Preliminary Investigation into Developing the Use of Swabs for Skin Cortisol Analysis for the Ocean Sunfish (Mola mola)
Abstract
Simple Summary
Abstract
1. Introduction
2. Materials and Methods
2.1. Study Area
2.2. Sample Collection
2.3. Sample Processing and Analysis
2.4. Statistical Analysis
3. Results
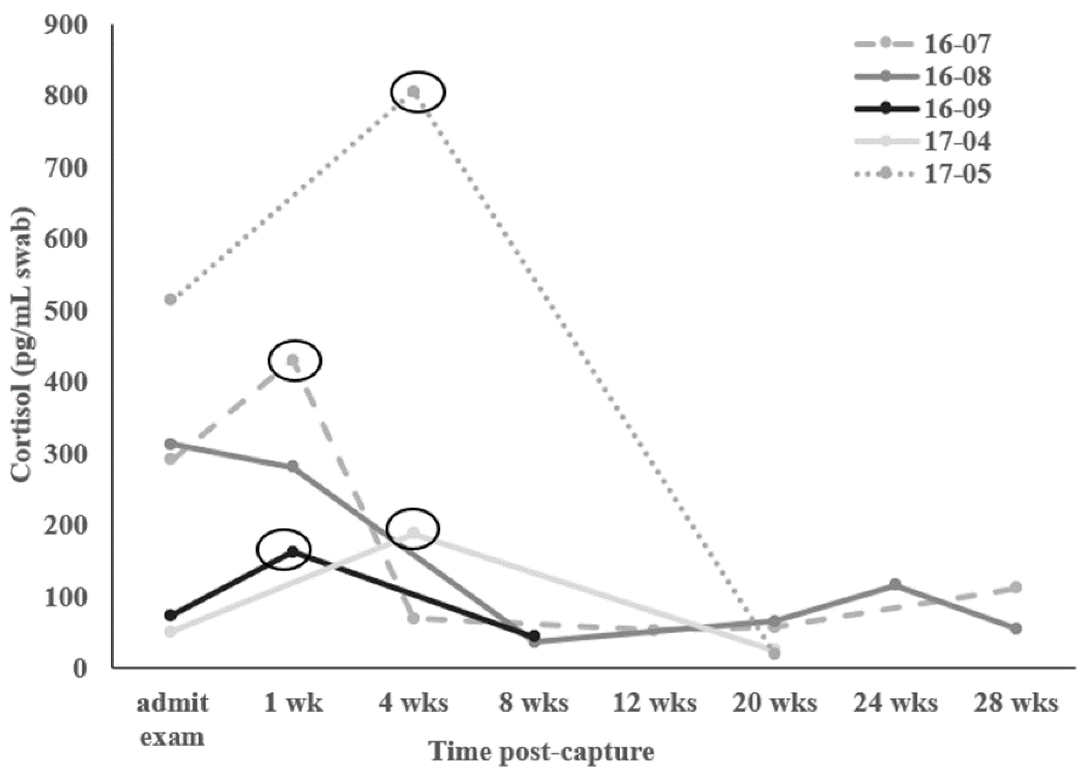
3.1. Skin Cortisol Variability
3.2. Acclimation to the Aquarium
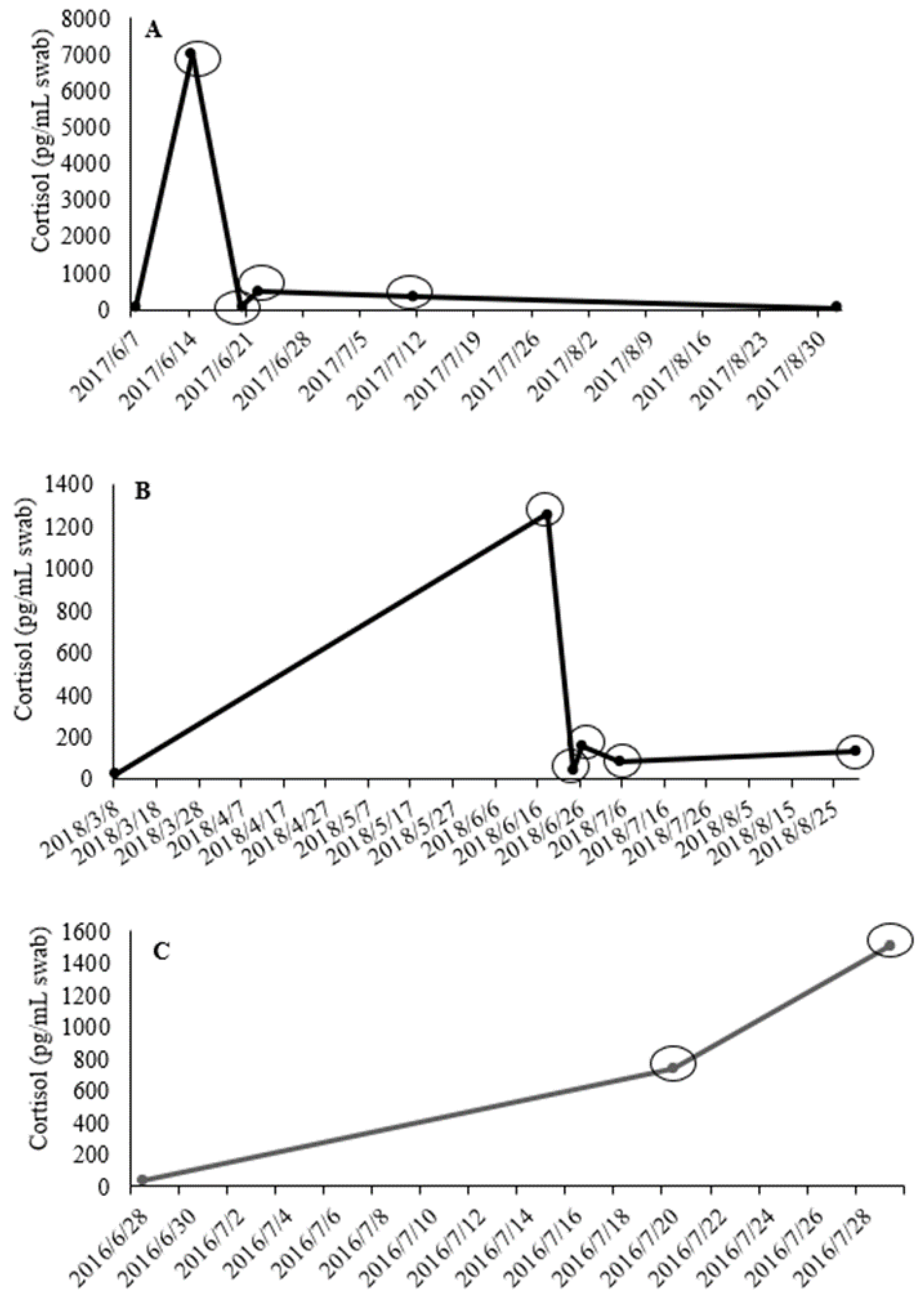
3.3. Effects of Health Status on Skin Cortisol
4. Discussion
5. Conclusions
Author Contributions
Funding
Institutional Review Board Statement
Informed Consent Statement
Data Availability Statement
Acknowledgments
Conflicts of Interest
References
- Díaz, S.M.; Settele, J.; Brondízio, E.; Ngo, H.; Guèze, M.; Agard, J.; Arneth, A.; Balvanera, P.; Brauman, K.; Butchart, S.; et al. The Global Assessment Report on Biodiversity and Ecosystem Services: Summary for Policy Makers. Intergovernmental Science-Policy Platform on Biodiversity and Ecosystem Services; IPBES Secretariat: Bonn, Germany, 2019. [Google Scholar]
- Nagelkerken, I.; Munday, P. Animal behaviour shapes the ecological effects of ocean acidification and warming: Moving from individual to community-level responses. Glob. Chang. Biol. 2016, 22, 974–989. [Google Scholar] [CrossRef] [PubMed]
- Reeder, D.M.; Kramer, K.M. Stress in free-ranging mammals: Integrating physiology, ecology, and natural history. J. Mammal. 2005, 86, 225–235. [Google Scholar] [CrossRef]
- Wendelaar Bonga, S.E. The stress response in fish. Physiol. Rev. 1997, 77, 591–625. [Google Scholar] [CrossRef]
- Peter, M.S. Understanding the adaptive response in vertebrates: The phenomenon of ease and ease response during post-stress acclimation. Gen. Comp. Endocrinol. 2013, 181, 59–64. [Google Scholar] [CrossRef] [PubMed]
- Tellis, M.S.; Alsop, D.; Wood, C.M. Effects of copper on the acute cortisol response and associated physiology in rainbow trout. Comp. Biochem. Physiol. Part C Toxicol. 2012, 155, 281–289. [Google Scholar] [CrossRef]
- Toorchi, M.A.; Bani, A.; Alizadehsabet, H. Effects of salinity on osmoregulation and plasma cortisol levels of juvenile Caspian trout, Salmo trutta caspius Kessler, 1877. J. Appl. Ichthyol. 2012, 28, 130–134. [Google Scholar] [CrossRef]
- Boonstra, R. Equipped for life: The adaptive role of the stress axis in male mammals. J. Mammal. 2005, 86, 236–247. [Google Scholar] [CrossRef]
- Wingfield, J.C. The concept of allostasis: Coping with a capricious environment. J. Mammal. 2005, 86, 248–254. [Google Scholar] [CrossRef]
