Comparative Study of Pain-Related Responses of Male Piglets up to Seven Days of Age to the Application of Different Local Anaesthetics and Subsequent Castration
Abstract
Simple Summary
Abstract
1. Introduction
2. Materials and Methods
2.1. Animals
2.2. Study Design and Procedure
2.2.1. Pre-Trial
2.2.2. Main Study
Anaesthesia and Instrumentation
Injection Technique
Castration
Data Recording
- Nocifensive movements
- Respiratory rate and blood pressure
- Heart rate variability
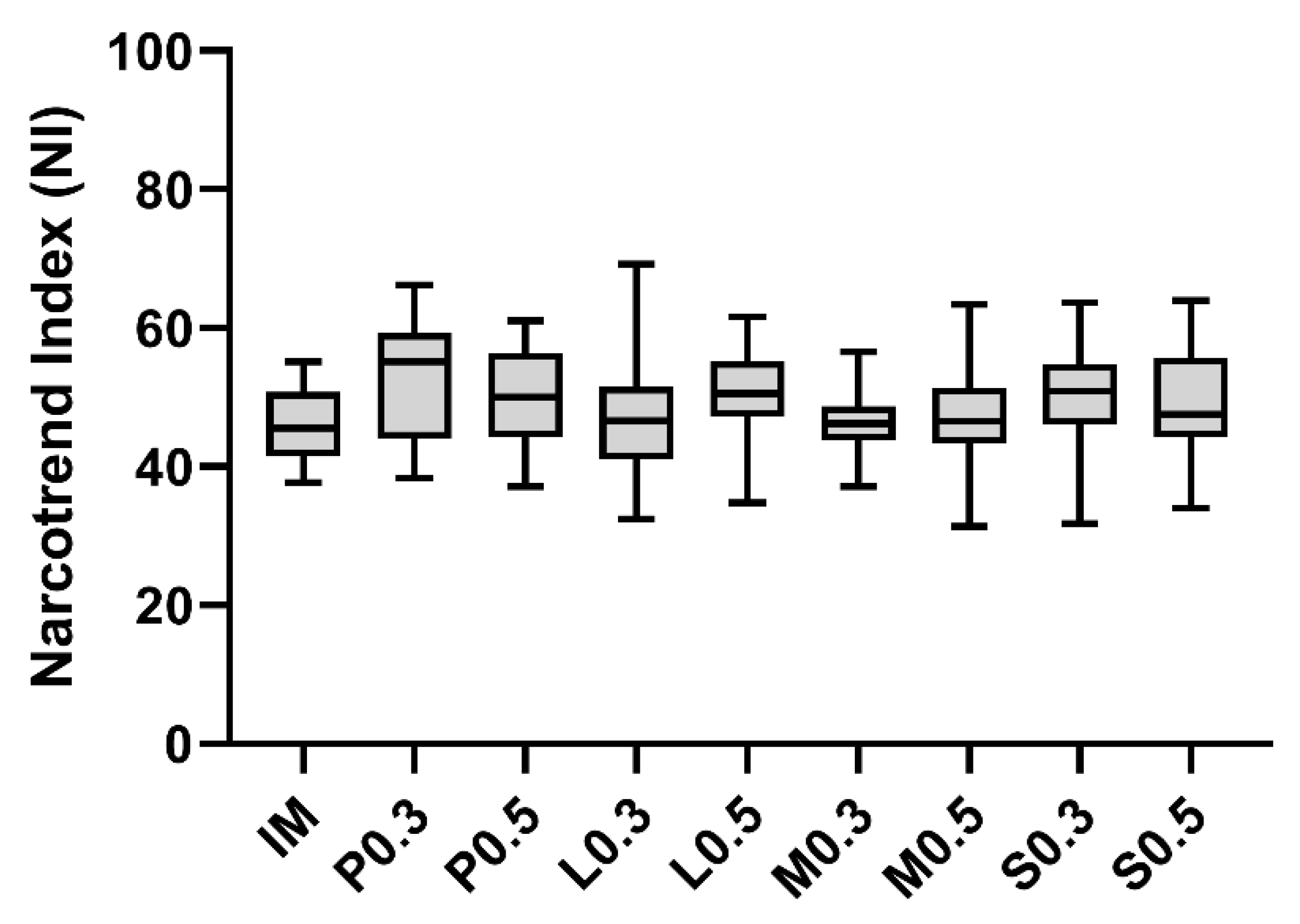
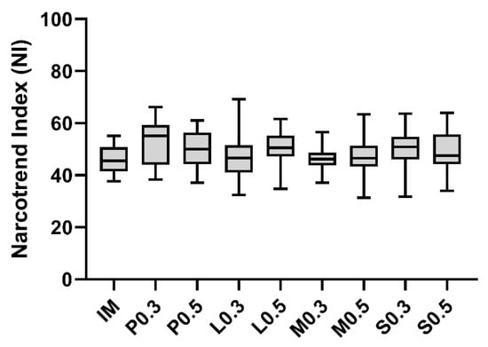
- EEG VariablesThe following variables were recorded and values for every 5 s time interval were exported: Narcotrend-Index (NI), total power (PTOT), median frequency (MF) and 95% spectral edge frequency (SEF95).Analysed timepoints (epochs) were:
- BL-INJe: baseline before injection for 2 min
- INJe: 1 min after start of injection
- BL-CAe: baseline 2 min before castration (skin incision)
- CAe: castration, start of skin incision until 20 s after start of emasculation.
