N.; Ganswindt, A.; Oosthuizen, M.K. Effect of Colony Disruption and Social Isolation on Naked Mole-Rat Endocrine Correlates. Gen. Comp. Endocrinol. 2020, 295, 113520. [Google Scholar] [CrossRef]
- Scharf, I.; Stoldt, M.; Libbrecht, R.; Höpfner, A.L.; Jongepier, E.; Kever, M.; Foitzik, S. Social Isolation Causes Downregulation of Immune and Stress Response Genes and Behavioural Changes in a Social Insect. Mol. Ecol. 2021, 30, 2378–2389. [Google Scholar] [CrossRef]
- Grippo, A.J.; Wu, K.D.; Hassan, I.; Carter, C.S. Social Isolation in Prairie Voles Induces Behaviors Relevant to Negative Affect: Toward the Development of a Rodent Model Focused on Co-Occurring Depression and Anxiety. Depress. Anxiety 2008, 25, E17–E26. [Google Scholar] [CrossRef]




| Title | Description |
|---|---|
| Climbing * | The subject stands on its hind legs and uses its forefeet alternately to scratch the walls of the pod. |
| Crouch advancing * | Crouching—The subject stands in a hunched posture, with extremities held under the body (individuals often shiver while crouching). |
| Crouch advancing—The subject slowly moves forward a few steps with its legs bent and its body held close to the substrate; the subject pauses, and then moves forward again (usually accompanied by sniffing). | |
| Darting | Rapidly jumps a short distance (one or two body lengths) forward. |
| Defaecating | The subject expels feces, and usually does anal sniffing before expelling feces |
| Digging | Combination of foreleg digging, nose shoveling and/or sweeping behaviors on a specific area |
| Foreleg digging—One foreleg is brought forward, and the foot is scraped along a surface then returned to a position under the body. Action is repeated rapidly using alternate forelegs. Often occurs in succession with gnawing. | |
| Nose shoveling—The subject buries its entire nose and part of face in sawdust and pushes the saw dust away with face. | |
| Sweeping—Subject kicks loose items behind itself while moving backward | |
| Entrance | The subject enters the pods or tunnel when both fore and hind legs are in the pod/tunnel |
| Fall | The subject falls on back and struggles to get back on feet |
| Freezing * | The subject suddenly ceases all activity, holding itself in the same position it had been in at the time of the disturbance/encounter |
| Gnawing * | The subject’s incisors are scraped along a surface of an object (wire mesh in Aggression test) |
| Grooming | The subject wipes/scratches the face, flank, or underarm with feet. |
| Anal sniffing—The subject doubles over so that it is sitting on its hindquarters with its mouth and nose in contact with its anus. | |
| Ignore | The subject moves near or past the stimulus object without displaying any behavioral response to the object |
| Mouth carrying | The subject holds an item between the incisors and lifts it off the tunnel floor carrying it whilst moving forward or backwards. |
| Nibbling | The subject holds food item with both forepaws and consumes small portions of food using the tongue and incisors. |
| Auto coprophagy -The subject consumes its own feces. | |
| Peeking * | Subject inserts head whilst sniffing only into tunnel or pod before entrance or retreat. |
| Reclining | The subject lies motionless on its side, back, or stomach with eyes closed. |
| Retreat * | Abrupt movement backward in response to a disturbance/novel encounter. This could take place after freezing or movement |
| Rotation * | The subject moves along the edges of an open space (pod) alternating between clockwise and anticlockwise whilst sniffing. |
| Rubbing | The subject presses its body against the walls of the tunnel or pod whilst moving forward or backwards. |
| Shivering | The subject rapidly shakes or quivers its body and extremities |
| Sniffing | Sharp and distinct nose movements whilst slowly nodding head on or close to an object |
| Travelling | General movement from one point to another |
| Turn around—The subject reverses the direction of movement either by completing a forward somersault followed by a 180° twist or completing a turn. | |
| Urinating | A subject excretes, usually with hind legs splayed and scratching immediately after. |
| Vocalization | The subject vocalizes in response to the stimulus |
| Behavior | Exploration Test | Boldness Test | Boldness Validation Test | Aggression Test |
|---|---|---|---|---|
| Climbing | −0.395 | −0.444 | −0.407 | −0.038 |
| Gnawing | 0.135 | 0.071 | 0.053 | −0.444 |
| Rotation | −0.463 | −0.477 | −0.456 | 0.029 |
| Speed | −0.384 | −0.381 | −0.267 | −0.370 |
| Crouch advancing | 0.501 | 0.563 | 0.534 | 0.545 |
| Peeking | 0.250 | 0.282 | 0.151 | 0.478 |
| Freezing | 0.218 | 0.131 | 0.436 | 0.181 |
| Retreat | 0.321 | 0.110 | 0.234 | −0.323 |
| Standard deviation | 1.677 | 1.471 | 1.608 | 1.507 |
| Proportion of Variance | 0.351 | 0.271 | 0.323 | 0.284 |
| Anti-Predator Strategy | Description |
|---|---|
| Confront | Subject enters novel pod and sniffs and/or gnaws at snakeskin or gate blocking conspecific |
| Barricade | Subject blocks entrance into the tunnel from the novel pod by peeking for a long period of time without entering the novel pod or digs in the acclimation-novel tunnel |
| Stay away | Subject avoids novel pod and/or acclimation-novel pod tunnel |
Publisher’s Note: MDPI stays neutral with regard to jurisdictional claims in published maps and institutional affiliations. |
© 2022 by the authors. Licensee MDPI, Basel, Switzerland. This article is an open access article distributed under the terms and conditions of the Creative Commons Attribution (CC BY) license (https://creativecommons.org/licenses/by/4.0/).
Share and Cite
Majelantle, T.L.; Ganswindt, A.; Pirk, C.W.W.; Bennett, N.C.; Hart, D.W. Aggression, Boldness, and Exploration Personality Traits in the Subterranean Naked Mole-Rat (Heterocephalus glaber) Disperser Morphs. Animals 2022, 12, 3083. https://doi.org/10.3390/ani12223083
Majelantle TL, Ganswindt A, Pirk CWW, Bennett NC, Hart DW. Aggression, Boldness, and Exploration Personality Traits in the Subterranean Naked Mole-Rat (Heterocephalus glaber) Disperser Morphs. Animals. 2022; 12(22):3083. https://doi.org/10.3390/ani12223083
Chicago/Turabian StyleMajelantle, Tshepiso Lesedi, Andre Ganswindt, Christian Walter Werner Pirk, Nigel Charles Bennett, and Daniel William Hart. 2022. "Aggression, Boldness, and Exploration Personality Traits in the Subterranean Naked Mole-Rat (Heterocephalus glaber) Disperser Morphs" Animals 12, no. 22: 3083. https://doi.org/10.3390/ani12223083
APA StyleMajelantle, T. L., Ganswindt, A., Pirk, C. W. W., Bennett, N. C., & Hart, D. W. (2022). Aggression, Boldness, and Exploration Personality Traits in the Subterranean Naked Mole-Rat (Heterocephalus glaber) Disperser Morphs. Animals, 12(22), 3083. https://doi.org/10.3390/ani12223083

