RT-qPCR Expression Profiles of Selected Oncogenic and Oncosuppressor miRNAs in Formalin-Fixed, Paraffin-Embedded Canine Mammary Tumors
Abstract
Simple Summary
Abstract
1. Introduction
2. Materials and Methods
2.1. Mammary Samples
2.2. RNA Extraction and Reverse Transcription Reaction
2.3. Selected miRNAs and Real-Time Quantitative PCR (RT-qPCR)
2.4. Gene Target Predictions, Gene Ontology and KEGG Pathway Enrichment
2.5. Statistical Analysis
3. Results
3.1. Mammary Samples and Histological Classification of CMTs
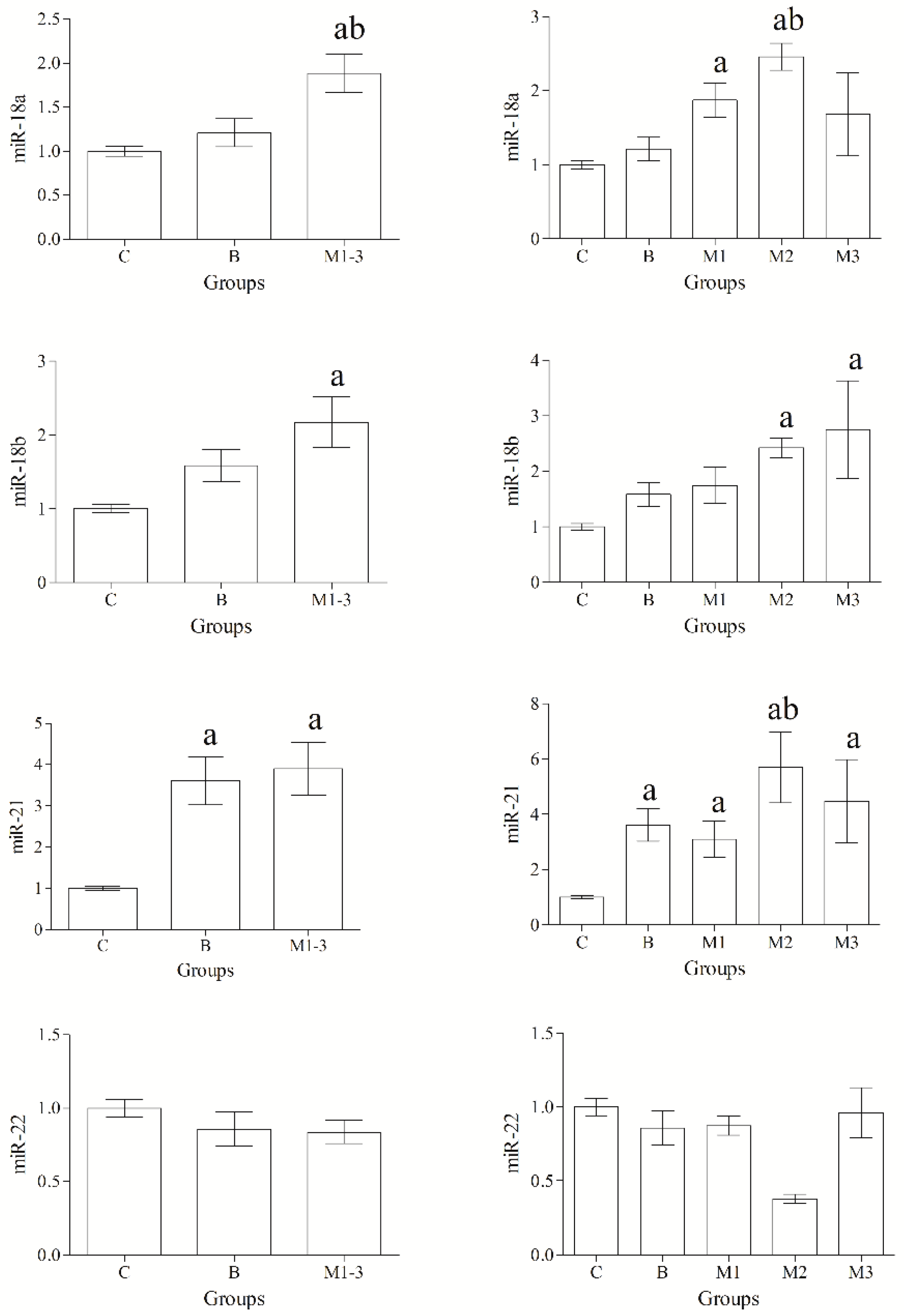
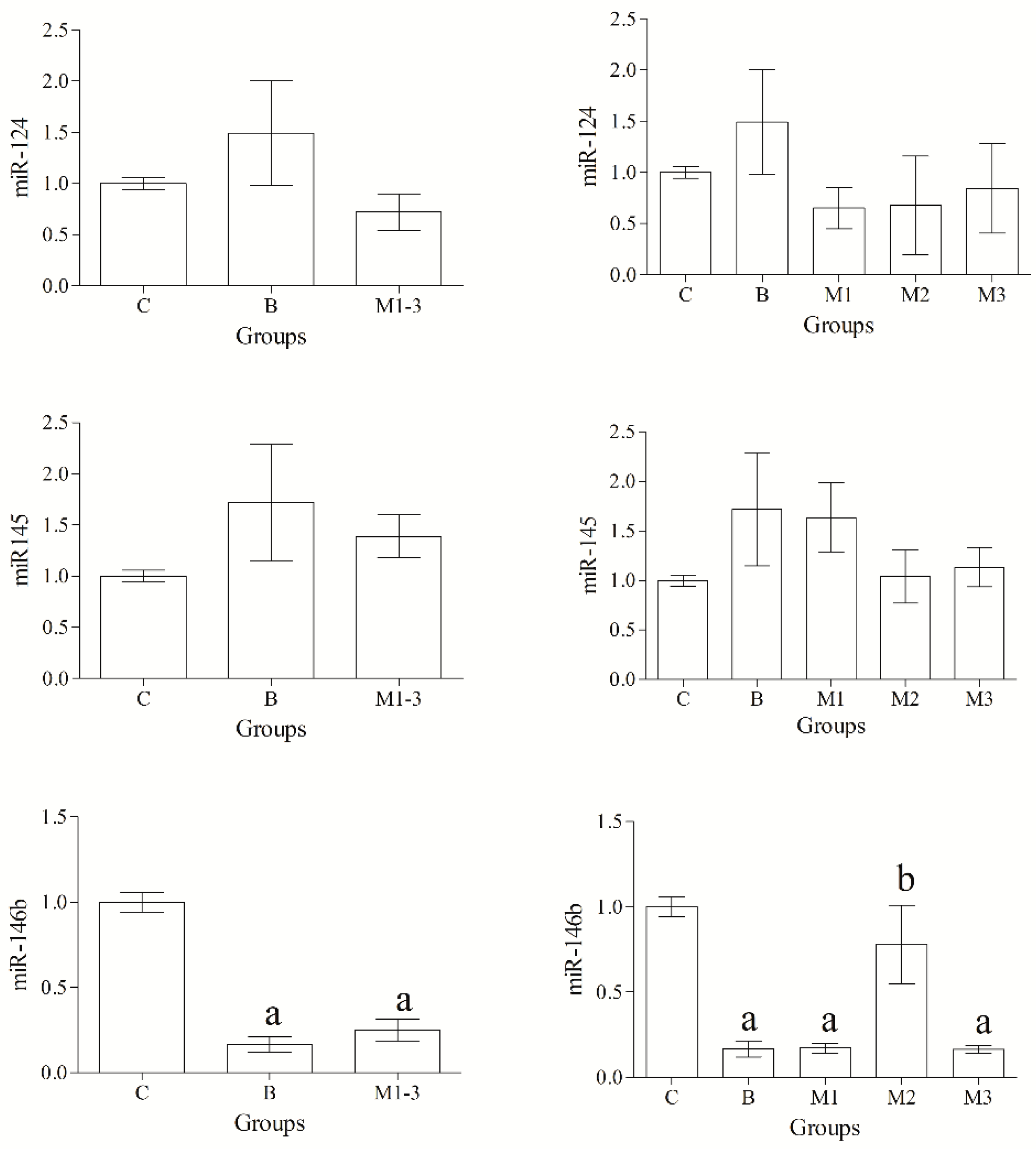
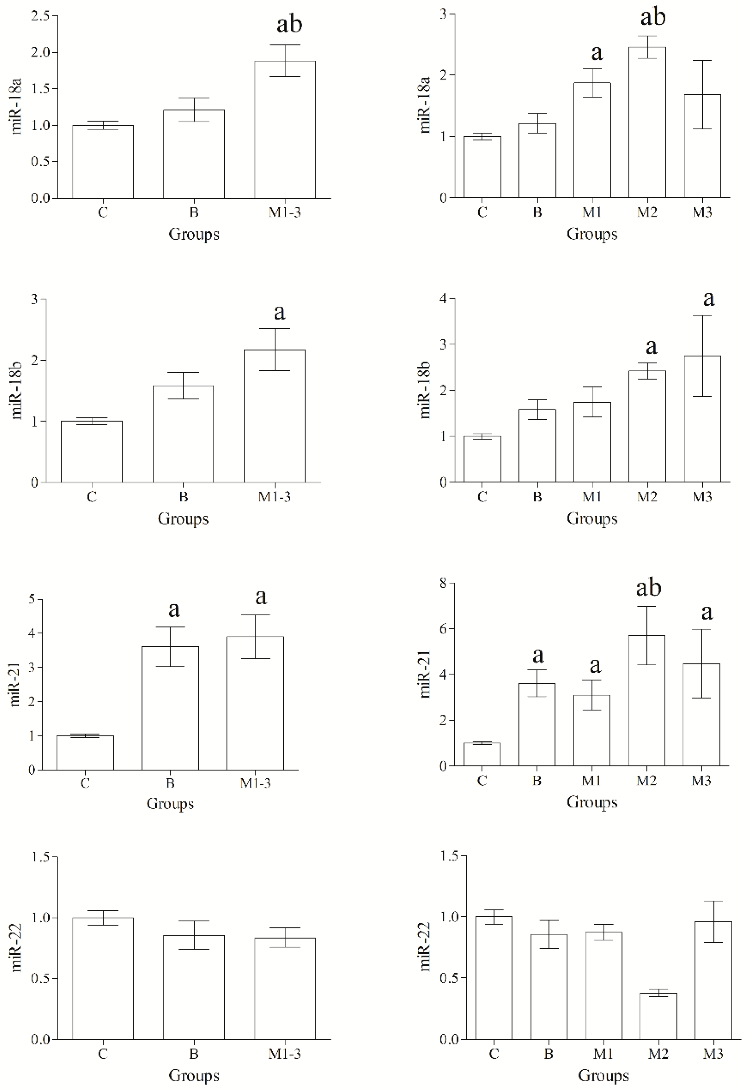
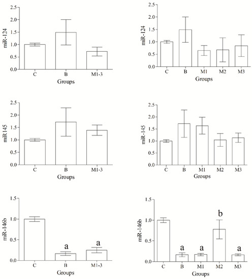
3.2. miRNAs Expression Levels
3.3. MicroRNAs Targets, Functional Annotation and Pathway Enrichment of All miRNAs
3.4. Gene Ontology and Pathway Enrichment Differentiating between Up- and Downregulated miRNAs
4. Discussion
5. Conclusions
Supplementary Materials
Author Contributions
Funding
Institutional Review Board Statement
Informed Consent Statement
Data Availability Statement
Conflicts of Interest
References
- Sorenmo, K. Canine mammary gland tumors. Vet. Clin. Am. Small Anim. Pract. 2003, 33, 573–596. [Google Scholar] [CrossRef]
- Moe, L. Population-based incidence of mammary tumors in some dog breeds. J. Reprod. Fertil. Suppl. 2001, 57, 439–443. [Google Scholar] [PubMed]
- Salas, Y.; Marquez, A.; Diaz, D.; Romero, L. Epidemiological study of mammary tumors in female dogs diagnosed during the period 2002-2012: A growing animal health problem. PLoS ONE 2015, 10, e0127381. [Google Scholar] [CrossRef] [PubMed]
- Rosol, T.J.; Tannehill-Gregg, S.H.; LeRoy, B.E.; Mandl, S.; Contag, C.H. Animal models of bone metastasis. Cancer 2003, 97, 748–757. [Google Scholar] [CrossRef] [PubMed]
- Gilbertson, S.R.; Kurzman, I.D.; Zachrau, R.E.; Hurvitz, A.I.; Black, M.M. Canine Mammary Epithelial Neoplasms: Biologic Implications of Morphologic Characteristics Assessed in 232 Dogs. Vet. Pathol. 1983, 20, 127–142. [Google Scholar] [CrossRef]
