Correlation between Ocular and Rectal Temperature with Intra Ocular Pressure in Horse during Exercise
Abstract
Simple Summary
Abstract
1. Introduction
2. Materials and Methods
2.1. Exercise Protocol
2.2. Measurements Assessment and Infrared Thermography
2.3. Statistical Analysis
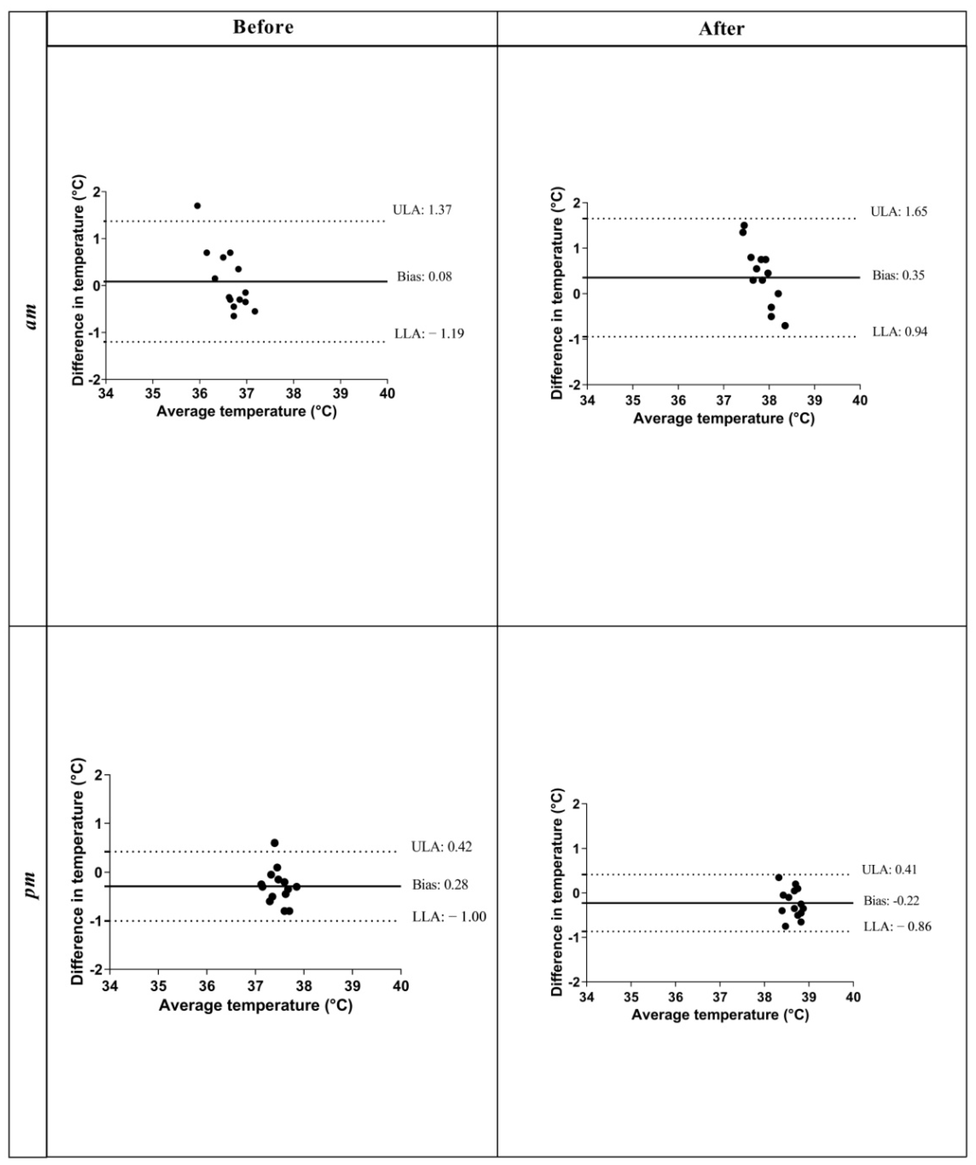
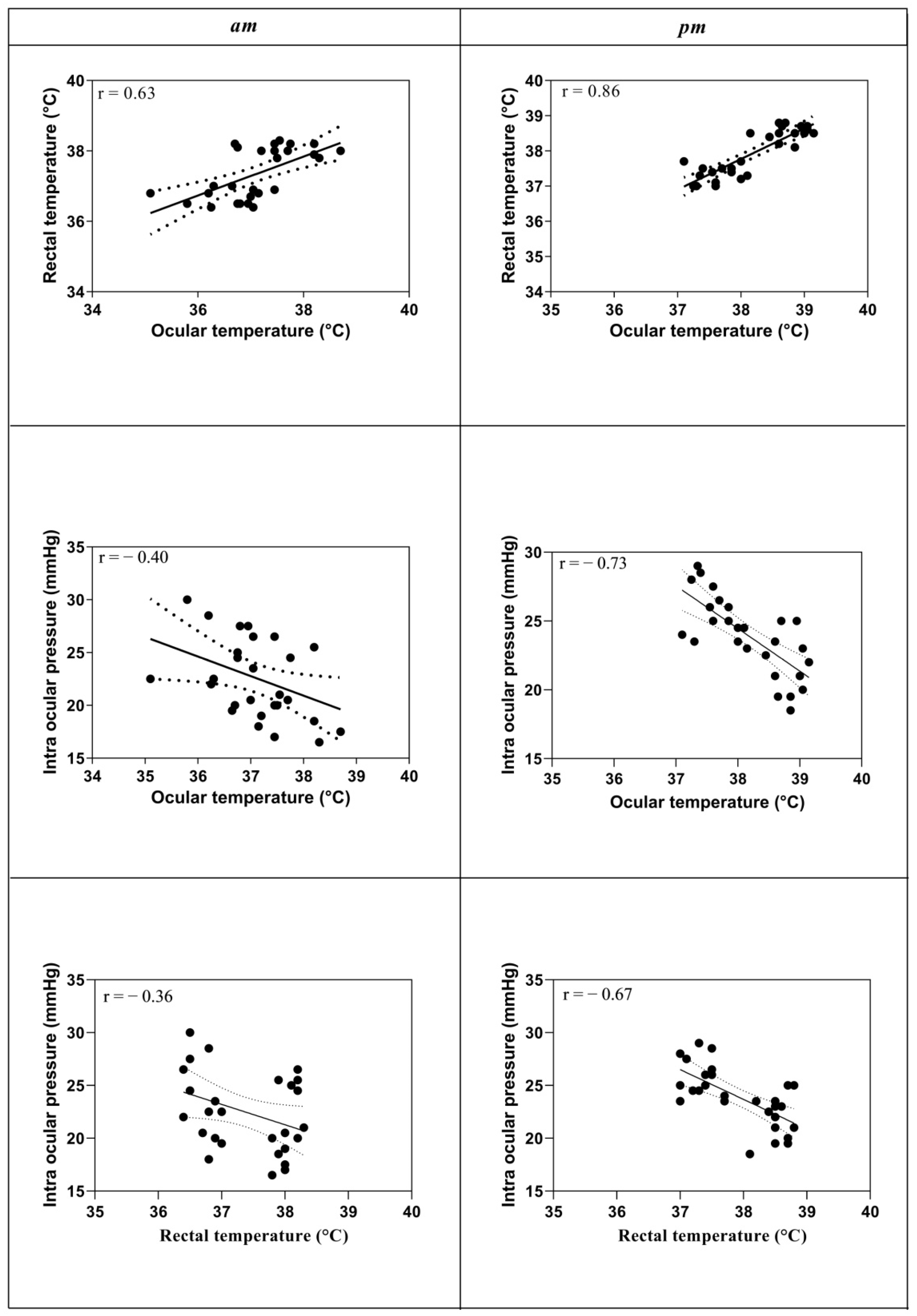
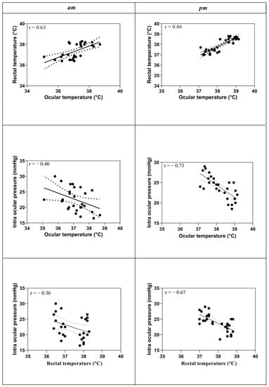
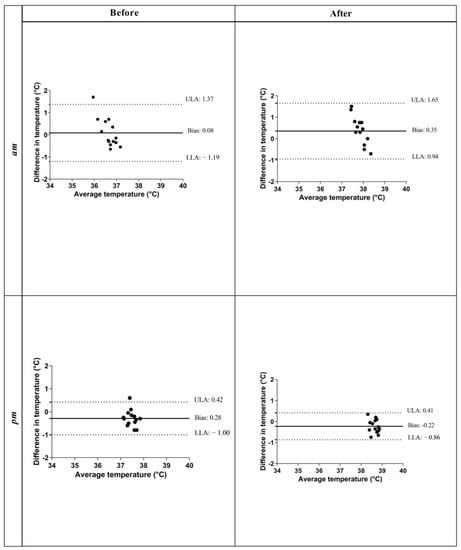
3. Results
4. Discussion
5. Conclusions
Author Contributions
Funding
Institutional Review Board Statement
Informed Consent Statement
Data Availability Statement
Conflicts of Interest
References
- Schaefer, A.L.; Matthewes, L.R.; Cook, N.J.; Webster, J.; Scott, S.L. Novel noninvasive measures of animals welfare. In Proceedings of the Animal Welfare and Behaviour: From Science to Solution, Joint NAWAC/ISAE Conference, Hamilton, New Zealand, 27–28 June 2002. [Google Scholar]
- Seabra, J.C.; Dittrich, J.R.; Martinez do Vale, M.M.; do Rocio, J.; de Hollanda, R.S. Eye temperature change in response to race training in thoroughbred horses at the Jockey Club. Arch. Vet. Sci. 2019, 24, 50–59. [Google Scholar]
- Moura, M.A.; Rodrigues, L.O.C.; Waisberg, Y.; De Almeida, H.G.; Silami-Garcia, E. Effect of submaximal exercise with water ingestion on intraocular pressure in healthy humans males. Braz. J. Med. Biol. Res. 2002, 35, 121–125. [Google Scholar] [CrossRef] [PubMed][Green Version]
- Salak-Johnson, J.L.; McGlone, J.J. Making sense of apparently conflicting data: Stress and immunity in swine and cattle. J. Anim. Sci. 2007, 85, 8581–8588. [Google Scholar] [CrossRef]
- Giannetto, C.; Aragona, F.; Arfuso, F.; Piccione, G.; De Caro, S.; Fazio, F. Diurnal variation in rectal and cutaneous temperatures of horses housed under different management conditions. Int. J. Biometeorol. 2022, 66, 1601–1611. [Google Scholar] [CrossRef]
- Dunbar, M.R.; Johnson, S.R.; Rhyan, J.C.; Mccollum, M. Use of infrared thermography to detect thermographic changes in mule deer (Odocoileus hemionus) experimentally infected with foot-and-mouth disease. J. Zoo Wildl. Med. 2009, 40, 296–301. [Google Scholar] [CrossRef] [PubMed]
