The Impact of Thyme and Oregano Essential Oils Dietary Supplementation on Broiler Health, Growth Performance, and Prevalence of Growth-Related Breast Muscle Abnormalities
Abstract
Simple Summary
Abstract
1. Introduction
2. Materials and Methods
2.1. Experimental Design
2.2. Breast Weights
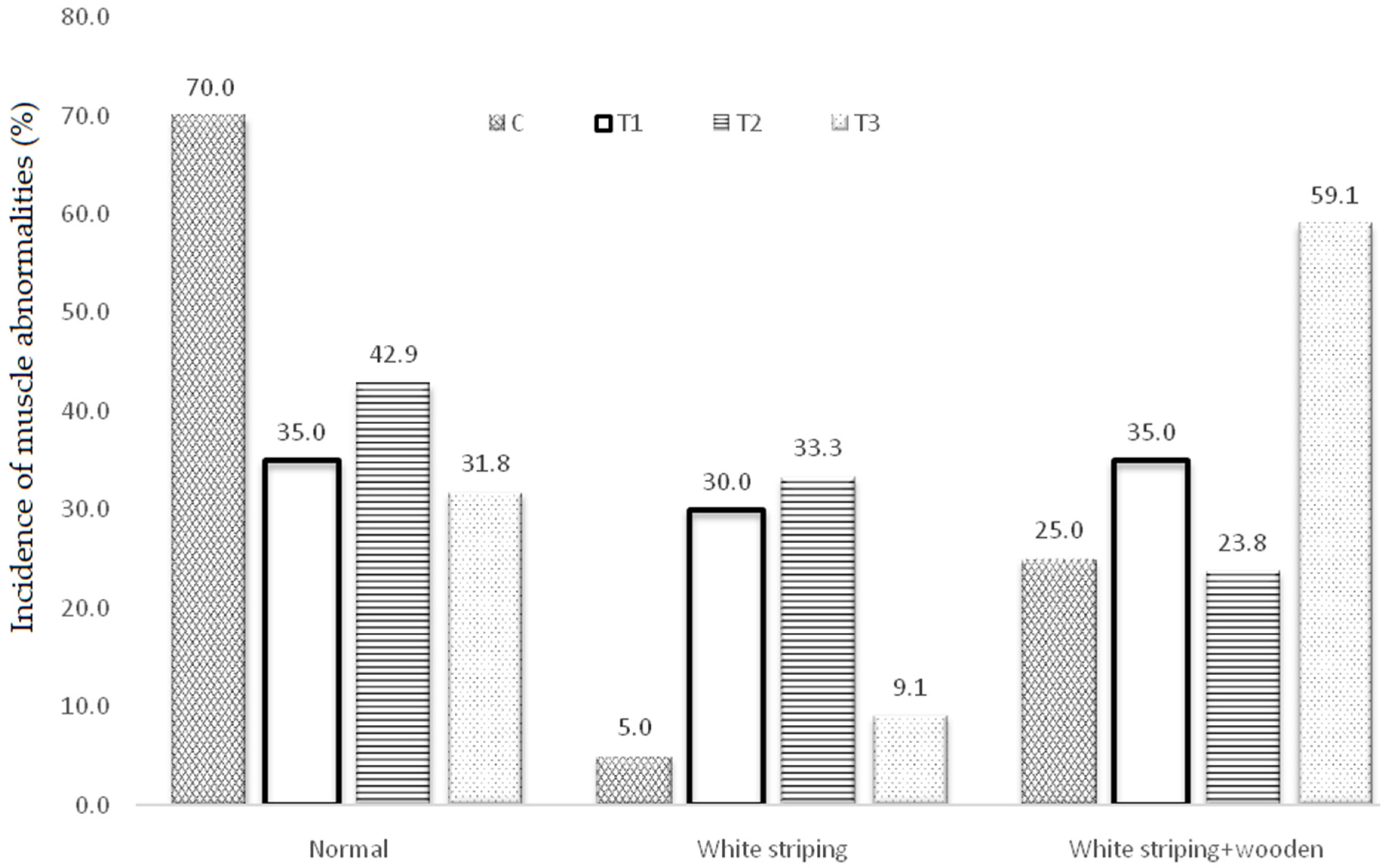
2.3. Assessment of Incidence of Growth-Related Breast Muscle Abnormalities
2.4. Newcastle Disease Vaccine Response
2.5. Hemagglutination Inhibition (HI)
2.6. ELISA Interferon Assay
2.7. Statistical Analysis
3. Results
4. Discussion
5. Conclusions
Author Contributions
Funding
Institutional Review Board Statement
Informed Consent Statement
Data Availability Statement
Conflicts of Interest
References
- Supchukun, K.; Yata, T.; Israsena Na Ayudhya, P.; Angkanaporn, K. Key Success Factors for the Development of Innovative Antibiotic Replacement Products to Accelerate Growth in Broilers. Sustainability 2022, 14, 10459. [Google Scholar] [CrossRef]
- Puvača, N.; Tufarelli, V.; Giannenas, I. Essential Oils in Broiler Chicken Production, Immunity and Meat Quality: Review of Thymus vulgaris, Origanum vulgare, and Rosmarinus officinalis. Agriculture 2022, 12, 874. [Google Scholar] [CrossRef]
- Nazzaro, F.; Fratianni, F.; De Martino, L.; Coppola, R.; De Feo, V. Effect of essential oils on pathogenic bacteria. Pharmaceuticals 2013, 6, 1451–1474. [Google Scholar] [CrossRef]
- Abo Omar, J.; Zaazaa, A. Performance and Carcass Characteristics of Rabbits Fed Oil Supplemented Diets. J. Sci. Technol. 2016, 13, 93–100. [Google Scholar]
- Alagawany, M.; Abd El-Hack, M.; Farag, M.; Shaheen, H.; Abdel-Latif, M.; Noreldin, A.; Patra, A. The usefulness of oregano and its derivatives in poultry nutrition. Worlds Poult Sci. J. 2018, 74, 463–474. [Google Scholar] [CrossRef]
- Demir, E.; Kilinc, K.; Yildirim, Y.; Dincer, F.; Eseceli, H. Comparative effects of mint, sage, thyme and flavomycin in wheat-based broiler diets. Arch. Zootech. 2008, 11, 54–63. [Google Scholar]
- Vlaicu, P.A.; Untea, A.E.; Turcu, R.P.; Saracila, M.; Panaite, T.D.; Cornescu, G.M. Nutritional Composition and Bioactive Compounds of Basil, Thyme and Sage Plant Additives and Their Functionality on Broiler Thigh Meat Quality. Foods 2022, 11, 1105. [Google Scholar] [CrossRef]
- Wade, M.; Manwar, S.; Kuralkar, S.; Waghmare, S.; Ingle, V.; Hajare, S. Effect of thyme essential oil on performance of broiler chicken. J. Entomol. Zool. Stud. 2018, 6, 25–28. [Google Scholar]
