Behaviour and Welfare Impacts of Releasing Elephants from Overnight Tethers: A Zimbabwean Case Study
Abstract
:Simple Summary
Abstract
1. Introduction
2. Materials and Methods
2.1. Subjects and Study Site
2.2. Behavioural Observations
2.3. Data Analysis
2.4. Ethics Statement
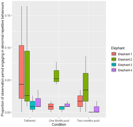
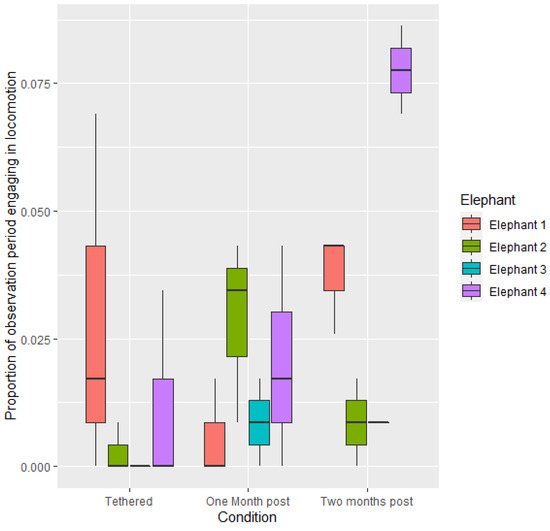
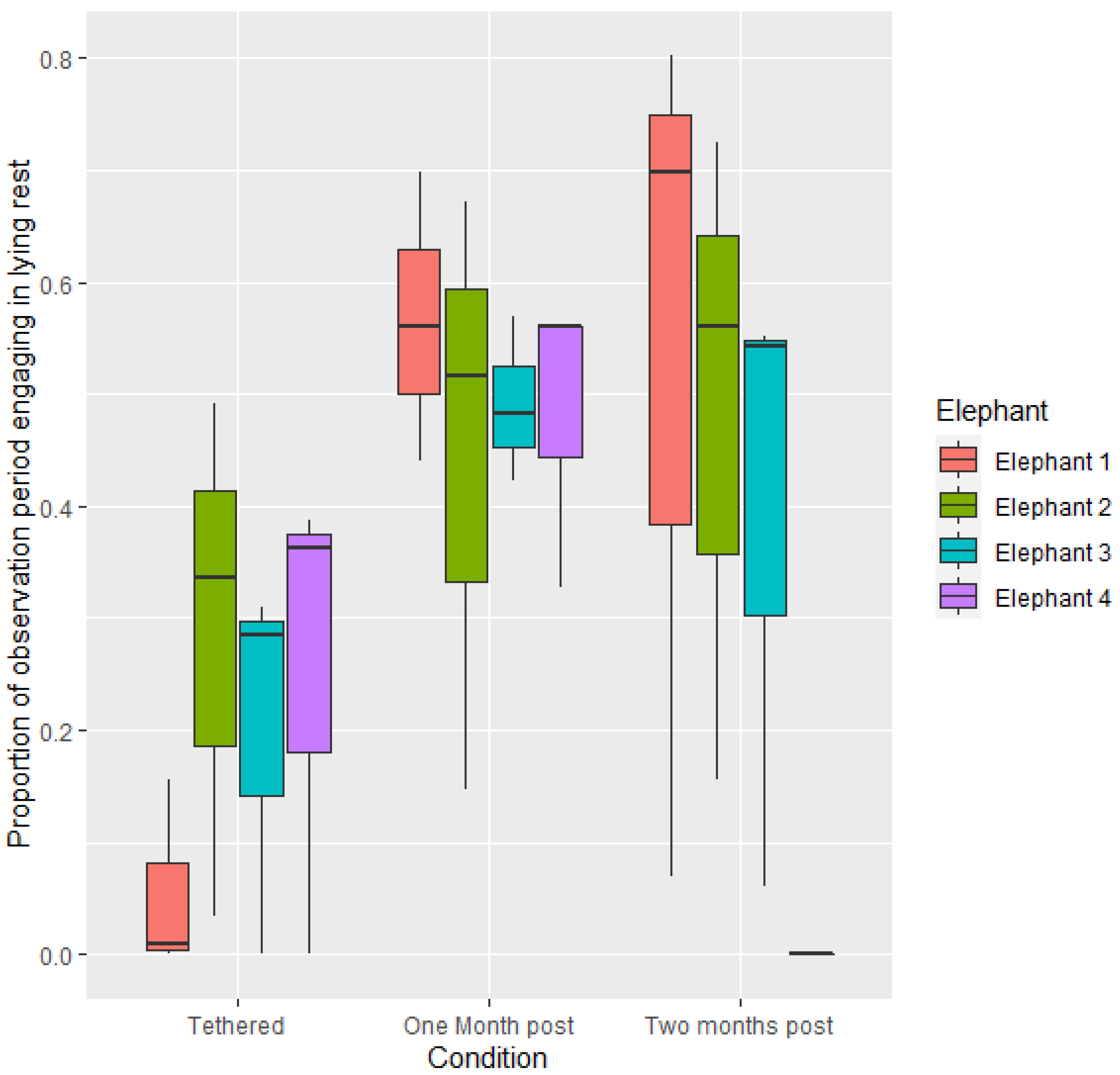
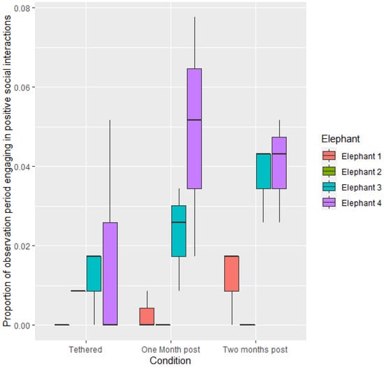
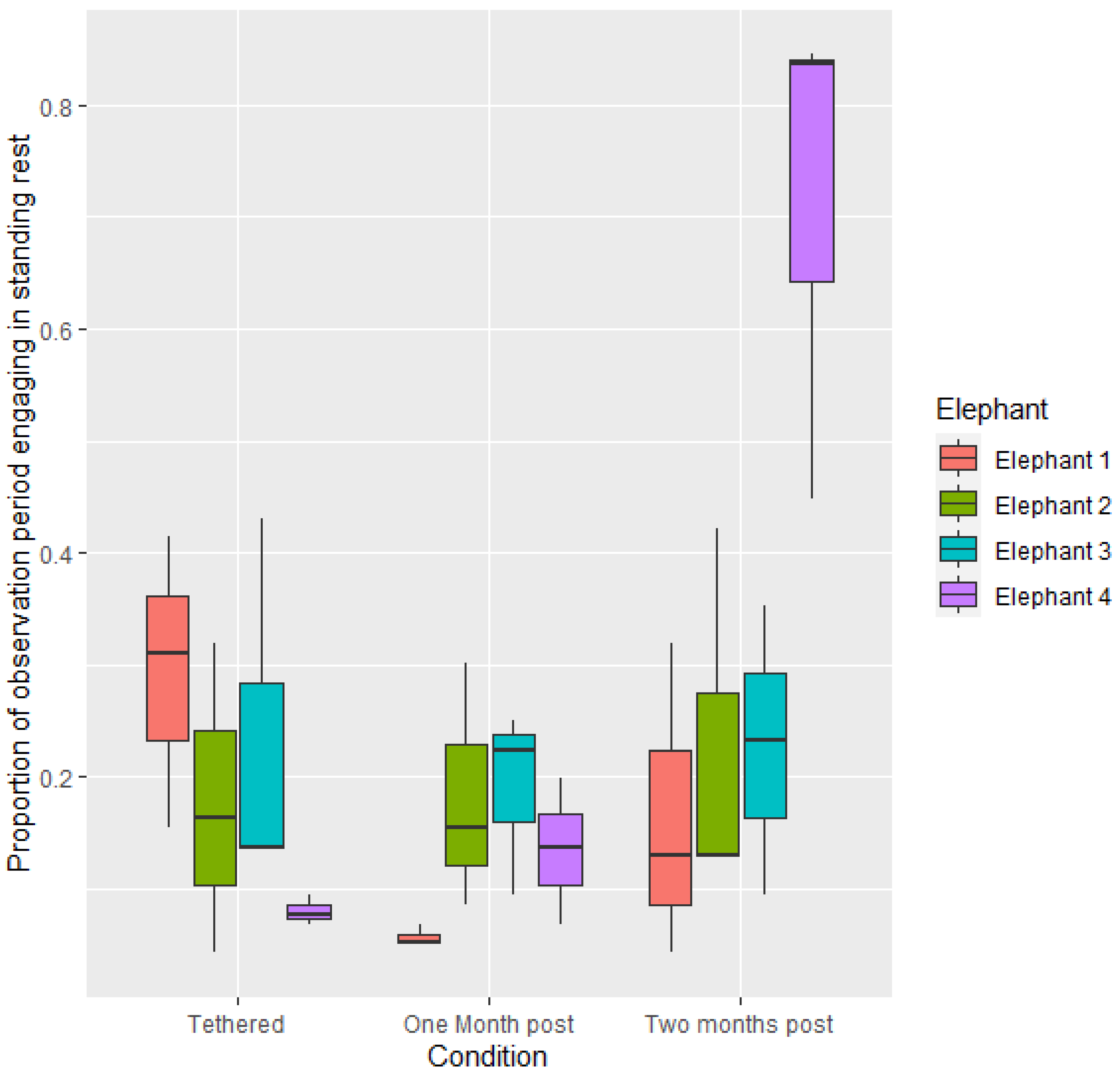
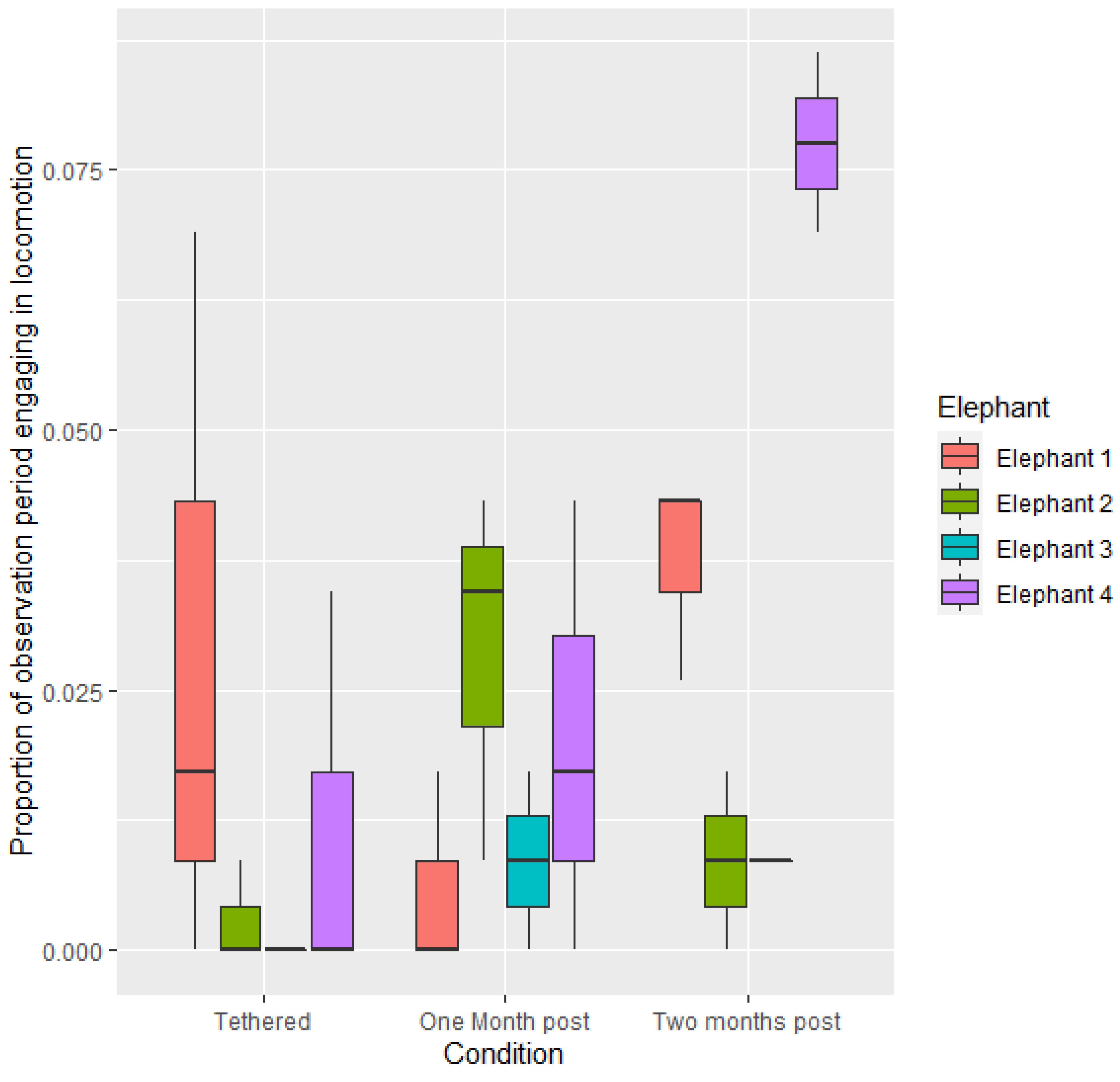
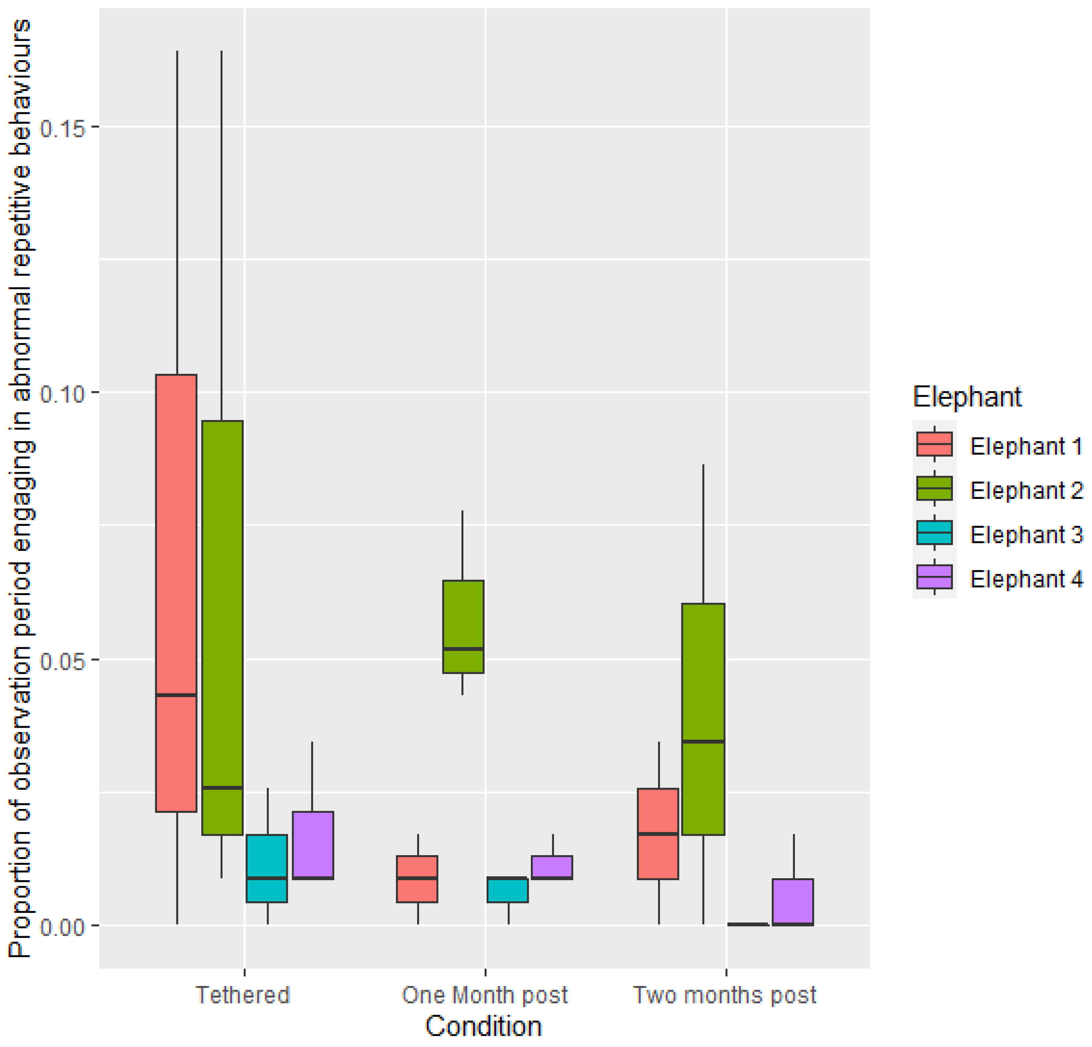
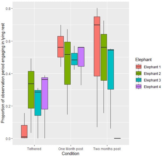
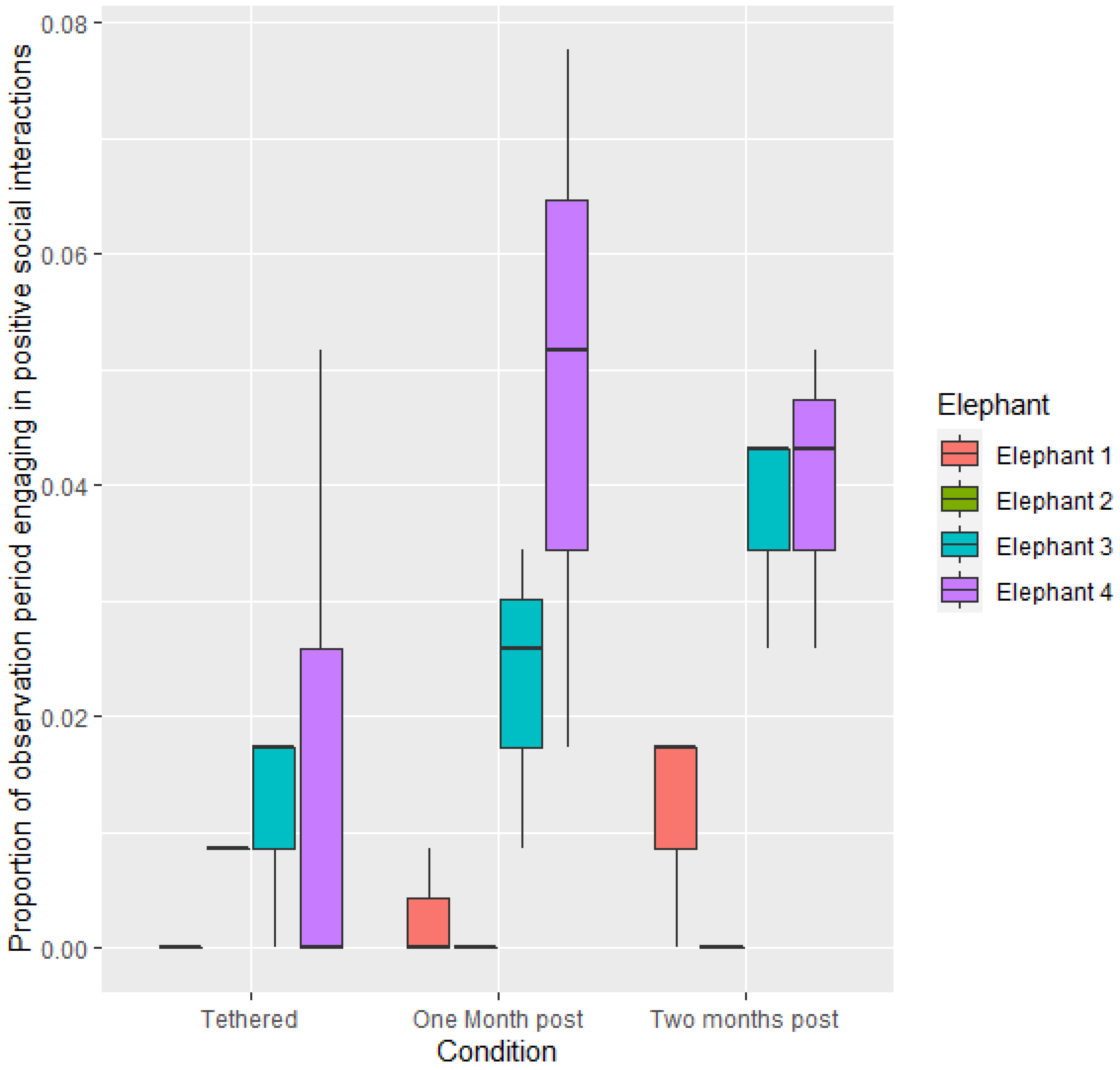
3. Results
4. Discussion
Recommendations for Future RESEARCH and Advancements in Practice
5. Conclusions
Author Contributions
Funding
Institutional Review Board Statement
Data Availability Statement
Acknowledgments
Conflicts of Interest
References
- World Tourism Organization, I.T.C. Tourism for Sustainable Development in Least Developed Countries: Leveraging Resources for Sustainable Tourism with the Enhanced Integrated Framework; UNWTO: Madrid, Spain; ITC and EIF: Geneva, Switzerland, 2017; ISBN 978-92-844-1884-8. [Google Scholar]