- Stewart, M.; Webster, J.R.; Schaefer, A.L.; Cook, N.J.; Scott, S.L. Infrared thermography as a non-invasive tool to study animal welfare. Anim. Welf. 2005, 14, 319–325. [Google Scholar]
- Valera, M.; Bartolomé, E.; Sánchez, M.J.; Molina, A.; Cook, N.; Schaefer, A.L. Changes in eye temperature and stress assessment in horses during show jumping competitions. J. Equine Vet. Sci. 2012, 32, 827–830. [Google Scholar] [CrossRef]
- McGreevy, P.; Warren-Smith, A.; Guisard, Y. The effect of double bridles and jaw-clamping crank nosebands on temperature of eyes and facial skin of horses. J. Vet. Behav. Clin. Appl. Res. 2012, 7, 142–148. [Google Scholar] [CrossRef]
- Bartolomé, E.; Sánchez, M.J.; Molina, A.; Schaefer, A.L.; Cervantes, I.; Valera, M. Using eye temperature and heart rate for stress assessment in young horses competing in jumping competitions and its possible influence on sport performance. Animal 2013, 7, 2044–2053. [Google Scholar] [CrossRef]
- De Mira, M.C.; Lamy, E.; Santos, R.; Williams, J.; Vaz Pinto, M.; Martins, P.S.; Rodrigues, P.; Marlin, D.L. Salivary cortisol and eye temperature changes during endurance competitions. BMC Vet. Res. 2021, 17, 329. [Google Scholar] [CrossRef]
- Johnson, S.R.; Hussey, S.B.; Morley, P.S.; Traub-Dargatz, J.L. Thermography eye temperature as an index to body temperature in ponies. J. Equine Vet. Sci. 2011, 31, 63–66. [Google Scholar] [CrossRef]
- Giannetto, C.; Piccione, G.; Giudice, E. Daytime profile of the intraocular pressure and tear production in normal dog. Vet. Ophthal. 2009, 12, 302–305. [Google Scholar] [CrossRef] [PubMed]
- Giannetto, C.; Assenza, A.; Fazio, F.; Casella, S.; Piccione, G. Circadian intraocular pressure and tear production profile in horses. Arch. Vet. Ital. 2009, 60, 2–3. [Google Scholar]
- Piccione, G.; Giannetto, C.; Fazio, F.; Giudice, E. Influence of different artificial lighting regimes on intraocular pressure circadian profile in the dog (Canis familiaris). Exp. Anim. 2010, 59, 215–223. [Google Scholar] [CrossRef] [PubMed]
- Harada, Y.; Naoi, N. Corneal elasticity as a measure of intra-ocular pressure: A controlled clinical examination. KOBE J. Med. Sci. 2004, 50, 141–152. [Google Scholar]
- Wada, S. Changes of intraocular pressure uveitic horses. J. Equine Vet. Sci. 2006, 17, 67–73. [Google Scholar] [CrossRef][Green Version]