- Peña, L.; De Andrés, P.J.; Clemente, M.; Cuesta, P.; Pérez-Alenza, M.D. Prognostic value of histological grading in noninflammatory canine mammary carcinomas in a prospective study with two-year follow-up: Relationship with clinical and histological characteristics. Vet. Pathol. 2013, 50, 94–105. [Google Scholar] [CrossRef] [PubMed]
- Philibert, J.C.; Snyder, P.W.; Glickman, N.; Glickman, L.T.; Knapp, D.W.; Waters, D.J. Influence of host factors on survival in dogs with malignant mammary gland tumors. J. Vet. Intern. Med. 2003, 17, 102–106. [Google Scholar] [CrossRef] [PubMed]
- Peña, L.; Nieto, A.I.; Pérez-Alenza, D.; Cuesta, P.; Castaño, M. Immunohistochemical detection of Ki-67 and PCNA in canine mammary tumors: Relationship to clinical pathological variables. J. Vet. Diagn. Investig. 1998, 10, 237–246. [Google Scholar] [CrossRef] [PubMed]
- Canadas, A.; França, M.; Pereira, C.; Vilaça, R.; Vilhena, H.; Tinoco, F.; Silva, M.J.; Ribeiro, J.; Medeiros, R.; Oliveira, P.; et al. Canine Mammary Tumors: Comparison of Classification and Grading Methods in a Survival Study. Vet. Pathol. 2019, 56, 208–219. [Google Scholar] [CrossRef] [PubMed]
- Levi, M.; Brunetti, B.; Sarli, G.; Benazzi, C. Immunohistochemical Expression of P-glycoprotein and Breast Cancer Resistance Protein in Canine Mammary Hyperplasia, Neoplasia and Supporting Stroma. J. Comp. Pathol. 2016, 155, 277–285. [Google Scholar] [CrossRef]
- Cassali, G.D.; Lavalle, G.E.; De Nardi, A.B.; Ferreira, E.; Bertagnolli, A.C.; Estrela-Lima, A.; Alessi, A.C.; Daleck, C.R.; Salgado, B.S.; Fernandes, C.G.; et al. Consensus for the Diagnosis, Prognosis and Treatment of Canine Mammary Tumors. Braz. J. Vet. Pathol. 2011, 4, 153–180. [Google Scholar]
- Simon, D.; Schoenrock, D.; Baumgärtner, W.; Nolfe, I. Postoperative Adjuvant Treatment of Invasive Malignant Mammary Gland Tumors in Dogs with Doxorubicin and Docetaxel. J. Vet. Intern. Med. 2006, 20, 1184–1190. [Google Scholar] [CrossRef]
- Cullen, J.M.; Breen, M. An Overview of Molecular Cancer Pathogenesis, Prognosis, and Diagnosis. In Tumors in Domestic Animals, 5th ed.; Meuten, D.J., Ed.; Wiley Blackwell: Ames, IA, USA, 2017; pp. 1–26. [Google Scholar]