- POST CAe: post castration, 2 min after the end of emasculation
2.3. Statistical Analysis
3. Results
3.1. Pre-Trial
3.2. Main Study
3.2.1. EEG
3.2.2. Response to Injection
- Nocifensive movements
- Cardiorespiratory changes
3.2.3. Response to Castration
- Onset of action
- Nocifensive movements
- Cardiorespiratory changes
3.2.4. Post-Castration Phase
- Cardiorespiratory changes
3.3. Missing Data
3.4. Supplementrary Material
4. Discussion
4.1. Sub -MAC Isoflurane Concentration for Pain Assessment
4.2. Injection of Local Anaesthetics and Onset of Action
4.3. Pain Assessment during Injection
4.4. Pain Assessment during Castration
4.5. Pain Assessment Post Castration
4.6. Limitations
5. Conclusions
Supplementary Materials
Author Contributions
Funding
Institutional Review Board Statement
Data Availability Statement
Acknowledgments
Conflicts of Interest
References
- European Commission. European Declaration of alternatives to surgical castration of pigs. Available online: https://food.ec.europa.eu/system/files/2016–10/aw_prac_farm_pigs_cast-alt_declaration_en.pdf (accessed on 23 September 2020).
- Federal Ministry of Food and Agriculture. Debate on piglet castration. Available online: https://www.bmel.de/EN/topics/animals/animal-welfare/debate-piglet-castration.html (accessed on 20 December 2020).
- Hodgson, D.S. An inhaler device using liquid injection of isoflurane for short term anesthesia in piglets. Vet. Anaesth. Analg. 2006, 33, 207–213. [Google Scholar] [CrossRef]
- Rüdebusch, J.; Kästner, S.; Waldmann, K.H.; Wendt, M.; Von Altrock, A. Investigation into the optimization of automated isoflurane anesthesia for the performance of safe, painless castration of male suckling pigs. Berl Munch Tierarztl Wochenschr 2022, 135, 1–13. [Google Scholar] [CrossRef]
- Schwennen, C.; Kolbaum, N.; Waldmann, K.H.; Holtig, D. Evaluation of the anaesthetic depth during piglet castration under an automated isoflurane-anaesthesia at farm level. Berl Munch Tierarztl Wochenschr 2016, 129, 40–47. [Google Scholar]
- Haga, H.A.; Ranheim, B. Castration of piglets: The analgesic effects of intratesticular and intrafunicular lidocaine injection. Vet. Anaesth. Analg. 2005, 32, 1–9. [Google Scholar] [CrossRef]
- Jäggin, N.; Gerber, S.; Schatzmann, U. General anaesthesia, analgesia and pain associated with the castration of newborn piglets. Acta Vet Scand 2006, 48, S12. [Google Scholar] [CrossRef][Green Version]
- Schwennen, C.; Dziuba, D.; Schön, P.C.; Kietzmann, M.; Waldmann, K.H.; von Altrock, A. Local anaesthetic techniques for pain reduction during castration of suckling piglets. Berl Munch Tierarztl Wochenschr 2020, 133, 1–14. [Google Scholar] [CrossRef]
- Lirk, P.; Picardi, S.; Hollmann, M.W. Local anaesthetics: 10 essentials. Eur. J. Anaesthesiol. 2014, 31, 575–585. [Google Scholar] [CrossRef]
- Richter, A. Lokalanästhetika. In Lehrbuch der Pharmakologie und Toxikologie für die Veterinärmedizin, 4th ed.; Löscher, W., Richter, A., Eds.; Enke: Stuttgart, Germany, 2016. [Google Scholar]
- Commission Implementing Regulation (EU) 2020/1712 of 16 November 2020 amending Regulation (EU) No 37/2010 to classify the substance lidocaine as regards its maximum residue limit. Off. J. Eur. Union 2020, L384/3.
