Worldwide Traceability of Antibiotic Residues from Livestock in Wastewater and Soil: A Systematic Review
Abstract
:Simple Summary
Abstract
1. Introduction
2. Materials and Methods
2.1. Search Strategy and Selection Criteria
2.2. Data Extraction and Analysis
3. Results
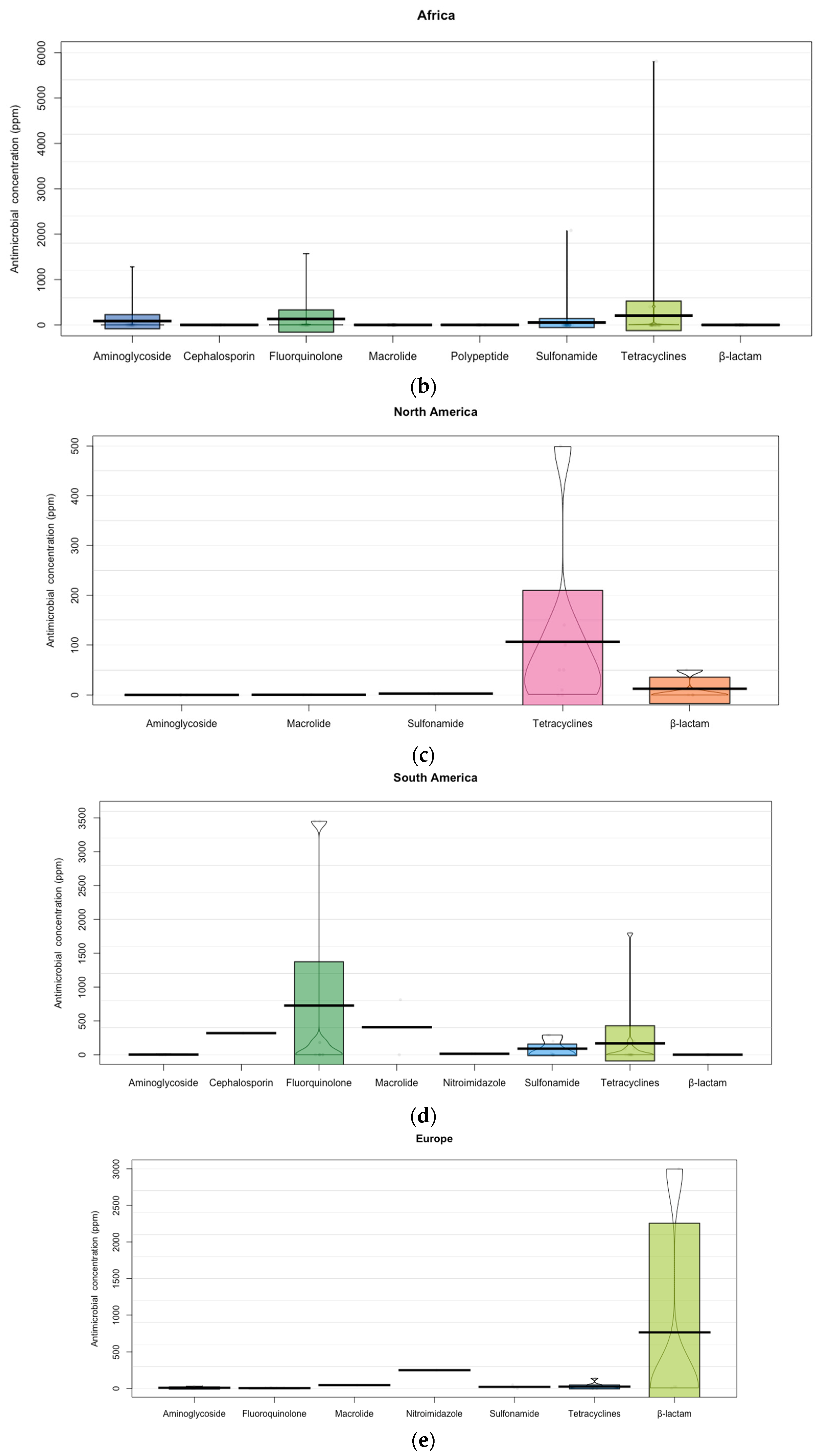
3.1. Veterinary Antibiotics as Pollutants in Different Continents
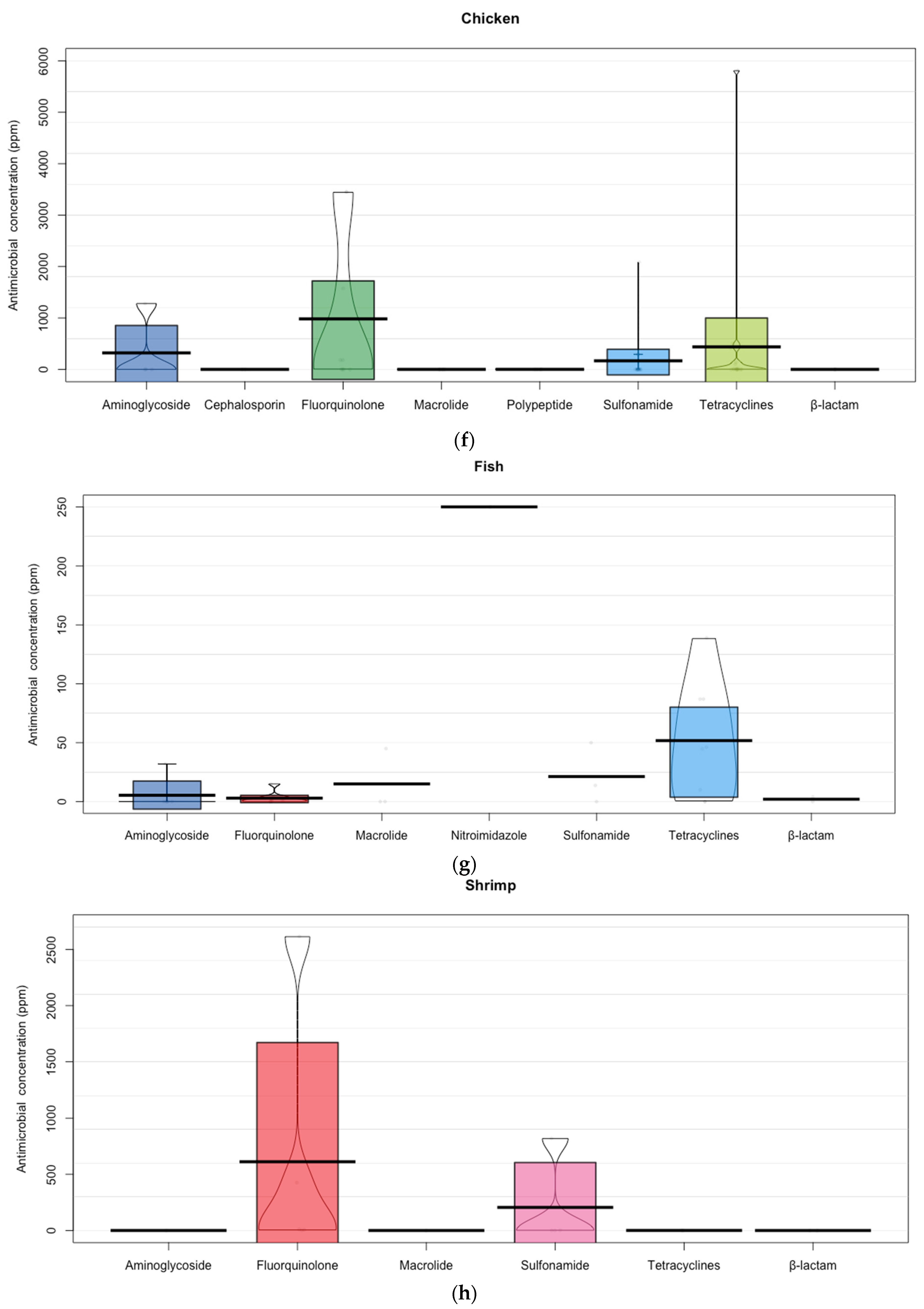
3.2. Residues of Veterinary Antibiotics in Animal Products and Derivatives
3.3. Impact of Antibiotic Residues in Water and Soil
4. Discussion
4.1. Veterinary Antibiotics as Pollutants in Different Continents
4.2. Residues of Veterinary Antibiotics in Animal Products and Derivatives
4.3. Impact of Antibiotic Residues in Water and Soil
5. Conclusions
Supplementary Materials
Author Contributions
Funding
Institutional Review Board Statement
Data Availability Statement
Acknowledgments
Conflicts of Interest
References
- Kumar, K.; Gupta, S.C.; Baidoo, S.K.; Chander, Y.; Rosen, C.J. Antibiotic uptake by plants from soil fertilized with animal manure. J. Environ. Qual. 2005, 34, 2082–2085. [Google Scholar] [CrossRef] [PubMed] [Green Version]
- Liu, J.; Zhao, Z.; Orfe, L.; Subbiah, M.; Call, D.R. Soil-borne reservoirs of antibiotic-resistant bacteria are established following therapeutic treatment of dairy calves. Environ. Microbiol. 2016, 18, 557–564. [Google Scholar] [CrossRef]
- Tasho, R.P.; Cho, J.Y. Veterinary antibiotics in animal waste, its distribution in soil and uptake by plants: A review. Sci. Total Environ. 2016, 563–564, 366–376. [Google Scholar] [CrossRef]
- Boxall, A.B.; Kolpin, D.W.; Halling-Sørensen, B.; Tolls, J. Peer reviewed: Are veterinary medicines causing environmental risks? Environ. Sci. Technol. 2003, 1, 287–294. [Google Scholar] [CrossRef] [Green Version]
- Sarmah, A.K.; Meyer, M.T.; Boxall, A.B. A global perspective on the use, sales, exposure pathways, occurrence, fate and effects of veterinary antibiotics (VAs) in the environment. Chemosphere 2006, 65, 725–759. [Google Scholar] [CrossRef]
- Van, T.T.H.; Yidana, Z.; Smooker, P.M.; Coloe, P.J. Antibiotic Use in Food Animals in the World with Focus on Africa: Pluses and Minuses. J. Glob. Antimicrob. Resist. 2019, 20, 170–177. [Google Scholar] [CrossRef]
- Cully, M. Public health: The politics of antibiotics. Nature. 2014, 509, S16–S17. [Google Scholar] [CrossRef] [Green Version]