- Xie, X.; Lu, J.; Kulbokas, E.J.; Golub, T.R.; Mootha, V.; Lindblad-Toh, K.; Lander, E.S.; Kellis, M. Systematic discovery of regulatory motifs in human promoters and 3’ UTRs by comparison of several mammals. Nature 2005, 434, 338–345. [Google Scholar] [CrossRef]
- Fabian, M.R.; Sonenberg, N. The mechanics of miRNA-mediated gene silencing: A look under the hood of miRISC. Nat. Struct. Mol. Bol. 2012, 19, 586–593. [Google Scholar] [CrossRef] [PubMed]
- Croce, C.M. Causes and consequences of microRNA dysregulation in cancer. Nat. Rev. Genet. 2009, 10, 704–714. [Google Scholar] [CrossRef]
- Kaszak, I.; Ruszczak, A.; Kanafa, S.; Kacprzak, K.; Król, M.; Jurka, P. Current biomarkers of canine mammary tumors. Acta Vet. Scand. 2018, 60, 66. [Google Scholar] [CrossRef] [PubMed]
- Thayanithy, V.; Park, C.; Sarver, A.L.; Kartha, R.V.; Korpela, D.M.; Graef, A.J.; Steer, C.J.; Modiano, J.F.; Subramanian, S. Combinatorial treatment of DNA and chromatin-modifying drugs cause cell death in human and canine osteosarcoma cell lines. PLoS ONE 2012, 7, e43720. [Google Scholar] [CrossRef]
- Boggs, R.M.; Wright, Z.M.; Stickney, M.J.; Porter, W.W.; Murphy, K.E. MicroRNA expression in canine mammary cancer. Mamm. Genome 2008, 19, 561–569. [Google Scholar] [CrossRef]
- Uzuner, E.; Ulu, G.T.; Gürler, S.B.; Baran, Y. The role of MiRNA in Cancer: Pathogenesis, Diagnosis, and Treatment. In miRNomics. Methods in Molecular Biology; Allmer, J., Yousef, M., Eds.; Springer: New York, NY, USA, 2022; pp. 375–422. [Google Scholar]
- Shah, V.; Shah, J. Recent trends in targeting miRNAs for cancer therapy. J. Pharm. Pharmacol. 2020, 72, 1732–1749. [Google Scholar] [CrossRef]
- Tan, W.; Liu, B.; Qu, S.; Liang, G.; Luo, W.; Gong, C. MicroRNAs and cancer: Key paradigms in molecular therapy. Oncol. Lett. 2018, 15, 2735–2742. [Google Scholar]
- Peng, Y.; Croce, C.M. The role of MicroRNAs in human cancer. Signal Transduct. Target. Ther. 2016, 1, 15004. [Google Scholar] [CrossRef] [PubMed]
- Henry, N.L.; Hayes, D.F. Cancer biomarkers. Mol. Oncol. 2012, 6, 140–146. [Google Scholar] [CrossRef] [PubMed]
- Chatterjee, S.K.; Zetter, B.R. Cancer biomarkers: Knowing the present and predicting the future. Future Oncol. Lend. Eng. 2005, 1, 37–50. [Google Scholar] [CrossRef] [PubMed]