- Porter, J. Do’s and Don’t of Ethical Animal Tourism in South Africa. The Journal of African Elephants. Available online: https://www.africanelephantjournal.com/dos-and-dont-of-ethical-animal-tourism-in-south-africa/ (accessed on 28 April 2022).
- Frank, B. Human-Wildlife Conflicts and the Need to Include Tolerance and Coexistence: An Introductory Comment. Soc. Nat. Resour. 2015, 29, 738–743. [Google Scholar] [CrossRef]
- Moorhouse, T.P.; Dahlsjö, C.A.L.; Baker, S.E.; D’Cruze, N.C.; Macdonald, D.W. The Customer Isn’t Always Right—Conservation and Animal Welfare Implications of the Increasing Demand for Wildlife Tourism. PLoS ONE 2015, 10, e0138939. [Google Scholar] [CrossRef] [PubMed] [Green Version]
- Bansiddhi, P.; Brown, J.L.; Thitaram, C.; Punyapornwithaya, V.; Nganvongpanit, K. Elephant Tourism in Thailand: A Review of Animal Welfare Practices and Needs. J. Appl. Anim. Welf. Sci. 2019, 23, 164–177. [Google Scholar] [CrossRef] [PubMed]
- Duffy, R.; Moore, L. Neoliberalising Nature? Elephant-Back Tourism in Thailand and Botswana. Antipode 2010, 42, 742–766. [Google Scholar] [CrossRef]