- Rushton, J. Anti-microbial use in animals: How to assess the trade-offs. Zoonoses Public Health 2015, 62, 10–21. [Google Scholar] [CrossRef] [Green Version]
- Sawant, A.A.; Sordillo, L.M.; Jayarao, B.M. A survey on Antibiotic usage in dairy herds in Pennsylvania. J. Dairy Sci. 2005, 88, 2991–2999. [Google Scholar] [CrossRef] [Green Version]
- Lekagul, A.; Tangcharoensathien, V.; Yeung, S. Patterns of antibiotic use in global pig production: A systematic review. Vet. Anim. Sci. 2019, 7, 100058. [Google Scholar] [CrossRef]
- Chanda, R.R.; Fincham, R.J.; Venter, P. Review of the Regulation of Veterinary Drugs and Residues in South Africa. Crit. Rev. Food Sci. Nutr. 2014, 54, 488–494. [Google Scholar] [CrossRef] [PubMed]
- Riviere, J.E.; Papich, M.G. Veterinary Pharmacology and Therapeutics; John Wiley & Sons: Hoboken, NJ, USA, 2013. [Google Scholar]
- Kümmerer, K. Antibiotics in the environment–A review–Part 1. Chemosphere 2009, 75, 417–434. [Google Scholar] [CrossRef]
- Pan, M.; Chu, L.M. Adsorption and degradation of five selected antibiotics in agriculturalsoil. Sci. Total Environ. 2015, 545–546, 48–56. [Google Scholar] [CrossRef]
- Darwish, W.S.; Eldaly, E.A.; El-Abbasy, M.T.; Ikenaka, Y.; Nakayama, S.; Ishizuka, M. Antibiotic residues in food: The African scenario. Jpn. J. Vet. Res. 2013, 61, S13–S22. [Google Scholar]
- World Health Organization Regional Office for the Western Pacific. Antimicrobial Resistance in the Asia Pacific Region: A Development Agenda; Manila, Philippines. Licence: CC BY-NC-SA 3.0 IGO. 2017. Available online: https://iris.wpro.who.int/bitstream/handle/10665.1/13570/9789290618126-eng.pdf (accessed on 15 December 2020).
- World Health Organization. WHO Guidelines on Use of Medically Important Antimicrobials in Food-Producing Animals; Licence: CC BY-NC-SA 3.0 IGO; World Health Organization: Geneva, Switzerland, 2017. [Google Scholar]
- Regulation (EC) No 1831/2003 of the European Parliament and of the Councel on Additives for Use in Animal Nutrition. 2003. Available online: http://eur-lex.europa.eu/legal-content/En/TXT/PDF/?uri=CELEX:02003R1831-20100901&rid=1 (accessed on 4 May 2020).
- Johnson, R. Potential Trade Implications of Restrictions on Antimicrobial Use in Animal Production. Congressional Research Service 7–5700. 2011. Available online: https://fas.org/sgp/crs/misc/R41047.pdf (accessed on 14 December 2020).