- Iorio, M.V. MicroRNA dysregulation in cancer: Diagnostics, monitoring and therapeutics. A comprehensive review. EMBO Mol. Med. 2012, 4, 143–159. [Google Scholar] [CrossRef] [PubMed]
- Petroušková, P.; Hudáková, N.; Maloveská, M.; Humeník, F.; Cizkova, D. Non-Exosomal and Exosome-Derived miRNAs as Promising in Canine Mammary Cancer. Life 2022, 12, 524. [Google Scholar] [CrossRef] [PubMed]
- Von Deetzen, M.C.; Schmeck, B.T.; Gruber, A.D.; Klopfleisch, R. Malignancy associated MicroRNA Expression Changes in Canine Mammary Cancer of Different Malignancies. ISRN Vet. Sci. 2014, 2014, 148597. [Google Scholar] [CrossRef]
- Bulkowska, M.; Rybicka, A.; Senses, K.M.; Ulewicz, K.; Witt, K.; Szymanska, J.; Taciak, B.; Klopfleisch, R.; Hellmén, E.; Dolka, I.; et al. MicroRNA expression patterns in canine mammary cancer show significant differences between metastatic and non-metastatic tumours. BMC Cancer 2017, 17, 728. [Google Scholar] [CrossRef]
- Lutful Kabir, F.M.; Delnnocentes, P.; Bird, R.C. Altered microRNA Expression Profiles and Regulation of INK4A/CDKN2A Tumor Suppressor Genes in Canine Breast Cancer Models. J. Cell. Biochem. 2015, 116, 2956–2969. [Google Scholar] [CrossRef]
- Fish, E.J.; Martinez-Romero, E.G.; Delnnocentes, P.; Koehler, J.W.; Prasad, N.; Smith, A.N.; Bird, R.C. Circulating microRNA as biomarkers of canine mammary carcinoma in dogs. J. Vet. Intern. Med. 2020, 34, 1282–1290. [Google Scholar] [CrossRef]
- Heishima, K.; Ichikawa, Y.; Yoshida, K.; Iwasaki, R.; Sakai, H.; Nakagawa, T.; Tanaka, Y.; Hoshino, Y.; Okamura, Y.; Murakami, M.; et al. Circulating microRNA-214 and -126 as potential biomarkers for canine neoplastic disease. Sci. Rep. 2017, 7, 2301. [Google Scholar] [CrossRef]
- Jeong, S.J.; Lee, K.H.; Nam, A.R.; Cho, J.Y. Genome-wide methylation profiling in canine mammary tumors reveals miRNA candidates associated with Human Breast Cancer. Cancers 2019, 11, 1466. [Google Scholar] [CrossRef]
- Losiewicz, K.; Chmielewska-Krzesinska, M.; Socha, P.; Jakimiuk, A.; Wasowicz, K. MiRNA-21, miRNA-10b, and miRNA-34a expression in canine mammary gland neoplasms. J. Vet. Res. 2014, 58, 447–451. [Google Scholar] [CrossRef][Green Version]