- Schmidt-Burbach, J. Taken for a Ride: The Conditions for Elephants Used in Tourism in Asia; World Animal Protection: London, UK, 2017. [Google Scholar]
- Duffy, R. Interactive Elephants: Nature, Tourism and Neoliberalism. Ann. Tour. Res. 2014, 44, 88–101. [Google Scholar] [CrossRef]
- World Animal Protection. Breaking Africa’s Elephants: Exposing the Rise of Cruel Tourist Rides; World Animal Protection: London, UK, 2015. [Google Scholar]
- Bansiddhi, P.; Brown, J.L.; Thitaram, C.; Punyapornwithaya, V.; Somgird, C.; Edwards, K.L.; Nganvongpanit, K. Changing Trends in Elephant Camp Management in Northern Thailand and Implications for Welfare. PeerJ 2018, 6, e5996. [Google Scholar] [CrossRef] [Green Version]
- Schmidt-Burbach, J. Elephants. Not Commodities. Taken for a Ride 2; World Animal Protection: London, UK, 2020. [Google Scholar]
- ABTA. How the Travel Industry Is Working to Improve the Welfare of Elephants in Tourism. Available online: https://www.abta.com/sustainability/animal-welfare/how-travel-industry-working-improve-welfare-elephants-tourism (accessed on 29 April 2022).