- Government of Canada. Responsible Use of Medically Important Antimicrobials in Animals. 2018. Available online: https://www.canada.ca/en/public-health/services/antibiotic-antimicrobial-resistance/animals/actions/responsible-use-antimicrobials.html (accessed on 17 November 2020).
- US Food and Drug Administration. Guidance for Industry 213: New Animal Drugs and New Animal Drug Combination Products Administered in or on Medicated Feed or Drinking Water of Food-Producing Animals: Recommendations for Drug Sponsors for Voluntarily Aligning Product Use Conditions; Dockets Management, Food and Drug Administration, Rockville, MD 20852, USA. FDA-2011-D-0889. 2011. Available online: https://www.fda.gov/downloads/AnimalVeterinary/GuidanceComplianceEnforcement/GuidanceforIndustry/UCM299624.pdf (accessed on 15 December 2020).
- Australian Veterinary Association. Guideline for Prescribing, Authorizing and Dispensing Veterinary Medicines. 2005. Available online: https://www.ava.com.au/sites/default/files/documents/Other/Guidelines_for_prescribing_authorising_and_dispensing_veterinary_medicines.pdf (accessed on 12 December 2020).
- Okocha, R.C.; Olatoye, I.O.; Adedeji, O.B. Food safety impacts of antimicrobial use and their residues in aquaculture. Public Health Rev. 2018, 39, 21. [Google Scholar] [CrossRef]
- FAO. Antimicrobial Resistence. 2021. Available online: https://www.fao.org/antimicrobial-resistance (accessed on 31 October 2021).
- Van Boeckel, T.P.; Brower, C.; Gilbert, M.; Grenfell, B.T.; Levin, S.A.; Robinsoni, T.P.; Teillanta, A.; Laxminarayan, R. Global trends in antimicrobial use in food animals. Proc. Natl. Acad. Sci. USA 2015, 18, 5649–5654. [Google Scholar] [CrossRef] [Green Version]
- European Commission. European Union, Commission Regulation 508/1999/EC amending Annexes I to IV to Council Regulation (EEC) No 2377/90 laying down Community procedure for the establishment of maximum residue limits of veterinary medicinal products in foodstuffs of animal origin. Off. J. Eur. Union. 1999, L224, 16. [Google Scholar]
- World Organization for Animal Health (OIE). OIE list of antimicrobials of veterinary importance. In Proceedings of the 75th General Session, Paris, France, 20–25 May 2007. [Google Scholar]
- Revelle, W. Psych: Procedures for Personality and Psychological Research; Version = 2.1.9; Northwestern University: Evanston, IL, USA, 2021; Available online: https://CRAN.R-project.org/package=psych (accessed on 4 October 2021).