- Wingfield, J.C.; Romero, L.M. Adrenocortical responses to stress and their modulation in free-living vertebrates. In Comprehensive Physiology; Terjung, R., Ed.; Oxford Press: New York, NY, USA, 2001; pp. 211–234. [Google Scholar]
- Yada, T.; Tort, L. Stress and disease resistance: Immune system and immunoendocrine interactions. In Fish physiology; Schreck, C.B., Tort, L., Farrell, A., Brauner, C., Eds.; Academic Press: New York, NY, USA, 2016; pp. 365–403. [Google Scholar]
- Whirledge, S.; Cidlowski, J.A. Glucocorticoids and reproduction: Traffic control on the road to reproduction. Trends Endocrinol. Metab. 2017, 28, 399–415. [Google Scholar] [CrossRef]
- Romero, L.M.; Wikelski, M. Corticosterone levels predict survival probabilities of Galápagos marine iguanas during El Niño events. Proc. Natl. Acad. Sci. USA 2001, 98, 7366–7370. [Google Scholar] [CrossRef]
- Tracy, C.R.; Nussear, K.E.; Esque, T.C.; Dean-Bradley, K.; Tracy, C.R.; DeFalco, L.A.; Castle, K.T.; Zimmerman, L.C.; Espinoza, R.E.; Barber, A.M. The importance of physiological ecology in conservation biology. Integr. Comparat. Biol. 2006, 46, 1191–1205. [Google Scholar] [CrossRef] [PubMed]
- Harper, J.M.; Austad, S.N. Fecal glucocorticoids: A noninvasive method of measuring adrenal activity in wild and captive rodents. Physiol. Biochem. Zool. 2000, 73, 12–22. [Google Scholar] [CrossRef] [PubMed]
- Millspaugh, J.J.; Washburn, B.E. Use of fecal glucocorticoid metabolite measures in conservation biology research: Considera-tions for application and interpretation. Gen. Comp. Endocrinol. 2004, 138, 189–199. [Google Scholar] [CrossRef] [PubMed]
- Möstl, E.; Palme, R. Hormones as indicators of stress. Domest. Anim. Endocrinol. 2002, 23, 67–74. [Google Scholar] [CrossRef]
- Touma, C.; Palme, R. Measuring fecal glucocorticoid metabolites in mammals and birds: The importance of validation. Ann. N. Y. Acad. Sci. 2005, 1046, 54–74. [Google Scholar] [CrossRef] [PubMed]
- Romero, L.M.; Reed, J.M. Collecting baseline corticosterone samples in the field: Is under 3 min good enough? Comp. Biochem. Physiol. A Mol. Integr. Physiol. 2005, 140, 73–79. [Google Scholar] [CrossRef] [PubMed]
- Lawrence, M.J.; Jain-Schlaepfer, S.; Zolderdo, A.J.; Algera, D.A.; Gilmour, K.M.; Gallagher, A.J.; Cooke, S.J. Are 3 minutes good enough for obtaining baseline physiological samples from teleost fish? Can. J. Zool. 2018, 96, 774–786. [Google Scholar] [CrossRef]
- Kalliokoski, O.; Jellestad, F.K.; Murison, R. A systematic review of studies utilizing hair glucocorticoids as a measure of stress suggests the marker is more appropriate for quantifying short-term stressors. Sci. Rep. 2019, 9, 11997. [Google Scholar] [CrossRef]