- Wiedenmayer, C.; Tanner, R. Untethered Housing of Asian Elephants Elephas Maximus at Zurich Zoo. Int. Zoo Yearb. 1995, 34, 200–205. [Google Scholar] [CrossRef]
- Brockett, R.C.; Stoinski, T.S.; Black, J.; Markowitz, T.; Maple, T.L. Nocturnal Behavior in a Group of Unchained Female African Elephants. Zoo Biol. 1999, 18, 101–109. [Google Scholar] [CrossRef]
- Wilson, M.L.; Bashaw, M.J.; Fountain, K.; Kieschnick, S.; Maple, T.L. Nocturnal Behavior in a Group of Female African Elephants. Zoo Biol. 2006, 25, 173–186. [Google Scholar] [CrossRef]
- Chadwick, C.; Williams, E.; Asher, L.; Yon, L. Incorporating Stakeholder Perspectives into the Assessment and Provision of Captive Elephant Welfare. Anim. Welf. 2017, 26, 461–472. [Google Scholar] [CrossRef]
- Gurusamy, V.; Tribe, A.; Phillips, C.J.C. Identification of Major Welfare Issues for Captive Elephant Husbandry by Stakeholders. Anim. Welf. 2014, 23, 11–24. [Google Scholar] [CrossRef]
- Buchanan-Smith, H.M.; Badihi, I. The Psychology of Control: Effects of Control over Supplementary Light on Welfare of Marmosets. Appl. Anim. Behav. Sci. 2012, 137, 166–174. [Google Scholar] [CrossRef]
- Coe, J.; Hoy, J. Choice, Control and Computers: Empowering Wildlife in Human Care. Multimodal Technol. Interact. 2020, 4, 92. [Google Scholar] [CrossRef]
- Whitham, J.C.; Wielebnowski, N. New Directions for Zoo Animal Welfare Science. Appl. Anim. Behav. Sci. 2013, 147, 247–260. [Google Scholar] [CrossRef]
- Friend, T.H.; Parker, M.L. The Effect of Penning Versus Picketing on Stereotypic Behavior of Circus Elephants. Appl. Anim. Behav. Sci. 1999, 64, 213–225. [Google Scholar] [CrossRef]
- Schmid, J. Keeping Circus Elephants Temporarily in Paddocks—The Effects on Their Behaviour. Anim. Welf. 1995, 4, 87–101. [Google Scholar]
- Williams, E.; Chadwick, C.; Yon, L.; Asher, L. A Review of Current Indicators of Welfare in Captive Elephants (Loxodonta africana and Elephas maximus). Anim. Welf. 2018, 27, 235–249. [Google Scholar] [CrossRef] [Green Version]
- EAZA. EAZA Best Practice Guidelines for Elephants; EAZA: Amsterdam, The Netherlands, 2020. [Google Scholar]
- AZA. AZA Standards for Elephant Management and Care; AZA: Silver Spring, MD, USA, 2012. [Google Scholar]
- Phangkum, P.; Lair, R.; Angkawanith, T. Elephant Care Manual for Mahouts and Camp Managers; Forest Industry Organisation: Bangkok, Thailand, 2005. [Google Scholar]
- DEMAZ. The Domesticated Elephant Management Association of Zimbabwe (DEMAZ) Constitution; DEMAZ: Zimbabwe, 2000. [Google Scholar]
- Roocroft, A.; Oosterhuis, J. Foot Care for Captive Elephants. In The Elephant’s Foot; Csuti, B., Sargent, E., Berchert, U., Eds.; Iowa State University Press: Ames, IA, USA, 2001; pp. 21–52. [Google Scholar]
- Hittmair, K.M.; Vielgrader, H.D. Radiographic Diagnosis of Lameness in African Elephants (Loxodonta africana). Vet. Radiol. Ultrasound 2000, 41, 511–515. [Google Scholar] [CrossRef]
- Gruber, T.; Friend, T.; Gardner, J.; Packard, J.; Beaver, B.; Bushong, D. Variation in Stereotypic Behavior Related to Restraint in Circus Elephants. Zoo Biol. 2000, 19, 209–221. [Google Scholar] [CrossRef]
- Kosaruk, W.; Brown, J.L.; Plangsangmas, T.; Towiboon, P.; Punyapornwithaya, V.; Silva-Fletcher, A.; Thitaram, C.; Khonmee, J.; Edwards, K.L.; Somgird, C. Effect of Tourist Activities on Fecal and Salivary Glucocorticoids and Immunoglobulin A in Female Captive Asian Elephants in Thailand. Animals 2020, 10, 1928. [Google Scholar] [CrossRef]
- Harris, M.; Sherwin, C.; Harris, S. The Welfare, Housing and Husbandry of Elephants in UK Zoos. Defra WC05007; Defra: London, UK, 2008.
- Ward, S.J.; Williams, E.; Groves, G.; Marsh, S.; Morgan, D. Using Zoo Welfare Assessments to Identify Common Issues in Developing Country Zoos. Animals 2020, 10, 2101. [Google Scholar] [CrossRef]
- Yon, L.; Hare, V.; Laule, L.; Ng, D. Elephant Welfare and Behaviour Management Workshop. In Proceedings of the Golden Triangle Asian Elephant Foundation, Chiang Rai, Thailand, 7–11 June 2017. [Google Scholar]
- We Are All Mammals Welfare and Conservation Knowledge Exchange. Available online: https://www.weareallmammals.org (accessed on 29 April 2022).
- Bansiddhi, P.; Brown, J.L.; Khonmee, J.; Norkaew, T.; Nganvongpanit, K.; Punyapornwithaya, V.; Angkawanish, T.; Somgird, C.; Thitaram, C. Management Factors Affecting Adrenal Glucocorticoid Activity of Tourist Camp Elephants in Thailand and Implications for Elephant Welfare. PLoS ONE 2019, 14, e0221537. [Google Scholar] [CrossRef] [Green Version]
- eleCREW Our Goals. Available online: https://www.elecrew.org/our-story (accessed on 29 April 2022).
- Asher, L.; Williams, E.; Yon, L. Developing Behavioural Indicators, as Part of a Wider Set of Indicators, to Assess the Welfare of Elephants in UK Zoos Defra Project WC1081; Defra: London, UK, 2015.
- R Studio Team. RStudio: Integrated Development for R; R Studio, PBC: Boston, MA, USA, 2020. [Google Scholar]
- Hothorn, T.; Bretz, F.; Westfall, P. Simultaneous Inference in General Parametric Models. Biom. J. 2008, 50, 346–363. [Google Scholar] [CrossRef] [Green Version]
- Lenth, R.V.; Buerkner, P.; Herve, M.; Love, J.; Miguez, F.; Riebl, H.; Singmann, H. Emmeans: Estimated Marginal Means, Aka Least-Squares Means. In R Foundation for Statistical Computing; R Software: Vienna, Austria, 2022; Available online: https://CRAN.R-project.org/package=emmeans/ (accessed on 14 March 2022).