- Phillips, N. Yarrr: A Companion to the e-Book. In Book “YaRrr!: The Pirate’s Guide to R”; R Package Version 0.1.5; APS: Washington, DC, USA, 2017; Volume 30, pp. 22–23. [Google Scholar]
- Center for Disease Dynamics, Economics & Policy (CDDEP). State of the World’s Antibiotics; CDDEP: Washington, DC, USA, 2015. [Google Scholar]
- Aidara-Kane, A.; Frederick, J.; Angulo, F.J.; Conly, J.M.; Minato, Y.; Silbergeld, E.K.; McEwen, S.A.; Collignon, P.J.; WHO Guideline Development Group. World Health Organization (WHO) guidelines on use of medically important antimicrobials in food-producing animals. Antimicrob. Resist. Infect. Control. 2018, 7, 7. [Google Scholar] [CrossRef] [Green Version]
- Gaurav, A.; Gill, J.P.S.; Aulakh, R.S.; Bedi, J.S. ELISA based monitoring and analysis of tetracycline residues in cattle milk in various districts of Punjab. Vet. World. 2014, 7, 26–29. [Google Scholar] [CrossRef] [Green Version]
- Dhary Alewy Almashhadany. Monitoring of Antibiotic Residues among Sheep Meat in Erbil City and Thermal Processing Effect on their Remnants. Iraqi J. Vet. Sci. 2020, 34, 217–222. [Google Scholar] [CrossRef]
- Zhang, Y.; Lu, J.; Yan, Y.; Liu, J.; Wang, M. Antibiotic residues in cattle and sheep meat and human exposure assessment in southern Xinjiang, China. Food Sci. Nutr. 2021, 9, 6152–6161. [Google Scholar] [CrossRef]
- Kraemer, A.; Ramachandran, A.; Perron, G.G. Antibiotic pollution in the environment: From microbial ecology to public policy. Microorganisms 2019, 7, 180. [Google Scholar] [CrossRef] [Green Version]
- Goutard, F.L.; Bordier, M.; Calba, C.; Erlacher-Vindel, E.; Góchez, D.; de Balogh, K.; Benigno, C.; Kalpravidh, W.; Roger, F.; Vong, S. Antimicrobial policy interventions in food animal production in South East Asia. BMJ 2017, 358, j3544. [Google Scholar] [CrossRef] [PubMed] [Green Version]
- Xu, J.; Sangthong, R.; McNeil, E.; Tang, R.; Chongsuvivatwong, V. Antibiotic use in chicken farms in northwestern China. Antimicrob. Resist. Infect. Control. 2020, 9, 10. [Google Scholar] [CrossRef] [PubMed] [Green Version]
- Vorotnikov, V. Russia Set to Limit Antibiotic Use in Animal Feed. 2021. Available online: https://www.pigprogress.net/Health/Articles/2021/9/Russia-set-to-limit-antibiotic-use-in-animal-feed-792680E/ (accessed on 3 November 2021).
- Mehtarpour, M.; Takian, A.; Eshrati, B.; Jaafaripooyan, E. Control of antimicrobial resistance in Iran: The role of international factors. BMC Public Health 2020, 20, 873. [Google Scholar] [CrossRef] [PubMed]
- Lekagul, A.; Tangcharoensathien, V.; Liverani, M.; Mills, A.; Rushton, J.; Yeung, S. Understanding antibiotic use for pig farming in Thailand: A qualitative study. Antimicrob. Resist. Infect. Control. 2021, 10, 3. [Google Scholar] [CrossRef] [PubMed]
- Laxminarayan, R.; Chaudhury, R.R. Antibiotic resistance in India: Drivers and opportunities for action. PLoS Med. 2016, 13, e1001974. [Google Scholar] [CrossRef] [Green Version]
- Solliec, M.; Roy-Lachapelle, A.; Gasser, M.O.; Coté, C.; Genéreux, M.; Sauvé, S. Fractionationand analysis of veterinary antibiotics and their related degradation products in agricultural soilsand drainage waters following swine manure amendment. Sci. Total Environ. 2016, 543, 524–535. [Google Scholar] [CrossRef] [PubMed]
- Chuanchuen, R.; Pariyotorn, P.; Siriwattanachai, K.; Pagdepanichkit, S.; Srisanga, S.; Wannaprasat, W.; Phyo Thu, W.; Simjee, S.; Otte, J. Review of the Literature on Antimicrobial Resistance in Zoonotic Bacteria from Livestock in East, South and Southeast Asia; FAO Regional Office for Asia and the Pacific: Bangkok, Thailand, 2014; Available online: http://cdn.aphca.org/dmdocuments/REP_AMR_141022_c.pdf (accessed on 15 October 2021).