- Löscher, W. Lokalanästhetika. In Pharmakotherapie bei Hausund Nutztieren; Löscher, W., Ungemach, F.R., Kroker, R., Eds.; Enke: Stuttgart, Germany, 2010; pp. 134–140. [Google Scholar]
- Hofmann, K.; Rauh, A.; Harlizius, J.; Weiss, C.; Scholz, T.; Schulze-Horsel, T.; Escribano, D.; Ritzmann, M.; Zols, S. Pain and distress responses of suckling piglets to injection and castration under local anaesthesia with procaine and lidocaine-Part 1: Cortisol, chromogranin A, wound healing, weights, losses. Tierarztl. Prax. Ausg. G Grosstiere Nutztiere 2019, 47, 87–96. [Google Scholar] [CrossRef]
- Hansson, M.; Lundeheim, N.; Nyman, G.; Johansson, G. Effect of local anaesthesia and/or analgesia on pain responses induced by piglet castration. Acta Vet. Scand. 2011, 53, 34. [Google Scholar] [CrossRef]
- Kluivers-Poodt, M.; Houx, B.B.; Robben, S.R.; Koop, G.; Lambooij, E.; Hellebrekers, L.J. Effects of a local anaesthetic and NSAID in castration of piglets, on the acute pain responses, growth and mortality. Animal 2012, 6, 1469–1475. [Google Scholar] [CrossRef]
- Leidig, M.S.; Hertrampf, B.; Failing, K.; Schumann, A.; Reiner, G. Pain. and discomfort in male piglets during surgical castration with and without local anesthesia as determined by vocalization and defence behaviour. Appl. Anim. Behav. Sci. 2009, 116, 174–178. [Google Scholar] [CrossRef]
- Bonastre, C.; Mitjana, O.; Tejedor, M.T.; Calavia, M.; Yuste, A.G.; Ubeda, J.L.; Falceto, M.V. Acute physiological responses to castration-related pain in piglets: The effect of two local anesthetics with or without meloxicam. Animal 2016, 10, 1474–1481. [Google Scholar] [CrossRef] [PubMed]
- Saller, A.M.; Werner, J.; Reiser, J.; Senf, S.; Deffner, P.; Abendschon, N.; Weiss, C.; Fischer, J.; Schorwerth, A.; Miller, R.; et al. Local anesthesia in piglets undergoing castration-A comparative study to investigate the analgesic effects of four local anesthetics on the basis of acute physiological responses and limb movements. PLoS ONE 2020, 15, e0236742. [Google Scholar] [CrossRef] [PubMed]
- Skade, L.; Kristensen, C.S.; Nielsen, M.B.F.; Diness, L.H. Effect of two methods and two anaesthetics for local anaesthesia of piglets during castration. Acta Vet. Scand. 2021, 63, 1. [Google Scholar] [CrossRef]
- Hancock, T.M.; Caulkett, N.A.; Pajor, E.A.; Grenwich, L. An investigation of the effects of intratesticular alfaxalone and lidocaine during castration in piglets. Vet. Anaesth Analg. 2018, 45, 858–864. [Google Scholar] [CrossRef]
- Waldmann, V.; Otto, K.H.; Bollwahn, W. Piglet castration--pain sensation and pain elimination. Dtsch. Tierarztl. Wochenschr. 1994, 101, 105–109. [Google Scholar] [PubMed]
- Abendschon, N.; Senf, S.; Deffner, P.; Miller, R.; Grott, A.; Werner, J.; Saller, A.M.; Reiser, J.; Weiss, C.; Zablotski, Y.; et al. Local Anesthesia in Piglets Undergoing Castration-A Comparative Study to Investigate the Analgesic Effects of Four Local Anesthetics Based on Defensive Behavior and Side Effects. Animals 2020, 10, 1752. [Google Scholar] [CrossRef] [PubMed]
- Ison, S.H.; Clutton, R.E.; Di Giminiani, P.; Rutherford, K.M. A Review of Pain Assessment in Pigs. Front. Vet. Sci. 2016, 3, 108. [Google Scholar] [CrossRef]
- White, R.G.; DeShazer, J.A.; Tressler, C.J.; Borcher, G.M.; Davey, S.; Waninge, A.; Parkhurst, A.M.; Milanuk, M.J.; Clemens, E.T. Vocalization and physiological response of pigs during castration with or without a local anesthetic. J. Anim. Sci. 1995, 73, 381–386. [Google Scholar] [CrossRef]