- Kassambara, A. Ggpubr: “ggplot2” Based Publication Ready Plots; Springer: New York, NY, USA, 2020. [Google Scholar]
- Wickham, H. ggplot2: Elegant Graphics for Data Analysis; Springer International Publishing: Cham, Switzerland, 2016; ISBN 978-3-319-24275-0. [Google Scholar]
- Horback, K.M.; Miller, L.J.; Andrews, J.R.M.; Ii, S.A.K. Diurnal and Nocturnal Activity Budgets of Zoo Elephants in an Outdoor Facility. Zoo Biol. 2014, 33, 403–410. [Google Scholar] [CrossRef] [PubMed]
- Lukacs, D.; Poulin, M.; Besenthal, H.; Fad, O.; Miller, S.; Atkinson, J.; Finegan, E. Diurnal and Nocturnal Activity Time Budgets of Asian Elephants (Elephas maximus) in a Zoological Park. Anim. Behav. Cogn. 2016, 3, 63–77. [Google Scholar] [CrossRef]
- Williams, E.; Bremner-Harrison, S.; Harvey, N.; Evison, E.; Yon, L. An Investigation into Resting Behavior in Asian Elephants in UK Zoos. Zoo Biol. 2015, 34, 406–417. [Google Scholar] [CrossRef] [PubMed]
- Holdgate, M.R.; Meehan, C.L.; Hogan, J.N.; Miller, L.J.; Rushen, J.; de Passillé, A.M.; Soltis, J.; Andrews, J.; Shepherdson, D.J. Recumbence Behavior in Zoo Elephants: Determination of Patterns and Frequency of Recumbent Rest and Associated Environmental and Social Factors. PLoS ONE 2016, 11, e0153301. [Google Scholar] [CrossRef] [PubMed] [Green Version]
- Finch, K.; Sach, F.; Fitzpatrick, M.; Rowden, L. Insights into Activity of Zoo Housed Asian Elephants (Elephas maximus) during Periods of Limited Staff and Visitor Presence, a Focus on Resting Behaviour. J. Zool. Bot. Gard. 2021, 2, 101–114. [Google Scholar] [CrossRef]
- Walsh, B. Asian Elephant (Elephas maximus) Sleep Study—Long-Term Quantitative Research at Dublin Zoo. J. Zoo Aquar. Res. 2017, 5, 82–85. [Google Scholar] [CrossRef]
- Schiffmann, C.; Hoby, S.; Wenker, C.; Hård, T.; Scholz, R.; Clauss, M.; Hatt, J.-M. When Elephants Fall Asleep: A Literature Review on Elephant Rest with Case Studies on Elephant Falling Bouts, and Practical Solutions for Zoo Elephants. Zoo Biol. 2018, 37, 133–145. [Google Scholar] [CrossRef]
- Evison, E.; McKenzie, A.; Holmes, L. Social and Environmental Impacts on Sleep in Captive Asian Elephants (Elephas maximus). Zoo Biol. 2020, 39, 397–404. [Google Scholar] [CrossRef]
- Abhang, P.A.; Gawali, B.W.; Mehrotra, S.C. Chapter 3—Technical Aspects of Brain Rhythms and Speech Parameters. In Introduction to EEG- and Speech-Based Emotion Recognition; Abhang, P.A., Gawali, B.W., Mehrotra, S.C., Eds.; Academic Press: Cambridge, MS, USA, 2016; pp. 51–79. ISBN 978-0-12-804490-2. [Google Scholar]
- Lesku, J.A.; Roth, T.C.; Rattenborg, N.C.; Amlaner, C.J.; Lima, S.L. Phylogenetics and the Correlates of Mammalian Sleep: A Reappraisal. Sleep Med. Rev. 2008, 12, 229–244. [Google Scholar] [CrossRef]
- Tobler, I. Behavioral Sleep in the Asian Elephant in Captivity. Sleep 1992, 15, 1–12. [Google Scholar] [CrossRef] [Green Version]
- Schiffmann, C.; Hellriegel, L.; Clauss, M.; Stefan, B.; Knibbs, K.; Wenker, C.; Hård, T.; Galeffi, C. From Left to Right All through the Night: Characteristics of Lying Rest in Zoo Elephants. Zoo Biol. 2022, 1–9. [Google Scholar] [CrossRef]
- Gravett, N.; Bhagwandin, A.; Sutcliffe, R.; Landen, K.; Chase, M.J.; Lyamin, O.; Siegel, J.M.; Manger, P.R. Inactivity/Sleep in Two Wild Free-Roaming African Elephant Matriarchs—Does Large Body Size Make Elephants the Shortest Mammalian Sleepers? PLoS ONE 2017, 12, e0171903. [Google Scholar] [CrossRef]
- Koyama, N.; Ueno, Y.; Eguchi, Y.; Uetake, K.; Tanaka, T. Effects of Daily Management Changes on Behavioral Patterns of a Solitary Female African Elephant (Loxodonta africana) in a Zoo. Anim. Sci. J. 2012, 83, 562–570. [Google Scholar] [CrossRef]
- Williams, E.; Bremner-Harrison, S.; Hall, C.; Carter, A. Understanding Temporal Social Dynamics in Zoo Animal Management: An Elephant Case Study. Animals 2020, 10, 882. [Google Scholar] [CrossRef]
- Garaï, M.E. Special Relationships between Female Asian Elephants (Elephas maximus) in Zoological Gardens. Ethology 2010, 90, 187–205. [Google Scholar] [CrossRef]
- Vanitha, V.; Thiyagesan, K.; Baskaran, N. Daily Routine of Captive Asian Elephants (Elephas maximus) in Three Management Systems of Tamil Nadu, India and Its Implications for Elephant Welfare. Sci. Trans. Environ. Technov. 2010, 3, 116–122. [Google Scholar] [CrossRef]
- Williams, E.; Carter, A.; Hall, C.; Bremner-Harrison, S. Social Interactions in Zoo-Housed Elephants: Factors Affecting Social Relationships. Animals 2019, 9, 747. [Google Scholar] [CrossRef] [Green Version]
- De Silva, S.; Ranjeewa, A.D.; Kryazhimskiy, S. The Dynamics of Social Networks among Female Asian Elephants. BMC Ecol. 2011, 11, 17. [Google Scholar] [CrossRef] [Green Version]
- Moss, C.; Poole, J. Relationships and Social Structure in African Elephants. In Primate Social Relationships: An Integrated Approach; Hinde, R., Ed.; Blackwell Scientific Publications: Oxford, UK, 1983. [Google Scholar]
- Zoos Forum. Elephants in UK Zoos: Zoos Forum Review of Issues in Elephant Husbandry in UK Zoos in the Light of the Report by Harris et al (2008); Defra: London, UK, 2010.