- Adesokan, H.K.; Akanbi, I.O.; Akanbi, I.M.; Obaweda, R.A. Pattern of antimicrobial usage in livestock animals in south-western Nigeria: The need for alternative plans. Onderstepoort J. Vet. Res. 2015, 82, E1–E6. [Google Scholar] [CrossRef]
- Mshana, S.E.; Sindato, C.; Matee, M.I.; Mboera, L.E.G. Antimicrobial Use and Resistance in Agriculture and Food Production Systems in Africa: A Systematic Review. Antibiotics 2021, 10, 976. [Google Scholar] [CrossRef] [PubMed]
- Jane, R.; Vera, V.; Kotoji, I.; Diaz, H.L.; Brian, G.; Monnet Dominique, L.; Sarah, G.; Klaus, W. Variations in the Consumption of Antimicrobial Medicines in the European Region, 2014–2018: Findings and Implications from ESAC-Net and WHO Europe. Front. Pharmacol. 2021, 12, 727. [Google Scholar] [CrossRef]
- EMA. Sales of Veterinary Antimicrobial Agents in 30 European Countries in 2015. Trends from 2010 to 2015; EMA: Brussels, Belgium, 2017. [Google Scholar]
- Kirchhelle, C. Pharming animals: A global history of antibiotics in food production (1935–2017). Palgrave Commun. 2018, 4, 96. [Google Scholar] [CrossRef] [Green Version]
- Landers, T.F.; Cohen, B.; Wittum, T.E.; Larson, E.L. A Review of Antibiotic Use in Food Animals: Perspective, Policy, and Potential. Public Health Rep. 2012, 127, 4–22. [Google Scholar] [CrossRef] [Green Version]
- Albernaz-Gonçalves, R.; Olmos, G.; Hötzel, M.J. Exploring Farmers’ Reasons for Antibiotic Use and Misuse in Pig Farms in Brazil. Antibiotics 2021, 10, 331. [Google Scholar] [CrossRef]
- Tiseo, K.; Huber, L.; Gilbert, M.; Robinson, T.P.; Van Boeckel, T.P. Global trends in antimicrobial use in food animals from 2017 to 2030. Antibitics 2020, 9, 918. [Google Scholar] [CrossRef] [PubMed]
- Fischer, N.; Kandt, C. Three ways in, one way out: Water dynamics in the trans-membrane domains of the inner membrane translocase AcrB. Proteins 2011, 79, 2871–2885. [Google Scholar] [CrossRef] [PubMed]
- Phillips, I.; Casewell, M.; Cox, T.; De Groot, B.; Friis, C.; Jones, R.; Nightingale, C.; Preston, R.; Waddell, J. Does the use of antibiotics in food animals pose a risk to human health? A critical review of published data. J. Antimicrob. Chemother. 2004, 53, 28–52. [Google Scholar] [CrossRef]
- Mathew, A.G.; Cissell, R.; Liamthong, S. Antibiotic resistance in bacteria associated with food animals: A United States perspective of livestock production. Foodborne Pathog. Dis. 2007, 4, 115–133. [Google Scholar] [CrossRef] [Green Version]
- Center for Veterinary Medicine, U.S. Food and Drug Administration. CVM GFI #213 New Animal Drugs and New Animal Drug Combination Products Administered in or on Medicated Feed or Drinking Water of Food-Producing Animals: Recommendations for Drug Sponsors for Voluntarily Aligning Product Use Conditions with GFI #209; Center for Veterinary Medicine, U.S. Food and Drug Administration: Laurel, MD, USA, 2013. Available online: https://www.fda.gov/regulatory-information/search-fda-guidance-documents/cvm-gfi-213-new-animal-drugs-and-new-animal-drug-combination-products-administered-or-medicated-feed (accessed on 3 October 2020).
- UK Legislation. Regulation (EU) 2019/6 of the European Parliament and of the Council of 11 December 2018 on Veterinary Medicinal Products and Repealing Directive 2001/82/EC. 2018. Available online: https://www.legislation.gov.uk/eur/2019/6/contents (accessed on 3 October 2020).
- Mensah, S.E.; Koudandé, O.D.; Sanders, P.; Laurentie, M.; Mensah, G.A.; Abiola, F.A. Antimicrobial residues in foods of animal origin in Africa: Public health risks. Rev. Sci. Tech. 2014, 33, 987–996. [Google Scholar] [PubMed]
- Olatoye, I.O.; Ehinmowo, A.A. Oxytetracycline residues in edible tissues of cattle slaughtered in Akure, Nigeria. Niger. Vet. J. 2010, 31, 93–102. [Google Scholar] [CrossRef] [Green Version]
- Salama, N.A.; Abou-Raya, S.H.; Shalaby, A.R.; Emam, W.H.; Mehaya, F.M. Incidence of tetracycline residues in chicken meat and liver retailed to consumers. Food Addit. Contam. Part B Surveill. 2011, 4, 88–93. [Google Scholar] [CrossRef]
- European Union. Commission Regulation (EU) No 37/2010 of 22 December 2009 on Pharmacologically Active Substances and Their Classification Regarding Maximum Residue Limits in Food Stuffs of Animal Origin; Office Joint European Union: Brussels, Belgium, 2010. [Google Scholar]
- FDA (U.S. Food and Drug Administration). Summary Report of Antimicrobial Sold or Distributed for Used in Food-Producing Animals; FDA: Silver Spring, MD, USA, 2012; Available online: https://fda.report/media/89630/2012-Summary-Report-on-Antimicrobials-Sold-or-Distributed-for-Use-in-Food-Producing-Animals.pdf (accessed on 3 May 2020).