- Haga, H.A.; Tevik, A.; Moerch, H. Electroencephalographic and cardiovascular indicators of nociception during isoflurane anaesthesia in pigs. Vet. Anaesth. Analg. 2001, 28, 126–131. [Google Scholar] [CrossRef]
- Sheil, M.; Polkinghorne, A. Optimal Methods of Documenting Analgesic Efficacy in Neonatal Piglets Undergoing Castration. Animals 2020, 10, 1450. [Google Scholar] [CrossRef] [PubMed]
- Byrd, C.J.; Johnson, J.S.; Radcliffe, J.S.; Craig, B.A.; Eicher, S.D.; Lay, D.C. Nonlinear analysis of heart rate variability for evaluating the growing pig stress response to an acute heat episode. Animal 2020, 14, 379–387. [Google Scholar] [CrossRef] [PubMed]
- von Borell, E.; Langbein, J.; Despres, G.; Hansen, S.; Leterrier, C.; Marchant-Forde, J.; Marchant-Forde, R.; Minero, M.; Mohr, E.; Prunier, A.; et al. Heart rate variability as a measure of autonomic regulation of cardiac activity for assessing stress and welfare in farm animals—A review. Physiol. Behav. 2007, 92, 293–316. [Google Scholar] [CrossRef]
- Forte, G.; Troisi, G.; Pazzaglia, M.; Pascalis, V.; Casagrande, M. Heart Rate Variability and Pain: A Systematic Review. Brain Sci. 2022, 12, 153. [Google Scholar] [CrossRef] [PubMed]
- Byrd, C.J.; Radcliffe, J.S.; Craig, B.A.; Eicher, S.D.; Lay, D.C. Measuring piglet castration pain using linear and non-linear maesures of heart rate variability. Anim. Welfare 2020, 29, 257–269. [Google Scholar] [CrossRef]
- Radeisen, M.F. Evaluation of Heart Rate Variabilty Measurements as Perioperative Pain Control in Castration Model in Pigs; FU Berlin: Berlin, Germany, 2020. [Google Scholar]
- Kulka, A.M.; Otto, K.A.; Bergfeld, C.; Beyerbach, M.; Kastner, S.B. Effects of isoflurane anesthesia with and without dexmedetomidine or remifentanil on quantitative electroencephalographic variables before and after nociceptive stimulation in dogs. Am. J. Vet. Res. 2012, 73, 602–609. [Google Scholar] [CrossRef]
- Wendt, S.; Söbbeler, F.J.; von Altrock, A.; Kästner, S.B.R. Ernittlung der minimalen alveolären Konzentration von Isofluran bei Saugferkeln—eine Herausforderung. In Proceedings of the DVG-Vet-Congress, Berlin, Germany, 15–17 October 2020; pp. 241–243. [Google Scholar]
- Otto, K.A.; Mally, P. Noxious stimulation during orthopaedic surgery results in EEG ‘arousal’ or ‘paradoxical arousal’ reaction in isoflurane-anaesthetised sheep. Res. Vet. Sci. 2003, 75, 103–112. [Google Scholar] [CrossRef]
- Otto, K.A. EEG power spectrum analysis for monitoring depth of anaesthesia during experimental surgery. Lab. Anim. 2008, 42, 45–61. [Google Scholar] [CrossRef]
- Pilge, S.; Zanner, R.; Schneider, G.; Blum, J.; Kreuzer, M.; Kochs, E.F. Time delay of index calculation: Analysis of cerebral state, bispectral, and narcotrend indices. Anesthesiology 2006, 104, 488–494. [Google Scholar] [CrossRef]
- Klesper, S.; Zanner, R.; Kochs, E.F.; Schmid, S.; Schnieder, G. Time delay of Narcotrend index calculation. Anaesthesiology 2005, 103, A61. [Google Scholar]
- Tünsmeyer, J. Processed Electroencephalogram (Narcotrend®) as an Additional Monitoring Tool of Anaesthetic Depth in Dogs Receiving Inhalation Anaesthesia; University of Veterinary Medicine: Hannover, Germany, 2007. [Google Scholar]
- Doll, M. Evaluation of the Nacrotrend EEG Monitor for Supervising Anaesthesia in Calves; Ludwig-Maximilians-Universität München: Munich, Germany, 2011. [Google Scholar]