- Jin, X.; Huang, G.; Luo, Z.; Hu, Y.; Liu, D. Oregano (Origanum vulgare L.) Essential Oil Feed Supplement Protected Broilers Chickens against Clostridium perfringens Induced Necrotic Enteritis. Agriculture 2022, 12, 18. [Google Scholar] [CrossRef]
- Attia, Y.; Bakhashwain, A.; Bertu, N. Utilisation of thyme powder (Thyme vulgaris L.) as a growth promoter alternative to antibiotics for broiler chickens raised in a hot climate. Eur. Poult. Sci. 2018, 82, 238. [Google Scholar]
- Mathlouthi, N.; Bouzaienne, T.; Oueslati, I.; Recoquillay, F.; Hamdi, M.; Urdaci, M.; Bergaoui, R. Use of rosemary, oregano, and a commercial blend of essential oils in broiler chickens: In vitro antimicrobial activities and effects on growth performance. J. Anim. Sci. 2012, 90, 813–823. [Google Scholar] [CrossRef] [PubMed]
- Peng, Q.; Li, J.; Li, Z.; Duan, Z.; Wu, Y. Effects of dietary supplementation with oregano essential oil on growth performance, carcass traits and jejunal morphology in broiler chickens. Anim. Feed Sci. Technol. 2016, 214, 148–153. [Google Scholar] [CrossRef]
- Alp, M.; Midilli, M.; Kocabağlı, N.; Yılmaz, H.; Turan, N.; Gargılı, A.; Acar, N. The effects of dietary oregano essential oil on live performance, carcass yield, serum immunoglobulin G level, and oocyst count in broilers. J. Appl. Poult. Res. 2012, 21, 630–636. [Google Scholar] [CrossRef]
- Koiyama, N.T.G.; Rosa, A.P.; Padilha, M.T.S.; Boemo, L.S.; Scher, A.; Melo Amd, S.; Fernandes, M.O. Desempenho e rendimento de carcaça de frangos de corte alimentados com mistura de aditivos fitogênicos na dieta. Pesqui. Agropecu. Bras. 2014, 49, 225–231. [Google Scholar] [CrossRef][Green Version]
- Zeng, Z.; Zhangm, S.; Wang, H.; Piao, X. Essential oil and aromatic plants as feed additives in non-ruminant nutrition: A review. J. Anim. Sci. Biotechnol. 2015, 6, 7. [Google Scholar] [CrossRef] [PubMed]
- Amouei, H.; Ferronato, G.; Qotbi, A.A.A.; Bouyeh, M.; Dunne, P.G.; Prandini, A.; Seidavi, A. Effect of Essential Oil of Thyme (Thymus vulgaris L.) or Increasing Levels of a Commercial Prebiotic (TechnoMOS®) on Growth Performance and Carcass Characteristics of Male Broilers. Animals 2021, 11, 3330. [Google Scholar] [CrossRef]
- Eler, G.; Gomes, A.; Trindade, B.; Almeida, L.; Dilelis, F.; Cardoso, V.; Lima, C. Oregano essential oil in the diet of broilers: Performance, carcass characteristics, and blood parameters. S. Afr. J. Anim. Sci. 2019, 49, 753–762. [Google Scholar] [CrossRef]
- Petracci, M.; Soglia, F.; Berri, C. Muscle Metabolism and Meat Quality Abnormalities, in Poultry Quality Evaluation; Petracci, M., Berri, C., Eds.; Woodhead Publishing: Sawston, UK, 2017; pp. 51–75. [Google Scholar]