- Hendrix, D.V.H. Diseases and surgery of the canine anterior uvea. In Essentials of Veterinary Ophthalmology, 4th ed.; Blackwell Pub Professional: Ames, IA, USA, 2007; Volume 2, pp. 812–858. [Google Scholar]
- Del Sole, M.J.; Sande, P.H.; Bernardes, J.M.; Aba, M.A.; Rosenstein, R.E. Circadian rhythm of intraocular pressure in cats. Vet. Ophthalmol. 2007, 10, 155–161. [Google Scholar] [CrossRef]
- Gelatt, K.N.; Brooks, D.E.; Käberg, M.E. The canine glaucomas. In Essentials of Veterinary Ophthalmology, 4th ed.; Blackwell Pub Professional: Ames, IA, USA, 2007; Volume 2, pp. 753–811. [Google Scholar]
- Martin, B.; Harris, A.; Hammel, T.; Malinovsky, V. Mechanism of exercise-induced ocular hypotension. Investig. Ophthalmol. Vis. Sci. 1999, 40, 1011–1015. [Google Scholar]
- Qureshi, I.A.; Xi, X.R.; Mbbs Huang, Y.B.; Sc, B.; Wu, X.D. Magnitude of decrease in intraocular pressure depends upon intensity of exercise. Korean J. Ophtalmol. 1996, 10, 109–115. [Google Scholar] [CrossRef]
- Dickerman, R.D.; Smith, G.H.; Langham-Roof, L.; McConathy, W.J.; East, J.W.; Smith, A.B. Intra-ocular pressure changes during maximal isometric contraction: Does this reflect intra-cranial pressure or retinal venous pressure? Neurol. Res. 1999, 21, 243–246. [Google Scholar] [CrossRef]
- Giudice, E.; Giannetto, C.; Casella, S.; Piccione, G. The effect of aerobic exercise on intraocular pressure in horses. Acta Vet. Brno 2010, 79, 409–413. [Google Scholar] [CrossRef][Green Version]
- Harris, A.; Malinovsky, V.; Martin, B. Correlates of acute exercise-induced ocular hypotension. Investig. Ophthalmol. Vis. Sci. 1994, 35, 3852–3857. [Google Scholar]
- Wylęgała, A. The effect of physical exercises on ocular physiology: A review. J. Glaucoma 2016, 25, e843–e849. [Google Scholar] [CrossRef]
- Giannetto, C.; Di Pietro, S.; Falcone, A.; Pennisi, M.; Giudice, E.; Piccione, G.; Acri, G. Thermographic ocular temperature correlated with rectal temperature in cats. J. Ther. Biol. 2021, 102, 103104. [Google Scholar] [CrossRef]
- Piccione, G.; Caola, G.; Refinetti, R. Maturation of the daily body temperature rhythm in sheep and horse. J. Therm. Biol. 2002, 27, 175–178. [Google Scholar] [CrossRef]