- Koren, L.; Bryan, H.; Matas, D.; Tinman, S.; Fahlman, A.; Whiteside, D.; Smits, J.; Wynne-Edwards, K. Towards the validation of endogenous steroid testing in wildlife hair. J. Appl. Ecol. 2019, 56, 547–561. [Google Scholar] [CrossRef]
- Bortolotti, G.R.; Marchant, T.A.; Blas, J.; German, T. Corticosterone in feathers is a long-term, integrated measure of avian stress physiology. Funct. Ecol. 2008, 22, 494–500. [Google Scholar] [CrossRef]
- Burgess, E.A.; Hunt, K.E.; Kraus, S.D.; Rolland, R.M. Get the most out of blow hormones: Validation of sampling materials, field storage and extraction techniques for whale respiratory vapour samples. Conserv. Physiol. 2016, 4, cow024. [Google Scholar] [CrossRef] [PubMed]
- Hogg, C.J.; Rogers, T.L.; Shorter, A.; Barton, K.; Miller, P.J.O.; Nowacek, D. Determination of steroid hormones in whale blow: It is possible. Mar. Mammal Sci. 2009, 25, 605–618. [Google Scholar] [CrossRef]
- Hunt, K.E.; Moore, M.J.; Rolland, R.M.; Kellar, N.M.; Hall, A.; Kershaw, J.; Raverty, S.A.; Davis, C.E.; Yeates, L.C.; Fauquier, D.A.; et al. Overcoming the challenges of studying conservation physiology in large whales: A review of available methods. Conserv. Physiol. 2013, 1, cot006. [Google Scholar] [CrossRef] [PubMed]
- Rolland, R.M.; Hunt, K.E.; Kraus, S.D.; Wasser, S.K. Assessing reproductive status of right whales (Eubalaena glacialis) using fecal hormone metabolites. Gen. Comp. Endocrinol. 2005, 142, 308–317. [Google Scholar] [CrossRef]
- Murray, M.J.; Young, M.A.; Santymire, R.M. Use of the ACTH challenge test to identify the predominant glucocorticoid in the southern sea otter (Enhydra lutris nereis). Conserv. Physiol. 2020, 8, coz116. [Google Scholar] [CrossRef]
- Gabor, C.R.; Zabierek, K.C.; Kim, D.S.; da Barbiano, L.A.; Mondelli, M.J.; Bendik, N.F.; Davis, D.R. A non-invasive water-borne assay of stress hormones in aquatic salamanders. Copeia 2016, 104, 172–181. [Google Scholar] [CrossRef]
- Forsburg, Z.R.; Goff, C.B.; Perkins, H.R.; Robicheaux, J.A.; Almond, G.F.; Gabor, C.R. Validation of water-borne cortisol and corticosterone in tadpoles: Recovery rate from an acute stressor, repeatability, and evaluating rearing methods. Gen. Comp. Endocrinol. 2019, 281, 145–152. [Google Scholar] [CrossRef]
- Nagel, A.H.; Beshel, M.; DeChant, C.J.; Huskisson, S.M.; Campbell, M.K.; Stoops, M.A. Non-invasive methods to measure inter-renal function in aquatic salamanders—Correlating fecal corticosterone to the environmental and physiologic conditions of captive Necturus. Conserv. Physiol. 2019, 7, coz074. [Google Scholar] [CrossRef]