- Osaki, T.; Suden, Y.; Sugiyama, A.; Azuma, K.; Murahata, Y.; Tsuka, T.; Ito, N.; Imagawa, T.; Okamoto, Y. Establishment of a canine mammary gland tmor cel line and characterization of its miRNA expression. J. Vet. Sci. 2016, 17, 385–390. [Google Scholar] [CrossRef] [PubMed]
- Fish, E.J.; Irizarry, K.J.; Delnnocentes, P.; Ellis, C.J.; Prasad, N.; Moss, A.G.; Bird, R.C. Malignant canine mammary epithelial cells shed exosomes containing differentially expressed microRNA that regulate oncogenic network. BMC Cancer 2018, 18, 832. [Google Scholar] [CrossRef] [PubMed]
- Ramadan, E.S.; Salem, N.Y.; Enam, I.A.; AbdElKader, N.A.; Farghali, H.A.; Khattab, M.S. MicroRNA-21 expression, serum tumor markers, and immunohistochemistry in canine mammary tumors. Vet. Res. Commun. 2022, 2, 377–388. [Google Scholar] [CrossRef]
- Zappulli, V.; Peña, L.; Rasotto, R.; Goldschmidt, M.H.; Gama, A.; Scruggs, J.L. Surgical Pathology of Tumors of Domestic Animals Volume 2: Mammary Tumors; Kiupel, M., Ed.; Davis-Thompson DVM Foundation: Washington, DC, USA, 2019; Volume 2. [Google Scholar]
- Wong, N.; Wang, X. miRDB: An online resource for microRNA target prediction and functional annotations. Nucleic Acids Res. 2015, 43, 46–52. [Google Scholar] [CrossRef]
- Sherman, B.T.; Hao, M.; Qiu, J.; Jiao, X.; Baseler, M.W.; Lane, H.C.; Imamichi, T.; Chang, W. DAVID: A web server for functional enrichment analysis and functional annotation of gene lists (2021 update). Nucleic Acids Res. 2022, 50, W216–W221. [Google Scholar] [CrossRef]
- Huang, D.W.; Sherman, B.T.; Lempicki, R.A. Systematic and integrative analysis of large gene lists using DAVID Bioinformatics Resources. Nat. Protoc. 2009, 4, 44–57. [Google Scholar] [CrossRef]
- Dennis, G.; Sherman, B.T.; Hosack, D.A.; Yang, J.; Gao, W.; Lane, H.C.; Lempicki, R.A. DAVID: Database for annotation, visualization, and integrated discovery. Genome Biol. 2003, 4, P3. [Google Scholar] [CrossRef]
- Irizarry, K.J.L.; Chan, A.; Kettle, D.; Kezian, S.; Ma, D.; Palacios, L.; Li, Q.Q.; Keeler, C.L.; Drechsler, Y. Bioinformatics Analysis of Chicken miRNAs Associated with Monocyte to Macrophage Differentiation and Subsequent IFNγ Stimulated Activation. Microrna 2017, 6, 53–70. [Google Scholar] [CrossRef]