- Soglia, F.; Laghi, L.; Canonico, L.; Cavani, C.; Petracci, M. Functional property issues in broiler breast meat related to emerging muscle abnormalities. Food Res. Int. 2016, 89, 1071–1076. [Google Scholar] [CrossRef]
- Tijare, V.V.; Yang, F.L.; Kuttappan, V.A.; Alvarado, C.Z.; Coon, C.N.; Owens, C.M. Meat quality of broiler breast fillets with white striping and woody breast muscle myopathies. Poult. Sci. 2016, 95, 2167–2173. [Google Scholar] [CrossRef]
- Mudalal, S.; Zaid, A.; Abu-Khalaf, N.; Petracci, M. Predicting the quality traits of white striped turkey breast by visible/near infra-red spectroscopy and multivariate data analysis. Ital. J. Anim. Sci. 2020, 19, 676–686. [Google Scholar] [CrossRef]
- Zaid, A.; Abu-Khalaf, N.; Mudalal, S.; Petracci, M. Differentiation between Normal and White Striped Turkey Breasts by Visible/Near Infrared Spectroscopy and Multivariate Data Analysis. Food Sci. Anim. Resour. 2020, 40, 96–105. [Google Scholar] [CrossRef] [PubMed]
- Mudalal, S.; Zaazaa, A. Influence of Slaughter Age on the Occurrence and Quality Characteristics of White Striping and Wooden Muscle Abnormalities. Food Sci. Anim. Resour. 2022, 42, 455–466. [Google Scholar] [CrossRef] [PubMed]
- Soglia, F.; Mazzoni, M.; Petracci, M. Spotlight on avian pathology: Current growth-related breast meat abnormalities in broilers. Avian Pathol. 2019, 48, 1–3. [Google Scholar] [CrossRef] [PubMed]
- Petracci, M.; Mudalal, S.; Bonfiglio, A.; Cavani, C. Occurrence of white striping under commercial conditions and its impact on breast meat quality in broiler chickens. Poult. Sci. 2013, 92, 1670–1675. [Google Scholar] [CrossRef]
- Kuttappan, V.A.; Huff, G.R.; Huff, W.E.; Hargis, B.M.; Apple, J.K.; Coon, C.; Owens, C.M. Comparison of hematologic and serologic profiles of broiler birds with normal and severe degrees of white striping in breast fillets. Poult. Sci. 2013, 92, 339–345. [Google Scholar] [CrossRef] [PubMed]
- Kuttappan, V.A.; Brewer, V.B.; Apple, J.K.; Waldroup, P.W.; Owens, C.M. Influence of growth rate on the occurrence of white striping in broiler breast fillets. Poult. Sci. 2012, 91, 2677–2685. [Google Scholar] [CrossRef]
- Trocino, A.; Piccirillo, A.; Birolo, M.; Radaelli, G.; Bertotto, D.; Filiou, E.; Petracci, M.; Xiccato, G. Effect of genotype, gender and feed restriction on growth, meat quality and the occurrence of white striping and wooden breast in broiler chickens. Poult. Sci. 2015, 94, 2996–3004. [Google Scholar] [CrossRef]