- Martin-Cancho, M.F.; Lima, J.R.; Luis, L.; Crisostomo, V.; Ezquerra, L.J.; Carrasco, M.S.; Uson-Gargallo, J. Bispectral index, spectral edge frequency 95%, and median frequency recorded for various concentrations of isoflurane and sevoflurane in pigs. Am. J. Vet. Res. 2003, 64, 866–873. [Google Scholar] [CrossRef] [PubMed]
- Aranake, A.; Mashour, G.A.; Avidan, M.S. Minimum alveolar concentration: Ongoing relevance and clinical utility. Anaesthesia 2013, 68, 512–522. [Google Scholar] [CrossRef] [PubMed]
- Lerman, J.; Robinson, S.; Willis, M.M.; Gregory, G.A. Anesthetic requirements for halothane in young children 0-1 month and 1-6 months of age. Anesthesiology 1983, 59, 421–424. [Google Scholar] [CrossRef]
- Schieber, R.A.; Namnoum, A.; Sugden, A.; Shiu, G.K.; Orr, R.A.; Cook, D.R. Hemodynamic effects of isoflurane in the newborn piglet: Comparison with halothane. Anesth. Analg. 1986, 65, 633–638. [Google Scholar] [CrossRef] [PubMed]
- Anonymous. Fachinformation in Form der Zusammenfassung der Merkmale des Tierarzneimittels Isofluran Baxter® vet 1000mg/g Flüssigkeit zur Herstellung eines Dampfes zur Inhalation für Hunde, Katzen, Pferde und Schweine (Ferkel). Technical information in German. 2018. Available online: https://www.baxter.de/sites/g/files/ebysai1301/files/2020-11/isofluran_vet_fs.pdf (accessed on 15 December 2020).
- Petersen-Felix, S.; Arendt-Nielsen, L.; Bak, P.; Roth, D.; Fischer, M.; Bjerring, P.; Zbinden, A.M. Analgesic effect in humans of subanaesthetic isoflurane concentrations evaluated by experimentally induced pain. Br. J. Anaesth. 1995, 75, 55–60. [Google Scholar] [CrossRef]
- Jinks, S.L.; Dominguez, C.L.; Antognini, J.F. Drastic decrease in isoflurane minimum alveolar concentration and limb movement forces after thoracic spinal cooling and chronic spinal transection in rats. Anesthesiology 2005, 102, 624–632. [Google Scholar] [CrossRef]
- Wendt, S.; Söbbeler, F.J.; Waldmann, K.-H.; Kästner, S.B.R.; von Altrock, A. Local pain during piglet castration—Investigation on the distribution of local anesthetics from different injection sites. In Proceedings of the 12th European Symposium of Porcine Health Management, Online, 14–16 April 2021; p. 384. [Google Scholar]
- Ranheim, B.; Haga, H.A. Local anaesthesia for pigs subject to castration. Acta Vet. Scand. 2006, 48 (Suppl. SI), S13. [Google Scholar] [CrossRef][Green Version]
- Riff, C.; Le Caloch, A.; Dupouey, J.; Allanioux, L.; Leone, M.; Blin, O.; Bourgoin, A.; Guilhaumou, R. Local Anesthetic Plasma Concentrations as a Valuable Tool to Confirm the Diagnosis of Local Anesthetic Systemic Toxicity? A Report of 10 Years of Experience. Pharmaceutics 2022, 14, 708. [Google Scholar] [CrossRef]
- Scott, D.B.; Jebson, P.J.; Braid, D.P.; Ortengren, B.; Frisch, P. Factors affecting plasma levels of lignocaine and prilocaine. Br. J. Anaesth. 1972, 44, 1040–1049. [Google Scholar] [CrossRef]
- Di Giminiani, P.; Brierley, V.L.; Scollo, A.; Gottardo, F.; Malcolm, E.M.; Edwards, S.A.; Leach, M.C. The Assessment of Facial Expressions in Piglets Undergoing Tail Docking and Castration: Toward the Development of the Piglet Grimace Scale. Front. Vet. Sci. 2016, 3, 100. [Google Scholar] [CrossRef]
- McLeod, I.K. Local Anesthetics. Available online: https://emedicine.medscape.com/article/873879-overview (accessed on 2 April 2021).