- Ramatla, T.; Ngoma, L.; Adetunji, M.; Mwanza, M. Evaluation of Antibiotic Residues in Raw Meat Using Different Analytical Methods. Antibiotics 2017, 6, 34. [Google Scholar] [CrossRef] [Green Version]
- Treiber, F.M.; Beranek-Knauer, H. Antimicrobial Residues in Food from Animal Origin—A Review of the Literature Focusing on Products Collected in Stores and Markets Worldwide. Antibiotics 2021, 10, 534. [Google Scholar] [CrossRef]
- Bishop, Y. The Veterinary Formulary, 6th ed.; Pharmaceutical Press: Great Briton, UK, 2005. [Google Scholar]
- Premarathne, J.M.K.J.K.; Satharasinghe, D.A.; Gunasena, A.R.C.; Munasinghe, D.M.S.; Abeynayake, P. Establishment of a method to detect sulfonamide residues in chicken meat and eggs by high-performance liquid chromatography. Food Control. 2017, 72B, 276–282. [Google Scholar] [CrossRef]
- LeBlanc, J.S.; Osawa, T.; Dubuc, J. Reproductive tract defense and disease in postpartum dairy cows. Theriogenology 2011, 76, 1610–1618. [Google Scholar] [CrossRef] [PubMed]
- Pereira, R.V.; Siler, J.D.; Ng, J.C.; Davis, M.A.; Grohn, Y.T.; Warnick, L.D. Effect of on-farm use of antimicrobial drugs on resistance in fecal Escherichia coli of preweaned dairy calves. J. Dairy Sci. 2014, 97, 7644–7654. [Google Scholar] [CrossRef] [PubMed] [Green Version]
- Gomez Perez, M.L.; Romero-Gonzalez, R.; Martinez, J.L.; Garrido Frenich, V.A. Analysis of veterinary drug residues in cheese by ultra-high-performance LC coupled to triple quadrupole MS/MSJ. J. Sep. Sci. 2016, 36, 1223–1230. [Google Scholar] [CrossRef]
- Berardi, G.; Bogialli, S.; Curini, R.; Di Corcia, A.; Laganá, A. Evaluation of a method for assaying sulfonamide antimicrobial residues in cheese: Hot-water extraction and liquid chromatography-tandem mass spectrometry. J. Agric. Food Chem. 2006, 54, 4537–4543. [Google Scholar] [CrossRef]
- Allen, H.K.; Trachsel, J.; Looft, T.; Casey, T.A. Finding alternatives to antibiotics. Ann. N. Y. Acad. Sci. 2014, 1323, 91–100. [Google Scholar] [CrossRef] [Green Version]
- Lin, J.S.; Pan, H.Y.; Liu, S.M.; Lai, H.T. Effects of light and microbial activity on thedegradation of two fluoroquinolone antibiotics in pond water and sediment. J. Environ. Sci. Health B 2010, 45, 456. [Google Scholar] [CrossRef] [PubMed]
- Arenas, N.E.; Moreno, M.V. Producción pecuaria y emergencia de antibiótico resistencia en Colombia: Revisión sistemática. Infectio 2018, 22, 110–119. [Google Scholar] [CrossRef]
- Cabello, F.C.; Godfrey, H.P.; Buschmann, A.H.; Dölz, H.J. Aquaculture as yet another environmental gateway to the development and globalization of antimicrobial resistance. Lancet Infect. Dis. 2016, 16, 127–133. [Google Scholar] [CrossRef]
- Kumar, M.; Jaiswal, S.; Sodhi, K.K.; Shree, P.; Singh, D.K.; Agrawal, P.K.; Shukla, P. Antibiotics bioremediation: Perspectives on its ecotoxicity and resistance. Environ. Int. 2019, 124, 448–461. [Google Scholar] [CrossRef]
- Guidi, L.R.; Santos, F.A.; Ribeiro, A.C.S.R.; Fernandes, C.; Silva, L.H.M.; Gloria, M.B.A. Quinolones and tetracyclines in aquaculture fish by a simple and rapid LC-MS/MS method. Food Chem. 2018, 245, 1232–1238. [Google Scholar] [CrossRef]
- Watts, J.E.M.; Schreier, H.J.; Lanska, L.; Hale, M.S. The rising tide of antimicrobial resistance in aquaculture: Sources, sinks and solutions. Mar. Drugs. 2017, 15, 158. [Google Scholar] [CrossRef] [PubMed] [Green Version]
- Marshall, B.M.; Levy, S.B. Food animals and antimicrobials: Impacts on human health. Clin. Microbiol. Rev. 2011, 24, 718–733. [Google Scholar] [CrossRef] [Green Version]
- Barcelo, D. Pharmaceutical-residue Analysis. TrAC Trends Anal. Chem. 2007, 2, 454. [Google Scholar] [CrossRef]
- Kummerer, K. Significance of antibiotics in the environment. J. Antimicrob. Chemother. 2003, 52, 5–7. [Google Scholar] [CrossRef] [Green Version]
- FDA (U.S. Food of Drug Administration). Summary Report on Antimicrobials Sold or Distributed for Use in Food-Producing Animals; Center for Veterinary Medicine, U.S. Food and Drug Administration: Silver Spring, MD, USA, 2015. Available online: http://www.fda.gov/AnimalVeterinary/NewsEvents/CVMUpdates/ucm440585.htm (accessed on 5 May 2020).