- Williams, E.; Bremner-Harrison, S.; Ward, S. Can We Meet the Needs of Social Species in Zoos? An Overview of the Impact of Group Housing on Welfare in Socially Housed Zoo Mammals. In Zoo Animals: Husbandry, Welfare and Public Interactions; Berger, M., Corbett, S., Eds.; Nova Science Publishers: New York, NY, USA, 2018. [Google Scholar]
- Rees, P. Are Elephant Enrichment Studies Missing the Point? Ratel 2000, 27, 230–232. [Google Scholar]
- Brando, S.; Buchanan-Smith, H.M. The 24/7 Approach to Promoting Optimal Welfare for Captive Wild Animals. Behav. Process. 2018, 156, 83–95. [Google Scholar] [CrossRef]
- Mason, G.J. Stereotypies: A critical review. Anim. Behav. 1991, 41, 1015–1037. [Google Scholar] [CrossRef] [Green Version]
- Mason, G.J.; Latham, N.R. Can’t Stop, Won’t Stop: Is Stereotypy a Reliable Animal Welfare Indicator? Anim. Welf. 2004, 13, S57–S69. [Google Scholar]
- Rendle-Worthington, J.; Kiley-Worthington, M.; Yon, L.; Nicol, C. Standards for the Management and Welfare of Elephants in Human Care in Southern Africa. In We Are All Mammals—Welfare and Conservation Knowledge Exchange; Independent Publishing Network: London, UK, 2021; ISBN 978-1-80068-007-4. [Google Scholar]
- Veasey, J.S. Assessing the Psychological Priorities for Optimising Captive Asian Elephant (Elephas maximus) Welfare. Animals 2019, 10, 39. [Google Scholar] [CrossRef] [Green Version]
- Meehan, C.L.; Mench, J.A.; Carlstead, K.; Hogan, J.N. Determining Connections between the Daily Lives of Zoo Elephants and Their Welfare: An Epidemiological Approach. PLoS ONE 2016, 11, e0158124. [Google Scholar] [CrossRef] [PubMed] [Green Version]
- Greco, B.J.; Meehan, C.L.; Hogan, J.N.; Leighty, K.A.; Mellen, J.; Mason, G.J.; Mench, J.A. The Days and Nights of Zoo Elephants: Using Epidemiology to Better Understand Stereotypic Behavior of African Elephants (Loxodonta africana) and Asian Elephants (Elephas maximus) in North American Zoos. PLoS ONE 2016, 11, e0144276. [Google Scholar] [CrossRef] [PubMed]
- Readyhough, T.S.; Joseph, S.; Davis, M.; Moresco, A.; Schreier, A.L. Impacts of Socialization on Bull Asian Elephant (Elephas maximus) Stereotypical Behavior. J. Zool. Bot. Gard. 2022, 3, 113–130. [Google Scholar] [CrossRef]
- Kurt, F.; Garai, M. Stereotypies in Captive Asian Elephants—A Symptom of Social Isolation. In Recent Research on Elephants and Rhinos: Abstracts Ofthe International Elephant and Rhino Symposium, Vienna; Kurtycz, L., Wagner, K., Ross, S., Eds.; Sch€uling Verlag: Munster, Germany, 2001; pp. 57–63. [Google Scholar]
- Hartley, M.; Wood, A.; Yon, L. Facilitating the Social Behaviour of Bull Elephants in Zoos. Int. Zoo Yearb. 2019, 53, 62–77. [Google Scholar] [CrossRef]
- Hutchins, M. Variation in Nature: Its Implications for Zoo Elephant Management. Zoo Biol. 2006, 25, 161–171. [Google Scholar] [CrossRef]
- Stroud, P. Defining Issues of Space in Zoos. J. Vet. Behav. 2007, 2, 219–222. [Google Scholar] [CrossRef]