- Mudalal, S.; Zaazaa, A.; Omar, J.A. Effects of Medicinal Plants Extract with Antibiotic Free Diets on Broilers Growth Performance and Incidence of Muscles Abnormalities. Braz. J. Poult. Sci. 2021, 23, 1–8. [Google Scholar] [CrossRef]
- Rahimi, S.; Teymori Zadeh, Z.; Torshizi, K.; Omidbaigi, R.; Rokni, H. Effect of the three herbal extracts on growth performance, immune system, blood factors and intestinal selected bacterial population in broiler chickens. J. Agric. Sci. Technol. 2011, 13, 527–539. [Google Scholar]
- Biswas, A.; Chatli, M.; Jairath, G. Natural Antioxidants. In Natural Antioxidants in Poultry Products, 1st ed.; Apple Academic Press: New York, NY, USA, 2017; pp. 185–222. [Google Scholar]
- Bedoya-Serna, C.M.; Dacanal, G.C.; Fernandes, A.M.; Pinho, S.C. Antifungal activity of nanoemulsions encapsulating oregano (Origanum vulgare) essential oil: In vitro study and application in Minas Padrao cheese. Braz. J. Microbiol. 2018, 49, 929–935. [Google Scholar] [CrossRef]
- Alexander, D.J. Newcastle disease and other avian paramyxoviruses. Rev. Sci. Tech. 2000, 19, 443–462. [Google Scholar] [CrossRef] [PubMed]
- Sharif, A.; Ahmad, T.; Umer, M.; Rehman, A.; Hussain, Z. Prevention and control of Newcastle disease. Int. J. Agric. Innov. Res. 2014, 3, 454–460. [Google Scholar]
- Helal, M.S.; Youssef, F.M.; Moursi, M.K.; Khalil, W.F.; Abdel-Daim, M.M. Effectiveness of prebiotic as an alternative to the antimicrobial growth promoter on growth performance, blood constituents, intestinal healthiness and immunity of broilers. Alex. J. Vet. Sci. 2015, 45, 13–25. [Google Scholar] [CrossRef]
- Sihvo, H.K.; Immonen, K.; Puolanne, E. Myodegeneration with fibrosis and regeneration in the pectoralis major muscle of broilers. Vet. Pathol. 2014, 51, 619–623. [Google Scholar] [CrossRef]
- Allan, W.; Gough, R.A. Standard haemagglutination inhibition test for Newcastle disease. A comparison of macro and micro methods. Vet. Rec. 1974, 95, 120–123. [Google Scholar] [PubMed]
- El-Ghousein, S.S.; Al-Beitawi, N.A. The effect of feeding of crushed thyme (Thymus valgaris L) on growth, blood constituents, gastrointestinal tract and carcass characteristics of broiler chickens. Poult. Sci. J. 2009, 46, 100–104. [Google Scholar] [CrossRef]
- Saleh, N.; Allam, T.; El-Latif, A.; Ghazy, E. The effects of dietary supplementation of different levels of thyme (Thymus vulgaris) and ginger (Zingiber officinale) essential oils on performance, hematological, biochemical and immunological parameters of broiler chickens. Glob. Vet. 2014, 12, 736–744. [Google Scholar]