- Bendz, D.; Paxéus, N.A.; Ginn, T.R.; Loge, F.J. Occurrence and fate of pharmaceutically active compounds in the environment, a case study: Höje River in Sweden. J. Hazard. Mater. 2005, 122, 195–204. [Google Scholar] [CrossRef]
- Kim, M.; Schrenk, D. Chemical contamination of red meat. In Chemical Contaminants and Residues in Food; Schrenk, D., Ed.; Woodhead Publishing Series in Food Science: Cambridge, UK, 2012; pp. 447–468. [Google Scholar]
- Bartelt-Hunt, S.; Snow, D.D.; Damon-Powell, T.; Miesbachc, D. Occurrence of steroid hormones and antibiotics in shallow groundwater impacted by livestock waste control facilities. J. Contam. Hydrol. 2011, 123, 94–103. [Google Scholar] [CrossRef]
- Al-Rifai, J.H.; Khabbaz, H.; Schafer, A.I. Removal of pharmaceuticals and endocrine disrupting compounds in a water recycling process using reverse osmosis systems. Sep. Purif. Technol. 2011, 77, 60–67. [Google Scholar] [CrossRef]
- Li, W.; Shi, Y.; Gao, L.; Liu, J.; Cai, Y. Occurrence, distribution and potential affecting factors of antibiotics in sewage sludge of wastewater treatment plants in China. Sci. Total Environ. 2013, 445–446, 306–313. [Google Scholar] [CrossRef] [PubMed]
- Sapkota, A.; Sapkota, A.R.; Kucharski, M.; Burke, J.; McKenzie, S.; Walker, P.; Lawrence, R. Aquaculture practices and potential human health risks: Current knowledge and future priorities. Environ. Int. 2008, 34, 1215–1226. [Google Scholar] [CrossRef] [PubMed]
- Wu, C.; Spongberg, A.L.; Witter, J.D.; Fang, M.; Czajkowski, K.P. Uptake of pharmaceutical and personal care products by soybean plants from soils applied with biosolids and irrigated with contaminated water. Environ. Sci. Technol. 2010, 44, 6157–6161. [Google Scholar] [CrossRef]
- Sodhi, K.K.; Kumar, M.; Balan, B.; Dhaulaniya, A.M.; Shree, P.; Sharma, N.; Singh, D.K. Perspectives on the antibiotic contamination, resistance, metabolomics, and systemic remediation. SN Appl. Sci. 2021, 3, 269. [Google Scholar] [CrossRef]
- Carvalho, I.T.; Santos, L. Antibiotics in the aquatic environments: A review of the European scenario. Environ. Int. 2016, 94, 736–757. [Google Scholar] [CrossRef]
- Karkman, A.; Pärnänen, K.; Larsson, D.G.J. Fecal pollution can explain antibiotic resistance gene abundances in anthropogenically impacted environments. Nat. Commun. 2019, 18, 80. [Google Scholar] [CrossRef]
- Rizzo, L.; Manaia, C.; Merlin, C.; Schwartz, T.; Dagot, C.; Ploy, M.C.; Michael, I.; Fatta-Kassinos, D. Urban wastewater treatment plants as hotspots for antibiotic resistant bacteria and genes spread into the environment: A review. Sci. Total Environ. 2013, 447, 345–360. [Google Scholar] [CrossRef] [Green Version]
- Van Bruggen, A.H.C.; Goss, E.M.; Havelaar, A.; van Diepeningen, A.D.; Finckh, M.R.; Morris, J.G. One Health—Cycling of diverse microbial communities as a connecting force for soil, plant, animal, human and ecosystem health. Sci. Total Environ. 2019, 664, 927–937. [Google Scholar] [CrossRef]
- Cycón, M.; Mrozik, A.; Piotrowska-Seget, Z. Antibiotics in the Soil Environment—Degradation and Their Impact on Microbial Activity and Diversity. Front. Microbiol. 2019, 10, 338. [Google Scholar] [CrossRef]










| Antibiotics | |||||||||
|---|---|---|---|---|---|---|---|---|---|
| Penicillins 87.1% | Tetracyclines 87.1% | Aminoglycosides 77.1% | Macrolides 77.1% | Sulfonamides 70% | Quinolones 68.6% | Polypeptides 64.3% | Cephalosporins 58.6% | Phenicols 51.4% | Lincosamides 51.4% |