- Gutzwiller, A. Kastration von Ferkeln unter Lokalanästhesie. Agrarforschung 2003, 10, 10–13. [Google Scholar]
- Morris, R.; McKay, W.; Mushlin, P. Comparison of pain associated with intradermal and subcutaneous infiltration with various local anesthetic solutions. Anesth. Analg. 1987, 66, 1180–1182. [Google Scholar] [CrossRef] [PubMed]
- Otto, K.A.; Gerich, T. Comparison of simultaneous changes in electroencephalographic and haemodynamic variables in sheep anaesthetised with halothane. Vet. Rec. 2001, 149, 80–84. [Google Scholar] [CrossRef] [PubMed]
- Roizen, M.F.; Horrigan, R.W.; Frazer, B.M. Anesthetic doses blocking adrenergic (stress) and cardiovascular responses to incision--MAC BAR. Anesthesiology 1981, 54, 390–398. [Google Scholar] [CrossRef]
- Coutant, M.; Malnkvist, J.; Kaiser, M.; Foldager, L.; Herskin, M.S. Piglet´s acute responses to procaine-based local anesthetics injection and surgical castration: Effects of two volumes of anesthetic. Front. Pain Res. 2022, 3, 943138. [Google Scholar] [CrossRef]
- Rauh, A.; Hofmann, K.; Harlizius, J.; Weiss, C.; Numberger, J.; Scholz, T.; Schulze-Horsel, T.; Otten, W.; Ritzmann, M.; Zols, S. Pain and distress response of suckling piglets to injection and castration under local anaesthesia with procaine and licocaine-Part 2: Defence behaviour, catecholamines, coordination of movements. Tierärztl. Prax. Ausg. G Großtiere Nutztiere 2019, 47, 160–170. [Google Scholar] [CrossRef]
- Koenig, J.; Jarczok, M.N.; Ellis, R.J.; Hillecke, T.K.; Thayer, J.F. Heart rate variability and experimentally induced pain in healthy adults: A systematic review. Eur. J. Pain 2014, 18, 301–314. [Google Scholar] [CrossRef]
- Moak, J.P.; Goldstein, D.S.; Eldadah, B.A.; Saleem, A.; Holmes, C.; Pechnik, S.; Sharabi, Y. Supine low-frequency power of heart rate variability reflects baroreflex function, not cardiac sympathetic innervation. Heart Rhythm 2007, 4, 1523–1529. [Google Scholar] [CrossRef]
- McCraty, R.; Shaffer, F. Heart rate variability: New perspectives on physiological mechanisms, assessment of self-regulatory capacity, and health risk. Glob. Adv. Health Med. 2015, 4, 46–61. [Google Scholar] [CrossRef]
- Clement, C.I.; Keay, K.A.; Owler, B.K.; Bandler, R. Common patterns of increased and decreased fos expression in midbrain and pons evoked by noxious deep somatic and noxious visceral manipulations in the rat. J. Comp. Neurol. 1996, 366, 495–515. [Google Scholar] [CrossRef]
- Haga, H.A.; Lykkjen, S.; Revold, T.; Ranheim, B. Effect of intratesticular injection of lidocaine on cardiovascular responses to castration in isoflurane-anesthetized stallions. Am. J. Vet. Res. 2006, 67, 403–408. [Google Scholar] [CrossRef] [PubMed]
- van Lieshout, J.J.; Wieling, W.; Karemaker, J.M.; Eckberg, D.L. The vasovagal response. Clin. Sci. 1991, 81, 575–586. [Google Scholar] [CrossRef] [PubMed]
- Burton, A.R.; Birznieks, I.; Bolton, P.S.; Henderson, L.A.; Macefield, V.G. Effects of deep and superficial experimentally induced acute pain on muscle sympathetic nerve activity in human subjects. J. Physiol. 2009, 587, 183–193. [Google Scholar] [CrossRef] [PubMed]