- Cruz, R.F.; Vieira, S.L.; Kindlein, L.; Kipper, M.; Cemin, H.S.; Rauber, S.M. Occurrence of white striping and wooden breast in broilers fed grower and finisher diets with increasing lysine levels. Poult. Sci. 2017, 96, 501–510. [Google Scholar] [CrossRef]
- Mudalal, S. Incidence of White Striping and Its Effect on the Quality Traits of Raw and Processed Turkey Breast Meat. Food Sci. Anim. Resour. 2019, 39, 410–417. [Google Scholar] [CrossRef]
- Griffin, J.R.; Moraes, L.; Wick, M.; Lilburn, M.S. Onset of white striping and progression into wooden breast as defined by myopathic changes underlying Pectoralis major growth. Estimation of growth parameters as predictors for stage of myopathy progression. Avian. Pathol. 2018, 47, 2–13. [Google Scholar] [CrossRef]
- Sihvo, H.K.; Airas, N.; Linden, J.; Puolanne, E. Pectoral Vessel Density and Early Ultrastructural Changes in Broiler Chicken Wooden Breast Myopathy. J. Comp. Pathol. 2018, 161, 1–10. [Google Scholar] [CrossRef] [PubMed]
- Zambonelli, P.; Zappaterra, M.; Soglia, F.; Petracci, M.; Sirri, F.; Cavani, C.; Davoli, R. Detection of differentially expressed genes in broiler pectoralis major muscle affected by White Striping–Wooden Breast myopathies. Poult. Sci. 2016, 95, 2771–2785. [Google Scholar] [CrossRef] [PubMed]
- Mudalal, S.; Lorenzi, M.; Soglia, F.; Cavani, C.; Petracci, M. Implications of white striping and wooden breast abnormalities on quality traits of raw and marinated chicken meat. Animal 2015, 9, 728–734. [Google Scholar] [CrossRef] [PubMed]
- Tasoniero, G.; Cullere, M.; Cecchinato, M.; Puolanne, E.; Dalle Zotte, A. Technological quality, mineral profile, and sensory attributes of broiler chicken breasts affected by White Striping and Wooden Breast myopathies. Poult. Sci. 2016, 95, 2707–2714. [Google Scholar] [CrossRef] [PubMed]
- Malila, Y.; U-Chupaj, J.; Srimarut, Y.; Chaiwiwattrakul, P.; Uengwetwanit, T.; Arayamethakorn, S.; Punyapornwithaya, V.; Sansamur, C.; Kirschke, C.P.; Huang, L.; et al. Monitoring of white striping and wooden breast cases and impacts on quality of breast meat collected from commercial broilers (Gallus gallus). Asian Australas J. Anim. Sci. 2018, 31, 1807–1817. [Google Scholar] [CrossRef]
- Toghyani, M.; Tohidi, M.; Gheisari, A.A.; Tabeidian, S.A. Performance, immunity, serum biochemical and hematological parameters in broiler chicks fed dietary thyme as alternative for an antibiotic growth promoter. Afr. J. Biotechnol. 2010, 9, 6819–6825. [Google Scholar]