- Ashkenazi, I.; Melamed, S.; Blumenthal, M. The effect of continuous strenuous exercise on intraocular pressure. Investig. Ophthalmol. Vis. Sci. 1992, 33, 874–2877. [Google Scholar]
- Arfuso, F.; Acri, G.; Piccione, G.; Sansotta, C.; Fazio, F.; Giudice, E.; Giannetto, C. Eye surface infrared thermography usefulness as a noninvasive method of measuring stress response in sheep during shearing: Correlations with serum cortisol and rectal temperature values. Physiol. Behav. 2022, 250, 113781. [Google Scholar] [CrossRef]
- Levine, J.A.; Pavladis, I.; Cooper, M. The face of fear. Lancet 2001, 357, 1757. [Google Scholar] [CrossRef]
- Trindade, P.H.E.; de Camargo Ferraz, G.; Pereira Lima, M.L.; Negrão, J.A.; Paranhos da Costa, M.J.R. Eye surface temperature as a potential indicator of physical fitness in ranch horses. J. Equine Vet. Sci. 2019, 75, 1–8. [Google Scholar] [CrossRef]
- Piccione, G.; Giannetto, C.; Marafioti, S.; Casella, S.; Assenza, A.; Fazio, F. Comparison of daily rhythm of rectal and auricular temperatures in horses kept under a natural photoperiod and constant darkness. J. Therm. Biol. 2011, 36, 245–249. [Google Scholar] [CrossRef]
- Zanghi, B.M. Eye and ear temperature using infrared thermography are related to rectal temperature in dogs at rest or with exercise. Front. Vet. Sci. 2016, 3, 180–189. [Google Scholar] [CrossRef]
- Eddy, A.; Van Hoogmoed, L.; Snyder, J. The role of thermography in the management of equine lameness. Vet. J. 2001, 162, 172–181. [Google Scholar] [CrossRef]
- Hodgson, D.R.; McGowan, C.M.; McKeever, K.H. The Athletic Horse: Principles and Practice of Equine Sports Medicine, 2nd ed.; Elsevier Saunders: St Louis, MO, USA, 2014. [Google Scholar]
- Piccione, G.; Giannetto, C.; Fazio, F.; Giudice, E. Daily rhythm of tear production in normal dog maintained under different light/dark cycles. Res. Vet. Sci. 2009, 86, 521–524. [Google Scholar] [CrossRef]
- Gerardi, B.; Denadai, D.S.; Pereira, M.S.; Chaves, A.A.; Barbosa, J.P.B.; Peiró, J.R.; Feitosa, F.L.F.; Mendes, L.C.N. Use of infrared thermography in Quarter Horse submitted to team roping. Pesqui. Vet. Bras. 2019, 39, 530–537. [Google Scholar] [CrossRef]
- Piccione, G.; Giannetto, C.; Fazio, F.; Di Mauro, S.; Caola, G. Haematological response to different workload in jumper horse. Bulg. J. Vet. Med. 2007, 10, 21–28. [Google Scholar]