- Reedy, A.M.; Edwards, A.; Pendlebury, C.; Murdaugh, L.; Avery, R.; Seidenberg, J.; Aspbury, A.S.; Gabor, C.R. An acute increase in the stress hormone corticosterone is associated with mating behavior in both male and female red-spotted newts, Notophthalmus viridescens. Gen. Comp. Endocrinol. 2014, 208, 57–63. [Google Scholar] [CrossRef]
- Santymire, R.M.; Manjerovic, M.B.; Sacerdote-Velat, A. A novel method for the measurement of glucocorticoids in dermal secretions of amphibians. Conserv. Physiol. 2018, 6, coy008. [Google Scholar] [CrossRef]
- Santymire, R.M.; Sacerdote-Velat, A.B.; Gygli, A.; Keinath, D.A.; Poo, S.; Hinkson, K.M.; McKeag, E.M. Using dermal gluco-corticoids to determine the effects of disease and environment on the critically endangered Wyoming toad. Conserv. Physiol. 2021, 9, coab093. [Google Scholar] [CrossRef] [PubMed]
- Scheun, J.; Greeff, D.; Medger, K.; Ganswindt, A. Validating the use of dermal secretion as a matrix for monitoring glucocor-ticoid concentrations in African amphibian species. Conserv. Physiol. 2019, 7, coz022. [Google Scholar] [CrossRef] [PubMed]
- Chancellor, S.; Abbo, L.; Grasse, B.; Sakmar, T.; Brown, J.S.; Scheel, D.; Santymire, R.M. Determining the effectiveness of using dermal swabs to evaluate the stress physiology of laboratory cephalopods: A preliminary investigation. Gen. Comp. Endocrinol. 2021, 314, 113903. [Google Scholar] [CrossRef] [PubMed]
- Scott, A.P.; Ellis, T. Measurement of fish steroids in water—A review. Gen. Comp. Endocrinol. 2007, 153, 392–400. [Google Scholar] [CrossRef] [PubMed]
- Carbajal, A.; Reyes-López, F.E.; Tallo-Parra, O.; Lopez-Bejar, M.; Tort, L. Comparative assessment of cortisol in plasma, skin mucus and scales as a measure of the hypothalamic-pituitary-interrenal axis activity in fish. Aquaculture 2019, 506, 410–416. [Google Scholar] [CrossRef]
- Ellis, T.; Sanders, M.B.; Scott, A.P. Non-invasive monitoring of steroids in fishes. Vet. Med. Austria 2013, 100, 255–269. [Google Scholar]
- Elliott, D.G. Microscopic functional anatomy: Integumentary system: Chapter 17. In The Laboratory Fish; Gary, K.O., Ed.; Academic Press: New York, NY, USA, 2000; pp. 271–306. [Google Scholar]
- Guardiola, F.A.; Cuesta, A.; Esteban, M. Using skin mucus to evaluate stress in gilthead seabream (Sparus aurata L.). Fish Shellfish Immunol. 2016, 59, 323–330. [Google Scholar] [CrossRef]
- Liu, J.; Zapfe, G.; Shao, K.-T.; Leis, J.L.; Matsuura, K.; Hardy, G.; Liu, M.; Robertson, R.; Tyler, J. Mola Mola (Errata Version Published in 2016). The IUCN Red List of Threatened Species. 2015. e.T190422A97667070.