- Raue, J.F.; Tarvainen, M.P.; Kastner, S.B.R. Experimental study on the effects of isoflurane with and without remifentanil or dexmedetomidine on heart rate variability before and after nociceptive stimulation at different MAC multiples in cats. BMC Vet. Res. 2019, 15, 258. [Google Scholar] [CrossRef]
- Levy, M.N. Neural control of cardiac function. Bailliere’s Clin. Neurol. 1997, 6, 227–244. [Google Scholar]










| Group | P0.3 | P0.5 | L0.3 | L0.5 | M0.3 | M0.5 | S0.3 | S0.5 | IM |
|---|---|---|---|---|---|---|---|---|---|
| drug | procaine 2% | procaine 2% | lidocaine 2% | lidocaine 2% | mepivacaine 2% | mepivacaine 2% | saline 0.9% | saline 0.9% | saline 0.9% |
| volume per site (mL) | 0.3 | 0.5 | 0.3 | 0.5 | 0.3 | 0.5 | 0.3 | 0.5 | 0.5 |
| total dose | 5 mg kg−1 diluted in saline | 40 mg undiluted | 4 mg kg−1 diluted in saline | 40 mg undiluted | 0.4 mg kg−1 diluted in saline | 40 mg undiluted | |||
| total volume (mL) | 1.2 | 2 | 1.2 | 2 | 1.2 | 2 | 1.2 | 2 | 0.5 |
| P0.3 | P0.5 | L0.3 | L0.5 | M0.3 | M0.5 | S0.3 | S0.5 | |
|---|---|---|---|---|---|---|---|---|
| skin incision | 6 a,c | 1 a | 9 b,c | 4 a | 12 c,d | 1 a | 10 c,d | 14 d |
| exteriorization | 10 b | 1 a | 4 a | 2 a | 16 c | 1 a | 18 c | 15 b,c |
| emasculation | 16 c | 8 b | 9 b | 1 a | 19 c | 3 a | 18 c | 17 c |
| no reaction | 2 | 10 | 6 | 15 | 0 | 17 | 2 | 2 |
Publisher’s Note: MDPI stays neutral with regard to jurisdictional claims in published maps and institutional affiliations. |
© 2022 by the authors. Licensee MDPI, Basel, Switzerland. This article is an open access article distributed under the terms and conditions of the Creative Commons Attribution (CC BY) license (https://creativecommons.org/licenses/by/4.0/).
Share and Cite
Söbbeler, F.J.; Wendt, S.; Briese, A.; Tünsmeier, J.; Waldmann, K.-H.; Kästner, S.B.R.; von Altrock, A. Comparative Study of Pain-Related Responses of Male Piglets up to Seven Days of Age to the Application of Different Local Anaesthetics and Subsequent Castration. Animals 2022, 12, 2833. https://doi.org/10.3390/ani12202833
Söbbeler FJ, Wendt S, Briese A, Tünsmeier J, Waldmann K-H, Kästner SBR, von Altrock A. Comparative Study of Pain-Related Responses of Male Piglets up to Seven Days of Age to the Application of Different Local Anaesthetics and Subsequent Castration. Animals. 2022; 12(20):2833. https://doi.org/10.3390/ani12202833
Chicago/Turabian StyleSöbbeler, Franz Josef, Sören Wendt, Andreas Briese, Julia Tünsmeier, Karl-Heinz Waldmann, Sabine Beate Rita Kästner, and Alexandra von Altrock. 2022. "Comparative Study of Pain-Related Responses of Male Piglets up to Seven Days of Age to the Application of Different Local Anaesthetics and Subsequent Castration" Animals 12, no. 20: 2833. https://doi.org/10.3390/ani12202833
APA StyleSöbbeler, F. J., Wendt, S., Briese, A., Tünsmeier, J., Waldmann, K.-H., Kästner, S. B. R., & von Altrock, A. (2022). Comparative Study of Pain-Related Responses of Male Piglets up to Seven Days of Age to the Application of Different Local Anaesthetics and Subsequent Castration. Animals, 12(20), 2833. https://doi.org/10.3390/ani12202833