- Kheiri, F.; Faghani, M.; Landy, N. Evaluation of thyme and ajwain as antibiotic growth promoter substitutions on growth performance, carcass characteristics and serum biochemistry in Japanese quails (Coturnix japonica). Anim. Nutr. 2018, 4, 79–83. [Google Scholar] [CrossRef]
- Hassan, F.A.; Awad, A. Impact of thyme powder (Thymus vulgaris L.) supplementation on gene expression profiles of cytokines and economic efficiency of broiler diets. Environ. Sci. Pollut. Res. 2017, 24, 15816–15826. [Google Scholar] [CrossRef]
- Liang, D.; Li, F.; Fu, Y.; Cao, Y.; Song, X.; Wang, T.; Wang, W.; Guo, M.; Zhou, E.; Li, D. Thymol inhibits LPS-stimulated inflammatory response via down-regulation of NF-κB and MAPK signaling pathways in mouse mammary epithelial cells. Inflammation 2014, 37, 214–222. [Google Scholar] [CrossRef]
- Zhang, C.; Li, W.; Chen, L.; Chen, Z.; Wang, X.; Xu, Q.; Zhang, H.; Chen, H.; Liu, J. Oregano Oil Combined with Macleaya Cordata Oral Solution Improves the Growth Performance and Immune Response of Broilers. Animals 2022, 12, 2480. [Google Scholar] [CrossRef]


| Ingredient (g/kg) | Starter | Grower |
|---|---|---|
| Yellow corn | 316 | 351 |
| Soybean meal | 300 | 249 |
| Wheat | 250 | 250 |
| Sunflower | 50 | 60 |
| Oil | 41 | 52 |
| DCP 1 | 16.5 | 14.5 |
| Limestone | 13.0 | 11.5 |
| NaCl | 2.5 | 2.5 |
| Premix 2 | 4 | 4 |
| DL-methionine | 2.5 | 1.9 |
| L-lysine | 4.5 | 4.0 |
| Threonine | 1 | 0.4 |
| Sodium bicarbonate | 1 | 1 |
| Calculated analysis (%) | ||
| Crude protein | 22.0 | 20.0 |
| Lysine | 1.10 | 1.10 |
| Methionine | 0.55 | 0.56 |
| Calcium | 1.00 | 1.10 |
| Available P | 46 | 47 |
| ME, Kcal/kg | 3100 | 3000 |
| C M ± STD | T1 M ± STD | T2 M ± STD | T3 M ± STD | p Value | ||
|---|---|---|---|---|---|---|
| Cumulative feed intake (g/bird) | 14 d | 491.00 ± 0.00 | 493.67 ± 0.01 | 496.67 ± 0.01 | 493.33 ± 0.00 | 0.50 |
| 28 d | 1838.00 ± 0.03 | 1820.67 ± 0.01 | 1827.33 ± 0.01 | 1821.33 ± 0.01 | 0.57 | |
| 42 d | 4014.00 ± 0.01 | 3995.67 ± 0.02 | 4004.67 ± 0.02 | 4016.00 ± 0.03 | 0.53 | |
| Bodyweight (g) | 14 d | 400.71 c ± 0.01 | 413.42 b ± 0.01 | 425.99 a ± 0.00 | 400.99 c ± 0.00 | <0.05 |
| 28 d | 1148.72 c ± 0.01 | 1161.92 b ± 0.00 | 1176.38 a ± 0.00 | 1147.98 c ± 0.011 | <0.05 | |
| 42 d | 1965.58 c ± 0.01 | 2009.90 b ± 0.01 | 2031.97 a ± 0.00 | 1971.14 c ± 0.01 | <0.05 | |
| Feed conversion ratio | 14 d | 1.23 a ± 0.02 | 1.20 b ± 0.01 | 1.17 c ± 0.00 | 1.23 a ± 0.01 | <0.05 |
| 28 d | 1.60 a ± 0.02 | 1.57 bc ± 0.01 | 1.55 c ± 0.00 | 1.59 ab ± 0.01 | <0.05 | |
| 42 d | 2.04 a ± 0.01 | 1.99 b ± 0.01 | 1.97 c ± 0.00 | 2.04 a ± 0.01 | <0.05 |
| C M ± STD | T1 M ± STD | T2 M ± STD | T3 M ± STD | p Value | |
|---|---|---|---|---|---|