- Watters, J.V.; Powell, D.M. Measuring Animal Personality for Use in Population Management in Zoos: Suggested Methods and Rationale. Zoo Biol. 2011, 31, 1–12. [Google Scholar] [CrossRef]
- Williams, E.; Carter, A.; Hall, C.; Bremner-Harrison, S. Exploring the Relationship between Personality and Social Interactions in Zoo-Housed Elephants: Incorporation of Keeper Expertise. Appl. Anim. Behav. Sci. 2019, 221, 104876. [Google Scholar] [CrossRef]





| Elephant | Sex | Age at Time of Study | Housing | Study Dates | Minutes of Footage Per Condition | Mean (±SD) Number of Scans Out of Sight | ||||||
|---|---|---|---|---|---|---|---|---|---|---|---|---|
| Tethered | One-Month Post | Two Months Post | Tethered | One-Month Post | Two Months Post | Tethered | One-Month Post | Two Months Post | ||||
| E1 | M | 19 | Lone housed | 24, 26, 29 December 2019 | 2–4 February 2020 | 19, 23, 28 February | 1210 | 1355 | 1910 | 0 ± 0 | 4 ± 3 | 14 ± 1 |
| E2 | M | 19 | Lone housed | 14–16 February 2020 | 1–3 March 2020 | 1145 | 1925 | 1965 | 0 ± 0 | 22 ± 2 | 20 ± 20 | |
| E3 | M | 45 | Pair housed once released from tethers | 31 Jan–2 February 2020 | 19, 23, 28 February | 1190 | 1565 | 1745 | 0 ± 0 | 0 ± 0 | 0 ± 0 | |
| E4 | M | 23 | 31 January–2 February 2020 | 19, 23, 28 February | 1190 | 1575 | 1910 | 20 ± 17 | 3 ± 2 | 0 ± 0 | ||
| Behaviour | Description |
|---|---|
| Locomotion | Taking two or more steps in any direction in a non-repetitive pattern |
| Stand | Standing still but not resting, animal is alert and eyes are open |
| Standing rest | Upright and stationary with 3 or 4 feet on the ground. Not performing any other behaviour. Eyes may be closed. End of trunk usually curled on ground. Individual may be leaning on an object (e.g., enclosure bars, or a tree) or conspecific. |
| Lying rest | Lateral recumbence, no other behaviours are being performed |
| Social positive | Engaging in positive social behaviours (e.g., reaching the trunk towards other elephants, social play, trunk touch) |
| Social negative | Engaging in negative social behaviour (e.g., fighting, aggression) |
| Abnormal repetitive behaviour | Repetitive behaviour with no obvious function or purpose |
| Feeding | the process of locating and consuming food stuffs |
| Maintenance | Any self-maintenance or grooming behaviour (e.g., dust bath, rubbing) |
| Environmental interaction | Investigating or interacting with things in the environment (other than food) |
| Behaviour | Elephant 1 | Elephant 2 | Elephant 3 | Elephant 4 | ||||||||
|---|---|---|---|---|---|---|---|---|---|---|---|---|
| Tethered | 4 Weeks Post Release | 8 Weeks Post Release | Tethered | 4 Weeks Post Release | 8 Weeks Post Release | Tethered | 4 Weeks Post Release | 8 Weeks Post Release | Tethered | 4 Weeks Post Release | 8 Weeks Post Release | |
| Feeding | 0.12 ± 0.08 | 0.07 ± 0.04 | 0.12 ± 0.02 | 0.05 ± 0.04 | 0.13 ± 0.03 | 0.13 ± 0.04 | 0.15 ± 0.1 | 0.13 ± 0.07 | 0.13 ± 0.04 | 0.11 ± 0.13 | 0.13 ± 0.06 | 0.2 ± 0.03 |