- Chang, C.C.; Tsai, M.H.; Liao, J.W.; Chan, J.P.W.; Wong, M.L.; Chang, S.C. Evaluation of hormone receptor expression for use in predicting survival of female dogs with malignant mammary gland tumors. J. Am. Med. Assoc. 2009, 235, 391–396. [Google Scholar] [CrossRef] [PubMed]
- Chang, S.C.; Chang, C.C.; Chang, T.J.; Wong, M.L. Prognostic factors associated with survival two years after surgery in dogs with malignant mammary tumors: 79 cases (1998–2002). J. Am. Vet. Med. Assoc. 2005, 227, 1625–1629. [Google Scholar] [CrossRef] [PubMed]
- Zhu, S.; Wu, H.; Wu, F.; Nie, D.; Sheng, S.; Mo, Y.Y. MicroRNA-21 targets tumor suppressor genes in invasion and metastasis. Cell Res. 2008, 18, 350–359. [Google Scholar] [CrossRef] [PubMed]
- Yu, Z.; Lou, L.; Zhao, Y. Fibroblast growth factor 18 promotes the growth, migration and invasion of MDA-MB-231 cells. Oncol. Rep. 2018, 40, 704–714. [Google Scholar] [CrossRef]
- Papadaki, C.; Stratigos, M.; Markakis, G.; Spiliotaki, M.; Mastrostamatis, G.; Nikolaou, C.; Mavroudis, D.; Agelaki, S. Circulating microRNAs in the early prediction of disease recurrence in primary breast cancer. Breast Cancer Res. 2018, 20, 72. [Google Scholar] [CrossRef]
- Yue, W.; Yager, J.D.; Wang, J.P.; Jupe, E.R.; Santen, R.J. Estrogen receptor-dependent and independent mechanisms of breast cancer carcinogenesis. Steroids 2013, 78, 161–170. [Google Scholar] [CrossRef]
- Ibrahim, S.A.; Hassan, H.; Götte, M. MicroRNA regulation of proteoglycan function in cancer. FEBS J. 2014, 281, 5009–5022. [Google Scholar] [CrossRef]
- Theocharis, A.D.; Karamanos, N.K. Proteoglycans remodeling in cancer: Underlying molecular mechanisms. Matrix Biol. 2019, 75–76, 220–259. [Google Scholar] [CrossRef]
- Li, S.; Hao, J.; Hong, Y.; Mai, J.; Huang, W. Long Non-coding RNA NEAT1 Promotes the Proliferation, Migration, and Metastasis of Human Breast-Cancer Cells by Inhibiting miR-146b-5p Expression. Cancer Manag. Res. 2020, 12, 6091–6101. [Google Scholar] [CrossRef]