| Natural Penicillins Benzylpenicillin Penethamate hydroxide Penicillin procaine Amdinopenicillins Mecillinam Aminopenicillins Amoxicillin Ampicillin Hetacillin Aminopenicillin plus Betalactamase inhibitor Amoxicillin_Clavulanic Acid Carboxypenicillins Ticarcillin Tobicillin UreidoPenicillin Aspoxicillin Phenoxypenicillins Phenoxymethylpenicillin Phenethicillin Antistaphylococcal Penicillins Cloxacillin Dicloxacillin Nafcillin Oxacillin | Chlortetracycline Doxycycline Oxytetracycline Tetracycline | Aminocyclitol Spectinomycin Aminoglycosides Streptomycin Dihydrostreptomycin Framycetin Kanamycin Neomycin Paromomycin Apramycin Gentamicin Tobramycin Amikacin | Azalide Tulathromycin MacrolidesC14 Erythromycin Macrolides C16 Josamycin Kitasamycin Spiramycin Tilmicosin Tylosin Mirosamycin Terdecamycin | Sulfachlorpyridazine Sulfadiazine Sulfadimerazin Sulfadimethoxine Sulfadimidine Sulfadoxine Sulfafurazole Sulfaguanidine Sulfamethazine Sulfadimethoxazole Sulfamethoxine Sulfamonomethoxine Sulfanilamide Sulfaquinoxaline Sulfonamides and Diaminopyrimidines Sulfamethoxypyridazine Trimethoprim+ Sulfonamide Diaminopyrimidines Baquiloprim Trimethoprim | Quinolones1G Flumequin Miloxacin Nalidixic acid Oxolinic acid Quinolones2G (Fluoroquinolones) Ciprofloxacin Danofloxacin Difloxacin Enrofloxacin Marbofloxacin Norfloxacin Ofloxacin Orbifloxacin | Enramycin Gramicidin Bacitracin Polypeptides cyclic Colistin Polymixin | Cephalosporin 1G Cefacetrile Cefalexin Cefalotin Cefapyrin Cefazolin Cefalonium Cephalosporin 2G Cefuroxime Cephalosporin 3G Cefoperazone Ceftiofur Ceftriaxone Cephalosporin 4G Cefquinome | Florphenicol Thiamphenicol | Pirlimycin Lincomycin |
| Pleuromutilins 48.6% | Ionophores 42.9% | Novobiocin 31.4% | Ansamycin-Rifamycins 30% | Fosfomycin 7.1% | Streptogramins 5.7% | Quinoxalines 4.3% | Orthosomycins 4.3% | Fusidic Acid 1.4% | Bicyclomycin 1.4% |
| Tiamulin Valnemulin | Lasalocid Maduramycin Monensin Narasin Salinomycin Semduramicin | Novobiocin | Rifampicin Rifaximin | Fosfomycin | Virginiamycin | Fusidic acid | Lasalocid Maduramycin Monensin Narasin Salinomycin Semduramicin | Fusidic acid | Bicozamycin |
| Geographical Area | n = 165 | Data Source Animal/Environment | n = 165 | Data Source for Livestock | n = 165 |
|---|---|---|---|---|---|
| North America (a) | 30 | Livestock | 112 | Beef cattle | 10 |
| South America (b) | 33 | Soil | 34 | Dairy cattle | 29 |
| Europe (c) | 31 | Wastewater | 19 | Pork | 23 |
| Asia (d) | 35 | Chicken | 19 | ||
| Africa (e) | 26 | Egg | 12 | ||
| Oceania (f) | 10 | Milk | 32 | ||
| Sheep meat | 15 | ||||
| Fish | 13 | ||||
| Shrimp | 12 |
Publisher’s Note: MDPI stays neutral with regard to jurisdictional claims in published maps and institutional affiliations. |
© 2021 by the authors. Licensee MDPI, Basel, Switzerland. This article is an open access article distributed under the terms and conditions of the Creative Commons Attribution (CC BY) license (https://creativecommons.org/licenses/by/4.0/).
Share and Cite
Robles-Jimenez, L.E.; Aranda-Aguirre, E.; Castelan-Ortega, O.A.; Shettino-Bermudez, B.S.; Ortiz-Salinas, R.; Miranda, M.; Li, X.; Angeles-Hernandez, J.C.; Vargas-Bello-Pérez, E.; Gonzalez-Ronquillo, M. Worldwide Traceability of Antibiotic Residues from Livestock in Wastewater and Soil: A Systematic Review. Animals 2022, 12, 60. https://doi.org/10.3390/ani12010060
Robles-Jimenez LE, Aranda-Aguirre E, Castelan-Ortega OA, Shettino-Bermudez BS, Ortiz-Salinas R, Miranda M, Li X, Angeles-Hernandez JC, Vargas-Bello-Pérez E, Gonzalez-Ronquillo M. Worldwide Traceability of Antibiotic Residues from Livestock in Wastewater and Soil: A Systematic Review. Animals. 2022; 12(1):60. https://doi.org/10.3390/ani12010060
Chicago/Turabian StyleRobles-Jimenez, Lizbeth E., Edgar Aranda-Aguirre, Octavio A. Castelan-Ortega, Beatriz S. Shettino-Bermudez, Rutilio Ortiz-Salinas, Marta Miranda, Xunde Li, Juan C. Angeles-Hernandez, Einar Vargas-Bello-Pérez, and Manuel Gonzalez-Ronquillo. 2022. "Worldwide Traceability of Antibiotic Residues from Livestock in Wastewater and Soil: A Systematic Review" Animals 12, no. 1: 60. https://doi.org/10.3390/ani12010060
APA StyleRobles-Jimenez, L. E., Aranda-Aguirre, E., Castelan-Ortega, O. A., Shettino-Bermudez, B. S., Ortiz-Salinas, R., Miranda, M., Li, X., Angeles-Hernandez, J. C., Vargas-Bello-Pérez, E., & Gonzalez-Ronquillo, M. (2022). Worldwide Traceability of Antibiotic Residues from Livestock in Wastewater and Soil: A Systematic Review. Animals, 12(1), 60. https://doi.org/10.3390/ani12010060