| L* value * | 70.72 ± 3.59 | 68.07 ± 5.52 | 68.33 ± 5.09 | 68.78 ± 8.09 | 0.44 |
| a* value * | 2.24 ± 1.31 | 2.19 ± 1.70 | 2.68 ± 1.36 | 2.01 ± 0.73 | 0.42 |
| b* value * | 4.29 ± 1.74 | 4.22 ± 1.62 | 4.10 ± 1.51 | 4.65 ± 1.91 | 0.40 |
| pH | 5.92 ± 0.24 | 5.92 ± 0.08 | 5.87 ± 0.09 | 5.88 ± 0.09 | 0.57 |
| Breast weight (g) | 197.8 ± 42.4 | 191.6 ± 43.4 | 212.9 ± 31.0 | 202.3 ± 26.3 | 0.29 |
| Normal M ± STD | WS M ± STD | WS and WB M ± STD | p Value | |
|---|---|---|---|---|
| L* value * | 70.15 ± 4.45 | 69.22 ± 8.63 | 67.60 ± 5.55 | 0.20 |
| a* value * | 2.51 ± 1.45 | 1.83 ± 1.28 | 2.02 ± 0.79 | 0.11 |
| b* value * | 4.25 ± 1.62 | 3.73 ± 1.19 | 4.52 ± 1.64 | 0.31 |
| pH | 5.87 ± 0.18 | 5.94 ± 0.08 | 5.91 ± 0.08 | 0.22 |
| Breast weight (g) | 189.0 ± 38.8 a | 205.9 ± 30.0 ab | 213.2 ± 30.9 b | <0.05 |
Publisher’s Note: MDPI stays neutral with regard to jurisdictional claims in published maps and institutional affiliations. |
© 2022 by the authors. Licensee MDPI, Basel, Switzerland. This article is an open access article distributed under the terms and conditions of the Creative Commons Attribution (CC BY) license (https://creativecommons.org/licenses/by/4.0/).
Share and Cite
Zaazaa, A.; Mudalal, S.; Alzuheir, I.; Samara, M.; Jalboush, N.; Fayyad, A.; Petracci, M. The Impact of Thyme and Oregano Essential Oils Dietary Supplementation on Broiler Health, Growth Performance, and Prevalence of Growth-Related Breast Muscle Abnormalities. Animals 2022, 12, 3065. https://doi.org/10.3390/ani12213065
Zaazaa A, Mudalal S, Alzuheir I, Samara M, Jalboush N, Fayyad A, Petracci M. The Impact of Thyme and Oregano Essential Oils Dietary Supplementation on Broiler Health, Growth Performance, and Prevalence of Growth-Related Breast Muscle Abnormalities. Animals. 2022; 12(21):3065. https://doi.org/10.3390/ani12213065
Chicago/Turabian StyleZaazaa, Ahmed, Samer Mudalal, Ibrahim Alzuheir, Maen Samara, Nasr Jalboush, Adnan Fayyad, and Massimiliano Petracci. 2022. "The Impact of Thyme and Oregano Essential Oils Dietary Supplementation on Broiler Health, Growth Performance, and Prevalence of Growth-Related Breast Muscle Abnormalities" Animals 12, no. 21: 3065. https://doi.org/10.3390/ani12213065
APA StyleZaazaa, A., Mudalal, S., Alzuheir, I., Samara, M., Jalboush, N., Fayyad, A., & Petracci, M. (2022). The Impact of Thyme and Oregano Essential Oils Dietary Supplementation on Broiler Health, Growth Performance, and Prevalence of Growth-Related Breast Muscle Abnormalities. Animals, 12(21), 3065. https://doi.org/10.3390/ani12213065