- Xiang, M.; Birkbak, N.J.; Vafaizadeh, V.; Walker, S.R.; Yeh, J.E.; Liu, S.; Kroll, Y.; Boldin, M.; Taganov, K.; Groner, B.; et al. STAT3 Induction of miR-146b forms a Feedback Loop to Inhibit the NF-kB to IL-6 Signaling Axis and STAT3-driven Cancer Phenotypes. Sci. Signal. 2014, 7, ra11. [Google Scholar] [CrossRef]
- Wee, Z.N.; Yatim, S.M.J.M.; Kohlbauer, V.K.; Feng, M.; Goh, J.Y.; Bao, Y.; Lee, P.L.; Zhang, S.; Wang, P.P.; Lim, E.; et al. IRAK1 is a therapeutic target that drives breast cancer metastasis and resistance to paclitaxel. Nat. Commun. 2015, 6, 8746. [Google Scholar] [CrossRef]
- Dmitrieva, O.S.; Shilovskiy, I.P.; Khaitov, M.R.; Grievennikov, S.I. Interleukins 1 and 6 as main mediators of inflammation of cancer. Biochemistry 2016, 81, 80–90. [Google Scholar] [CrossRef] [PubMed]
- Wang, X.; Yu, X.; Wang, Q.; Lu, Y.; Chen, H. Expression and clinical significance of SABTB1 and TLR4 in breast cancer. Oncol. Lett. 2017, 14, 3611–3615. [Google Scholar] [CrossRef] [PubMed][Green Version]
- MacCorkle, R.A.; Tan, T.H. Mitogen-activated protein kinases in cell-cycle control. Cell Biochem. Biophys. 2005, 43, 451–461. [Google Scholar] [CrossRef]
- Martin, G.S. Cell signaling and cancer. Cancer Cell 2003, 4, 167–174. [Google Scholar] [CrossRef]



| Tumor Type | Histological Classification | No. | Grade of Malignancy | Lymphatic Invasion |
|---|---|---|---|---|
| Benign Tumor (n = 7) | Tubular Adenoma | 1 | ||
| Tubulopapillary Adenoma | 1 | |||
| Complex Adenoma | 2 | |||
| Intraductal Papillary Adenoma | 2 | |||
| Benign Mixed Tumor | 1 | |||
| Malignant Tumor (n = 15) | Tubular Carcinoma | 1 1 | I III | Yes |
| Tubulopapillary Carcinoma | 1 | I | ||
| Complex Carcinoma | 1 1 1 | I I I | ||
| Intraductal Papillary Carcinoma | 1 1 | I I | ||
| Mixed Carcinoma | 1 1 | I II | ||
| Solid Carcinoma | 1 1 1 1 | II III III III | ||
| Inflammatory Carcinoma | 1 | III | Yes |
| KEGG Pathway | Genes | Number of Genes (%) | p-Value | Fold Enrichment | Corrected p-Value |
|---|---|---|---|---|---|
| Neurotrophin signaling pathway | TRAF6, FRS2, IRAK1, MAP3K1, NTF3 | 5 (3.2) | 0.014 | 5.3 | 0.82 |
| Alcoholic liver disease | TRAF6, CPT1C, IRAK1, IL12A, PPARA | 5 (3.2) | 0.020 | 4.7 | 0.82 |
| Proteoglycans in cancer | MET, ERBB4, ESR1, FRS2, HIF1A, PDCD4 | 6 (3.8) | 0.023 | 3.6 | 0.82 |