| Stand | 0.08 ± 0.03 | 0.04 ± 0.02 | 0.07 ± 0.03 | 0.07 ± 0.04 | 0.07 ± 0.03 | 0.04 ± 0.01 | 0.06 ± 0.03 | 0.05 ± 0.01 | 0.18 ± 0.13 | 0.03 ± 0.02 | 0.06 ± 0.04 | 0.05 ± 0.02 |
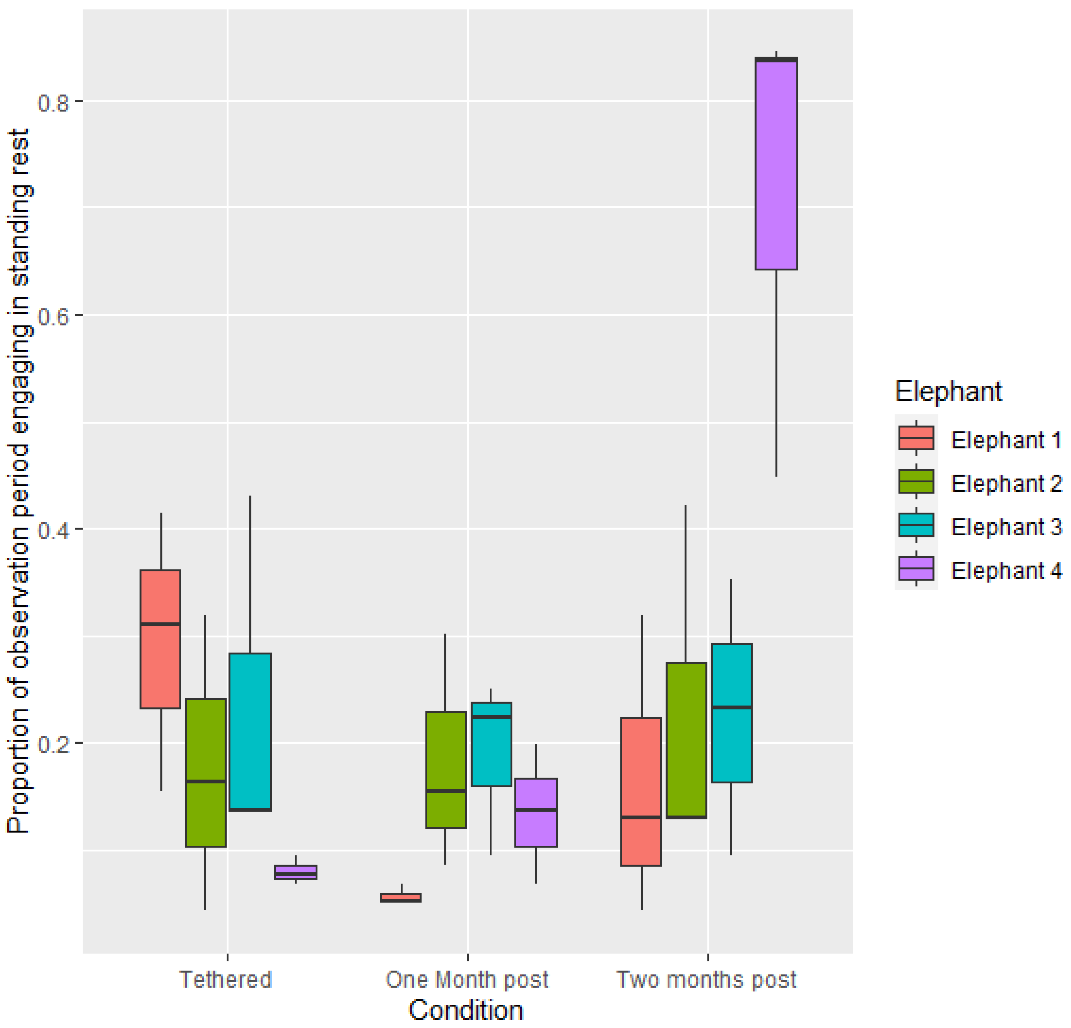
| Standing rest | 0.29 ± 0.11 | 0.06 ± 0.01 | 0.16 ± 0.12 | 0.18 ± 0.11 | 0.18 ± 0.09 | 0.23 ± 0.14 | 0.24 ± 0.14 | 0.19 ± 0.07 | 0.23 ± 0.11 | 0.08 ± 0.01 | 0.14 ± 0.05 | 0.71 ± 0.18 |
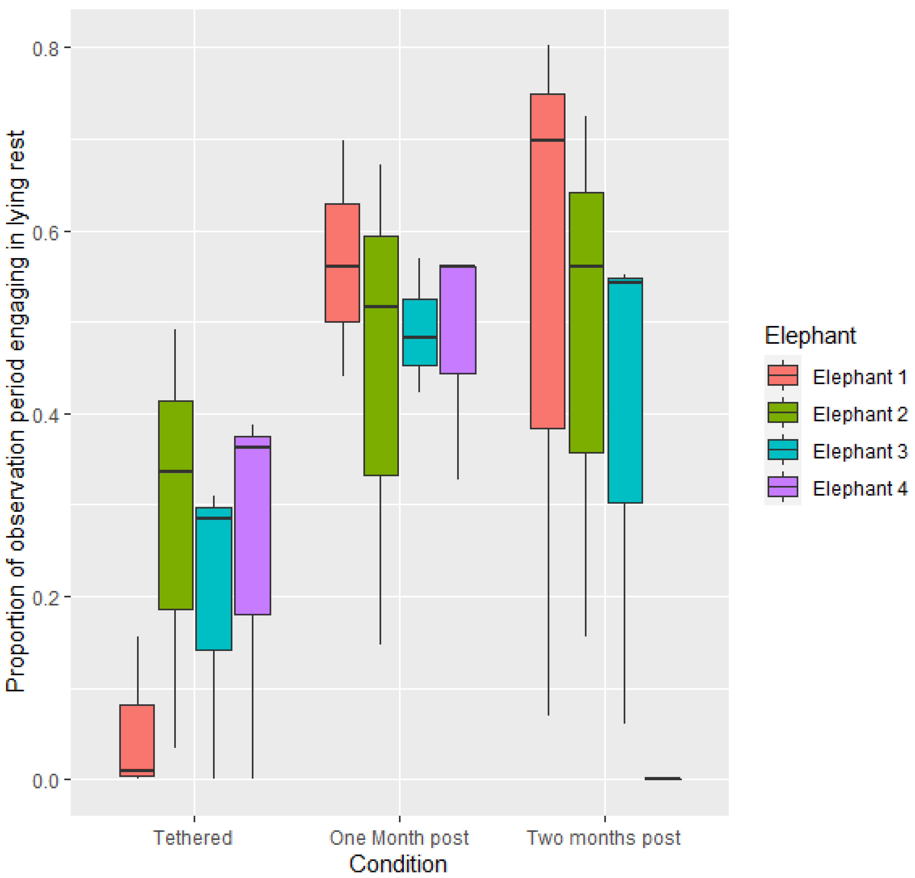
| Lying rest | 0.05 ± 0.07 | 0.57 ± 0.11 | 0.52 ± 0.32 | 0.29 ± 0.19 | 0.45 ± 0.22 | 0.48 ± 0.24 | 0.20 ± 0.14 | 0.49 ± 0.06 | 0.39 ± 0.23 | 0.25 ± 0.18 | 0.48 ± 0.11 | 0 ± 0 |
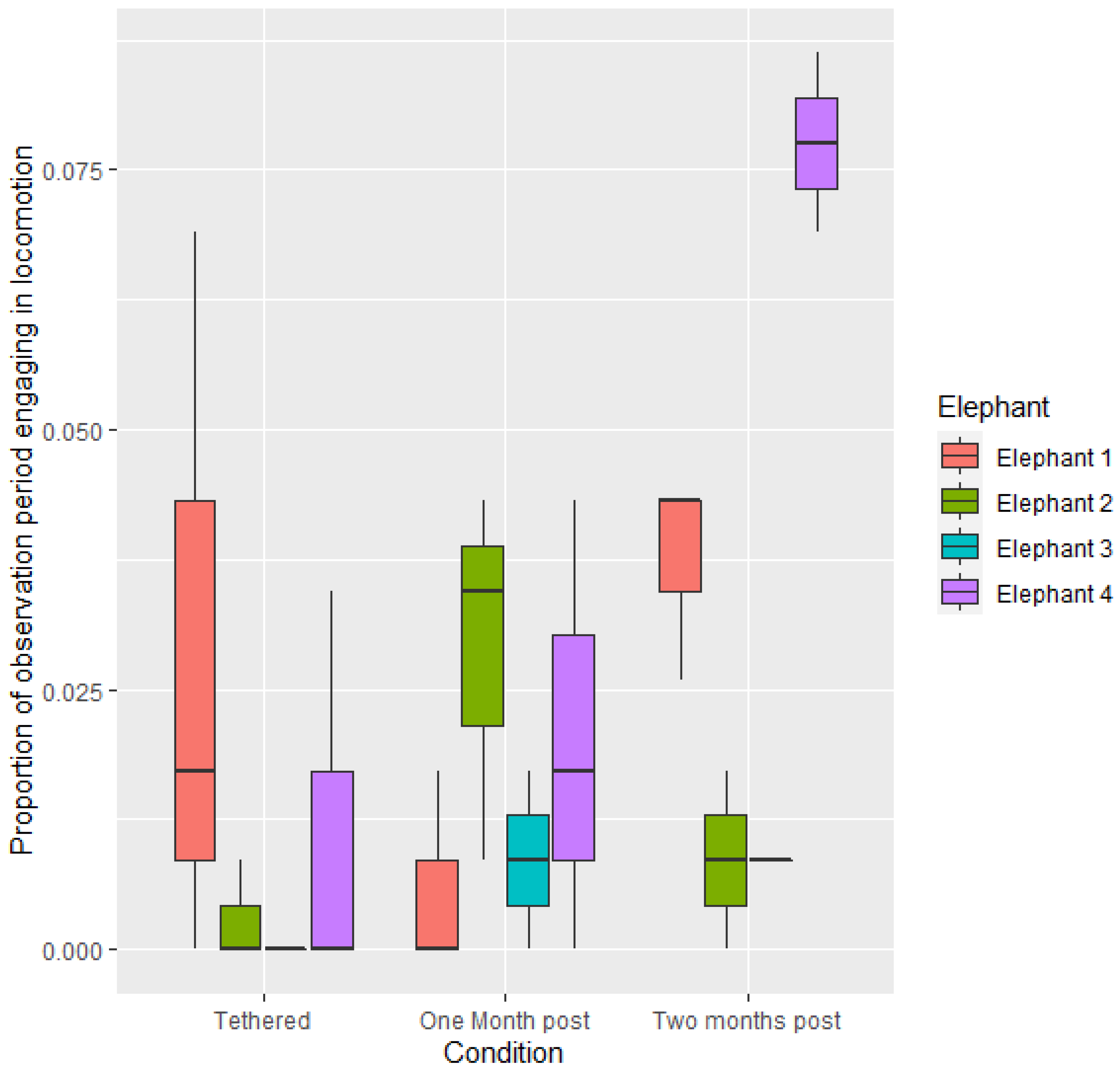
| Locomotion | 0.03 ± 0.03 | 0.01 ± 0.01 | 0.04 ± 0.01 | 0 ± 0 | 0.03 ± 0.01 | 0.01 ± 0.01 | 0 ± 0 | 0.01 ± 0.01 | 0.01 ± 0 | 0.01 ± 0.02 | 0.02 ± 0.02 | 0.08 ± 0.01 |
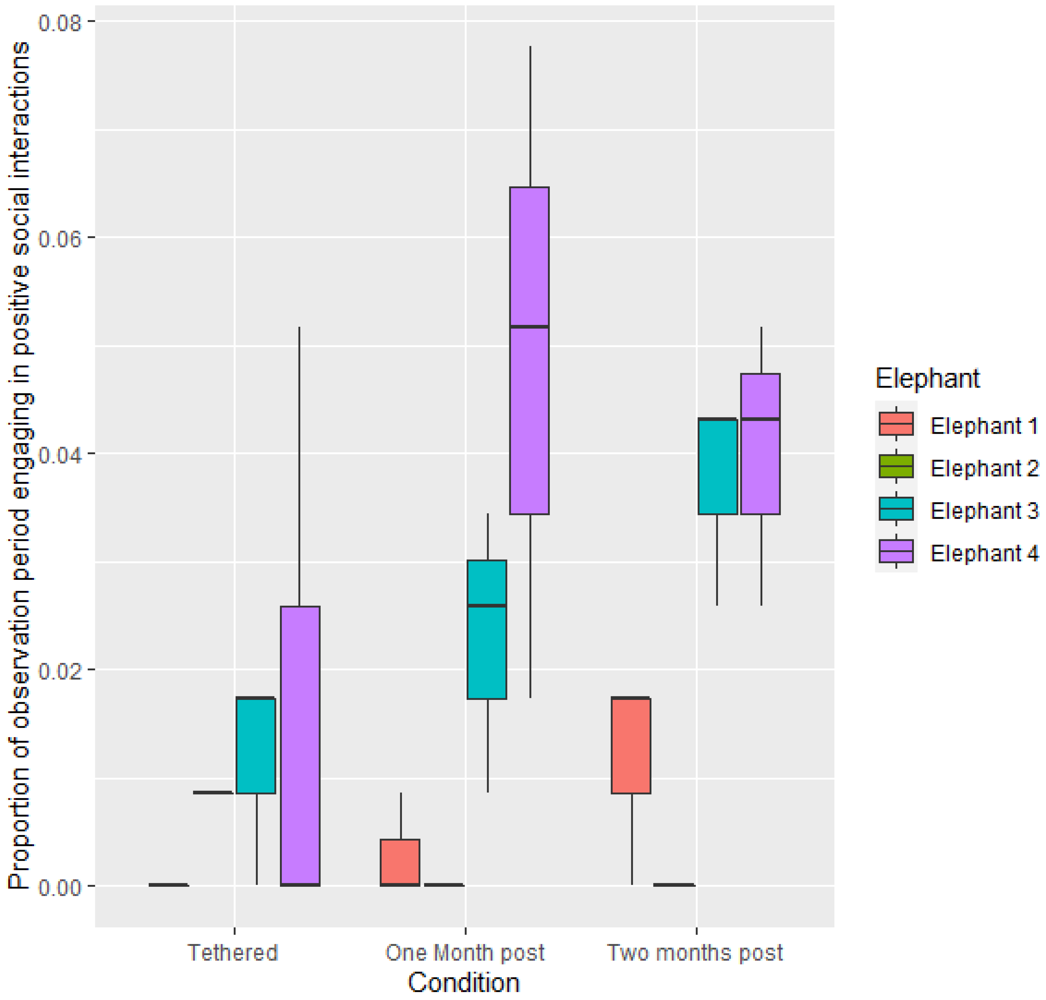
| Social positive | 0 ± 0 | 0 ± 0 | 0.01 ± 0.01 | 0.01 ± 0 | 0 ± 0 | 0 ± 0 | 0.01 ± 0.01 | 0.02 ± 0.01 | 0.04 ± 0.01 | 0.02 ± 0.02 | 0.05 ± 0.02 | 0.04 ± 0.01 |
| Social negative | 0 ± 0 | 0 ± 0 | 0 ± 0 | 0 ± 0 | 0 ± 0 | 0 ± 0 | 0 ± 0 | 0 ± 0 | 0.02 ± 0.01 | 0 ± 0 | 0 ± 0 | 0 ± 0 |
| Maintenance | 0.01 ± 0.02 | 0 ± 0 | 0.01 ± 0 | 0 ± 0 | 0 ± 0 | 0.01 ± 0 | 0 ± 0 | 0.01 ± 0.01 | 0.04 ± 0.03 | 0.01 ± 0.01 | 0.01 ± 0 | 0 ± 0 |
| Environmental interaction | 0.03 ± 004 | 0 ± 0 | 0 ± 0 | 0.01 ± 0.01 | 0.02 ± 0.01 | 0.01 ± 0.01 | 0.01 ± 0.02 | 0 ± 0 | 0 ± 0 | 0.01 ± 0.01 | 0 ± 0 | 0.01 ± 0 |
| Abnormal repetitive behaviour | 0.07 ± 0.07 | 0.01 ± 0.01 | 0.02 ± 0.01 | 0.07 ± 0.07 | 0.06 ± 0.01 | 0.04 ± 0.04 | 0.01 ± 0.01 | 0.01 ± 0 | 0 ± 0 | 0.02 ± 0.01 | 0.01 ± 0 | 0.01 ± 0.01 |
Publisher’s Note: MDPI stays neutral with regard to jurisdictional claims in published maps and institutional affiliations. |
© 2022 by the authors. Licensee MDPI, Basel, Switzerland. This article is an open access article distributed under the terms and conditions of the Creative Commons Attribution (CC BY) license (https://creativecommons.org/licenses/by/4.0/).
Share and Cite
Williams, E.; Clark, N.; Rendle-Worthington, J.; Yon, L. Behaviour and Welfare Impacts of Releasing Elephants from Overnight Tethers: A Zimbabwean Case Study. Animals 2022, 12, 1933. https://doi.org/10.3390/ani12151933
Williams E, Clark N, Rendle-Worthington J, Yon L. Behaviour and Welfare Impacts of Releasing Elephants from Overnight Tethers: A Zimbabwean Case Study. Animals. 2022; 12(15):1933. https://doi.org/10.3390/ani12151933
Chicago/Turabian StyleWilliams, Ellen, Natasha Clark, Jake Rendle-Worthington, and Lisa Yon. 2022. "Behaviour and Welfare Impacts of Releasing Elephants from Overnight Tethers: A Zimbabwean Case Study" Animals 12, no. 15: 1933. https://doi.org/10.3390/ani12151933
APA StyleWilliams, E., Clark, N., Rendle-Worthington, J., & Yon, L. (2022). Behaviour and Welfare Impacts of Releasing Elephants from Overnight Tethers: A Zimbabwean Case Study. Animals, 12(15), 1933. https://doi.org/10.3390/ani12151933