- Murray, M.; (Monterey Bay Aquarium, Monterey, CA, USA). The Swimming Ability of the Mola Mola. Personal Communication, 2022. [Google Scholar]
- Edwards, K.L.; Bansiddhi, P.; Paris, S.; Galloway, M.; Brown, J.L. The development of an immunoassay to measure immunoglobulin A in Asian elephant feces, saliva, urine and serum as a potential biomarker of well-being. Conserv. Physiol. 2019, 7, coy077. [Google Scholar] [CrossRef]
- Munro, C.; Stabenfeldt, G. Development of a microtitre plate enzyme immunoassay for the determination of progesterone. J. Endocrinol. 1984, 101, 41–49. [Google Scholar] [CrossRef]
- Romero, L.M. Physiological stress in ecology: Lessons from biomedical research. Trends Ecol. Evol. 2004, 19, 249–255. [Google Scholar] [CrossRef] [PubMed]
- Bertotto, D.; Poltronieri, C.; Negrato, E.; Majolini, D.; Radaelli, G.; Simontacchi, C. Alternative matrices for cortisol measurement in fish. Aquac. Res. 2010, 41, 1261–1267. [Google Scholar] [CrossRef]
- Fernández-Alacid, L.; Sanahuja, I.; Ordóñez-Grande, B.; Sánchez-Nuño, S.; Herrera, M.; Ibarz, A. Comparison between properties of dorsal and ventral skin mucus in Senegalese sole: Response to an acute stress. Aquaculture 2019, 513, 734410. [Google Scholar] [CrossRef]
- Goymann, W. On the use of non-invasive hormone research in uncontrolled, natural environments: The problem with sex, diet, metabolic rate and the individual. Methods Ecol. Evol. 2012, 3, 757–765. [Google Scholar] [CrossRef]
- Fernández-Alacid, L.; Sanahuja, I.; Ordóñez-Grande, B.; Sánchez-Nuño, S.; Viscor, G.; Gisbert, E.; Herrera, M.; Ibarz, A. Skin mucus metabolites in response to physiological challenges: A valuable non-invasive method to study teleost marine species. Sci. Total Environ. 2018, 644, 1323–1335. [Google Scholar] [CrossRef]
- De Mercado, E.; Larrán, A.M.; Pinedo, J.; Tomás-Almenar, C. Skin mucous: A new approach to assess stress in rainbow trout. Aquaculture 2018, 484, 90–97. [Google Scholar] [CrossRef]
- Cai, X.; Zhang, J.; Lin, L.; Li, Y.; Liu, X.; Wang, Z. Study of a noninvasive detection method for the high-temperature stress response of the large yellow croaker (Larimichthys crocea). Aquac. Rep. 2020, 18, 100514. [Google Scholar] [CrossRef]
- Franco-Martinez, L.; Brandts, I.; Reyes-López, F.; Tort, L.; Tvarijonaviciute, A.; Teles, M. Skin mucus as a relevant low-invasive biological matrix for the measurement of an acute stress response in rainbow trout (Oncorhynchus mykiss). Water 2022, 14, 1754. [Google Scholar] [CrossRef]
- Borrelli, L.; Chiandetti, C.; Fiorito, G. A standardized battery of tests to measure Octopus vulgaris’ behavioural performance. Invertebr. Neurosci. 2020, 20, 1–15. [Google Scholar] [CrossRef]