| Pathways in cancer | MET, TRAF6, APPL1, F2, ESR1, FGF18, HIF1A, ITGA6, IL12A, JAG1 | 10 (6.4) | 0.024 | 2.3 | 0.82 |
| MAPK signaling pathway | MET, TRAF6, ERBB4, FGF18, IRAK1, MAP3K1, NTF3 | 7 (4.5) | 0.025 | 3.0 | 0.82 |
| Toll-like receptor signaling pathway | CD80, TRAF6, IRAK1, IL12A | 4 (2.6) | 0.041 | 5.1 | 1.0 |
| Toxoplasmosis | TRAF6, ITGA6, IRAK1, IL12A | 4 (2.6) | 0.052 | 4.7 | 1.0 |
| Chemical carcinogenesis–receptor activation | ESR1, FGF18, JAG1, KPNA6, PPARA | 5 (3.2) | 0.070 | 3.2 | 1.0 |
| RIG-I-like receptor signaling pathway | TRAF6, IL12A, MAP3K1 | 3 (1.9) | 0.093 | 5.8 | 1.0 |
Publisher’s Note: MDPI stays neutral with regard to jurisdictional claims in published maps and institutional affiliations. |
© 2022 by the authors. Licensee MDPI, Basel, Switzerland. This article is an open access article distributed under the terms and conditions of the Creative Commons Attribution (CC BY) license (https://creativecommons.org/licenses/by/4.0/).
Share and Cite
Abbate, J.M.; Giannetto, A.; Arfuso, F.; Brunetti, B.; Lanteri, G. RT-qPCR Expression Profiles of Selected Oncogenic and Oncosuppressor miRNAs in Formalin-Fixed, Paraffin-Embedded Canine Mammary Tumors. Animals 2022, 12, 2898. https://doi.org/10.3390/ani12212898
Abbate JM, Giannetto A, Arfuso F, Brunetti B, Lanteri G. RT-qPCR Expression Profiles of Selected Oncogenic and Oncosuppressor miRNAs in Formalin-Fixed, Paraffin-Embedded Canine Mammary Tumors. Animals. 2022; 12(21):2898. https://doi.org/10.3390/ani12212898
Chicago/Turabian StyleAbbate, Jessica Maria, Alessia Giannetto, Francesca Arfuso, Barbara Brunetti, and Giovanni Lanteri. 2022. "RT-qPCR Expression Profiles of Selected Oncogenic and Oncosuppressor miRNAs in Formalin-Fixed, Paraffin-Embedded Canine Mammary Tumors" Animals 12, no. 21: 2898. https://doi.org/10.3390/ani12212898
APA StyleAbbate, J. M., Giannetto, A., Arfuso, F., Brunetti, B., & Lanteri, G. (2022). RT-qPCR Expression Profiles of Selected Oncogenic and Oncosuppressor miRNAs in Formalin-Fixed, Paraffin-Embedded Canine Mammary Tumors. Animals, 12(21), 2898. https://doi.org/10.3390/ani12212898