- Piccione, G.; Giannetto, C.; Assenza, A.; Fazio, F.; Caola, G. Serum electrolyte and protein modification during different workload in jumper horse. Comp. Clin. Pathol. 2007, 16, 103–107. [Google Scholar] [CrossRef]



| Parameters | a.m. | |
| before | after | |
| Ocular temperature (°C) | 36.61 ± 0.62 AB | 37.69 ± 0.58 |
| Intraocular pressure (mm/Hg) | 25 ± 3.18 A | 22.27 ± 3.16 |
| Rectal temperature (°C) | 36.69 ± 0.22 AB | 38.04 ± 0.16 |
| Parameters | p.m. | |
| before | after | |
| Ocular temperature (°C) | 37.62 ± 0.31 A | 38.76 ± 0.28 |
| Intraocular pressure (mm/Hg) | 26 ± 1.99 A | 22.32 ± 2.15 |
| Rectal temperature (°C) | 37.33 ± 0.24 A | 38.53 ± 0.20 |
Publisher’s Note: MDPI stays neutral with regard to jurisdictional claims in published maps and institutional affiliations. |
© 2022 by the authors. Licensee MDPI, Basel, Switzerland. This article is an open access article distributed under the terms and conditions of the Creative Commons Attribution (CC BY) license (https://creativecommons.org/licenses/by/4.0/).
Share and Cite
Aragona, F.; Di Pietro, S.; Arfuso, F.; Fazio, F.; Piccione, G.; Giudice, E.; Giannetto, C. Correlation between Ocular and Rectal Temperature with Intra Ocular Pressure in Horse during Exercise. Animals 2022, 12, 1850. https://doi.org/10.3390/ani12141850
Aragona F, Di Pietro S, Arfuso F, Fazio F, Piccione G, Giudice E, Giannetto C. Correlation between Ocular and Rectal Temperature with Intra Ocular Pressure in Horse during Exercise. Animals. 2022; 12(14):1850. https://doi.org/10.3390/ani12141850
Chicago/Turabian StyleAragona, Francesca, Simona Di Pietro, Francesca Arfuso, Francesco Fazio, Giuseppe Piccione, Elisabetta Giudice, and Claudia Giannetto. 2022. "Correlation between Ocular and Rectal Temperature with Intra Ocular Pressure in Horse during Exercise" Animals 12, no. 14: 1850. https://doi.org/10.3390/ani12141850
APA StyleAragona, F., Di Pietro, S., Arfuso, F., Fazio, F., Piccione, G., Giudice, E., & Giannetto, C. (2022). Correlation between Ocular and Rectal Temperature with Intra Ocular Pressure in Horse during Exercise. Animals, 12(14), 1850. https://doi.org/10.3390/ani12141850