- Borrelli, L.; Fiorito, G. Behavioral Analysis of Learning and Memory in Cephalopods. In Learning and Memory: A Comprehensive Reference; Academic Press: New York, NY, USA, 2008; pp. 605–627. [Google Scholar]
- Maldonado, H. 1963. The visual attack learning system in Octopus vulgaris. J. Theor. Biol. 2008, 5, 470–488. [Google Scholar] [CrossRef]
- Franceschini, M.D.; Rubenstein, D.I.; Low, B.; Romero, L.M. Fecal glucocorticoid metabolite analysis as an indicator of stress during translocation and acclimation in an endangered large mammal, the Grevy’s zebra. Anim. Conserv. 2008, 11, 263–269. [Google Scholar] [CrossRef]
- Narayan, E.; Hero, J.-M.; Evans, N.; Nicolson, V.; Mucci, A. Non-invasive evaluation of physiological stress hormone responses in a captive population of the greater bilby Macrotis lagotis. Endanger. Species Res. 2012, 18, 279–289. [Google Scholar] [CrossRef]
- Howell-Stephens, J.A.; Brown, J.S.; Bernier, D.; Mulkerin, D.; Santymire, R.M. Characterizing adrenocortical activity in zoo-housed southern three-banded armadillos (Tolypeutes matacus). Gen. Comp. Endocrinol. 2012, 178, 64–74. [Google Scholar] [CrossRef] [PubMed]


Publisher’s Note: MDPI stays neutral with regard to jurisdictional claims in published maps and institutional affiliations. |
© 2022 by the authors. Licensee MDPI, Basel, Switzerland. This article is an open access article distributed under the terms and conditions of the Creative Commons Attribution (CC BY) license (https://creativecommons.org/licenses/by/4.0/).
Share and Cite
Santymire, R.M.; Young, M.; Lenihan, E.; Murray, M.J. Preliminary Investigation into Developing the Use of Swabs for Skin Cortisol Analysis for the Ocean Sunfish (Mola mola). Animals 2022, 12, 2868. https://doi.org/10.3390/ani12202868
Santymire RM, Young M, Lenihan E, Murray MJ. Preliminary Investigation into Developing the Use of Swabs for Skin Cortisol Analysis for the Ocean Sunfish (Mola mola). Animals. 2022; 12(20):2868. https://doi.org/10.3390/ani12202868
Chicago/Turabian StyleSantymire, Rachel M., Marissa Young, Erin Lenihan, and Michael J. Murray. 2022. "Preliminary Investigation into Developing the Use of Swabs for Skin Cortisol Analysis for the Ocean Sunfish (Mola mola)" Animals 12, no. 20: 2868. https://doi.org/10.3390/ani12202868
APA StyleSantymire, R. M., Young, M., Lenihan, E., & Murray, M. J. (2022). Preliminary Investigation into Developing the Use of Swabs for Skin Cortisol Analysis for the Ocean Sunfish (Mola mola). Animals, 12(20), 2868. https://doi.org/10.3390/ani12202868

